Antioxidant and Pancreatic Lipase Inhibitory Activities of Panax japonicus (T. Nees) C.A. Meyer
Abstract
1. Introduction
2. Results and Discussion
2.1. Comparison of Polyphenol Extraction Methods from P. japonicus
2.2. Antioxidant Activity of P. japonicus
2.3. Pancreatic Lipase Inhibitory Activity of P. japonicus Ethyl Acetate Fraction
2.4. Effect of PJEA on the Proliferation of 3T3-L1 Preadipocytes
2.5. Effect of PJEA on 3T3-L1 Cell Differentiation
2.6. Effect of PJEA on Intracellular Triglyceride Levels in 3T3-L1 Adipocytes
2.7. Effect of PJEA on the Expression of the PPARγ, C/EBPα, FAS, and ACC Genes in 3T3-L1 Preadipocytes
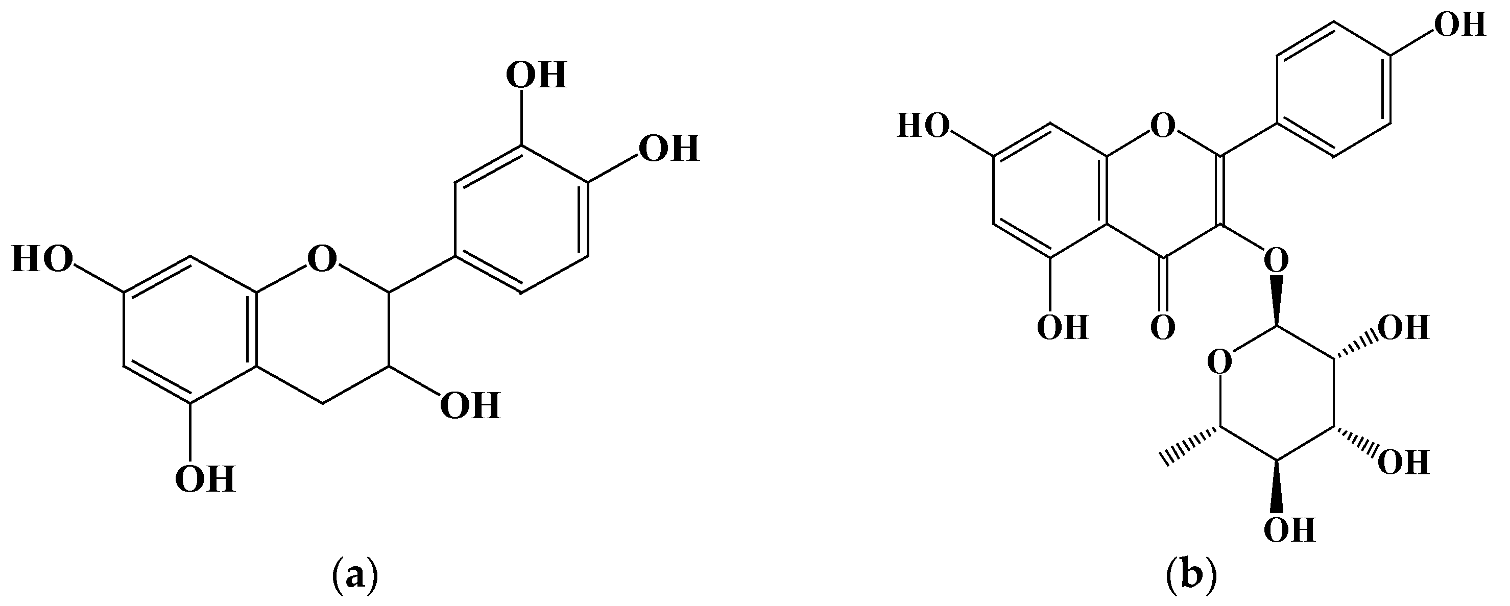
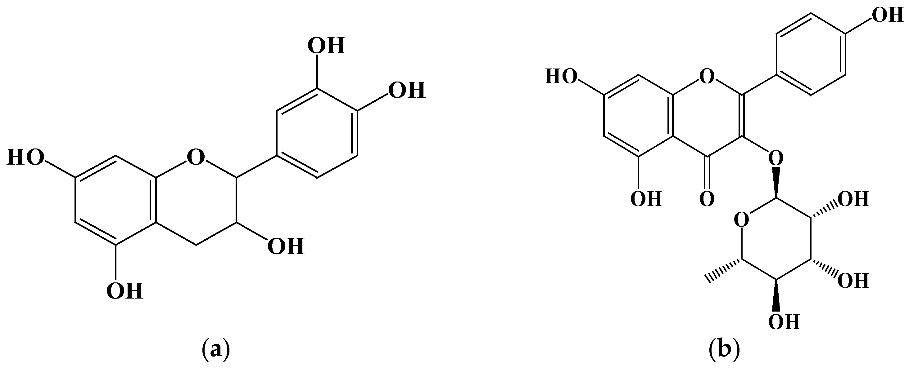
2.8. Inhibition of Pancreatic Lipase Activity by Isolated Flavonoid Compounds
3. Materials and Methods
3.1. Preparation of P. japonicus Extract
3.2. DPPH Radical Scavenging Activity Assay
3.3. Preparation and Isolation of Biological Compounds from P. japonicus Methanol Extract
3.4. Analysis of Total Phenolic Content
3.5. Determination of Total Flavonoid Content
3.6. Reducing Power Assay
3.7. Inhibition of Pancreatic Lipase Activity
3.8. Viability Assessment of 3T3-L1 Preadipocytes
3.9. Oil Red O Staining
3.10. Quantification of Intracellular Total Triglycerides (TG)
3.11. RNA Extraction and Preparation for Gene Expression Analysis
3.12. Statistics Analysis
4. Conclusions
Author Contributions
Funding
Data Availability Statement
Acknowledgments
Conflicts of Interest
References
- Jiang, H.; Zhang, W.; Li, X.; Xu, Y.; Cao, J.; Jiang, W. The anti-obesogenic effects of dietary berry fruits: A review. Food Res. Int. 2021, 147, 110539. [Google Scholar] [CrossRef] [PubMed]
- Zhang, X.; Liu, J.; Ni, Y.; Yi, C.; Fang, Y.; Li, Z. Global prevalence of overweight and obesity in children and adolescents: A systematic review and meta-analysis. JAMA Pediatr. 2024, 178, 800–813. [Google Scholar] [CrossRef] [PubMed]
- Birari, R.B.; Bhutani, K.K. Pancreatic lipase inhibitors from natural sources: Unexplored potential. Drug Discov. Today 2007, 12, 879–889. [Google Scholar] [CrossRef]
- Yu, B.; Tang, Q.; Fu, C.; Regenstein, J.; Huang, J.; Wang, L. Effects of different particle-sized insoluble dietary fibre from citrus peel on adsorption and activity inhibition of pancreatic lipase. Food Chem. 2023, 398, 133834. [Google Scholar] [CrossRef]
- Li, S.; Hu, X.; Pan, J.; Gong, D.; Zhang, G. Mechanistic insights into the inhibition of pancreatic lipase by apigenin: Inhibitory interaction, conformational change and molecular docking studies. J. Mol. Liq. 2021, 335, 116505. [Google Scholar] [CrossRef]
- Padwal, R.S.; Majumdar, S.R. Drug treatments for obesity: Orlistat, sibutramine, and rimonabant. Lancet 2007, 369, 71–77. [Google Scholar] [CrossRef] [PubMed]
- Cianciosi, D.; Forbes-Hernández, T.Y.; Regolo, L.; Alvarez-Suarez, J.M.; NavarroHortal, M.D.; Xiao, J.; Quiles, J.L.; Battino, M.; Giampieri, F. The reciprocal interaction between polyphenols and other dietary compounds: Impact on bioavailability, antioxidant capacity and other physico-chemical and nutritional parameters. Food Chem. 2022, 375, 131904. [Google Scholar] [CrossRef]
- Marrelli, M.; Russo, C.; Statti, G.; Argentieri, M.P.; Meleleo, D.; Mallamaci, R.; Avato, P.; Conforti, F. Phytochemical and biological characterization of dry outer scales extract from Tropea red onion (Allium cepa L. var. Tropea)-A promising inhibitor of pancreatic lipase. Phytomedicine 2022, 2, 100235. [Google Scholar] [CrossRef]
- Huang, R.; Zhang, Y.; Shen, S.; Zhi, Z.; Cheng, H.; Chen, S.; Ye, X. Antioxidant and pancreatic lipase inhibitory effects of flavonoids from different citrus peel extracts: An in vitro study. Food Chem. 2020, 326, 126785. [Google Scholar] [CrossRef]
- Shang, C.B.; Porter, P.L. Flora of China; Science Press: Beijing, China, 2007; Volume 13, pp. 489–491. [Google Scholar]
- Chen, Y.; Liu, M.; Wen, J.; Yang, Z.; Li, G.; Ren, X. Panax japonicus CA Meyer: A comprehensive review on botany, phytochemistry, pharmacology, pharmacokinetics and authentication. Chin. Med. 2023, 18, 148. [Google Scholar] [CrossRef]
- Chan, H.; Hwang, T.L.; Reddy, M.V.B. Bioactive constituents from the roots of Panax japonicus var. major and development of a LC-MS/MS method for distinguishing between natural and artifactual compounds. J. Nat. Prod. 2011, 74, 796–802. [Google Scholar] [CrossRef] [PubMed]
- Wang, Z.; Pan, Z.; Ma, H. Extract of phenolics from pomegranate peels. Int. J. Food Sci. 2011, 5, 17–25. [Google Scholar] [CrossRef]
- Marchi, R.C.; Campos, I.A.; Santana, V.T. Chemical implications and considerations on techniques used to assess the in vitro antioxidant activity of coordination compounds. Coord. Chem. Rev. 2022, 451, 214275. [Google Scholar] [CrossRef]
- Preethi, K.C.; Kuttan, G.; Kuttan, R. Antioxidant Potential of an Extract of Calendula officinalis. Flowers in Vitro. and in Vivo. Pharm. Biol. 2006, 44, 691–697. [Google Scholar] [CrossRef]
- Sari, L.M.; Subita, G.P.; Auerkari, E.I. Potential antioxidant and cytotoxic activities of areca nut (Areca catechu Linn.) extract in human oral squamous cell carcinoma and keratinocyte cells. Asian J. Pharm. Clin. Res. 2017, 10, 286–291. [Google Scholar] [CrossRef]
- Farnad, N.; Heidari, R.; Aslanipour, B. Phenolic composition and comparison of antioxidant activity of alcoholic extracts of peppermint (Mentha piperita). J. Food Meas. Charact. 2014, 8, 113–121. [Google Scholar] [CrossRef]
- Sun, Y.; Li, H.; Hu, J.; Li, J.; Fan, Y.W.; Liu, X.R.; Deng, Z.Y. Qualitative and quantitative analysis of phenolics in Tetrastigma hemsleyanum and their antioxidant and antiproliferative activities. J. Agric. Food Chem. 2013, 61, 10507–10515. [Google Scholar] [CrossRef]
- Daulima, R.; Blongkod, F.R.; Nurkamiden, S.S. Description of triglyceride levels in obese patients in the working area of dr. mm dunda limboto hospital. J. Health Technol. Sci. 2022, 3, 42–51. [Google Scholar]
- Cheng, C.; Li, Z.; Zhao, X.; Liao, C.; Quan, J.; Bode, A.M.; Luo, X. Natural alkaloid and polyphenol compounds targeting lipid metabolism: Treatment implications in metabolic diseases. Eur. J. Pharmacol. 2020, 870, 172922. [Google Scholar] [CrossRef]
- Jakab, J.; Miškić, B.; Mikšić, Š.; Juranić, B.; Ćosić, V.; Schwarz, D.; Včev, A. Adipogenesis as a potential anti-obesity target: A review of pharmacological treatment and natural products. Diabetes Metab. Syndr. Obes. 2021, 14, 67–83. [Google Scholar] [CrossRef]
- Oruganti, L.; Reddy Sankaran, K.; Dinnupati, H.G.; Kotakadi, V.S.; Meriga, B. Anti-adipogenic and lipid-lowering activity of piperine and epigallocatechin gallate in 3T3-L1 adipocytes. Arch. Physiol. Biochem. 2023, 129, 1152–1159. [Google Scholar] [CrossRef] [PubMed]
- Alalaiwe, A.; Fang, J.Y.; Lee, H.J.; Chiu, C.H.; Hsu, C.Y. The demethoxy derivatives of curcumin exhibit greater differentiation suppression in 3T3-L1 adipocytes than curcumin: A mechanistic study of adipogenesis and molecular docking. Biomolecules 2021, 11, 1025. [Google Scholar] [CrossRef] [PubMed]
- Uner, B.; Macit Celebi, M.S. Anti-obesity effects of chlorogenic acid and caffeine-lipid nanoparticles through PPAR-γ/C/EBP-ɑ pathways. Int. J. Obes. 2023, 47, 1108–1119. [Google Scholar] [CrossRef] [PubMed]
- Choi, S.K.; Park, S.; Jang, S.; Cho, H.H.; Lee, S.; You, S.; Kim, S.H.; Moon, H.S. Cascade regulation of PPARγ(2) and C/EBPα signaling pathways by celastrol impairs adipocyte differentiation and stimulates lipolysis in 3T3-L1 adipocytes. Metabolism 2016, 65, 646–654. [Google Scholar] [CrossRef]
- Rosen, E.D.; Sarraf, P.; Troy, A.E.; Bradwin, G.; Moore, K.; Mortensen, R.M. PPARγ is required for the differentiation of adipose tissue in vivo and in vitro. Mol. Cell 1999, 4, 611–617. [Google Scholar] [CrossRef]
- Guo, L.; Li, X.; Tang, Q.Q. Transcriptional regulation of adipocyte differentiation: A central role for CCAAT/enhancer-binding protein (C/EBP) β. J. Biol. Chem. 2015, 290, 755–761. [Google Scholar] [CrossRef]
- Han, H.S.; Soundharrajan, I.; Valan Arasu, M.; Kim, D.; Choi, K.C. Leuconostoc citreum inhibits adipogenesis and lipogenesis by inhibiting p38 MAPK/Erk 44/42 and stimulating AMPKα signaling pathways. Int. J. Mol. Sci. 2023, 24, 7367. [Google Scholar] [CrossRef]
- Maiyama, S.Y.; Hassan, L.G.; Atiku, I.; Umar, K.J.; Babagana, A. Isolation and characterization of catechin and catechin-3-o-gallate from the bark of vitellaria paradoxa (sapotaceae). Cavendish Int. J. Sci. Technol. 2024, 1, 15–23. [Google Scholar]
- Wang, Y.; Chen, L.; Liu, H.; Xie, J.; Yin, W.; Xu, Z.; Liu, J. Characterization of the synergistic inhibitory effect of cyanidin-3-O-glucoside and catechin on pancreatic lipase. Food Chem. 2023, 404, 134672. [Google Scholar] [CrossRef]
- Crozier, A.; Jaganath, I.B.; Clifford, M.N. Dietary phenolics: Chemistry, bioavailability and effects on health. Nat. Prod. Rep. 2009, 26, 1001–1043. [Google Scholar] [CrossRef]
- Buchholz, T.; Melzig, M.F. Polyphenolic compounds as pancreatic lipase inhibitors. Planta Med. 2015, 81, 771–783. [Google Scholar] [CrossRef] [PubMed]
- Zhou, J.F.; Wang, W.J.; Yin, Z.P.; Zheng, G.D.; Chen, J.G.; Li, J.E.; Zhang, Q.F. Quercetin is a promising pancreatic lipase inhibitor in reducing fat absorption in vivo. Food Biosci. 2021, 43, 101248. [Google Scholar] [CrossRef]
- Li, S.; Pan, J.; Hu, X.; Zhang, Y.; Gong, D.; Zhang, G. Kaempferol inhibits the activity of pancreatic lipase and its synergistic effect with orlistat. J. Funct. Foods. 2020, 72, 104041. [Google Scholar] [CrossRef]
- Ahmed, S.A.; Salau, S.; Khan, A.; Saeed, M.; Ul-Haq, Z. Inhibitive property of catechin and chlorogenic acid against human pancreatic lipase: Molecular docking and molecular dynamics simulation investigations. Adv. J. Chem. A 2022, 5, 226–240. [Google Scholar]
- Peng, J.; He, R.J.; Xie, T.J.; Yang, B.Y.; Wang, Y.F.; Huang, Y.L. Chemical constituents from the flowers of Bauhinia variegata var. candida and its pancreatic lipase inhibitory activity. Chin. J. Nat. Prod. Res. Dev. 2023, 35, 47–53. [Google Scholar]
- Li, M.M.; Chen, Y.T.; Ruan, J.C.; Wang, W.J.; Chen, J.G.; Zhang, Q.F. Structure-activity relationship of dietary flavonoids on pancreatic lipase. Curr. Res. Food Sci. 2023, 6, 100424. [Google Scholar] [CrossRef]
- He, X.; Chen, L.; Pu, Y.; Wang, H.; Cao, J.; Jiang, W. Fruit and vegetable polyphenols as natural bioactive inhibitors of pancreatic lipase and cholesterol esterase: Inhibition mechanisms, polyphenol influences, application challenges. Food Biosci. 2023, 55, 103054. [Google Scholar] [CrossRef]
- Kim, K.S.; Hwang, W.G.; Jang, H.G. Assessment of Indigo (Polygonum tinctorium Ait.) water extracts’ bioactive compounds, and their antioxidant and antiproliferative activities. LWT-Food Sci. Technol. 2012, 46, 500–510. [Google Scholar] [CrossRef]
- Singleton, V.L.; Rossi, J.A. Colorimetry of total phenolics with phosphomolybdic-phosphotungstic acid reagents. Am. J. Enol. Viticult. 1965, 16, 144–158. [Google Scholar] [CrossRef]
- Ardestani, A.; Yazdanparast, R. Antioxidant and free radical scavenging potential of Achillea santolina extracts. Food Chem. 2007, 104, 21–29. [Google Scholar] [CrossRef]
- Oyaizu, M. Studies on products of browning reactions: Antioxidative activities of products of browning reaction prepared from glucosamine. J. Nutr. 1986, 44, 307–315. [Google Scholar]
- Worsztynowicz, P.; Napierała, M.; Białas, W.; Grajek, W.; Olkowicz, M. Pancreatic α-amylase and lipase inhibitory activity of polyphenolic compounds present in the extract of black chokeberry (Aronia melanocarpa L.). Process Biochem. 2014, 49, 1457–1463. [Google Scholar] [CrossRef]
- Lineweaver, H.; Burk, D. The determination of enzyme dissociation constants. J. Am. Chem. Soc. 1934, 56, 658–666. [Google Scholar] [CrossRef]
- Kang, M.C.; Kang, N.; Ko, S.C. Anti-obesity effects of seaweeds of Jeju island on the differentiation of 3T3-L1 preadipocytes and obese mice fed a high-fat diet. Food Chem. Toxicol. 2016, 90, 36–44. [Google Scholar] [CrossRef] [PubMed]






| Solvent | Extract Yield (%) | Total Phenolic Content (mg GAE/g) | Total Flavonoid Content (mg QE/g) | DPPH Radical Scavenging Activity IC50 (μg/mL) |
|---|---|---|---|---|
| Methanol | 50.12 | 102.6 ± 0.28 a,1) | 48.02 ± 1.78 a | 36.33 ± 0.74 a |
| Ethanol | 38.67 | 83.19 ± 2.96 c | 19.36 ± 1.01 c | 46.12 ± 1.75 c |
| Water | 48.34 | 96.71 ± 3.63 b | 23.57 ± 0.64 b | 40.47 ± 2.14 b |
| Acetone | 29.31 | 62.36 ± 0.94 d | 16.67 ± 0.21 d | 70.51 ± 0.96 d |
| BHA | ND 1) | ND | ND | 6.85 ± 1.95 |
| Extraction | DPPH Radical Scavenging Activity IC50 (μg/mL) | Total Phenolic (mg GAE/g) | Total Flavonoid (mg QE/g) |
|---|---|---|---|
| MeOH | 36.33 ± 2.81 b,1) | 102.60 ± 4.58 b | 48.02 ± 1.78 b |
| Hexane | 108.74 ± 3.16 d | 31.02 ± 3.26 d | 13.67 ± 2.31 d |
| EtOAc | 5.39 ± 1.08 a | 198.51 ± 0.63 a | 68.63 ± 0.37 a |
| n-BuOH | 65.31 ± 3.76 c | 96.50 ± 3.79 c | 22.35 ± 1.33 c |
| Water | 123.87 ± 2.85 e | 2.98 ± 0.88 e | 2.18 ± 1.46 e |
| BHA | 6.85 ± 1.95 | ND 1) | ND |
Disclaimer/Publisher’s Note: The statements, opinions and data contained in all publications are solely those of the individual author(s) and contributor(s) and not of MDPI and/or the editor(s). MDPI and/or the editor(s) disclaim responsibility for any injury to people or property resulting from any ideas, methods, instructions or products referred to in the content. |
© 2025 by the authors. Licensee MDPI, Basel, Switzerland. This article is an open access article distributed under the terms and conditions of the Creative Commons Attribution (CC BY) license (https://creativecommons.org/licenses/by/4.0/).
Share and Cite
Yang, J.; Jiang, W.; Park, J.H.; Seong, E.S.; Kwon, Y.S.; Kim, M.J. Antioxidant and Pancreatic Lipase Inhibitory Activities of Panax japonicus (T. Nees) C.A. Meyer. Plants 2025, 14, 2003. https://doi.org/10.3390/plants14132003
Yang J, Jiang W, Park JH, Seong ES, Kwon YS, Kim MJ. Antioxidant and Pancreatic Lipase Inhibitory Activities of Panax japonicus (T. Nees) C.A. Meyer. Plants. 2025; 14(13):2003. https://doi.org/10.3390/plants14132003
Chicago/Turabian StyleYang, Jinfeng, Wenxuan Jiang, Ju Hee Park, Eun Soo Seong, Yong Soo Kwon, and Myong Jo Kim. 2025. "Antioxidant and Pancreatic Lipase Inhibitory Activities of Panax japonicus (T. Nees) C.A. Meyer" Plants 14, no. 13: 2003. https://doi.org/10.3390/plants14132003
APA StyleYang, J., Jiang, W., Park, J. H., Seong, E. S., Kwon, Y. S., & Kim, M. J. (2025). Antioxidant and Pancreatic Lipase Inhibitory Activities of Panax japonicus (T. Nees) C.A. Meyer. Plants, 14(13), 2003. https://doi.org/10.3390/plants14132003

