Plasticity of Root Architecture and ROS–Auxin Regulation in Paeonia ostii Under Root-Zone Restriction
Abstract
1. Introduction
2. Results
2.1. Effects of Root-Zone Restriction on Biomass Allocation in P. ostii
2.2. Effects of Root-Zone Restriction on Root Architecture of P. ostii
2.3. Effects of Root-Zone Restriction on Morphological Traits of P. ostii
2.3.1. Characteristics of Underground Root Architecture and Biomass Variability
2.3.2. Correlation Between Root-Zone Volume and Characteristics of Underground Root Architecture and Biomass
2.3.3. Principal Component Analysis (PCA) of Underground Root Architecture and Biomass
2.4. Fitting Curve Analysis of Root Architecture in P. ostii Under Root-Zone Restriction
2.5. Effects of Root-Zone Restriction on Physiological and Biochemical Traits of P. ostii
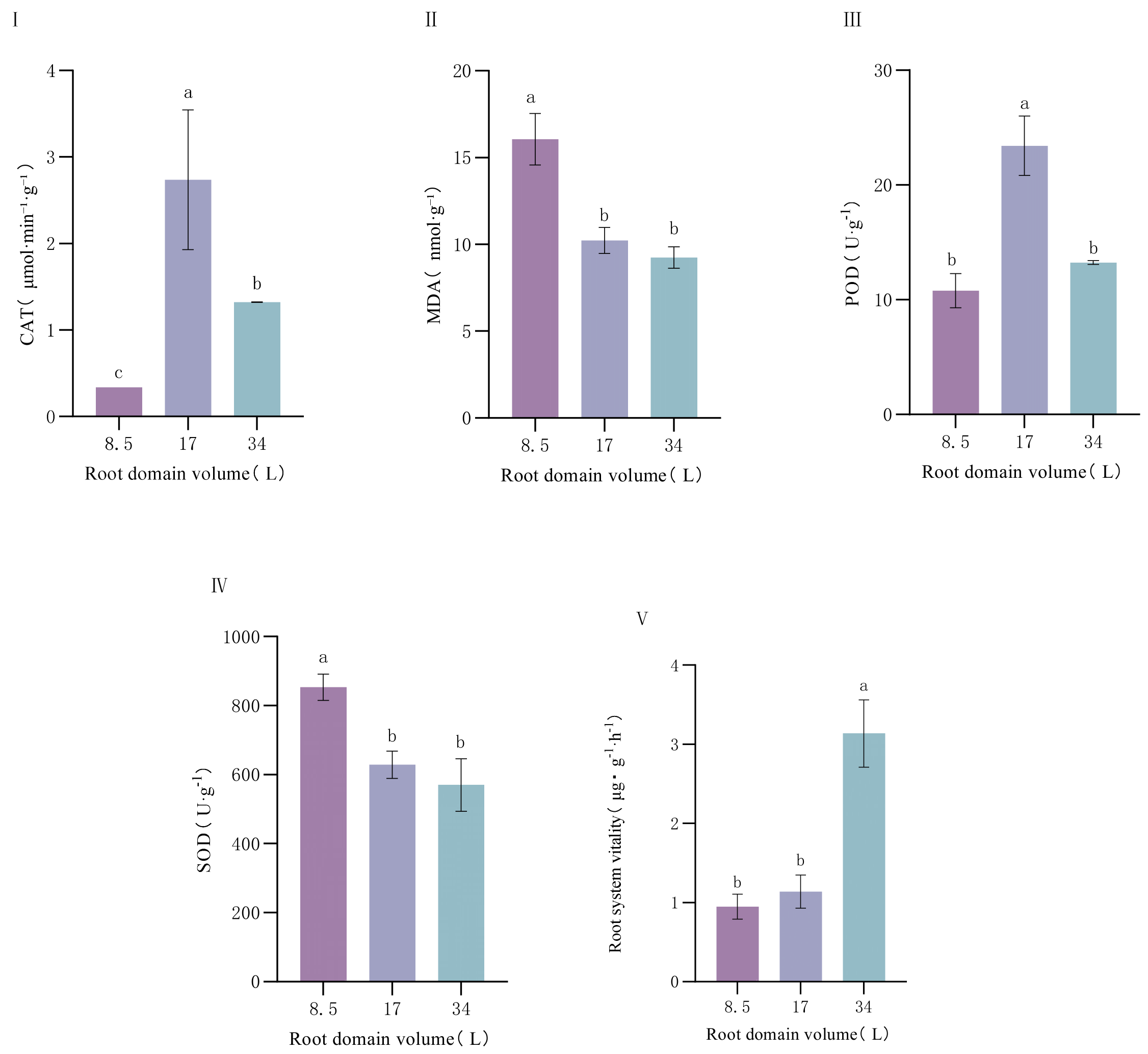
2.5.1. Impact of Root-Zone Restriction on the Antioxidant System
2.5.2. Effects of Root-Zone Restriction on the Expression of Auxin-Related Genes in P. ostii
3. Discussion
3.1. Root Architectural Adaptation to Root-Zone Restriction
3.2. Physiological and Molecular Response Mechanisms
3.3. Horticultural Implications and Optimization Strategies
4. Materials and Methods
4.1. Experimental Site Description
4.2. Experimental Materials
4.3. Experimental Design
4.4. Data Analysis
5. Conclusions
Author Contributions
Funding
Data Availability Statement
Conflicts of Interest
References
- Bardgett, R.D.; Gibson, D.J. Plant ecological solutions to global food security. J. Ecol. 2017, 105, 859–864. [Google Scholar] [CrossRef]
- He, W.S.; Wang, Q.; Zhao, L.; Li, J.; Li, J.; Wei, N.; Chen, G. Nutritional composition, health-promoting effects, bioavailability, and encapsulation of tree peony seed oil: A review. Food Funct. 2023, 14, 10265–10285. [Google Scholar] [CrossRef] [PubMed]
- Zhang, C.C.; Geng, C.A.; Huang, X.Y.; Zhang, X.M.; Chen, J.J. Antidiabetic stilbenes from peony seeds with PTP1B, α-glucosidase, and DPPIV inhibitory activities. J. Agric. Food Chem. 2019, 67, 6765–6772. [Google Scholar] [CrossRef] [PubMed]
- Deng, R.; Gao, J.; Yi, J.; Liu, P. Peony seeds oil by-products: Chemistry and bioactivity. Ind. Crops Prod. 2022, 187, 115333. [Google Scholar] [CrossRef]
- Wang, C.Z.; Ma, X.Y.; Li, Q.K.; Hu, Y.H.; Yang, J.; Song, Z.P. Effects of NSC in different organs and at different growth stages on the yield of oil peony Feng-dan with different ages. Front. Plant Sci. 2023, 14, 1108668. [Google Scholar] [CrossRef]
- Zhang, Y.; Yu, S.Y.; Hu, Y.H. Air layering improves rooting in tree pe-ony cultivars from the Jiangnan group. Horticulturae 2022, 8, 941. [Google Scholar] [CrossRef]
- Zhang, Z.Y.; Fan, B.M.; Song, C.; Zhang, X.X.; Zhao, Q.W.; Ye, B. Advances in Root System Architecture: Functionality, Plasticity, and Research Methods. J. Resour. Ecol. 2023, 14, 15–24. [Google Scholar] [CrossRef]
- Wang, B.; He, J.; Duan, C.; Yu, X.; Zhu, L.; Xie, Z.; Zhang, C.; Xu, W.; Wang, S. Root restriction affects anthocyanin accumulation and composition in berry skin of ‘Kyoho’grape (Vitis vinifera L. × Vitis labrusca L.) during ripening. Sci. Hortic. 2012, 137, 20–28. [Google Scholar] [CrossRef]
- Ma, W.L.; Jin, W.; Wang, H.; Yang, B.; Ha, R.; Chen, Y.W.; Xu, C.; Zhang, M.; Wang, S.P. Effects of Inflorescence Shaping Based on root zone restriction on the growth and fruit quality of “Summer Black” grapes in protected cultivation. Mod. Agric. Sci. Technol. 2023, 6, 79–82. (In Chinese) [Google Scholar] [CrossRef]
- Li, X.J.; Han, Z.; Li, C.; Xie, Z.S.; Wang, S.P.; Li, B. Effects of root zone restriction on soluble sugar content and phloem ultrastructure in “kyoho” grape fruits. J. Plant Physiol. 2016, 52, 1546–1554. (In Chinese) [Google Scholar] [CrossRef]
- Abulaike, N.; Zhang, S.K.; Wang, S.P.; Wang, Y.T.; Fan, G.Q. Effects of root zone restriction cultivation on photosynthetic and fluorescence characteristics and fruit quality of korla fragrant pear. Xinjiang Agric. Sci. 2023, 60, 344–350. (In Chinese) [Google Scholar] [CrossRef]
- Karni, L.; Aloni, B.; Bar-Tal, A.; Moreshet, S.; Keinan, M.; Yao, C. The effect of root restriction on the incidence of blossom-end rot in bell pepper (Capsicum annuum L.). J. Hortic. Sci. Biotechnol. 2000, 75, 364–369. [Google Scholar] [CrossRef]
- Gao, Y.; Zhou, X.; Liang, H.; Ji, Y.; Liu, M. Effects of Comparative Metabolism on Tomato Fruit Quality under Different Levels of Root Restriction. HortScience 2023, 58, 885–892. [Google Scholar] [CrossRef]
- Saito, T.; Fukuda, N.; Iikubo, T.; Inai, S.; Fujii, T.; Konishi, C.; Ezura, H. Effects of root-volume restriction and salinity on the fruit yield and quality of processing tomato. J. Jpn. Soc. Hortic. Sci. 2008, 77, 165–172. [Google Scholar] [CrossRef][Green Version]
- Niu, R.X.; Wang, C.B.; Zhao, X.M.; Wang, F.L.; Wang, H. Effects of root zone restriction on canopy characteristics and fruit quality of nectarine in Non-Cultivated land solar greenhouses. J. Fruit Sci. 2017, 34, 26–32. (In Chinese) [Google Scholar] [CrossRef]
- Cao, J.; Zhu, W.; Zhang, W.; Chen, X.; Sun, H.; Sun, R.; Zhao, J.; Zhu, S.; Liu, F.; Jaime, A.; et al. Morphological, cytological, physiological, and molecular evidence to explain how underground fleshy roots expand in herbaceous peony (Paeonia lactiflora Pall.). Sci. Hortic. 2024, 331, 113165. [Google Scholar] [CrossRef]
- Lei, X. Effects of Different Substrate Proportions and Fertilization Levels on the Growth and Development of Potted Tree Peony. Master’s Thesis, Henan Agricultural University, Zhengzhou, China, 2024. (In Chinese). [Google Scholar] [CrossRef]
- Liu, X.Z.; Liu, S.H.; Fang, B.J.; Xie, T.F.; Li, B.M.; Li, Y. Study on the Heat Tolerance of Three Melastoma Varieties. Anhui Agric. Sci. Bull. 2024, 30, 24–27. (In Chinese) [Google Scholar] [CrossRef]
- Ma, H.P.; Peng, Z.F.; Ji, H.L.; Wang, X.H.; Han, K.; Yang, H.J. Germplasm resource research on the paeonia subgenus vaginatae. North. Hortic. 2024, 24, 105–112. (In Chinese) [Google Scholar] [CrossRef]
- Li, J.J.; He, L.X.; Qu, D.; Zhang, Y.D.; He, Z.H. Diversity analysis of phenotypic traits in 52 new tree peony cultivars. Gansu For. Sci. Technol. 2024, 49, 5–10+17. [Google Scholar] [CrossRef]
- Kim, J.K.; Shawon, M.R.A.; An, J.H.; Yun, Y.J.; Park, S.J.; Na, J.K.; Choi, K.Y. Influence of substrate composition and container size on the growth of tissue culture propagated apple rootstock plants. Agronomy 2021, 11, 2450. [Google Scholar] [CrossRef]
- Argerich, C.A.; Poggi, L.M. Seedling establishment: The effect of container size on plant survival and yield of tomatoes for processing. In Proceedings of the VIII International Symposium on the Processing Tomato, Istanbul, Turkey, 30 September 2003; Volume 613, pp. 189–192. [Google Scholar]
- Fitter, A. Characteristics and functions of root systems. In Plant Roots; CRC Press: Boca Raton, FL, USA, 2002; pp. 49–78. [Google Scholar]
- Adams, T.S.; McCormack, M.L.; Eissenstat, D.M. Foraging strategies in trees of different root morphology: The role of root lifespan. Tree Physiol. 2013, 33, 940–948. [Google Scholar] [CrossRef] [PubMed]
- An, H.; Shangguan, Z.P. Effects of root zone restriction and nitrogen levels on the growth of forsythia seedlings. Acta Ecol. Sin. 2007, 27, 1323–1332. [Google Scholar] [CrossRef]
- Liu, X.J. Effects of root zone restriction on carbon metabolism in tree peony floral organs. J. Henan Agric. Univ. 2017, 51, 170–176. [Google Scholar] [CrossRef]
- Bingham, I.J.; Wu, L. Simulation of wheat growth using the 3D root architecture model SPACSYS: Validation and sensitivity analysis. Eur. J. Agron. 2011, 34, 181–189. [Google Scholar] [CrossRef]
- Eissenstat, D.M.; Yanai, R.D. The ecology of root lifespan. In Advances in Ecological Research; Academic Press: Cambridge, MA, USA, 1997; Volume 27, pp. 1–60. [Google Scholar]
- Poorter, H.; Niklas, K.J.; Reich, P.B.; Oleksyn, J.; Poot, P.; Mommer, L. Biomass allocation to leaves, stems and roots: Meta-analyses of interspecific variation and environmental control. New Phytol. 2012, 193, 30–50. [Google Scholar] [CrossRef]
- Lopez, G.; Ahmadi, S.H.; Amelung, W.; Athmann, M.; Ewert, F.; Gaiser, T.; Gocke, M.I.; Kautz, T.; Postma, J.; Rachmilevitch, S. Nutrient deficiency effects on root architecture and root-to-shoot ratio in arable crops. Front. Plant Sci. 2023, 13, 1067498. [Google Scholar] [CrossRef]
- Kusvuran, S.; Kiran, S.; Ellialtioglu, S.S. Antioxidant enzyme activities and abiotic stress tolerance relationship in vegetable crops. In Abiotic and Biotic Stress in Plants-Recent Advances and Future Perspectives; InTech: Yokohama, Japan, 2016; pp. 481–506. [Google Scholar]
- Houmani, H.; Palma, J.M.; Corpas, F.J. High salinity stimulates the adaptive response to potassium deficiency through the antioxidant and the NADPH-generating systems in the roots and leaves of the halophyte Cakile maritima. J. Plant Growth Regul. 2023, 42, 6286–6306. [Google Scholar] [CrossRef]
- Jiao, S.; Feng, R.; He, Y.; Cao, F.; Zhao, Y.; Zhou, J.; Zhai, H.; Bai, X. Genome-wide identification and characterization of copper chaperone for superoxide dismutase (CCS) gene family in response to abiotic stress in soybean. Int. J. Mol. Sci. 2023, 24, 5154. [Google Scholar] [CrossRef]
- Rehman, S.; Rashid, A.; Manzoor, M.A.; Li, L.; Sun, W.; Riaz, M.W.; Li, D.; Zhuge, Q. Genome-Wide evolution and comparative analysis of superoxide dismutase gene family in cucurbitaceae and expression analysis of Lagenaria siceraria under multiple abiotic stresses. Front. Genet. 2022, 12, 784878. [Google Scholar] [CrossRef]
- Riseh, R.S.; Fathi, F.; Vatankhah, M.; Kennedy, J.F. Catalase-associated immune responses in plant-microbe interactions: A review. Int. J. Biol. Macromol. 2024, 280, 135859. [Google Scholar] [CrossRef]
- Baker, A.; Lin, C.C.; Lett, C.; Karpinska, B.; Wright, M.H.; Foyer, C.H. Catalase: A critical node in the regulation of cell fate. Free Radic. Biol. Med. 2023, 199, 56–66. [Google Scholar] [CrossRef] [PubMed]
- Kim, Y.H.; Kim, H.S.; Park, S.C.; Ji, C.Y.; Yang, J.W.; Lee, H.U.; Kwak, S.S. Downregulation of swpa4 peroxidase expression in transgenic sweet potato plants decreases abiotic stress tolerance and reduces stress-related peroxidase expression. Plant Biotechnol. Rep. 2021, 15, 69–76. [Google Scholar] [CrossRef]
- Tyburski, J.; Mucha, N. Antioxidant response in the salt-acclimated red beet (Beta vulgaris) callus. Agronomy 2023, 13, 2284. [Google Scholar] [CrossRef]
- Nikzad, S.; Mirmohammady Maibody, S.A.M.; Ehtemam, M.H.; Golkar, P.; Mohammadi, S.A. Response of seed yield and biochemical traits of Eruca sativa Mill. to drought stress in a collection study. Sci. Rep. 2023, 13, 11157. [Google Scholar] [CrossRef]
- Mittler, R. Oxidative stress, tolerance antioxidants and stress. Trends Plant Sci. 2002, 7, 405–410. [Google Scholar] [CrossRef]
- Della Rovere, F.; Fattorini, L.; Ronzan, M.; Falasca, G.; Altamura, M.M. The quiescent center and the stem cell niche in the adventitious roots of Arabidopsis thaliana. Plant Signal. Behav. 2016, 11, e1176660. [Google Scholar] [CrossRef]
- Pei, J.; Pan, X.; Wei, G.; Hua, Y. Research progress of glutathione peroxidase family (GPX) in redoxidation. Front. Pharmacol. 2023, 14, 1147414. [Google Scholar] [CrossRef]
- Chen, X.G.; Wu, Z.; Yin, Z.J.; Zhang, Y.X.; Rui, C.; Wang, J.; Malik, W.A.; Lu, X.K.; Wang, D.L.; Wang, J.J.; et al. Comprehensive genomic characterization of cotton cationic amino acid transporter genes reveals that GhCAT10D regulates salt tolerance. BMC Plant Biol. 2022, 22, 441. [Google Scholar] [CrossRef]
- Wang, C.; Wang, T.; Liu, M.; Zhang, S.; Wu, C. Small peptide SiDVL/RTFLs from foxtail millet inhibit root growth through repressing auxin signaling in transgenic Arabidopsis. Plant Cell Rep. 2024, 43, 268. [Google Scholar] [CrossRef]
- Zhao, P.X.; Zhang, J.; Chen, S.Y.; Zhang, Z.S.; Wan, G.Y.; Mao, J.L.; Wang, Z.; Tan, S.T.; Xiang, C.B. ERF1 inhibits lateral root emergence by promoting local auxin accumulation and repressing ARF7 expression. Cell Rep. 2023, 42, 112565. [Google Scholar] [CrossRef]
- Mandal, D.; Datta, S.; Raveendar, G.; Mondal, P.K.; Nag Chaudhuri, R. RAV1 mediates cytokinin signaling for regulating primary root growth in Arabidopsis. Plant J. 2023, 113, 106–126. [Google Scholar] [CrossRef] [PubMed]
- Passaia, G.; Queval, G.; Bai, J.; Margis-Pinheiro, M.; Foyer, C.H. The effects of redox controls mediated by glutathione peroxidases on root architecture in Arabidopsis thaliana. J. Exp. Bot. 2014, 65, 1403–1413. [Google Scholar] [CrossRef] [PubMed]
- Luo, H.H.; Tao, X.P.; Hu, Y.Y.; Zhang, Y.L.; Zhang, W.F. Response of cotton root growth and yield to root restriction under various water and nitrogen regimes. J. Plant Nutr. Soil Sci. 2015, 178, 384–392. [Google Scholar] [CrossRef]
- Liu, X.J.; Zhou, H.J.; Yang, Q.S. Effects of Root Zone Restriction on Morphological Characteristics, Biomass, and Substrate Properties of Tree Peony. North. Hortic. 2015, 17, 49–52. (In Chinese) [Google Scholar] [CrossRef]
- Yang, Y.; Zhang, Z.H.; Wang, G.; Yang, Y.; Guo, H. Photosynthesis, growth, and yield of Paeonia ostii in tree-based agroforestry systems. Photosynthetica 2020, 58, 29–36. [Google Scholar] [CrossRef]






| Quantitative Character | Minimum Value | Maximum Value | Mean Value | Standard Deviation | Coefficient of Variation/% |
|---|---|---|---|---|---|
| AGB (g) | 6.48 | 76.37 | 33.87 | 25.30 | 74.68% |
| RB (g) | 16.68 | 97.75 | 47.15 | 32.86 | 69.70% |
| RSR | 0.68 | 2.57 | 1.60 | 0.53 | 32.93% |
| RL (cm) | 922.76 | 8564.30 | 4554.12 | 2569.72 | 56.43% |
| SA (cm2) | 368.76 | 2885.23 | 1491.71 | 797.69 | 53.47% |
| AD (mm) | 0.88 | 1.57 | 1.17 | 0.22 | 18.48% |
| RV (cm3) | 11.73 | 130.25 | 48.36 | 35.31 | 73.01% |
| RT | 2486.00 | 22,344.00 | 10,992.89 | 6409.14 | 58.30% |
| RF | 1816.00 | 14,271.00 | 7817.22 | 4592.95 | 58.75% |
| Functional Trait | Principal Component 1 | Principal Component 2 | Comprehensive Score | Comprehensive Ranking | Communality |
|---|---|---|---|---|---|
| RB | 0.878 | 0.374 | 0.324 | 1 | 0.911 |
| RZV | 0.920 | 0.276 | 0.324 | 2 | 0.923 |
| RV | 0.936 | 0.225 | 0.321 | 3 | 0.927 |
| AGB | 0.888 | 0.297 | 0.316 | 4 | 0.876 |
| SA | 0.981 | −0.127 | 0.286 | 5 | 0.978 |
| RF | 0.960 | −0.199 | 0.270 | 6 | 0.961 |
| RT | 0.931 | −0.181 | 0.264 | 7 | 0.900 |
| RL | 0.928 | −0.312 | 0.244 | 8 | 0.958 |
| AD | −0.194 | 0.933 | 0.069 | 9 | 0.907 |
| RSR | −0.548 | 0.187 | −0.144 | 10 | 0.335 |
| Eigenvalue (math.) | 2.689 | 1.202 | |||
| contribution rate | 72.310 | 14.460 | |||
| Cumulative contribution rate | 72.310 | 86.770 |
| Gene Symbol | Sequence of Primer | GenBank Sequence ID |
|---|---|---|
| ACTIN1 | F: 5′-TGGATTTGCTGGAGATGATGC-3′ R: 5′-TCCATATCATCCCAGTTGCTC-3′ | XM_024302219.2 |
| PIN1 | F: 5′-GACTTCTACCACGTCATGAC-3′ R: 5′-GAGGAAGCGGGTGTTCATG-3′ | KF543362.1 |
| AUX1 | F: 5′-CTGTGCTTCCAATCAAGTGG-3′ R: 5′-ATCAAGCACTTCAAACCACTG-3′ | XM_024333122.2 |
| TIR1 | F: 5′-ACGTGTTCTCGTTCCTGCA-3′ R: 5′-ATTGAAGTCGGCGAAGTGAG-3′ | XM_024306982.2 |
| SOD | F: 5′-AGAAGCACCACCAGGCTTA-3′ R: 5′-CAGTGGTTTCAACCACAACC-3′ | XM_024322895.2 |
| GPX8 | F: 5′-ACTGATTGTCAATGTTGCTTCC-3′ R: 5′-ATGGAGCAGCATTATCACCAT-3′ | XM_050523083.1 |
| GPX3 | F: 5′-TACGAATTCACTGTCAAGGATATTC-3′ R: 5′-GTTTCCTGGCTCTTGTCCTG-3′ | XM_062138578.1 |
| CAT | F: 5′-ATGGATCCTTACAAGTACCGC-3′ R: 5′-AATCCCTTTGCACTGGCTC-3′ | XM_062170099.1 |
Disclaimer/Publisher’s Note: The statements, opinions and data contained in all publications are solely those of the individual author(s) and contributor(s) and not of MDPI and/or the editor(s). MDPI and/or the editor(s) disclaim responsibility for any injury to people or property resulting from any ideas, methods, instructions or products referred to in the content. |
© 2025 by the authors. Licensee MDPI, Basel, Switzerland. This article is an open access article distributed under the terms and conditions of the Creative Commons Attribution (CC BY) license (https://creativecommons.org/licenses/by/4.0/).
Share and Cite
Xing, Q.; Zhao, R.; Zhou, P.; Qin, J.; Liu, H.; Yu, S.; Zhao, B.; Hu, Y. Plasticity of Root Architecture and ROS–Auxin Regulation in Paeonia ostii Under Root-Zone Restriction. Plants 2025, 14, 1889. https://doi.org/10.3390/plants14121889
Xing Q, Zhao R, Zhou P, Qin J, Liu H, Yu S, Zhao B, Hu Y. Plasticity of Root Architecture and ROS–Auxin Regulation in Paeonia ostii Under Root-Zone Restriction. Plants. 2025; 14(12):1889. https://doi.org/10.3390/plants14121889
Chicago/Turabian StyleXing, Qiang, Ruotong Zhao, Peng Zhou, Jun Qin, Heming Liu, Shuiyan Yu, Bin Zhao, and Yonghong Hu. 2025. "Plasticity of Root Architecture and ROS–Auxin Regulation in Paeonia ostii Under Root-Zone Restriction" Plants 14, no. 12: 1889. https://doi.org/10.3390/plants14121889
APA StyleXing, Q., Zhao, R., Zhou, P., Qin, J., Liu, H., Yu, S., Zhao, B., & Hu, Y. (2025). Plasticity of Root Architecture and ROS–Auxin Regulation in Paeonia ostii Under Root-Zone Restriction. Plants, 14(12), 1889. https://doi.org/10.3390/plants14121889

