Genome-Wide Identification and Expression Analysis of the HSP90 Gene Family in Relation to Developmental and Abiotic Stress in Ginger (Zingiber officinale Roscoe)
Abstract
1. Introduction
2. Results
2.1. Identification and Physicochemical Properties of Ginger HSP90 Genes
2.2. Synteny Analysis of the HSP90 Gene Family in Ginger
2.3. Phylogenetic Analysis of the HSP90 Gene Family
2.4. Analysis of Conserved Motifs and Gene Structure of HSP90 in Ginger
2.5. Cis-Acting Elements in the Promoters of HSP90 Genes in Ginger
2.6. Analysis of Gene Expression Characteristics of Ginger HSP90
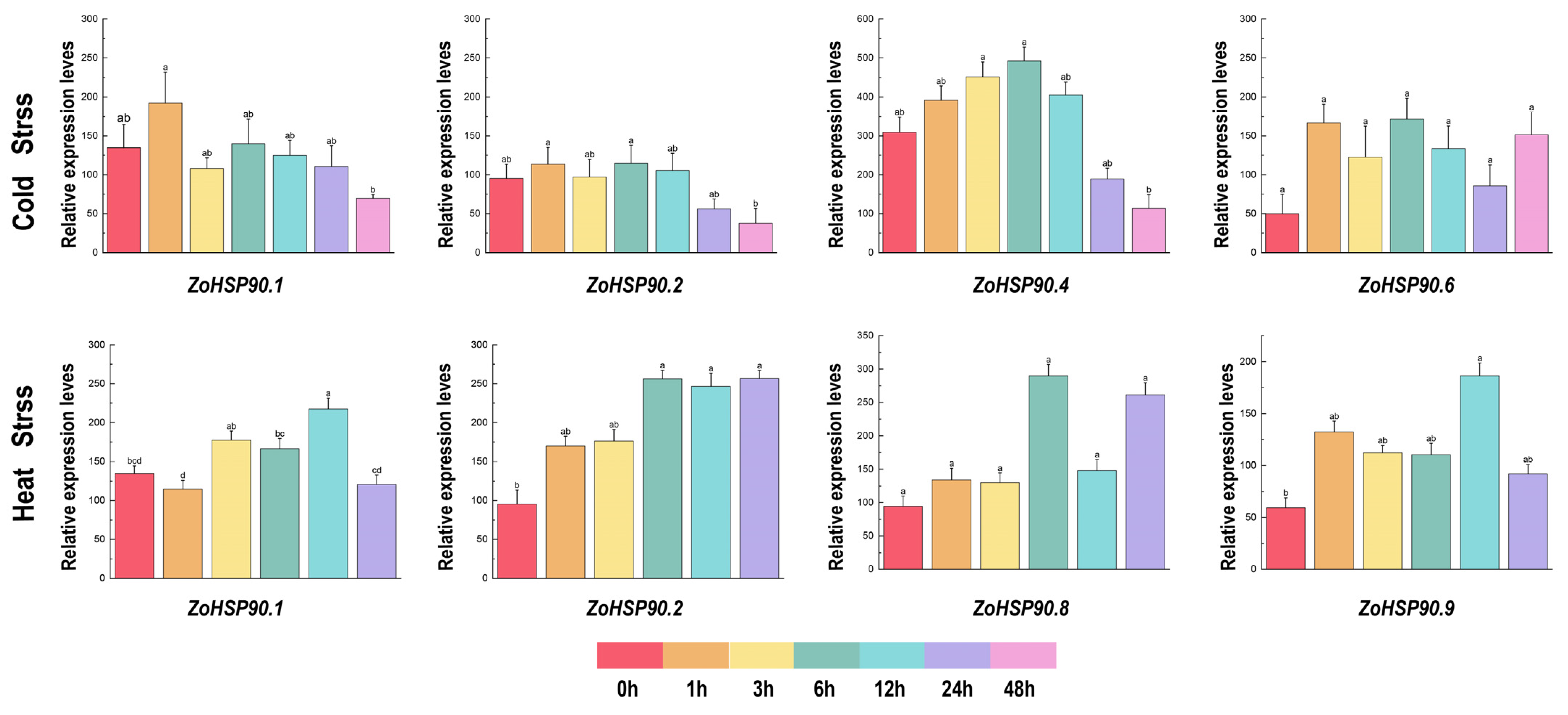
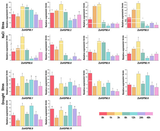
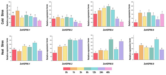
2.7. Expression Analysis of Ginger HSP90 Genes in Response to Low-Temperature, Drought, High-Temperature, and Salt Stress
2.8. QRT-PCR Analysis of Ginger HSP90 Gene Family Members
3. Discussion
4. Materials and Methods
4.1. Cultivation and Treatment of Experimental Materials
4.2. Identification of Ginger HSP90 Gene Family
4.3. Collinearity, Phylogenetic Analysis and Protein Interaction Network Prediction of the Ginger HSP90 Gene Family
4.4. Analysis of Conserved Motifs, Gene Structure, and Cis-Acting Elements of Ginger HSP90
4.5. Expression Analysis of Ginger HSP90 Gene in Response to Stress
4.6. Statistical Analyses
5. Conclusions
Supplementary Materials
Author Contributions
Funding
Institutional Review Board Statement
Data Availability Statement
Acknowledgments
Conflicts of Interest
References
- Lesk, C.; Anderson, W. Decadal variability modulates trends in concurrent heat and drought over global croplands. Environ. Res. Lett. 2021, 16, 055024. [Google Scholar] [CrossRef]
- Wing, I.S.; De Cian, E.; Mistry, M.N. Global vulnerability of crop yields to climate change. J. Environ. Econ. Manag. 2021, 109, 102462. [Google Scholar] [CrossRef]
- Tiwari, M.; Kumar, R.; Min, D.; Jagadish, S.V.K. Genetic and molecular mechanisms underlying root architecture and function under heat stress—A hidden story. Plant Cell Environ. 2022, 45, 771–788. [Google Scholar] [CrossRef] [PubMed]
- Liu, B.; Zhang, D.; Zhang, H.; Asseng, S.; Yin, T.; Qiu, X.; Ye, Z.; Liu, L.; Tang, L.; Cao, W. Separating the impacts of heat stress events from rising mean temperatures on winter wheat yield of China. Environ. Res. Lett. 2021, 16, 124035. [Google Scholar] [CrossRef]
- Verma, K.K.; Song, X.P.; Kumari, A.; Jagadesh, M.; Singh, S.K.; Bhatt, R.; Singh, M.; Seth, C.S.; Li, Y.R. Climate change adaptation: Challenges for agricultural sustainability. Plant Cell Environ. 2025, 48, 2522–2533. [Google Scholar] [CrossRef]
- Yang, Y.; Tilman, D.; Jin, Z.; Smith, P.; Barrett, C.B.; Zhu, Y.-G.; Burney, J.; D’Odorico, P.; Fantke, P.; Fargione, J. Climate change exacerbates the environmental impacts of agriculture. Science 2024, 385, eadn3747. [Google Scholar] [CrossRef]
- Zhang, J.; Tian, H.; Li, X.; Qin, X.; Fang, S.; Zhang, J.; Zhang, W.; Wang, S.; Pan, S. A warmer and wetter world would aggravate GHG emissions intensity in China’s cropland. Earth’s Future 2024, 12, e2023EF003614. [Google Scholar] [CrossRef]
- Retana-Cordero, M.; Fisher, P.R.; Gómez, C. Modeling the effect of temperature on ginger and turmeric rhizome sprouting. Agronomy 2021, 11, 1931. [Google Scholar] [CrossRef]
- Chen, B.; Piel, W.H.; Gui, L.; Bruford, E.; Monteiro, A. The HSP90 family of genes in the human genome: Insights into their divergence and evolution. Genomics 2005, 86, 627–637. [Google Scholar] [CrossRef]
- Hoter, A.; El-Sabban, M.E.; Naim, H.Y. The HSP90 family: Structure, regulation, function, and implications in health and disease. Int. J. Mol. Sci. 2018, 19, 2560. [Google Scholar] [CrossRef]
- Zhang, K.; He, S.; Sui, Y.; Gao, Q.; Jia, S.; Lu, X.; Jia, L. Genome-wide characterization of HSP90 gene family in cucumber and their potential roles in response to abiotic and biotic stresses. Front. Genet. 2021, 12, 584886. [Google Scholar] [CrossRef] [PubMed]
- Hu, Y.; Zhang, T.; Wang, P.; Li, Y.; Wang, M.; Zhu, B.; Liao, D.; Yun, T.; Huang, W.; Chen, Y. Genome-wide characterization of HSP90 Gene family in chinese pumpkin (Cucurbita moschata Duch.) and their expression patterns in response to heat and cold stresses. Agronomy 2023, 13, 430. [Google Scholar] [CrossRef]
- Zhang, J.; Li, J.; Liu, B.; Zhang, L.; Chen, J.; Lu, M. Genome-wide analysis of the Populus Hsp90 gene family reveals differential expression patterns, localization, and heat stress responses. BMC Genom. 2013, 14, 532. [Google Scholar] [CrossRef]
- Bettaieb, I.; Hamdi, J.; Bouktila, D. Genome-wide analysis of HSP90 gene family in the Mediterranean olive (Olea europaea subsp. europaea) provides insight into structural patterns, evolution and functional diversity. Physiol. Mol. Biol. Plants 2020, 26, 2301–2318. [Google Scholar] [PubMed]
- Milioni, D.; Hatzopoulos, P. Genomic organization of hsp90 gene family in Arabidopsis. Plant Mol. Biol. 1997, 35, 955–961. [Google Scholar] [CrossRef]
- Peng, J.; Liu, S.; Wu, J.; Liu, T.; Liu, B.; Xiong, Y.; Zhao, J.; You, M.; Lei, X.; Ma, X. Genome-wide analysis of the oat (Avena sativa) HSP90 gene family reveals its identification, evolution, and response to abiotic stress. Int. J. Mol. Sci. 2024, 25, 2305. [Google Scholar] [CrossRef]
- Sajad, S.; Jiang, S.; Anwar, M.; Dai, Q.; Luo, Y.; Hassan, M.A.; Tetteh, C.; Song, J. Genome-wide study of Hsp90 gene family in cabbage (Brassica oleracea var. capitata L.) and their imperative roles in response to cold stress. Front. Plant Sci. 2022, 13, 908511. [Google Scholar]
- Tang, S.; Ling, Q.; Ma, Q.; Cheng, Y.; Mei, P.; Miao, Y.; Pan, Y.; Jia, Y.; Wu, M.; Yong, X. LrHSP17.2 plays an important role in abiotic stress responses by regulating ROS scavenging and stress-related genes in lilium regale. Plants 2024, 13, 2416. [Google Scholar] [CrossRef]
- Appiah, C.; Yang, Z.-F.; He, J.; Wang, Y.; Zhou, J.; Xu, W.-Z.; Nie, G.; Zhu, Y.-Q. Genome-wide identification of Hsp90 gene family in perennial ryegrass and expression analysis under various abiotic stresses. Plants 2021, 10, 2509. [Google Scholar] [CrossRef]
- Xu, J.; Xue, C.; Xue, D.; Zhao, J.; Gai, J.; Guo, N.; Xing, H. Overexpression of GmHsp90s, a heat shock protein 90 (Hsp90) gene family cloning from soybean, decrease damage of abiotic stresses in Arabidopsis thaliana. PLoS ONE 2013, 8, e69810. [Google Scholar] [CrossRef]
- Song, Z.; Pan, F.; Yang, C.; Jia, H.; Jiang, H.; He, F.; Li, N.; Lu, X.; Zhang, H. Genome-wide identification and expression analysis of HSP90 gene family in Nicotiana tabacum. BMC Genet. 2019, 20, 35. [Google Scholar] [CrossRef] [PubMed]
- Haxim, Y.; Si, Y.; Liu, X.; Wen, X.; Kahar, G.; Ding, Y.; Li, X.; Zhang, D. Genome-wide characterization of HSP90 gene family in Malus sieversii and their potential roles in response to Valsa mali infection. Forests 2021, 12, 1232. [Google Scholar] [CrossRef]
- Li, H.L.; Wu, L.; Dong, Z.; Jiang, Y.; Jiang, S.; Xing, H.; Li, Q.; Liu, G.; Tian, S.; Wu, Z. Haplotype-resolved genome of diploid ginger (Zingiber officinale) and its unique gingerol biosynthetic pathway. Hortic. Res. 2021, 8, 189. [Google Scholar] [CrossRef] [PubMed]
- Hurst, L.D. The Ka/Ks ratio: Diagnosing the form of sequence evolution. Trends Genet. 2002, 18, 486–487. [Google Scholar] [CrossRef] [PubMed]
- Li, W.; Chen, Y.; Ye, M.; Wang, D.; Chen, Q. Evolutionary history of the heat shock protein 90 (Hsp90) family of 43 plants and characterization of Hsp90s in Solanum tuberosum. Mol. Biol. Rep. 2020, 47, 6679–6691. [Google Scholar] [CrossRef]
- Hu, W.; Hu, G.; Han, B. Genome-wide survey and expression profiling of heat shock proteins and heat shock factors revealed overlapped and stress specific response under abiotic stresses in rice. Plant Sci. 2009, 176, 583–590. [Google Scholar] [CrossRef]
- Braun, J.W.; Khan, A.A. Alleviation of salinity and high temperature stress by plant growth regulators permeated into lettuce seeds via acetone. J. Am. Soc. Hortic. Sci. 1976, 101, 716–721. [Google Scholar] [CrossRef]
- Yan, Y.; Guo, Y.T.; Chang, C.; Li, X.M.; Zhang, M.; Ding, C.H.; Cui, D.Q.; Sun, C.W.; Ren, Y.; Wang, M.L.; et al. HSP90.2 modulates 2Q2-mediated wheat resistance against powdery mildew. Plant Cell Environ. 2023, 46, 1935–1945. [Google Scholar] [CrossRef]
- Pearl, L.H.; Prodromou, C. Structure and mechanism of the Hsp90 molecular chaperone machinery. Annu. Rev. Biochem. 2006, 75, 271–294. [Google Scholar] [CrossRef]
- Panaretou, B.; Prodromou, C.; Roe, S.M.; O’Brien, R.; Ladbury, J.E.; Piper, P.W.; Pearl, L.H. ATP binding and hydrolysis are essential to the function of the Hsp90 molecular chaperone in vivo. EMBO J. 1998, 17, 4829–4836. [Google Scholar] [CrossRef]
- Weston, D.J.; Karve, A.A.; Gunter, L.E.; Jawdy, S.S.; Yang, X.; Allen, S.M.; Wullschleger, S.D. Comparative physiology and transcriptional networks underlying the heat shock response in Populus trichocarpa, Arabidopsis thaliana and Glycine max. Plant Cell Environ. 2011, 34, 1488–1506. [Google Scholar] [CrossRef]
- Lallemand, T.; Leduc, M.; Landès, C.; Rizzon, C.; Lerat, E. An Overview of Duplicated Gene Detection Methods: Why the Duplication Mechanism Has to Be Accounted for in Their Choice. Genes 2020, 11, 1046. [Google Scholar] [CrossRef] [PubMed]
- Liu, D.; Zhang, P.; Zhou, T.; Wu, Y.; Yuan, M.; Zhang, X.; Liu, Y. Genome-wide characterization and expression analysis of the bHLH gene family in response to abiotic stresses in Zingiber officinale Roscoe. BMC Genom. 2025, 26, 143. [Google Scholar] [CrossRef] [PubMed]
- Wang, L.; Liu, F.; Ju, L.; Xue, B.; Wang, Y.; Wang, D.; Hou, D. Genome structures and evolution analysis of Hsp90 gene family in Brassica napus reveal the possible roles of members in response to salt stress and the infection of Sclerotinia sclerotiorum. Front. Plant Sci. 2022, 13, 854034. [Google Scholar] [CrossRef] [PubMed]
- Zhang, M.; Shen, Z.; Meng, G.; Lu, Y.; Wang, Y. Genome-wide analysis of the Brachypodium distachyon (L.) P. Beauv. Hsp90 gene family reveals molecular evolution and expression profiling under drought and salt stresses. PLoS ONE 2017, 12, e0189187. [Google Scholar]
- Wang, H.; Dong, Z.; Chen, J.; Wang, M.; Ding, Y.; Xue, Q.; Liu, W.; Niu, Z.; Ding, X. Genome-wide identification and expression analysis of the Hsp20, Hsp70 and Hsp90 gene family in Dendrobium officinale. Front. Plant Sci. 2022, 13, 979801. [Google Scholar] [CrossRef]
- Reddy, P.S.; Thirulogachandar, V.; Vaishnavi, C.; Aakrati, A.; Sopory, S.K.; Reddy, M.K. Molecular characterization and expression of a gene encoding cytosolic Hsp90 from Pennisetum glaucum and its role in abiotic stress adaptation. Gene 2011, 474, 29–38. [Google Scholar] [CrossRef]
- Skolnick, J.; Fetrow, J.S. From genes to protein structure and function: Novel applications of computational approaches in the genomic era. Trends Biotechnol. 2000, 18, 34–39. [Google Scholar] [CrossRef]
- Wang, R.; Zhang, Y.; Kieffer, M.; Yu, H.; Kepinski, S.; Estelle, M. HSP90 regulates temperature-dependent seedling growth in Arabidopsis by stabilizing the auxin co-receptor F-box protein TIR1. Nat. Commun. 2016, 7, 10269. [Google Scholar] [CrossRef]
- Kim, K.H.; Alam, I.; Kim, Y.G.; Sharmin, S.A.; Lee, K.W.; Lee, S.H.; Lee, B.H. Overexpression of a chloroplast-localized small heat shock protein OsHSP26 confers enhanced tolerance against oxidative and heat stresses in tall fescue. Biotechnol. Lett. 2012, 34, 371–377. [Google Scholar] [CrossRef]
- Queitsch, C.; Sangster, T.A.; Lindquist, S. Hsp90 as a capacitor of phenotypic variation. Nature 2002, 417, 618–624. [Google Scholar] [CrossRef] [PubMed]
- Prasinos, C.; Krampis, K.; Samakovli, D.; Hatzopoulos, P. Tight regulation of expression of two Arabidopsis cytosolic Hsp90 genes during embryo development. J. Exp. Bot. 2005, 56, 633–644. [Google Scholar] [CrossRef]
- Lauwers, E.; Wang, Y.C.; Gallardo, R.; Van der Kant, R.; Michiels, E.; Swerts, J.; Baatsen, P.; Zaiter, S.S.; McAlpine, S.R.; Gounko, N.V. Hsp90 mediates membrane deformation and exosome release. Mol. Cell 2018, 71, 689–702.e9. [Google Scholar] [CrossRef] [PubMed]
- Ke, Y.; Xu, M.; Hwarari, D.; Chen, J.; Yang, L. Genomic survey of heat shock proteins in Liriodendron chinense provides insight into evolution, characterization, and functional diversities. Int. J. Mol. Sci. 2022, 23, 15051. [Google Scholar] [CrossRef] [PubMed]
- Sun, X.; Sun, C.; Li, Z.; Hu, Q.; Han, L.; Luo, H. AsHSP17, a creeping bentgrass small heat shock protein modulates plant photosynthesis and ABA-dependent and independent signalling to attenuate plant response to abiotic stress. Plant Cell Environ. 2016, 39, 1320–1337. [Google Scholar] [CrossRef] [PubMed]
- Xu, X.; Song, H.; Zhou, Z.; Shi, N.; Ying, Q.; Wang, H. Functional characterization of AtHsp90. 3 in Saccharomyces cerevisiae and Arabidopsis thaliana under heat stress. Biotechnol. Lett. 2010, 32, 979–987. [Google Scholar] [CrossRef]
- Yabe, N.; Takahashi, T.; Komeda, Y. Analysis of tissue-specific expression of Arabidopsis thaliana HSP90-family gene HSP81. Plant Cell Physiol. 1994, 35, 1207–1219. [Google Scholar] [CrossRef]
- Krishna, P.; Sacco, M.; Cherutti, J.F.; Hill, S. Cold-induced accumulation of hsp90 transcripts in Brassica napus. Plant Physiol. 1995, 107, 915–923. [Google Scholar] [CrossRef]
- Pareek, A.; Singla, S.L.; Grover, A. Plant Hsp90 family with special reference to rice. J. Biosci. 1998, 23, 361–367. [Google Scholar] [CrossRef]
- Liu, L.; Liu, S.; Weng, J.; Wang, C.; Li, X.; Zhang, S.; Shi, Q.; Wang, L.; Hao, Z. Cloning and expression analysis of heat shock protein gene ZmHsp90-1 in maize. Acta Agron. Sin. 2012, 38, 1839–1846. [Google Scholar] [CrossRef]
- Hao, Z.; Li, X.; Su, Z.; Xie, C.; Li, M.; Liang, X.; Weng, J.; Zhang, D.; Li, L.; Zhang, S. A proposed selection criterion for drought resistance across multiple environments in maize. Breed. Sci. 2011, 61, 101–108. [Google Scholar] [CrossRef]
- Zhang, H.; Li, L.; Ye, T.; Chen, R.; Gao, X.; Xu, Z. Molecular characterization, expression pattern and function analysis of the OsHSP90 family in rice. Biotechnol. Biotechnol. Equip. 2016, 30, 669–676. [Google Scholar] [CrossRef]
- Samakovli, D.; Tichá, T.; Vavrdová, T.; Ovečka, M.; Luptovčiak, I.; Zapletalová, V.; Kuchařová, A.; Křenek, P.; Krasylenko, Y.; Margaritopoulou, T. YODA-HSP90 module regulates phosphorylation-dependent inactivation of SPEECHLESS to control stomatal development under acute heat stress in Arabidopsis. Mol. Plant 2020, 13, 612–633. [Google Scholar] [CrossRef] [PubMed]
- Potter, S.C.; Luciani, A.; Eddy, S.R.; Park, Y.; Lopez, R.; Finn, R.D. HMMER web server: 2018 update. Nucleic Acids Res. 2018, 46, W200–W204. [Google Scholar] [CrossRef]
- Hu, B.; Jin, J.; Guo, A.-Y.; Zhang, H.; Luo, J.; Gao, G. GSDS 2.0: An upgraded gene feature visualization server. Bioinformatics 2015, 31, 1296–1297. [Google Scholar] [CrossRef]
- Finn, R.D.; Coggill, P.; Eberhardt, R.Y.; Eddy, S.R.; Mistry, J.; Mitchell, A.L.; Potter, S.C.; Punta, M.; Qureshi, M.; Sangrador-Vegas, A. The Pfam protein families database: Towards a more sustainable future. Nucleic Acids Res. 2016, 44, D279–D285. [Google Scholar] [CrossRef]
- Artimo, P.; Jonnalagedda, M.; Arnold, K.; Baratin, D.; Csardi, G.; De Castro, E.; Duvaud, S.; Flegel, V.; Fortier, A.; Gasteiger, E. ExPASy: SIB bioinformatics resource portal. Nucleic Acids Res. 2012, 40, W597–W603. [Google Scholar] [CrossRef]
- Wang, Y.; Tang, H.; DeBarry, J.D.; Tan, X.; Li, J.; Wang, X.; Lee, T.-H.; Jin, H.; Marler, B.; Guo, H. MCScanX: A toolkit for detection and evolutionary analysis of gene synteny and collinearity. Nucleic Acids Res. 2012, 40, e49. [Google Scholar] [CrossRef]
- Kumar, S.; Stecher, G.; Li, M.; Knyaz, C.; Tamura, K. MEGA X: Molecular evolutionary genetics analysis across computing platforms. Mol. Biol. Evol. 2018, 35, 1547–1549. [Google Scholar] [CrossRef]
- Bailey, T.L.; Johnson, J.; Grant, C.E.; Noble, W.S. The MEME suite. Nucleic Acids Res. 2015, 43, W39–W49. [Google Scholar] [CrossRef]
- Chen, C.; Chen, H.; Zhang, Y.; Thomas, H.R.; Frank, M.H.; He, Y.; Xia, R. TBtools: An integrative toolkit developed for interactive analyses of big biological data. Mol. Plant 2020, 13, 1194–1202. [Google Scholar] [CrossRef]
- Lescot, M.; Déhais, P.; Thijs, G.; Marchal, K.; Moreau, Y.; Van de Peer, Y.; Rouzé, P.; Rombauts, S. PlantCARE, a database of plant cis-acting regulatory elements and a portal to tools for in silico analysis of promoter sequences. Nucleic Acids Res. 2002, 30, 325–327. [Google Scholar] [CrossRef] [PubMed]
- Lu, Y.; Zhao, P.; Zhang, A.; Ma, L.; Xu, S.; Wang, X. Alternative splicing diversified the heat response and evolutionary strategy of conserved heat shock protein 90s in hexaploid wheat (Triticum aestivum L.). Front. Genet. 2020, 11, 577897. [Google Scholar] [CrossRef] [PubMed]
- Freeling, M. Bias in plant gene content following different sorts of duplication: Tandem, whole-genome, segmental, or by transposition. Annu. Rev. Plant Biol 2009, 60, 433–453. [Google Scholar] [CrossRef] [PubMed]










| Gene Name | Gene ID | Chromosome | Length | Mw (KDa) | PI | Instability Index | Subcellular Localization (Prediction) |
|---|---|---|---|---|---|---|---|
| ZoHSP90.1 | Maker00069539 | Chr.08 | 798 | 38.71 | 6.72 | 78.45 | Endoplasmic reticulum |
| ZoHSP90.2 | Maker00025278 | Chr.10 | 306 | 25.82 | 9.16 | 82.29 | Cytoplasm |
| ZoHSP90.3 | Maker00026777 | Chr.10 | 799 | 49.34 | 9.38 | 78.96 | Endoplasmic reticulum |
| ZoHSP90.4 | Maker00053883 | Chr.10 | 306 | 61.24 | 6.73 | 82.61 | Cytoplasm |
| ZoHSP90.5 | Maker00076528 | Chr.10 | 330 | 48.45 | 7.00 | 84.85 | Endoplasmic reticulum |
| ZoHSP90.6 | Maker00064857 | Chr.16 | 325 | 39.81 | 8.47 | 81.97 | Cytoplasm |
| ZoHSP90.7 | Maker00070892 | Chr.16 | 886 | 54.58 | 6.68 | 84.28 | Endoplasmic reticulum/Mitochondrion |
| ZoHSP90.8 | Maker00030538 | Chr.18 | 332 | 66.94 | 8.24 | 86.39 | Cytoplasm |
| ZoHSP90.9 | Maker00057709 | Chr.18 | 736 | 30.89 | 5.77 | 82 | Endoplasmic reticulum/Mitochondrion |
| ZoHSP90.10 | Maker00052350 | Chr.22 | 802 | 32.45 | 6.01 | 79.61 | Endoplasmic reticulum |
| ZoHSP90.11 | Maker00052464 | Chr.22 | 327 | 33.88 | 7.21 | 85.02 | Cytoplasm |
| Paralog Pairs | S-Sites | N-Sites | Ka | Ks | Ka/Ks | Duplication Time (Mya) |
|---|---|---|---|---|---|---|
| ZoHSP90.7-ZoHSP90.9 | 463.92 | 1696.08 | 0.06 | 0.59 | 0.10 | 9.9 |
| ZoHSP90.6-ZoHSP90.4 | 202.92 | 715.08 | 0.02 | 0.64 | 0.03 | 10.7 |
| ZoHSP90.6-ZoHSP90.2 | 201.58 | 716.42 | 0.02 | 1.02 | 0.02 | 17.0 |
| ZoHSP90.11-ZoHSP90.2 | 201.00 | 717.10 | 0.01 | 0.69 | 0.02 | 11.6 |
| ZoHSP90.10-ZoHSP90.3 | 528.75 | 1868.25 | 0.04 | 0.41 | 0.11 | 6.8 |
Disclaimer/Publisher’s Note: The statements, opinions and data contained in all publications are solely those of the individual author(s) and contributor(s) and not of MDPI and/or the editor(s). MDPI and/or the editor(s) disclaim responsibility for any injury to people or property resulting from any ideas, methods, instructions or products referred to in the content. |
© 2025 by the authors. Licensee MDPI, Basel, Switzerland. This article is an open access article distributed under the terms and conditions of the Creative Commons Attribution (CC BY) license (https://creativecommons.org/licenses/by/4.0/).
Share and Cite
Xiao, D.; Jiang, Y.; Wang, Z.; Li, X.; Li, H.; Tang, S.; Zhang, J.; Xia, M.; Zhang, M.; Deng, X.; et al. Genome-Wide Identification and Expression Analysis of the HSP90 Gene Family in Relation to Developmental and Abiotic Stress in Ginger (Zingiber officinale Roscoe). Plants 2025, 14, 1660. https://doi.org/10.3390/plants14111660
Xiao D, Jiang Y, Wang Z, Li X, Li H, Tang S, Zhang J, Xia M, Zhang M, Deng X, et al. Genome-Wide Identification and Expression Analysis of the HSP90 Gene Family in Relation to Developmental and Abiotic Stress in Ginger (Zingiber officinale Roscoe). Plants. 2025; 14(11):1660. https://doi.org/10.3390/plants14111660
Chicago/Turabian StyleXiao, Daoyan, Yajun Jiang, Zhaofei Wang, Xingyue Li, Hui Li, Shihao Tang, Jiling Zhang, Maoqin Xia, Meixia Zhang, Xingfeng Deng, and et al. 2025. "Genome-Wide Identification and Expression Analysis of the HSP90 Gene Family in Relation to Developmental and Abiotic Stress in Ginger (Zingiber officinale Roscoe)" Plants 14, no. 11: 1660. https://doi.org/10.3390/plants14111660
APA StyleXiao, D., Jiang, Y., Wang, Z., Li, X., Li, H., Tang, S., Zhang, J., Xia, M., Zhang, M., Deng, X., Li, H.-L., & Liu, H. (2025). Genome-Wide Identification and Expression Analysis of the HSP90 Gene Family in Relation to Developmental and Abiotic Stress in Ginger (Zingiber officinale Roscoe). Plants, 14(11), 1660. https://doi.org/10.3390/plants14111660
