Metal Biomonitoring Through Arboreal Species in Riparian Ecosystems: Pithecellobium dulce as a Bioindicator Species
Abstract
1. Introduction
2. Results
2.1. Metal Concentrations in Water Samples from the Cuautla River
2.2. Metal Concentration in Sediment Samples from the Cuautla River
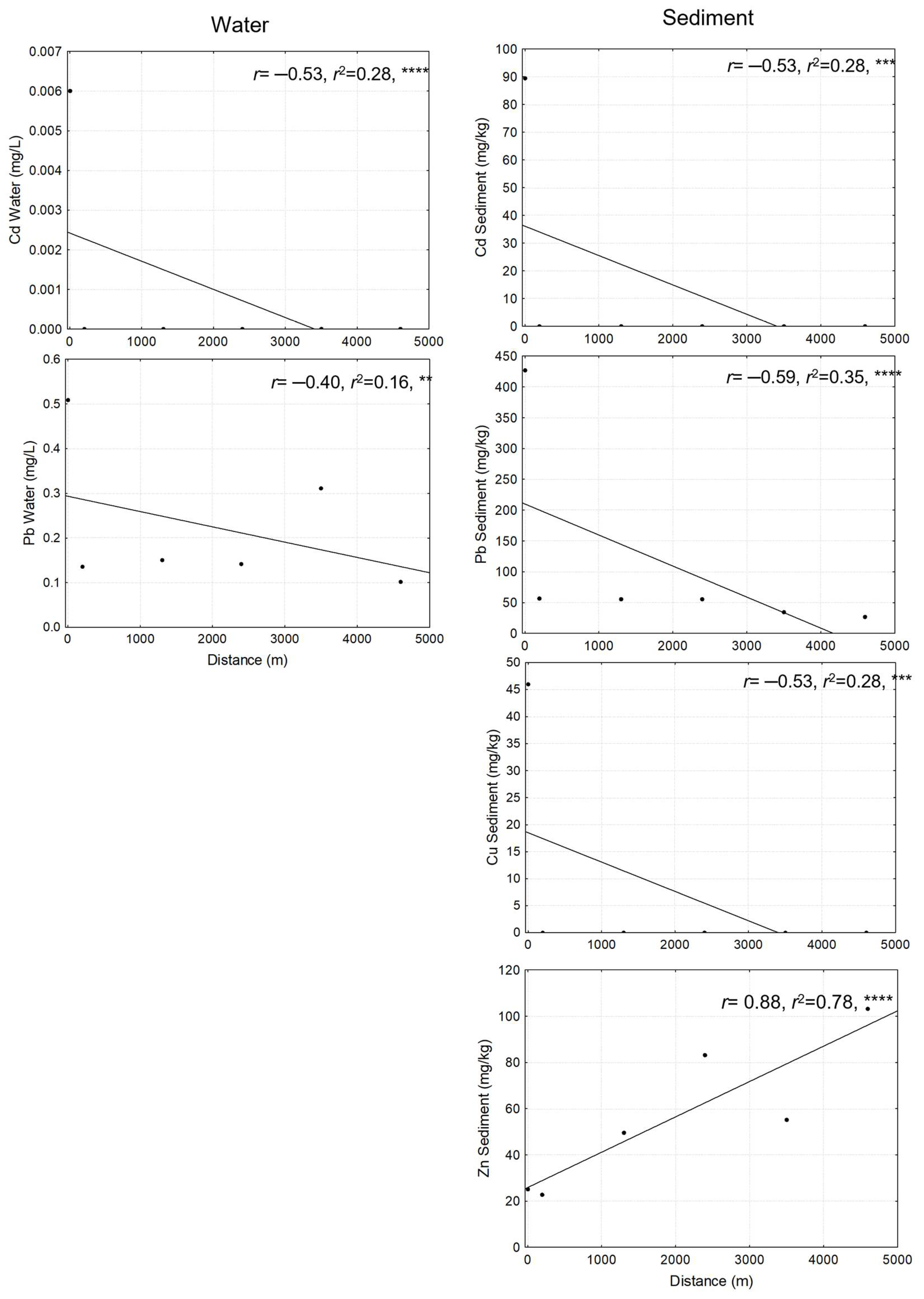
2.3. Relationship Between Metal Concentrations in Water and Sediments and the Sampling Distance from the S1
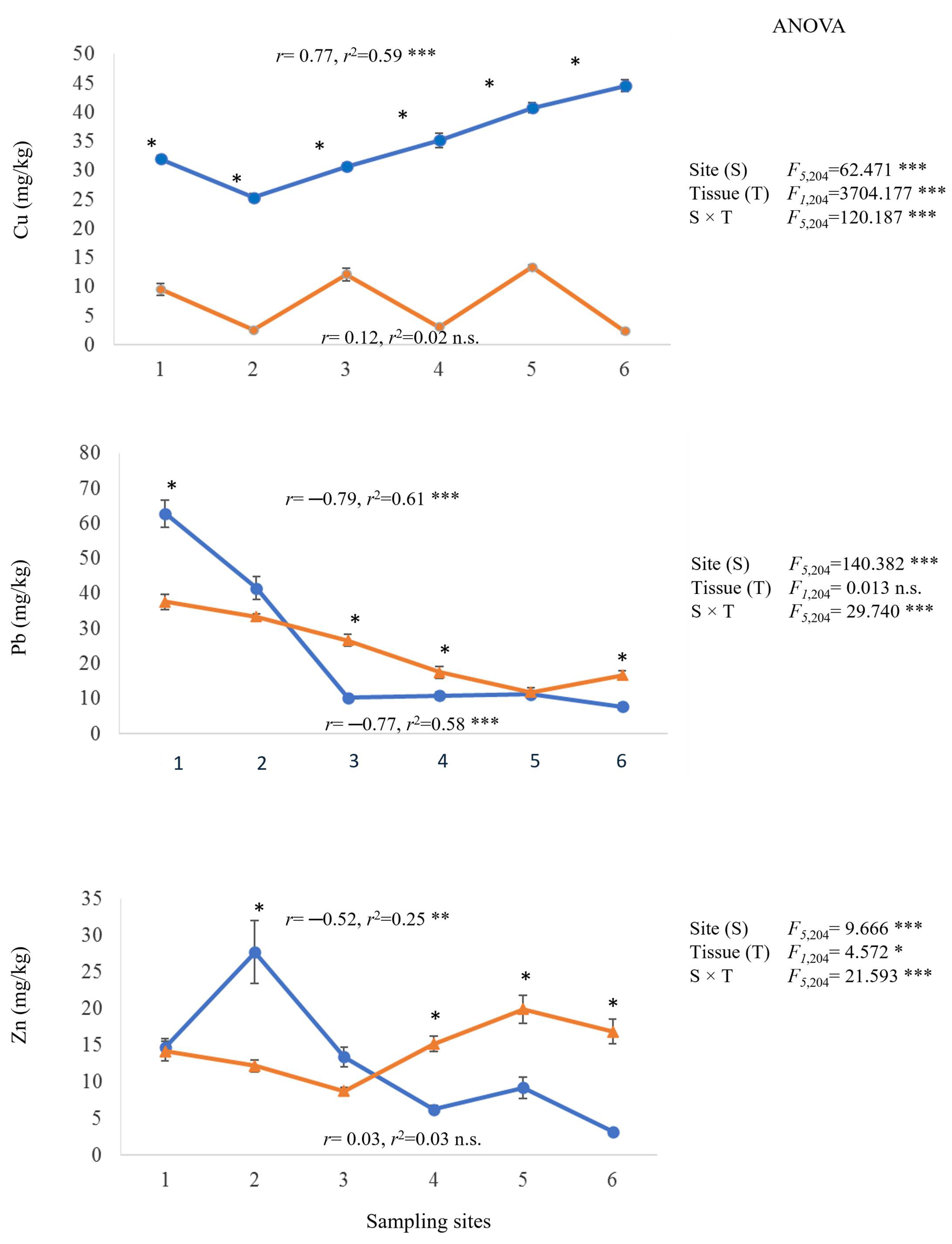
2.4. Metal Concentrations in Leaf and Bark Tissue of P. dulce
2.5. Relationship Between Metal Concentrations in Leaf and Bark Tissue of P. dulce and Metal Concentration in Water and Sediment of the Cuautla River
2.6. Relationship Between Metal Concentration in Leaf and Bark Tissues of P. dulce and Sampling Distance
2.7. Relationship Between Metal Concentration in Leaves and in Bark Tissue of P. dulce
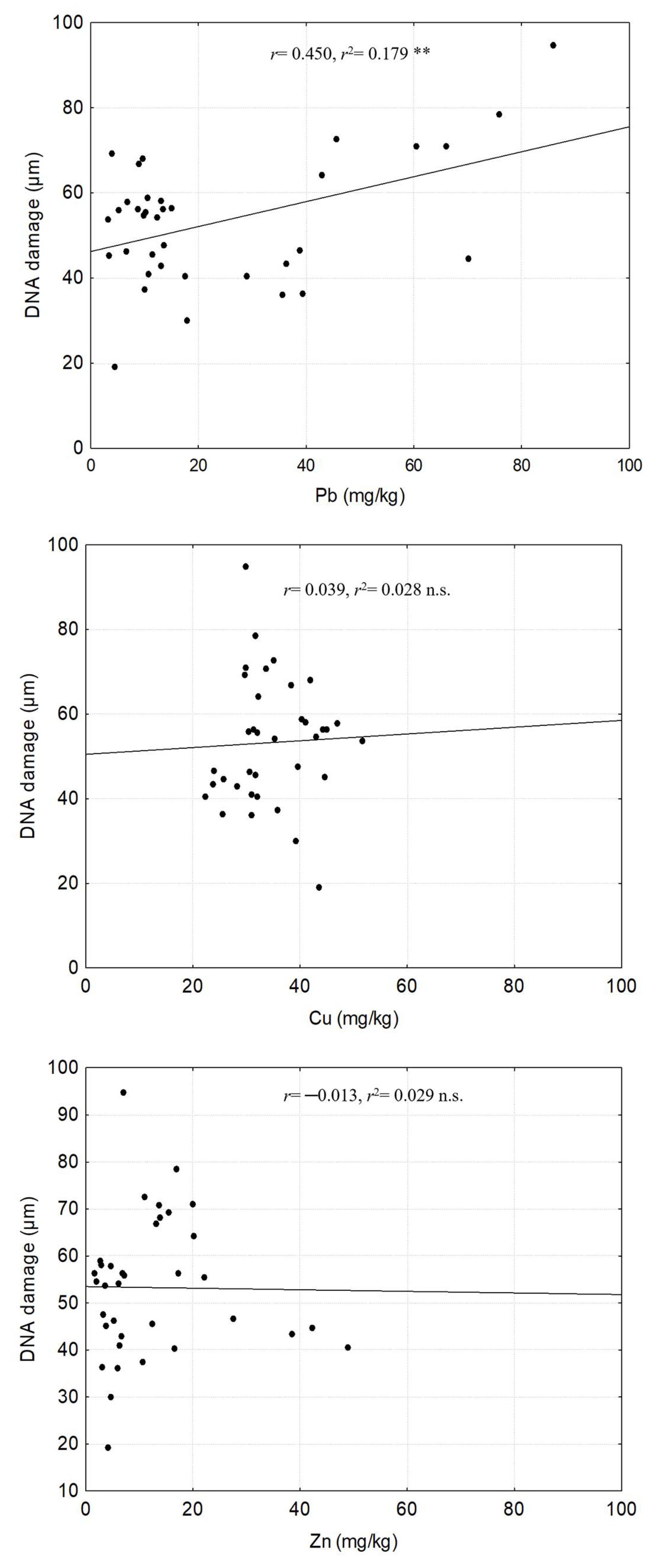
2.8. Relationship Between Metal Concentration in Leaves and Genetic Damage in P. dulce
3. Discussion
3.1. Metal Concentrations in Water and Sediment Samples from the Cuautla River
3.2. Metal Concentrations in P. dulce
3.3. Genetic Damage in Individuals of P. dulce Established in the Cuautla River
4. Materials and Methods
4.1. Study Site: Cuautla River
4.2. Sampling Sites
4.3. Water and Sediment Sample Collection in the Cuautla River
4.4. Sampling of Leaf and Bark Tissue of P. dulce
4.5. Determination of Metal Concentration in Water and Sediment from the Cuautla River and in Leaf and Bark Samples of P. dulce
4.6. Evaluation of Genetic Damage in Leaf Tissue of P. dulce
4.7. Statistical Analysis
5. Conclusions
Author Contributions
Funding
Data Availability Statement
Acknowledgments
Conflicts of Interest
References
- Akhtar, N.; Ishak, M.I.S.; Bhawani, A.S.; Umar, K. Various natural and anthropogenic factors responsible for water quality degradation: A review. Water 2021, 13, 2660. [Google Scholar] [CrossRef]
- Malik, L.A.; Bashir, A.; Qureashi, A.; Pandith, A.H. Detection and removal of heavy metal ions: A review. Environ. Chem. Lett. 2019, 17, 1495–1521. [Google Scholar] [CrossRef]
- Witing, F.; Forio, M.A.E.; Burdon, F.J.; Mckie, B.; Goethals, P.; Strauch, M.; Volk, M. Riparian reforestation on the landscape scale: Navigating trade-offs among agricultural production, ecosystem functioning and biodiversity. J. Appl. Ecol. 2022, 59, 1456–1471. [Google Scholar] [CrossRef]
- Cole, L.J.; Brocklehurst, S.; Robertson, D.; Harrison, W.; McCracken, D.I. Riparian buffer strips: Their role in the conservation of insect pollinators in intensive grassland systems. Agric. Ecosyst. Environ. 2015, 211, 207–220. [Google Scholar] [CrossRef]
- Riis, T.; Kelly-Quinn, M.; Aguiar, F.C.; Manolaki, P.; Bruno, D.; Bejarano, M.D.; Clerici, N.; Fernandes, M.; Franco, J.; Pettit, N.; et al. Global overview of ecosystem services provided by riparian vegetation. BioScience 2020, 70, 501–514. [Google Scholar] [CrossRef]
- Dybala, K.; Matzek, V.; Gardali, T.; Seavy, N. Carbon sequestration in riparian forest: A global Synthesis and meta-analysis. Glob. Change Biol. 2018, 25, 57–67. [Google Scholar] [CrossRef] [PubMed]
- Celentano, D.; Rousseau, G.X.; Engel, V.L.; Zelarayán, M.; Oliveira, E.C.; Araujo, A.C.M.; de Moura, E.G. Degradation of riparian forest affects soil properties and ecosystem services provision in eastern Amazon of Brazil. Land Degrad. Dev. 2017, 28, 482–493. [Google Scholar] [CrossRef]
- Dufour, S.; Rodríguez-González, P.M.; Laslier, M. Tracing the scientific trajectory of riparian vegetation studies: Main topics, approaches and needs in a globally changing world. Sci. Total Environ. 2019, 653, 1168–1185. [Google Scholar] [CrossRef] [PubMed]
- Rak, G.; Kozelj, D.; Steinman, F. The impact of floodplain land use on flood wave propagation. Nat. Hazards 2016, 83, 425–443. [Google Scholar] [CrossRef]
- Ryan, D.K.; Kelly-Quinn, M. Riparian vegetation management for water temperature regulation: Implications for the production of macroinvertebrate prey of salmonids. Fish. Manag. Ecol. 2016, 23, 519–530. [Google Scholar] [CrossRef]
- Feld, C.K.; Fernandes, M.R.; Ferreira, M.T.; Hering, D.; Ormerod, S.J.; Venohr, M.; Gutiérrez-Cánovas, C. Evaluating riparian solutions to multiple stressor problems in river ecosystems—A conceptual study. Water Res. 2018, 139, 381–394. [Google Scholar] [CrossRef]
- Aprile, A.; De Bellis, L. Editorial for special issue “Heavy metals accumulation, toxicity, and detoxification in plants”. Int. J. Mol. Sci. 2020, 21, 4103. [Google Scholar] [CrossRef] [PubMed]
- Gill, R.A.; Kanwar, M.K.; Rodrigues dos Reis, A.; Ali, B. Editorial: Heavy metal toxicity in plants: Recent insights on physiological and molecular aspects. Front. Plant Sci. 2022, 12, 830682. [Google Scholar] [CrossRef]
- Asati, A.; Pichhode, M.; Nikhil, K. Effect of heavy metals on plants: An overview. Int. J. Innov. Manag. 2016, 5, 56–66. [Google Scholar]
- Gjorgieva, A.D. Heavy metals and their general toxicity on plants. Plant Sci. Today 2018, 5, 15–19. [Google Scholar] [CrossRef]
- Kalaivanan, D.; Ganeshamurthy, A.N. Mechanisms of Heavy Metal Toxicity in Plants. In Abiotic Stress Physiology of Horticultural Crops, 1st ed.; Rao, N., Shivashankara, K., Laxman, R., Eds.; Springer: New Delhi, India, 2016; pp. 85–102. [Google Scholar] [CrossRef]
- Küpper, H.; Andresen, E. Mechanisms of metal toxicity in plants. Metallomics 2016, 8, 269–285. [Google Scholar] [CrossRef] [PubMed]
- Clemens, S.; Ma, J.F. Toxic heavy metal and metalloid accumulation in crop plants and foods. Annu. Rev. Plant Biol. 2016, 67, 489–512. [Google Scholar] [CrossRef]
- Angulo-Bejarano, P.I.; Puente-Rivera, J.; Cruz-Ortega, R. Metal and metalloid toxicity in plants: An overview on molecular aspects. Plants 2021, 10, 635. [Google Scholar] [CrossRef] [PubMed]
- Santoyo-Martínez, M.; Mussali-Galante, P.; Hernández-Plata, I.; Valencia-Cuevas, L.; Flores-Morales, A.; Ortiz-Hernández, L.; Flores-Trujillo, K.; Ramos-Quintana, F.; Tovar-Sánchez, E. Heavy metal bioaccumulation and morphological changes in Vachellia campechiana (Fabaceae) reveal its potential for phytoextraction of Cr, Cu, and Pb in mine tailings. Environ. Sci. Pollut. Res. 2020, 27, 11260–11276. [Google Scholar] [CrossRef] [PubMed]
- Parzych, A.; Cymer, M.; Macheta, K. Leaves and roots of Typha latifolia L. and Iris pseudacorus L. as bioindicators of contamination of bottom sediments by heavy metals. Limnol. Rev. 2016, 16, 77–83. [Google Scholar] [CrossRef]
- Zalewska, T.; Danowska, B. Marine environment status assessment based on macrophytobenthic plants as bio-indicators of heavy metals pollution. Mar. Pollut. Bull. 2017, 118, 281–288. [Google Scholar] [CrossRef]
- Salinitro, M.; Tassoni, A.; Casolari, S.; de Laurentiis, F.; Zappi, A.; Melucci, D. Heavy metals bioindication potential of the common weeds Senecio vulgaris L., Polygonum aviculare L. and Poa annua L. Molecules 2019, 24, 2813. [Google Scholar] [CrossRef] [PubMed]
- Badamasi, H. Biomonitoring of air pollution using plants. J. Environ. Sci. 2017, 2, 27–39. [Google Scholar]
- Dadea, C.; Russo, A.; Tagliavini, M.; Mimmo, T.; Zerbe, S. Tree species as tools for biomonitoring and phytoremediation in urban environments: A review with special regard to heavy metals. Arboric. Urban For. 2017, 43, 155–167. [Google Scholar] [CrossRef]
- Berlizov, A.N.; Blum, O.B.; Filby, R.H.; Malyuk, I.A.; Tryshyn, V.V. Testing applicability of black poplar (Populus nigra L.) bark to heavy metal air pollution monitoring in urban and industrial regions. Sci. Total Environ. 2007, 372, 693–706. [Google Scholar] [CrossRef]
- Mataruga, Z.; Jarić, S.; Marković, M.; Pavlović, M.; Pavlović, D.; Jakovljević, K.; Mitrovié, M.; Pavlović, P. Evaluation of Salix alba, Juglans regia and Populus nigra as biomonitors of PTEs in the riparian soils of the Sava River. Environ. Monit. Assess. 2020, 192, 131. [Google Scholar] [CrossRef]
- Ciftci, H.; Caliskan, C.; Aslanhan, E.; Aktoklu, E. Monitoring of heavy metal pollution by using Populus nigra and Cedrus libani. Sigma J. Eng. Nat. Sci. 2021, 39, 367–373. [Google Scholar] [CrossRef]
- Ozturk, M.; Yucel, E.; Gucel, S.; Sakcali, S.; Aksoy, A. Plants as biomonitors of trace elements pollution in soil. In Trace Elements: Nutritional Benefits, Environmental Contamination, and Health Implications, 1st ed.; Prasad, M.N.V., Ed.; John Wiley & Sons, Inc.: Hoboken, NJ, USA, 2008; pp. 723–744. [Google Scholar] [CrossRef]
- Muro-González, D.A.; Mussali-Galante, P.; Valencia-Cuevas, L.; Flores-Trujillo, K.; Tovar-Sánchez, E. Morphological, physiological, and genotoxic effects of heavy metal bioaccumulation in Prosopis laevigata reveal its potential for phytoremediation. Environ. Sci. Pollut. Res. 2020, 27, 40187–40204. [Google Scholar] [CrossRef] [PubMed]
- Qadir, S.U.; Raja, V.; Siddiqi, W.A.; Alyemeni, M.N.; Wijaya, L.; Ahmad, P. Heavy metal bioaccumulation by selected plants from fly ash–contaminated soils in suburban area. Arab. J. Geosci. 2021, 14, 116. [Google Scholar] [CrossRef]
- Vargas-Madriz, Á.F.; Kuri-García, A.; Vargas-Madriz, H.; Chávez-Servín, J.L.; Ferriz-Martínez, R.A.; Hernández-Sandoval, L.G.; Guzmán-Maldonado, S.H. Phenolic profile and antioxidant capacity of Pithecellobium dulce (Roxb) Benth: A review. J. Food Sci. Technol. 2020, 57, 4316–4336. [Google Scholar] [CrossRef] [PubMed]
- Datiles, M.; Acevedo-Rodriguez, P. Pithecellobium dulce (Manila tamarind). In Cabi Compendium; CABI International: Wallingford, UK, 2022; pp. 1–13. [Google Scholar]
- Roselin, C.; Parameshwari, S. A systematic review on the materialistic use of Pithecellobium dulce in food formulations. Mater. Today Proc. 2022, 66, 996–1001. [Google Scholar] [CrossRef]
- Qadir, S.U.; Raja, V.; Siddiqui, W.A.; Mahmooduzzafar; Abd_Allah, E.F.; Hashem, A.; Alam, P.; Ahmad, P. Fly-ash pollution modulates growth, biochemical attributes, antioxidant activity and gene expression in Pithecellobium dulce (Roxb) benth. Plants 2019, 8, 528. [Google Scholar] [CrossRef]
- Chairgulprasert, V.; Pohmueyae, N.M.R.; Madmanang, N. Removal of lead (II) ion in water by adsorbents from Pithecellobium dulce. KKU Sci. J. 2016, 44, 189–200. [Google Scholar]
- Unnikannan, P.; Baskaran, L.; Chidambaram, A.L.A.; Sundaramoorthy, P. Chromium phytotoxicity in tree species and its role on phytoremediation. Insight Bot. 2013, 3, 15–25. [Google Scholar] [CrossRef]
- Secretaría de Salud. Norma Oficial Mexicana NOM-127-SSA1-2021, Agua Para uso y Consumo Humano. Límites Permisibles de la Calidad del Agua. Diario Oficial de la Federación, 2019. Available online: https://www.dof.gob.mx/nota_detalle.php?codigo=5650705&fecha=02/05/2022#gsc.tab=0 (accessed on 1 January 2025).
- WHO (World Health Organization). Guidelines for Drinking–Water Quality, 4th ed.; WHO Press: Geneva, Switzerland, 2011; Available online: https://iris.who.int/bitstream/handle/10665/44584/9789241548151_eng.pdf (accessed on 1 January 2025).
- Canadian Council of Ministers of the Environment (CCME). Canadian Council of Ministers of the Environment (CCME). Canadian sediment quality guidelines for the protection of aquatic life: Copper. In Canadian Environmental Quality Guidelines; No. 1299; Canadian Council of Ministers of the Environment: Winnipeg, MB, Canada, 1999; ISBN 1-896997-34-1. [Google Scholar]
- Canadian Council of Ministers of the Environment (CCME). Canadian Council of Ministers of the Environment (CCME). Canadian sediment quality guidelines for the protection of aquatic life: Cadmium. In Canadian Environmental Quality Guidelines; No. 1299; Canadian Council of Ministers of the Environment: Winnipeg, MB, Canada, 1999; ISBN 1-896997-34-1. [Google Scholar]
- Canadian Council of Ministers of the Environment (CCME). Canadian Council of Ministers of the Environment (CCME). Canadian sediment quality guidelines for the protection of aquatic life: Lead. In Canadian Environmental Quality Guidelines; No. 1299; Canadian Council of Ministers of the Environment: Winnipeg, MB, Canada, 1999; ISBN 1-896997-34-1. [Google Scholar]
- Canadian Council of Ministers of the Environment (CCME). Canadian Council of Ministers of the Environment (CCME). Canadian sediment quality guidelines for the protection of aquatic life: Zinc. In Canadian Environmental Quality Guidelines; No. 1299; Canadian Council of Ministers of the Environment: Winnipeg, MB, Canada, 1999; ISBN 1-896997-34-1. [Google Scholar]
- Hsine, E.A.; Benhammou, A.; Pons, M.N. Water resources management in soft drink industry- Water use and wastewater generation. Environ. Technol. 2005, 26, 1309–1316. [Google Scholar] [CrossRef] [PubMed]
- Singh, H.; Singh, P.; Singh, D. Chemical fractionation of heavy metals and nutrients in sludge and wastewater generated by Coca-Cola soft drink industry. Arch. Agron. Soil Sci. 2014, 61, 119–138. [Google Scholar] [CrossRef]
- Mwai, L.; Onyatta, J.; Were, H.F. Lead in Automotive Paints: A Potential Source of Exposure and Environmental Contamination. 2022, p. 23. Available online: https://ssrn.com/abstract=4051266 (accessed on 1 January 2025).
- Vattanasit, U.; Sukchana, J.; Kongsanit, S.; Dumtip, P.; Sirimano, V.; Kongpran, J. Toluene and heavy metals in small automotive refinishing shops and personal protection of the workers in Nakhon Si Thammarat, Thailand. J. Environ. Public Health 2021, 2021, 8875666. [Google Scholar] [CrossRef] [PubMed]
- Velázquez-Machuca, M.A.; Pimentel-Equihua, J.L. Calidad del agua potable en la Ciénaga de Chapala, Michoacán, México. Tecnol. Cienc. Agua 2012, 3, 111–125. Available online: https://revistatyca.org.mx/index.php/tyca/article/view/2206/1580 (accessed on 1 January 2025).
- Palleiro, L.; Patinha, C.; Rodríguez-Blanco, M.L.; Taboada-Castro, M.M.; Taboada-Castro, M.T. Metal fractionation in topsoils and bed sedients in the Mero River rural basin: Bioavailability and relationship with soil and sediment properties. Catena 2016, 144, 34–44. [Google Scholar] [CrossRef]
- Deans, I.; Stewart, D.I.; Jones, J.; Kam, J.; Mishra, B. Uptake and speciation of Zn and Pb by Miscanthus grown in contaminated soils. J. Hazard. Mater. 2023, 445, 129899. [Google Scholar] [CrossRef]
- Vargas-Solano, S.V.; Rodríguez-González, F.; Martínez-Velarde, R.; Morales-García, S.S.; Jonathan, M.P. Removal of heavy metals present in water from the Yautepec River Morelos México, using Opuntia ficus-indica mucilage. Environ. Adv. 2022, 7, 100160. [Google Scholar] [CrossRef]
- Mora, A.; García-Gamboa, M.; Sánchez-Luna, M.S.; Gloria-García, L.; Cervantes-Avilés, P.; Mahlknecht, J. A review of the current environmental status and human health implications of one of the most polluted rivers of Mexico: The Atoyac River, Puebla. Sci. Total Environ. 2021, 782, 146788. [Google Scholar] [CrossRef]
- Mancilla-Villa, O.R.; Gómez-Villaseñor, L.; Palomera-García, C.; Hernández-Vargas, O.; Guevara-Gutiérrez, R.D.; Ortega-Escobar, H.M.; Flores-Magdaleno, H.; Can-Chulim, A.; Sánchez-Bernal, E.I.; Avelar-Roblero, J.U.; et al. Heavy metals in water and macroinvertebrates of the Ayuquila-Armería river basin (Mexico) and its affluents. Terra Latinoam. 2023, 41, e1603. [Google Scholar] [CrossRef]
- SEMARNAT (Secretaría de Medio Ambiente y Recursos Naturales). Norma Oficial Mexicana NOM-001-SEMARNAT-2021, Que Establece los Límites Permisibles de Contaminantes en las Descargas de Aguas Residuales en Cuerpos Receptores Propiedad de la Nación. Diario Oficial de la Federación, Secretaría de Medio Ambiente y Recursos Naturales, 2021. Available online: https://www.dof.gob.mx/nota_detalle.php?codigo=5645374&fecha=11/03/2022#gsc.tab=0 (accessed on 1 January 2025).
- Ali, M.M.; Rahman, S.; Islam, M.S.; Rakib, J.M.R.; Hossen, S.; Rahman, M.Z.; Kormoker, T.; Idris, A.M.; Phoungthong, K. Distribution of heavy metals in water and sediment of an urban river in a developing country: A probabilistic risk assessment. Int. J. Sediment Res. 2022, 37, 173–187. [Google Scholar] [CrossRef]
- Eid, E.M.; El-Bebany, A.F.; Taher, M.A.; Alrumman, S.A.; Galal, T.M.; Shaltout, K.H.; Sewelam, N.A.; Ahmed, M.T. Heavy metal bioaccumulation, growth characteristics, and yield of Pisum sativum L. grown in agricultural soil-sewage sludge mixtures. Plants 2020, 9, 1300. [Google Scholar] [CrossRef]
- Migocka, M.; Malas, K. Plant responses to copper: Molecular and regulatory mechanisms of copper uptake, distribution and accumulation in plants. In Plant Micronutrient Use Efficiently; Hossain, A.M., Kamiya, T., Burritt, D.J., Tran, L.S.P., Fujiwara, T., Eds.; Academic Press: Cambridge, MA, USA, 2018; pp. 71–86. [Google Scholar] [CrossRef]
- Zhou, G.; Liu, C.; Cheng, Y.; Ruan, M.; Ye, Q.; Wang, R.; Yao, Z.; Wan, H. Molecular evolution and functional divergence of stress-responsive Cu/Zn superoxide dismutases in plants. Int. J. Mol. Sci. 2022, 23, 7082. [Google Scholar] [CrossRef] [PubMed]
- Riyazuddin, R.; Nisha, N.; Ejaz, B.; Khan, M.I.R.; Kumar, M.; Ramteke, P.W.; Gupta, R. A comprehensive review on the heavy metal toxicity and sequestration in plants. Biomolecules 2021, 12, 43. [Google Scholar] [CrossRef]
- Printz, B.; Lutts, S.; Hausman, J.F.; Sergeant, K. Copper trafficking in plants and its implication on cell wall dynamics. Front Plant Sci. 2016, 7, 601. [Google Scholar] [CrossRef] [PubMed]
- Sharma, P.; Dubey, R.S. Lead toxicity in plants. Braz. J. Plant Physiol. 2005, 17, 35–52. [Google Scholar] [CrossRef]
- Gupta, D.K.; Chatterjee, S.; Walther, C. Lead in Plants and the Environment; Springer: Cham, Switzerland, 2020; 207p. [Google Scholar] [CrossRef]
- Alloway, B.J. Heavy metals and metalloids as micronutrients for plants and animals. In Heavy Metals in Soils: Trace Metals and Metalloids in Soils and Their Bioavailability; Alloway, B., Ed.; Springer Science Business Media: Dordrecht, The Netherlands, 2012; pp. 195–209. [Google Scholar] [CrossRef]
- Nagajyoti, P.C.; Lee, K.D.; Sreekanth, T.V.M. Heavy metals, occurrence and toxicity for plants: A review. Environ. Chem. Lett. 2010, 8, 199–216. [Google Scholar] [CrossRef]
- Ponette-González, A.G. Accumulator, transporter, substrate, and reactor: Multidimensional perspectives and approaches to the study of bark. Front. For. Glob. Change 2021, 4, 716557. [Google Scholar] [CrossRef]
- Sevik, H.; Cetin, M.; Ozel, H.B.; Akarsu, H.; Zeren, C.I. Analyzing of usability of tree-rings as biomonitors for monitoring heavy metal accumulation in the atmosphere in urban area: A case study of cedar tree (Cedrus sp.). Environ. Monit. Assess. 2019, 192, 23. [Google Scholar] [CrossRef] [PubMed]
- Kaur, I.; Khandwekar, S.; Chauhan, R.; Singh, V.; Jadhav, S.K.; Tiwari, K.L.; Quraishi, A. Exploring the efficiency of native tree species grown at mine tailings for phytoextraction of lead and iron. Proc. Natl. Acad. Sci. India Sect. B Biol. Sci. 2018, 89, 951–956. [Google Scholar] [CrossRef]
- Bhatti, S.S.; Sambyal, V.; Nagpal, A.K. Heavy metals bioaccumulation in Berseem (Trifolium alexandrinum) cultivated in areas under intensive agriculture, Punjab, India. SpringerPlus 2016, 5, 173. [Google Scholar] [CrossRef]
- Kanwal, A.; Ali, S.; Farhan, M. Heavy metal phytoextraction potential of indigenous tree species of the family Fabaceae. Int. J. Phytoremediation 2019, 21, 251–258. [Google Scholar] [CrossRef]
- Huihui, Z.; Xin, L.; Zisong, X.; Yue, W.; Zhiyuan, T.; Meijun, A.; Yuehui, Z.; Wenxu, Z.; Nan, X.; Guangyu, S. Toxic effects of heavy metals Pb and Cd on mulberry (Morus alba L.) seedling leaves: Photosynthetic function and reactive oxygen species (ROS) metabolism responses. Ecotoxicol. Environ. Saf. 2020, 195, 110469. [Google Scholar] [CrossRef]
- Dutta, S.; Mitra, M.; Agarwal, P.; Mahapatra, K.; De, S.; Sett, U.; Roy, S. Oxidative and genotoxic damage in plants in response to heavy metal stress and maintenance of genome stability. Plant Signal. Behav. 2018, 13, 1460048. [Google Scholar] [CrossRef] [PubMed]
- Pourrut, B.; Shahid, M.; Douay, F.; Dumat, C.; Pinelli, E. Molecular mechanisms involved in lead uptake, toxicity and detoxification in higher plants. In Heavy Metal Stress in Plants; Gupta, D., Corpas, F., Palma, J., Eds.; Springer: Berlin/Heidelberg, Germany, 2013; pp. 121–147. [Google Scholar] [CrossRef]
- Ghori, N.H.; Ghori, T.; Hayat, M.Q.; Imadi, S.R.; Gul, A.; Altay, V.; Ozturk, M. Heavy metal stress and responses in plants. Int. J. Environ. Sci. Technol. 2019, 16, 1807–1828. [Google Scholar] [CrossRef]
- Bhat, T.M.; Ansari, M.Y.K.; Choudhary, S.; Aslam, R. Synergistic cytotoxic stress and DNA damage in clover (Trifolium repens) exposed to heavy metal soil from automobile refining shops in Kashmir-Himalaya. ISRN Toxicol. 2011, 2011, 109092. [Google Scholar] [CrossRef]
- Kaur, P.; Sharma, N.; Kumar, M.; Kaur, S. Changes in growth and antioxidative enzyme activities in Vicia faba L. seedlings under chromium stress. Indian J. Plant Physiol. 2014, 19, 101–106. [Google Scholar] [CrossRef]
- Lanier, C.; Bernard, F.; Dumez, S.; Leclercq-Dransart, J.; Lemiere, S.; Vandenbulcke, F.; Nesslany, F.; Platel, A.; Devred, I.; Hayet, A.; et al. Combined toxic effects and DNA damage to two plant species exposed to binary metal mixtures (Cd/Pb). Ecotoxicol. Environ. Saf. 2019, 167, 278–287. [Google Scholar] [CrossRef]
- Love, A.; Tandon, R.; Banerjee, B.D.; Babu, C.R. Comparative study on elemental composition and DNA damage in leaves of a weedy plant species, Cassia occidentalis, growing wild on weathered fly ash and soil. Ecotoxicology 2009, 18, 791–801. [Google Scholar] [CrossRef] [PubMed]
- Avalos, G.C.; Palerm, V.J. Organización social y problemática del agua en la cuenca del rio Cuautla, Mor. In Proceedings of the XI Congreso Nacional de Irrigación, Simposio 5, Manejo integral de Cuencas, Guanajuato, Mexico, 19–21 September 2001; pp. 85–90. Available online: https://agua.org.mx/wp-content/uploads/2010/11/679organizacion_social_y_problematica_del_agua_rio_cuautla.pdf (accessed on 1 January 2025).
- Breuer, A.; Spring, U. The 2030 agenda as agenda setting event for water governance? Evidence from the Cuautla River basin in Morelos and Mexico. Water 2020, 12, 314. [Google Scholar] [CrossRef]
- Dirección General de Normas. Análisis de Agua-Medición de Metales por Absorción Atómica en Aguas Naturales, Potables, Residuales y Residuales Tratadas-Método de Prueba. NMX-AA-051-SCFI-2016. Secretaría de Economía, Subsecretaría de Competitividad y Normatividad. 2016. Available online: https://www.dof.gob.mx/normasOficiales/6280/seeco3a12_C/seeco3a12_C.html (accessed on 1 January 2025).
- Navarrete, M.H.; Carrera, P.; de Miguel, M.; de la Torre, C. A fast comet assay variant for solid tissue cells. The assessment of DNA damage in higher plants. Mutat. Res./Genet. Toxicol. Environ. Mutagen. 1997, 389, 271–277. [Google Scholar] [CrossRef] [PubMed]
- Tice, R.R.; Agurell, E.; Anderson, D.; Burlinson, B.; Hartmann, A.; Kobayashi, H.; Miyamae, Y.; Rojas, E.; Ryu, J.C.; Sasaki, Y.F. Single cell gel/comet assay: Guidelines for in vitro and in vivo genetic toxicology testing. Environ. Mol. Mutagen. 2000, 35, 206–221. [Google Scholar] [CrossRef]
- Ventura, L.; Giovannini, A.; Savio, M.; Donà, M.; Macovei, A.; Buttafava, A.; Carbonera, D.; Balestrazzi, A. Single cell gel electrophoresis (Comet) assay with plants: Research on DNA repair and ecogenotoxicity testing. Chemosphere 2013, 92, 1–9. [Google Scholar] [CrossRef] [PubMed]
- STATISTICA 8 for Windows. Statsoft, Inc.: Tulsa, OK, USA. 2007. Available online: https://statistica.software.informer.com/8.0/ (accessed on 2 September 2024).





| Metal | Sampling Site | NOM-127-SSA1-2021 | WHO | |||||
|---|---|---|---|---|---|---|---|---|
| S1 | S2 | S3 | S4 | S5 | S6 | |||
| Concentration (mg/L) * | ||||||||
| Cd | 0.006 ± 0.001 | UDL | UDL | UDL | UDL | UDL | 0.005 | 0.003 |
| Pb | 0.509 ± 0.007 | 0.136 ± 0.010 | 0.15 ± 0.003 | 0.141 ± 0.007 | 0.311 ± 0.093 | 0.102 ± 0.004 | 0.01 | 0.01 |
| Metal | Sampling Site | CCME, ISQG | CCME, PEL | |||||
|---|---|---|---|---|---|---|---|---|
| S1 | S2 | S3 | S4 | S5 | S6 | |||
| Concentration (mg/kg) * | ||||||||
| Cu | 45.9 ± 1.4 | UDL | UDL | UDL | UDL | UDL | 35.7 | 197.0 |
| Cd | 89.5 ± 39.1 | UDL | UDL | UDL | UDL | UDL | 0.6 | 3.5 |
| Pb | 427.0 ± 177.8 | 56.0 ±1.6 | 55.8 ±1.5 | 55.0 ± 5.2 | 34.8 ± 1.7 | 26.2 ± 1.7 | 35.0 | 91.3 |
| Zn | 25.2 ± 4.8 | 22.6 ± 8.8 | 49.5 ± 17.3 | 83.1 ± 22.7 | 55.2 ± 21.6 | 103.2 ± 82.2 | 123.0 | 315.0 |
| Metal | Sampling Site | |||||
|---|---|---|---|---|---|---|
| S1 | S2 | S3 | S4 | S5 | S6 | |
| Concentration (mg/kg) * | ||||||
| Leaf | ||||||
| Cu | 32.0 ± 0.8 | 25.4 ± 1.2 | 30.7 ± 0.6 | 35.2 ± 2.2 | 40.8 ± 1.4 | 44.6 ± 1.8 |
| Pb | 62.8 ± 6.9 | 41.6 ± 5.9 | 10.3 ± 2.1 | 10.8 ± 2.1 | 17 ± 4.1 | 7.9 ± 1.8 |
| Zn | 14.8 ± 2.1 | 27.7 ± 7.9 | 13.4 ± 2.4 | 6.3 ± 1.0 | 9.2 ± 2.6 | 3.2 ± 0.4 |
| Bark | ||||||
| Cu | 9.6 ± 2.0 | 2.6 ± 0.5 | 12.1 ± 1.9 | 3.1 ± 0.5 | 13.4 ± 0.6 | 2.3 ± 0.8 |
| Pb | 37.6 ± 4.0 | 33.4 ± 1.4 | 26.6 ± 3.1 | 17.9 ± 2.9 | 11.9 ± 2.4 | 20.9 ± 2.8 |
| Zn | 14.2 ± 2.4 | 11.9 ± 1.5 | 9.1 ± 0.9 | 14.6 ± 2.3 | 15.7 ± 5.1 | 11.8 ± 4.1 |
Disclaimer/Publisher’s Note: The statements, opinions and data contained in all publications are solely those of the individual author(s) and contributor(s) and not of MDPI and/or the editor(s). MDPI and/or the editor(s) disclaim responsibility for any injury to people or property resulting from any ideas, methods, instructions or products referred to in the content. |
© 2025 by the authors. Licensee MDPI, Basel, Switzerland. This article is an open access article distributed under the terms and conditions of the Creative Commons Attribution (CC BY) license (https://creativecommons.org/licenses/by/4.0/).
Share and Cite
Hernández-Maravilla, S.; Castrejón-Godínez, M.L.; Tovar-Sánchez, E.; Saldarriaga-Noreña, H.A.; Rodríguez, A.; Rosas-Ramírez, M.E.; Mussali-Galante, P. Metal Biomonitoring Through Arboreal Species in Riparian Ecosystems: Pithecellobium dulce as a Bioindicator Species. Plants 2025, 14, 118. https://doi.org/10.3390/plants14010118
Hernández-Maravilla S, Castrejón-Godínez ML, Tovar-Sánchez E, Saldarriaga-Noreña HA, Rodríguez A, Rosas-Ramírez ME, Mussali-Galante P. Metal Biomonitoring Through Arboreal Species in Riparian Ecosystems: Pithecellobium dulce as a Bioindicator Species. Plants. 2025; 14(1):118. https://doi.org/10.3390/plants14010118
Chicago/Turabian StyleHernández-Maravilla, Sayuri, María Luisa Castrejón-Godínez, Efraín Tovar-Sánchez, Hugo Albeiro Saldarriaga-Noreña, Alexis Rodríguez, Marcos Eduardo Rosas-Ramírez, and Patricia Mussali-Galante. 2025. "Metal Biomonitoring Through Arboreal Species in Riparian Ecosystems: Pithecellobium dulce as a Bioindicator Species" Plants 14, no. 1: 118. https://doi.org/10.3390/plants14010118
APA StyleHernández-Maravilla, S., Castrejón-Godínez, M. L., Tovar-Sánchez, E., Saldarriaga-Noreña, H. A., Rodríguez, A., Rosas-Ramírez, M. E., & Mussali-Galante, P. (2025). Metal Biomonitoring Through Arboreal Species in Riparian Ecosystems: Pithecellobium dulce as a Bioindicator Species. Plants, 14(1), 118. https://doi.org/10.3390/plants14010118

