The Geometric Series Hypothesis of Leaf Area Distribution and Its Link to the Calculation of the Total Leaf Area per Shoot of Sasaella kongosanensis ‘Aureostriatus’
Abstract
1. Introduction
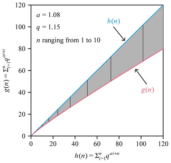
2. Theory
3. Materials and Methods
3.1. Leaf Sampling and Data Acquisition
3.2. Data Analysis
4. Results
5. Discussion
6. Conclusions
Supplementary Materials
Author Contributions
Funding
Data Availability Statement
Acknowledgments
Conflicts of Interest
References
- Poorter, H.; Niinemets, Ü.; Poorter, L.; Wright, I.J.; Villar, R. Causes and consequences of variation in leaf mass per area (LMA): A meta-analysis. N. Phytol. 2009, 182, 565–588. [Google Scholar] [CrossRef]
- De la Riva, E.G.; Olmo, M.; Poorter, H.; Ubera, J.L.; Villar, R. Leaf mass per area (LMA) and its relationship with leaf structure and anatomy in 34 Mediterranean woody species along a water availability gradient. PLoS ONE 2016, 11, e0148788. [Google Scholar] [CrossRef]
- Shi, P.; Deng, L.; Miao, Q.; Chen, L.; Yu, H.; Zhu, F.; Niklas, K.J. Scaling relationships of lamina mass per unit area, mean thickness, and leaf bulk tissue density across nine diverse species. Am. J. Bot. 2024, 111, e16442. [Google Scholar] [CrossRef]
- Smith, D.D.; Sperry, J.S.; Adler, F.R. Convergence in leaf size versus twig leaf area scaling: Do plants optimize leaf area partitioning? Ann. Bot. 2017, 119, 447–456. [Google Scholar] [CrossRef] [PubMed]
- Koyama, K.; Smith, D.D. Scaling the leaf length-times-width equation to predict total leaf area of shoots. Ann. Bot. 2022, 130, 215–230. [Google Scholar] [CrossRef] [PubMed]
- Wang, C.; Heng, Y.; Xu, Q.; Zhou, Y.; Sun, X.; Wang, Y.; Yao, W.; Lian, M.; Li, Q.; Zhang, L.; et al. Scaling relationships between the total number of leaves and the total leaf area per culm of two dwarf bamboo species. Ecol. Evol. 2024, 14, e70002. [Google Scholar] [CrossRef]
- Parkhurst, D.F.; Loucks, O.L. Optimal leaf size in relation to environment. J. Ecol. 1972, 60, 505–537. [Google Scholar] [CrossRef]
- Craine, J.M.; Dybzinski, R. Mechanisms of plant competition for nutrients, water and light. Funct. Ecol. 2013, 27, 833–840. [Google Scholar] [CrossRef]
- Wright, I.J.; Dong, N.; Maire, V.; Prentice, I.C.; Westoby, M.; Díaz, S.; Gallagher, R.V.; Jacobs, B.F.; Kooyman, R.; Law, E.A.; et al. Global climatic drivers of leaf size. Science 2017, 357, 917–921. [Google Scholar] [CrossRef] [PubMed]
- Baird, A.S.; Taylor, S.H.; Pasquet-Kok, J.; Vuong, C.; Zhang, Y.; Watcharamongkol, T.; Scoffoni, C.; Edwards, E.J.; Christin, P.A.; Osborne, C.P.; et al. Developmental and biophysical determinants of grass leaf size worldwide. Nature 2021, 592, 242–247. [Google Scholar] [CrossRef] [PubMed]
- Schrader, J.; Shi, P.; Royer, D.L.; Peppe, D.J.; Gallagher, R.V.; Li, Y.; Wang, R.; Wright, I.J. Leaf size estimation based on leaf length, width and shape. Ann. Bot. 2021, 128, 395–406. [Google Scholar] [CrossRef]
- de Casas, R.R.; Vargas, P.; Pérez-Corona, E.; Manrique, E.; García-Verdugo, C.; Balaguer, L. Sun and shade leaves of Olea europaea respond differently to plant size, light availability and genetic variation. Funct. Ecol. 2011, 25, 802–812. [Google Scholar] [CrossRef]
- Dörken, V.M.; Lepetit, B. Morpho-anatomical and physiological differences between sun and shade leaves in Abies alba Mill. (Pinaceae, Coniferales): A combined approach. Plant Cell Environ. 2018, 41, 1683–1697. [Google Scholar] [CrossRef] [PubMed]
- Lian, M.; Shi, P.; Zhang, L.; Yao, W.; Gielis, J.; Niklas, K.J. A generalized performance equation and its application in measuring the Gini index of leaf size inequality. Trees Struct. Funct. 2023, 37, 1555–1565. [Google Scholar] [CrossRef]
- Huang, L.; Ratkowsky, D.A.; Hui, C.; Gielis, J.; Lian, M.; Yao, W.; Li, Q.; Zhang, L.; Shi, P. Inequality measure of leaf area distribution for a drought-tolerant landscape plant. Plants 2023, 12, 3143. [Google Scholar] [CrossRef]
- Gini, C. Variabilità e Mutuabilità: Contributo allo Studio delle Distribuzioni e delle Relazioni Statistiche; P. Cuppini: Bologna, Italy, 1912. [Google Scholar]
- Shi, P.; Li, B.L.; Wang, J.; Mu, Y.; Yao, W.; Lian, M.; Deng, L.; Niklas, K.J. Geometric series exists in nature: Evidence from sorted area sequences of floral parts and leaves. Ann. N. Y. Acad. Sci. 2024, in press. [Google Scholar]
- Montgomery, E.G. Correlation Studies in Corn, Annual Report No. 24; Nebraska Agricultural Experimental Station: Lincoln, NB, USA, 1911; pp. 108–159. [Google Scholar]
- Kemp, C.D. Methods of estimating leaf area of grasses from linear measurements. Ann. Bot. 1960, 24, 491–499. [Google Scholar] [CrossRef]
- Stickler, F.C.; Wearden, S.; Pauli, A.W. Leaf area determination in grain sorghum. Agronomy 1961, 53, 187–188. [Google Scholar] [CrossRef]
- Jani, T.C.; Misra, D.K. Leaf area estimation by linear measurements in Ricinus communis. Nature 1966, 212, 741–742. [Google Scholar] [CrossRef]
- Palaniswamy, K.M.; Gomez, K.A. Length-width method for estimating leaf area of rice. Agron. J. 1974, 66, 430–433. [Google Scholar] [CrossRef]
- Dolph, G.E. The effect of different calculational techniques on the estimation of leaf area and the construction of leaf size distributions. Bull. Torrey Bot. Club 1977, 104, 264–269. [Google Scholar] [CrossRef]
- Verwijst, T.; Wen, D.Z. Leaf allometry of Salix viminalis during the first growing season. Tree Physiol. 1996, 16, 655–660. [Google Scholar] [CrossRef] [PubMed]
- Koyama, K.; Hidaka, Y.; Ushio, M. Dynamic scaling in the growth of a non-branching plant, Cardiocrinum cordatum. PLoS ONE 2012, 7, e45317. [Google Scholar] [CrossRef]
- Shi, P.; Liu, M.; Ratkowsky, D.A.; Gielis, J.; Su, J.; Yu, X.; Wang, P.; Zhang, L.; Lin, Z.; Schrader, J. Leaf area–length allometry and its implications in leaf shape evolution. Trees Struct. Funct. 2019, 33, 1073–1085. [Google Scholar] [CrossRef]
- Yu, X.; Shi, P.; Schrader, J.; Niklas, K.J. Nondestructive estimation of leaf area for 15 species of vines with different leaf shapes. Am. J. Bot. 2020, 107, 1481–1490. [Google Scholar] [CrossRef] [PubMed]
- Mu, Y.; He, K.; Shi, P.; Wang, L.; Deng, L.; Shi, Z.; Liu, M.; Niklas, K.J. Comparison between computer recognition and manual measurement methods for the estimation of leaf area. Ann. Bot. 2024, 134, 501–510. [Google Scholar] [CrossRef] [PubMed]
- Yan, C.; Shi, P.; Yu, K.; Guo, X.; Lian, M.; Miao, Q.; Wang, L.; Yao, W.; Zheng, Y.; Zhu, F.; et al. Using the Montgomery-Koyama-Smith equation to calculate the stomatal area per unit lamina area for 12 Magnoliaceae species. Ann. Bot. 2025, in press. [Google Scholar] [CrossRef] [PubMed]
- Falster, D.S.; Westoby, M. Leaf size and angle vary widely across species: What consequences for light interception? N. Phytol. 2003, 158, 509–525. [Google Scholar] [CrossRef]
- Niklas, K.J. Plant Allometry: The Scaling of Form and Process; The University of Chicago Press: Chicago, IL, USA, 1994. [Google Scholar]
- Shi, P.; Xu, Q.; Sandhu, H.S.; Gielis, J.; Ding, Y.; Li, H.; Dong, X. Comparison of dwarf bamboos (Indocalamus sp.) leaf parameters to determine relationship between spatial density of plants and total leaf area per plant. Ecol. Evol. 2015, 5, 4578–4589. [Google Scholar] [CrossRef]
- Yuan, Z.; Guan, Q.; Li, J.; Han, M.; Jin, X.; Chen, X. Effect of various vegetation restoration types on soil physio-chemical properties. J. Northeast For. Univ. 2022, 1, 52–57. [Google Scholar]
- Shi, P.; Ratkowsky, D.A.; Li, Y.; Zhang, L.; Lin, S.; Gielis, J. A general leaf-area geometric formula exists for plants—Evidence from the simplified Gielis equation. Forests 2018, 9, 714. [Google Scholar] [CrossRef]
- Su, J.; Niklas, K.J.; Huang, W.; Yu, X.; Yang, Y.; Shi, P. Lamina shape does not correlate with lamina surface area: An analysis based on the simplified Gielis equation. Glob. Ecol. Conserv. 2019, 19, e00666. [Google Scholar] [CrossRef]
- Shi, P.; Gielis, J.; Quinn, B.K.; Niklas, K.J.; Ratkowsky, D.A.; Schrader, J.; Ruan, H.; Wang, L.; Niinemets, Ü. ‘biogeom’: An R package for simulating and fitting natural shapes. Ann. N. Y. Acad. Sci. USA 2022, 1516, 123–134. [Google Scholar] [CrossRef] [PubMed]
- R Core Team. R: A Language and Environment for Statistical Computing; R Foundation for Statistical Computing: Vienna, Austria, 2022; Available online: https://www.r-project.org/ (accessed on 1 June 2022).
- Efron, B.; Tibshirani, R.J. An Introduction to the Bootstrap; Chapman and Hall/CRC: New York, NY, USA, 1993. [Google Scholar]
- Sandhu, H.S.; Shi, P.; Kuang, X.; Xue, F.; Ge, F. Applications of the bootstrap to insect physiology. Fla. Entomol. 2011, 94, 1036–1041. [Google Scholar] [CrossRef]
- Corner, E.J.H. The durian theory or the origin of the modern tree. Ann. Bot. 1949, 13, 367–414. [Google Scholar] [CrossRef]
- Lauri, P.-É. Corner’s rules as a framework for plant morphology, architecture and functioning—Issues and steps forward. N. Phytol. 2019, 221, 1679–1684. [Google Scholar] [CrossRef] [PubMed]
- Kleiman, D.; Aarssen, L.W. The leaf size/number trade-off in trees. J. Ecol. 2007, 95, 376–382. [Google Scholar] [CrossRef]
- Yang, D.; Li, G.; Sun, S. The generality of leaf size versus number trade-off in temperate woody species. Ann. Bot. 2008, 102, 623–629. [Google Scholar] [CrossRef] [PubMed]
- Milla, R. The leafing intensity premium hypothesis tested across clades, growth forms and altitudes. J. Ecol. 2009, 97, 972–983. [Google Scholar] [CrossRef]
- Whitman, T.; Aarssen, L.W. The leaf size/number trade-off in herbaceous angiosperms. J. Plant Ecol. 2010, 3, 49–58. [Google Scholar] [CrossRef]
- Yao, W.; Shi, P.; Wang, J.; Mu, Y.; Cao, J.; Niklas, K.J. The “leafing intensity premium” hypothesis and the scaling relationships of the functional traits of bamboo species. Plants 2024, 13, 2340. [Google Scholar] [CrossRef] [PubMed]
- Mei, T.; Liu, X.; Fang, D.; Zhou, G.; Ye, C.; Li, P.; Shi, Y.; Du, H.; Berninger, F.; Hölscher, D. Spring leafing phenology favors younger culms of moso bamboo: Aspects from water use relations. Front. Plant Sci. 2020, 11, 550. [Google Scholar] [CrossRef] [PubMed]
- Lyton, C.J. A factor method for the area of tomato leaves. Plant Physiol. 1948, 23, 634–635. [Google Scholar]
- Shi, P.; Li, Y.; Niinemets, Ü.; Olson, E.; Schrader, J. Influence of leaf shape on the scaling of leaf surface area and length in bamboo plants. Trees Struct. Funct. 2021, 35, 709–715. [Google Scholar] [CrossRef]
- Küppers, M. Ecological significance of above-ground architectural patterns in woody plants: A question of cost-benefit relationships. Trends Ecol. Evol. 1989, 4, 375–379. [Google Scholar] [CrossRef] [PubMed]






| n | NE | NV | Percentage |
|---|---|---|---|
| 1 | 4 | − | − |
| 2 | 96 | − | − |
| 3 | 190 | 188 | 98.95% |
| 4 | 52 | 48 | 92.31% |
| 5 | 41 | 37 | 90.24% |
| 6 | 29 | 27 | 93.10% |
| 7 | 33 | 32 | 96.97% |
| 8 | 17 | 13 | 76.47% |
| 9 | 20 | 16 | 80.00% |
| 10 | 6 | 6 | 100% |
| 11 | 4 | − | − |
| 12 | 5 | − | − |
| 13 | 1 | − | − |
| 15 | 1 | − | − |
| 19 | 1 | − | − |
Disclaimer/Publisher’s Note: The statements, opinions and data contained in all publications are solely those of the individual author(s) and contributor(s) and not of MDPI and/or the editor(s). MDPI and/or the editor(s) disclaim responsibility for any injury to people or property resulting from any ideas, methods, instructions or products referred to in the content. |
© 2024 by the authors. Licensee MDPI, Basel, Switzerland. This article is an open access article distributed under the terms and conditions of the Creative Commons Attribution (CC BY) license (https://creativecommons.org/licenses/by/4.0/).
Share and Cite
Meng, Y.; Ratkowsky, D.A.; Yao, W.; Heng, Y.; Shi, P. The Geometric Series Hypothesis of Leaf Area Distribution and Its Link to the Calculation of the Total Leaf Area per Shoot of Sasaella kongosanensis ‘Aureostriatus’. Plants 2025, 14, 73. https://doi.org/10.3390/plants14010073
Meng Y, Ratkowsky DA, Yao W, Heng Y, Shi P. The Geometric Series Hypothesis of Leaf Area Distribution and Its Link to the Calculation of the Total Leaf Area per Shoot of Sasaella kongosanensis ‘Aureostriatus’. Plants. 2025; 14(1):73. https://doi.org/10.3390/plants14010073
Chicago/Turabian StyleMeng, Yong, David A. Ratkowsky, Weihao Yao, Yi Heng, and Peijian Shi. 2025. "The Geometric Series Hypothesis of Leaf Area Distribution and Its Link to the Calculation of the Total Leaf Area per Shoot of Sasaella kongosanensis ‘Aureostriatus’" Plants 14, no. 1: 73. https://doi.org/10.3390/plants14010073
APA StyleMeng, Y., Ratkowsky, D. A., Yao, W., Heng, Y., & Shi, P. (2025). The Geometric Series Hypothesis of Leaf Area Distribution and Its Link to the Calculation of the Total Leaf Area per Shoot of Sasaella kongosanensis ‘Aureostriatus’. Plants, 14(1), 73. https://doi.org/10.3390/plants14010073

