Echinacea: Bioactive Compounds and Agronomy
Abstract
1. Introduction
2. Bioactive Metabolites of Echinacea
2.1. Alkylamides
| Class | Concentration (%) | Chemical Compounds | References |
|---|---|---|---|
| Alkylamides | 0.01–0.70 (w/w) | Isobutyl amides of straight-chain fatty acids with olefinic and/or acetylenic bonds, e.g., isomeric dodeca-2E,4E,8Z,10E/Z-tetraenoic isobutylamide, undeca-2Z,4E-diene-8,10-diynoic acid isobutylamide | [24] |
| Caffeic acid | 2.0–2.8 (w/w) | Chicoric acid (2,3-o-di-caffeoyl tartaric acid) derivatives of 2-o-caffeoyltartaric acid, echinacoside, verbascoside, caffeoylechinacoside, and chlorogenic acid | [25] |
| Polysaccharides | 1.5–2.5 | Arabinogalactans and glycoproteins contain a sugar component comprising arabinose, galactose, and galactosamine | [19] |
| Volatile oils | 0.1 | Caryophyllene, caryophyllene oxide, humulene, limonene, camphene, aldehydes, and dimethyl sulfide. As per WHO monograph, pentadeca-(1,8-Z)-diene, 1-pentacene, ketoalkynes, and ketoalkenes are also present | [27] |
| Others | - | Small amounts of polyacetylene compounds including trideca-1-en-3,5,7,9,11-pentane, trideca-1,11-dien-3,5,7,9-tetrayne, trideca-8,10,12-triene-2,4,6-triene. Effective alkaloids: tussilagine and isotussilagine. | [28] |
| Bioactive Compounds | Biological and Pharmacological Effects | References |
|---|---|---|
| Alkylamides | Immunomodulators, anti-inflammatory, macrophage modulation, decrease in NO and tumor necrosis factor-α, antiviral immunity mediators, and type 2 cannabinoid receptor | [29] |
| Polysaccharides | Antitumor, antioxidant, antimicrobial, antifungal, antiviral, immunomodulators, hypoglycemic, hepatoprotective, gastrointestinal protector, and anti-diabetic | [30] |
| Glycoproteins | Immunomodulatory | [31] |
| Flavonoids | Antioxidants, anti-inflammatory, anti-ulcer, anti-allergic, and antiviral activity | [32] |
| CADs | Anti-inflammatory, antioxidant, anti-osteoporotic, antimicrobial, antitumor, and neuroprotective activity | [33] |
| Alkylamide Compounds | Molecular Weight (g/mol) | Echinacea Species | Reference |
|---|---|---|---|
| Undeca-2E,4Z-diene-8,10-diynoic acid isobutylamide | 229.32 | E. purpurea, E. angustifolia | [13] |
| Undeca-2Z,4E-diene-8,10-diynoic acid isobutylamide | 229.32 | E. purpurea | [3,16] |
| Undeca-2E-ene-8,10-diynoic acid isobutylamide | 231.34 | E. purpurea | [24] |
| Undeca-2E,4Z-diene-8,10-diynoic acid 2-methylbutylamide | 243.35 | E. purpurea | [6] |
| Undeca-2Z,4E-diene-8,10-diynoic acid 2-methylbutylamide | 243.35 | E. purpurea | [1] |
| Dodeca-2Z,4E-diene-8,10-diynoic acid isobutylamide | 243.35 | E. purpurea | [14] |
| Dodeca-2E,4Z-diene-8,10-diynoic acid isobutylamide | 243.35 | E. purpurea | [10] |
| Dodeca-2E,4E,10E-triene-8-ynoic acid isobutylamide | 245.37 | E. purpurea | [2] |
| Dodeca-2E-ene-8,10-diynoic acid isobutylamide | 245.37 | E. angustifolia | [34] |
| Dodeca-2E,4E,8Z,10E-tetraenoic acid isobutylamide | 247.38 | E. angustifolia | [4] |
| Dodeca-2E,4E, 8Z,10Z-tetraenoic acid isobutylamide | 247.38 | E. purpurea | [9] |
| Dodeca-2E,4E, 8E,10Z-tetraenoic acid isobutylamide | 247.38 | E. purpurea | [21] |
| Dodeca-2E,4E,8Z-trienoic acid isobutylamide | 249.40 | E. purpurea | [10] |
| Dodeca-2E,4E-dienoic acid isobutylamide | 251 41 | E. purpurea | [8] |
| Trideca-2E,7Z-diene-8,10-diynoic acid isobutylamide | 257.38 | E. purpurea, | [13] |
| Dodeca-2E,4Z-diene-8,10-diynoic acid 2-methylbutylamide | 257.38 | E. purpurea | [24] |
| Dodeca-2,4,8,10-tetraenoic acid 2-methylbutylamide | 261.41 | E. purpurea | [35] |
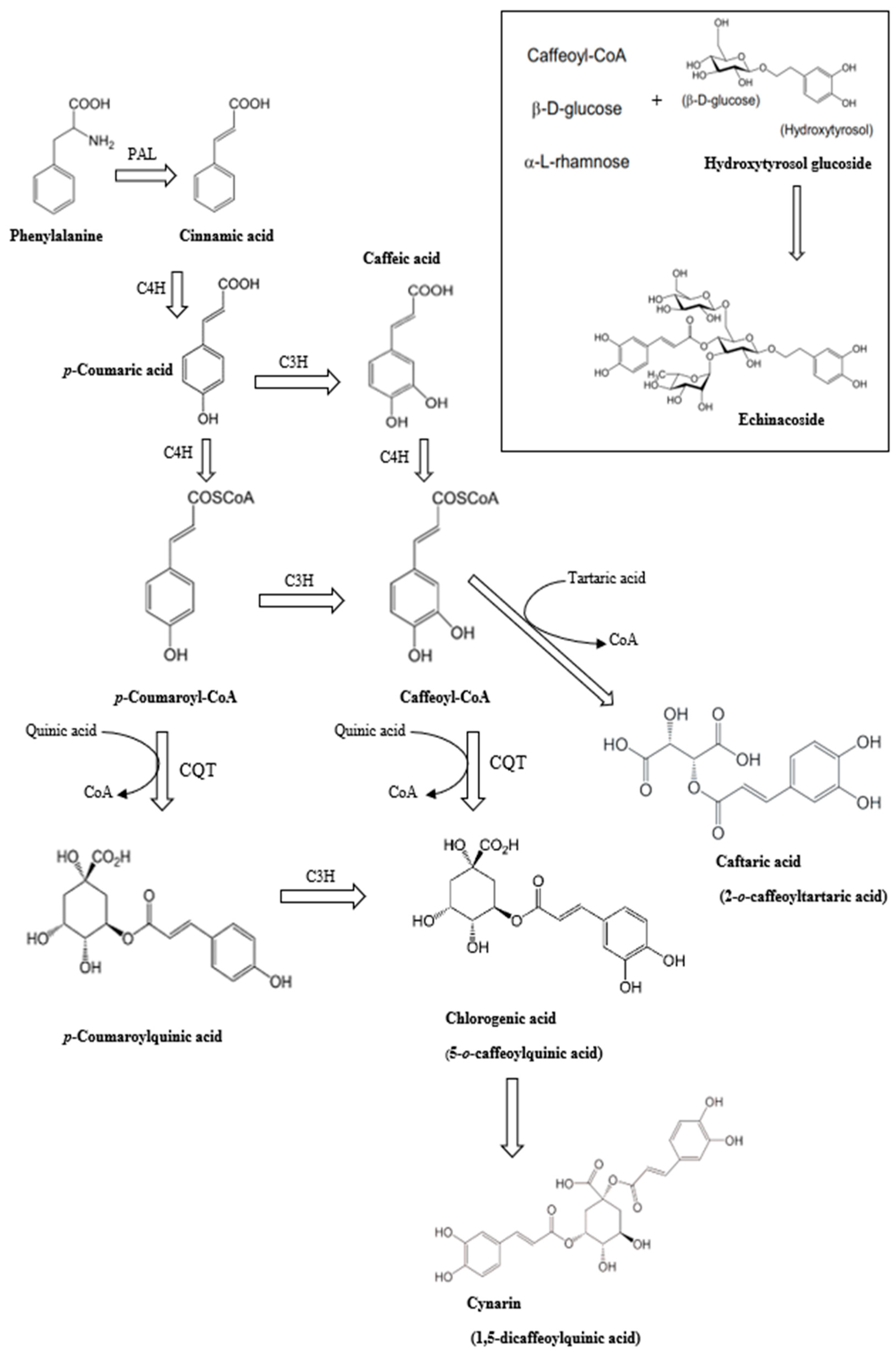
2.2. Caffeic Acid Derivatives
2.3. Flavonoids
| Plant Organ | Extraction Technique | Analysis | E. purpurea | E. pallida | E. angustifolia | Reference |
|---|---|---|---|---|---|---|
| Root | Ethanol 70% * (shaker) | HPLC | 22.7 mg g−1 DW | 0.9 mg g−1 DW | [36] | |
| Root | Ethanol 70% | HPLC | 9.4 mg g−1 DW | 0.5 mg g−1 DW | 0.1 mg g−1 DW | [37] |
| Root | Methanol 70% | HPLC-ESIMS | 11.0 mg g−1 DW | [38] | ||
| Root | Methanol 70% | HPLC-ESIMS | 20.8 mg g−1 DW | [39] | ||
| Root | Methanol 80% | HPLC | 19.3 mg g−1 DW | 0.83 mg g−1 DW | <LOQ ** | [40] |
| Root | Ethanol 55% | HPLC | 4.77 mg g−1 DW | 0.032 mg mL−1 | 0.046 mg mL−1 | [41] |
| Root | Ethanol 80% | HPLC | 13.6 mg g−1 DW | [42] | ||
| Shoot | Ethanol 70% | HPLC | 6.00 mg g−1 DW | [43] | ||
| Root | Methanol 80% | HPLC | 19.0 mg g−1 DW | 0.41 mg g−1 DW | 0.27 mg g−1 DW | [44] |
| Root | Ethanol 50% | HPLC | 0.71 mg g−1 DW | [45] | ||
| Hairy root | Methanol 70% | HPLC-ESIMS | 19.2 mg g−1 DW | [46] | ||
| Root | Methanol 70% | HP LC | 25 mg g−1 DW | [47] | ||
| Root | Methanol 70% (sonication) | HPLC | 7.63 mg g−1 DW | [48] | ||
| Root | Methanol 70% | HPLC | 7.7 mg g−1 DW | [49] | ||
| Root | Methanol 70% (sonication) | HPLC | 8.17 mg g−1 DW | [50] | ||
| Shoot | Methanol 70% (sonication) | HPLC | 8.57 mg g−1 DW | [51] | ||
| Root | Methanol 70% (sonication) | HPLC | 41.3 mg g−1 DW | [52] | ||
| Root | Ethanol 70% | HPLC | 11.3 mg g−1 DW | [53] | ||
| Root | Methanol and water | HPLC | 13.9 mg g−1 DW | [54] | ||
| Steam | Methanol and water | HPLC | 16.7 mg g−1 DW | [55] | ||
| Leaves | Methanol 70% (sonication) | HPLC | 20.2 mg g−1 DW | [56] |
| Plant Organ | Extraction Technique | Method | E. purpurea | E. pallida | E. angustifolia | Reference |
|---|---|---|---|---|---|---|
| Root | Ethanol 70% * (shaker) | HPLC | <0.1 mg g−1 DW | 3.4 mg g−1 DW | 10.4 mg g−1 DW | [57] |
| Root | Ethanol 70% | HPLC | 3.7 mg g−1 DW | 3.6 mg g−1 DW | [58] | |
| Root | Methanol 80% | LC-MS | <LOQ ** | 16.2 mg g−1 DW | 9.10 mg g−1 DW | [59] |
| Root | Ethanol 60% (ultrasonic) | HPLC | 0.245 mg mL−1 | [60] | ||
| Root | Ethanol 55% | HPLC | 0 | 0.62 mg mL−1 | 1.86 mg mL−1 | [61] |
| Root | Methanol 80% (stirring) | HPLC | <LOQ | 12.7 mg g−1 DW | 10.6 mg g−1 DW | [62] |
| Shoot | Ethanol 70% | HPLC | 0 | [63] | ||
| Flower | Ethanol 70% | HPLC | 0 | [64] | ||
| Herb | Ethanol 70% | HPLC | 0 | [65] | ||
| Root | Methanol 70% (ultrasonic) | HPLC | 1.1 mg g−1 DW | [66] | ||
| Shoot | Ethanol 70% (sonication) | HPLC | 0.5 mg g−1 DW | [67] |
| Plant Organ | Extraction Technique | Method | E. purpurea | E. pallida | E. angustifolia | Reference |
|---|---|---|---|---|---|---|
| Root | Ethanol 70% * | HPLC | <0.1 mg g−1 DW | 0.3 mg g−1 DW | 1.5 mg g−1 DW | [68] |
| Root | Methanol 80% | HPLC | <LOQ ** | <LOQ | <LOQ | [69] |
| Root | Methanol 60% | HPLC | 0.29 mg g−1 DW | [70] | ||
| Root | Methanol 80% | HPLC | <LOQ | <LOQ | 0.77 mg g−1 DW | [71] |
| Shoot | Ethanol 70% | HPLC | 0.045 mg mL−1 | [72] | ||
| Root | Ethanol 55% | HPLC | 0.055 mg mL−1 | 0.003 mg mL−1 | 0.282 mg mL−1 | [73] |
| Flower | Ethanol 70% | HPLC | 0.208 mg mL−1 | [74] | ||
| Hairy root | Methanol 70% | HPLC | 0.93 mg g−1 DW | [75] | ||
| Root | Methanol and water | HPLC | 0.011 mg g−1 DW | [76] | ||
| Shoot | Methanol and water | HPLC | 0.152 mg g−1 DW | [77] | ||
| Shoot | Ethanol 70% | HPLC | 0.3 mg g−1 DW | [78] |
| Plant Organ | Extraction Technique | Method | E. purpurea | E. pallida | E. angustifolia | Reference |
|---|---|---|---|---|---|---|
| Root | Ethanol 70% * | HPLC | <0.1 mg g−1 DW | <0.1 mg g−1 DW | 1.2 mg g−1 DW | [79] |
| Root | Methanol 80% | HPLC | <LOQ ** | <LOQ | 1.39 mg g−1 DW | [80] |
| Root | Methanol 60% | HPLC | 0.8 mg g−1 DW | [81] | ||
| Root | Ethanol 60% | LC-MS | 0.09 mg mL−1 | [82] | ||
| Flower | Ethanol 70% | HPLC | 0 | [83] | ||
| Herb | Ethanol 70% | HPLC | 0 | [84] | ||
| Shoot | Ethanol 70% | HPLC | 0.005 mg mL−1 | [85] | ||
| Root | Ethanol 55% | HPLC | 0 | 0 | 0.238 mg mL−1 | [86] |
| Root | Methanol 80% | HPLC | <LOQ | <LOQ | 3.44 mg g−1 DW | [87] |
| Root | Ethanol 70% | HPLC | 0.13 mg g−1 DW | [88] | ||
| Shoot | Ethanol 70% | HPLC | 0.2 mg g−1 DW | [89] |
2.4. Polysaccharides
3. Pharmacological Advantages of Echinacea Phytochemicals
3.1. Neuroprotective Effect
3.2. Anticancer Activity
3.3. Liver-Protective Efficacy
4. Recent Advances in Biotechnology for Echinacea Production
4.1. Genetic Engineering and Phylogenetic Analysis of Echinacea
4.2. In Vitro Technologies for Mass Propagation of Echinacea
4.3. In Vitro Seed Germination
4.4. Explants
4.5. Shoot Organogenesis
4.6. Somatic Embryogenesis
4.7. Regeneration of Protoplasts
5. Stress-Induced Enhancement of Bioactive Compounds
Salt Stresses
6. Elicitors of Secondary Metabolites in Echinacea Species
7. Factors Influencing the Quality of Echinacea Roots for Commercial Use
8. Hydroponic Cultivation
9. Knowledge Gaps and Future Research Directions
Author Contributions
Funding
Data Availability Statement
Conflicts of Interest
References
- Abbasi, B.H.; Saxena, P.K.; Murch, S.J.; Liu, C.Z. Echinacea biotechnology: Challenges and opportunities. Vitr. Cell. Dev. Biol.-Plant 2007, 43, 481–492. [Google Scholar] [CrossRef]
- Abbasi, B.H.; Stiles, R.; Saxena, P.; Liu, C.Z. Gibberellic acid increases secondary metabolite production in Echinacea purpurea hairy roots. Appl. Biochem. Biotechnol. 2012, 168, 2057–2066. [Google Scholar] [CrossRef]
- Ahmadi, F.; Samadi, A.; Rahimi, A. Improving growth properties and phytochemical compounds of Echinacea purpurea (L.) medicinal plant using novel nitrogen slow-release fertilizer under greenhouse conditions. Sci. Rep. 2020, 10, 13842. [Google Scholar] [CrossRef]
- Ahmadi, F.; Samadi, A.; Sepehr, E.; Rahimi, A.; Shabala, S. Cell-type-specific H+-ATPase activity and antioxidant enzymes improve the Echinacea purpurea L. Moench tolerance to salinity stress at different NO3−/NH4+ ratios. Ind. Crops Prod. 2022, 186, 115199. [Google Scholar] [CrossRef]
- Ahmadi, F.; Samadi, A.; Sepehr, E.; Rahimi, A.; Shabala, S. Morphological, phytochemical, and essential oil changes induced by different nitrogen supply forms and salinity stress in Echinacea purpurea L. Biocatal. Agric. Biotechnol. 2022, 43, 102396. [Google Scholar] [CrossRef]
- Ahmadi, F.; Samadi, A.; Sepehr, E.; Rahimi, A.; Shabala, S. Potassium homeostasis and signaling as a determinant of Echinacea species tolerance to salinity stress. Environ. Exp. Bot. 2023, 206, 105148. [Google Scholar] [CrossRef]
- Altamirano-Dimas, M.; Sharma, M.; Hudson, J.B. Echinacea, and anti-inflammatory cytokine responses: Results of a gene and protein array analysis. Pharm. Biol. 2009, 47, 500–508. [Google Scholar] [CrossRef]
- Aras, S.; Eşitken, A.; Karakurt, Y. Morphological and physiological responses and some WRKY genes expression in cherry rootstocks under salt stress. Span. J. Agric. Res. 2019, 17, e0806. [Google Scholar] [CrossRef]
- Arifin, P.F.; Assa, T.I.; Nora, A.; Wisastra, R. Evaluating the Antioxidant Activity of Ethanol Extract from Echinacea purpurea (L.) Moench. Indones. J. Biotechnol. 2022, 6, 39–44. [Google Scholar]
- Asadi-Sanam, S.; Pirdashti, H.; Hashempour, A.; Zavareh, M.; Nematzadeh, G.A.; Yaghoubian, Y. The physiological and biochemical responses of eastern purple coneflower to freezing stress. Russ. J. Plant Physiol. 2015, 62, 515–523. [Google Scholar] [CrossRef]
- Azadbakht, F.; Amini Dehaghi, M.; Ahmadi, K.; Alipour Gravand, S. Effect of organic acids and salt stress on germination of seed and physiological properties of (Echinacea Purpurea L.). Iran. Seed Sci. Res. 2020, 7, 27–40. [Google Scholar]
- Aziz, A.N.; Sauve, R.J. Genetic mapping of Echinacea purpurea via individual pollen DNA fingerprinting. Mol. Plant Breed. 2008, 21, 227–232. [Google Scholar] [CrossRef]
- Barnes, J.; Anderson, L.A.; Gibbons, S.; Phillipson, J.D. Echinacea species (Echinacea angustifolia (DC.) Hell., Echinacea pallida (Nutt.) Nutt., Echinacea purpurea (L.) Moench): A review of their chemistry, pharmacology, and clinical properties. J. Pharm. Pharmacol. 2005, 57, 929–954. [Google Scholar] [CrossRef]
- Barrett, B. Medicinal properties of Echinacea: A critical review. Phytomedicine 2003, 10, 66–86. [Google Scholar] [CrossRef] [PubMed]
- Behnam, H.; Feizi, H.; Alipanah, M. Alleviation the effects of salinity stress using titanium dioxide nano and bulk particles in Echinacea seeds and seedlings. Adv. Hortic. Sci. 2021, 35, 351–360. [Google Scholar] [CrossRef]
- Bergeron, C.; Gafner, S. Quantitative Analysis of the Polysaccharide and Glycoprotein Fractions in Echinacea purpurea. and Echinacea angustifolia. by HPLC-ELSD for Quality Control of Raw Material. Pharm. Biol. 2007, 45, 98–105. [Google Scholar] [CrossRef]
- Bian, P.; Liu, C.; Hu, W.; Ding, Y.; Qiu, S.; Li, L. Echinacoside suppresses the progression of breast cancer by downregulating the expression of miR-4306 and miR-4508. Integr. Cancer Ther. 2021, 20, 15347354211062639. [Google Scholar] [CrossRef]
- Burlou-Nagy, C.; Bănică, F.; Negrean, R.A.; Jurca, T.; Vicaș, L.G.; Marian, E.; Pallag, A. Determination of the Bioactive Compounds from Echinacea purpurea (L.) Moench Leaves Extracts in Correlation with the Antimicrobial Activity and the In Vitro Wound Healing Potential. Molecules 2023, 28, 5711. [Google Scholar] [CrossRef]
- Chae, C.; Park, S.U. Improved shoot organogenesis of Echinacea angustifolia DC treated with ethylene inhibitors. Life Sci. J. 2012, 9, 1725–1728. [Google Scholar]
- Chae, W.B.; Choi, G.W.; Chung, I.S. Plant regeneration depending on explant type in Chrysanthmum coronarium L. J. Plant Biotechnol. 2004, 6, 253–258. [Google Scholar]
- Chen, L.; Meng, Y.; Jiang, D.; Yang, F.; Zhou, Y. Physio-biochemical responses of three Aquilegia species seedlings to salt stress. Agronomy 2022, 12, 2841. [Google Scholar] [CrossRef]
- Cho, K.H.; Le, C.W.; Lee, K.M. Gibberellic Acid (GA3) and Light Affect Germination of Echinacea angustifolia Seeds. Hort. Sci. 2000, 35, 443D. [Google Scholar] [CrossRef]
- Choffe, K.L.; Murch, S.J.; Saxena, P.K. Regeneration of Echinacea purpurea: Induction of root organogenesis from hypocotyls and cotyledon explants. Plant Cell Tissue Organ Cult. 2000, 62, 227–234. [Google Scholar] [CrossRef]
- Choirunnisa, J.P.; Widiyastuti, Y.; Sakya, A.T. Morphological characteristics and flavonoid accumulation of Echinacea purpurea cultivated at various salinity. Biodivers. J. 2021, 22, 3716–3721. [Google Scholar] [CrossRef]
- Chuang, H.W.; Wang, T.Y.; Huang, C.C.; Wei, I.H. Echinacoside exhibits antidepressant-like effects through AMPAR-Akt/ERK-mTOR pathway stimulation and BDNF expression in mice. Chin. Med. 2022, 17, 9–15. [Google Scholar] [CrossRef] [PubMed]
- Chuang, S.J.; Chen, C.L.; Chen, J.; Sung, J.M. Using bulked AFLP analysis to assess genetic diversity in Echinacea species. Sci. Hortic. 2010, 124, 400–404. [Google Scholar] [CrossRef]
- Dai, L.H.; Shen, Y.M.; Wu, Y.H.; Yu, X.P.; Hu, H.J.; Mi, Y.J.; Chen, J.J. Effect of echinacoside on replication and antigen expression of hepatitis B virus, China. Chin. Med. 2015, 40, 3047–3052. [Google Scholar]
- Demirci, T. Determination of secondary metabolite production efficiency in Echinacea purpurea callus, shoot, and root in vitro cultures with methyl jasmonate applications. Acta Physiol. Plant. 2022, 44, 128. [Google Scholar] [CrossRef]
- Demirci, T.; Çelikkol Akçay, U.; Göktürk Baydar, N. Effects of 24-epibrassinolide and l-phenylalanine on growth and caffeic acid derivative production in hairy root culture of Echinacea purpurea L. Moench. Acta Physiol. Plant. 2020, 42, 1–11. [Google Scholar] [CrossRef]
- Ding, Y.; Zhang, Y.; Wang, Z.; Zeng, F.; Zhen, Q.; Zhao, H.; Li, J.; Ma, T.; Huang, C. Echinacoside from Cistanche tubulosa ameliorates alcohol-induced liver injury and oxidative stress by targeting Nrf2. FASEB J. 2023, 37, e22792. [Google Scholar] [CrossRef]
- Dong, L.; Yu, D.; Wu, N.; Wang, H.; Niu, J.; Wang, Y.; Zou, Z. Echinacoside induces apoptosis in human SW480 colorectal cancer cells by induction of oxidative DNA damages. Int. J. Mol. Sci. 2015, 16, 14655–14668. [Google Scholar] [CrossRef] [PubMed]
- Emami Bistgani, Z.; Barker, A.V.; Hashemi, M. Review on Physiological and Phytochemical Responses of Medicinal Plants to Salinity Stress. Commun. Soil Sci. Plant Anal. 2023, 54, 2475–2490. [Google Scholar] [CrossRef]
- Espinosa-Paredes, D.A.; Cornejo-Garrido, J.; Moreno-Eutimio, M.A.; Martínez Rodríguez, O.P.; Jaramillo-Flores, M.E.; Ordaz-Pichardo, C. Echinacea angustifolia DC extract induces apoptosis and cell cycle arrest and synergizes with paclitaxel in the MDA-MB-231 and MCF-7 human breast cancer cell lines. Nutr. Cancer 2021, 73, 2287–2305. [Google Scholar] [CrossRef] [PubMed]
- Wei, J.; Zheng, Z.; Hou, X.; Jia, F.; Yuan, Y.; Yuan, F.; He, F.; Hu, L.; Zhao, L. Echinacoside inhibits colorectal cancer metastasis via modulating the gut microbiota and suppressing the PI3K/AKT signaling pathway. J. Ethnopharmacol. 2023, 318, 116866. [Google Scholar] [CrossRef] [PubMed]
- Fu, R.; Zhang, P.; Deng, Z.; Jin, G.; Guo, Y.; Zhang, Y. Diversity of antioxidant ingredients among Echinacea species. Ind. Crops Prod. 2021, 170, 113699. [Google Scholar] [CrossRef]
- Fu, R.; Zhang, P.; Deng, Z.; Jin, G.; Zhang, Y. Chicoric acid provides better ultraviolet protection than the sum of its substrates in purple coneflower plants. Ind. Crops Prod. 2021, 170, 113778. [Google Scholar] [CrossRef]
- Gao, S.; Xu, T.; Guo, H.; Deng, Q.; Xun, C.; Liang, W.; Sheng, W. Ameliorative effects of echinacoside against spinal cord injury via inhibiting NLRP3 inflammasome signaling pathway. Life Sci. 2019, 237, 116978. [Google Scholar] [CrossRef] [PubMed]
- Ghafouri, S.A.; Ghaniei, A.; Tamannaei, A.E.T.; Sadr, S.; Charbgoo, A.; Ghiassi, S.; Abuali, M. Evaluation of therapeutic effects of an herbal mixture (Echinacea purpurea and Glycyrrhiza glabra) for treatment of clinical coccidiosis in broilers. J. Vet. Sci. 2023, 9, 829–836. [Google Scholar] [CrossRef] [PubMed]
- Guo, J.; Shan, C.; Zhang, Y.; Wang, X.; Tian, H.; Han, G.; Wang, B. Mechanisms of Salt Tolerance and Molecular Breeding of Salt-Tolerant Ornamental Plants. Front. Plant Sci. 2022, 13, 854116. [Google Scholar] [CrossRef]
- Haider, M.Z.; Ashraf, M.A.; Rasheed, R.; Hussain, I.; Riaz, M.; Qureshi, F.F.; Hafeez, A. Impact of Salinity Stress on Medicinal Plants. In Medicinal Plants: Their Response to Abiotic Stress; Springer Nature: Singapore, 2023; pp. 199–239. [Google Scholar]
- Harbage, J.F. Micropropagation of Echinacea angustifolia, E. pallida, and E. purpurea from stem and seed explants. Hortic. Sci. 2001, 36, 360–364. [Google Scholar] [CrossRef]
- Hashempoor, J.; Asadi-Sanam, S.; Mirza, M.; Ghanbari Jahromi, M. The effect of different fertilizer sources on soil nutritional status and physiological and biochemical parameters of coneflower (Echinacea purpurea L.). Commun. Soil Sci. Plant Anal. 2022, 53, 1246–1260. [Google Scholar] [CrossRef]
- Hosseini, M.; Samsampour, D.; Zahedi, M.; Zamanian, K.; Rahman, M.; Mostofa, M.G.; Tran, L.P. Melatonin alleviates drought impact on growth and essential oil yield of lemon verbena by enhancing antioxidant responses, mineral balance, and abscisic acid content. Physiol. Plant. 2021, 172, 1363–1375. [Google Scholar] [CrossRef]
- Jan, R.; Asaf, S.; Numan, M.; Lubna Kim, K.M. Plant secondary metabolite biosynthesis and transcriptional regulation in response to biotic and abiotic stress conditions. Agronomy 2021, 11, 968. [Google Scholar] [CrossRef]
- Jang, Y.; Cui Lee, E.J.; Kim, H.W.; Paek, K.Y. Auxin effects on production of adventitious roots and secondary metabolites in Echinacea angustifolia. Korean J. Med. Crop Sci. 2012, 20, 479–486. [Google Scholar] [CrossRef]
- Jedrzejczyk, I. Genome size and SCoT markers as tools for identification and genetic diversity assessment in Echinacea genus. Ind. Crops Prod. 2020, 144, 112055. [Google Scholar] [CrossRef]
- Jiang, W.; Zhu, H.; Xu, W.; Liu, C.; Hu, B.; Guo, Y.; Qian, H. Echinacea purpurea polysaccharide prepared by fractional precipitation prevents alcoholic liver injury in mice by protecting the intestinal barrier and regulating liver-related pathways. Int. J. Biol. Macromol. 2021, 187, 143–156. [Google Scholar] [CrossRef]
- Jones, A.M.P.; Saxena, K.; Murch, J. Elicitation of secondary metabolism in Echinacea purpurea L. by gibberellic acid and triazoles. Eng. Life Sci. 2009, 9, 205–210. [Google Scholar] [CrossRef]
- Jones, M.P.; Cao, J.; Murch, S.; Saxen, K. The mode of action of Thidiazuron: Auxins, indoleamines, and ion channels in the regeneration of Echinacea purpurea L. Plant Cell Rep. 2007, 26, 1481–1490. [Google Scholar] [CrossRef] [PubMed]
- Jones, M.P.A.; Yi, Z.; Murch, S.J.; Saxena, P.K. Regeneration of Echinacea purpurea L. micropropagation in solid and liquid culture systems. Plant Cell Rep. 2007, 26, 13–19. [Google Scholar] [CrossRef]
- Kapteyn, J.; Goldsbrough, P.; Simon, J. Genetic relationships and diversity of commercially relevant Echinacea species. Theor. Appl. Genet. 2002, 105, 369–376. [Google Scholar] [CrossRef]
- Kara, A.; Tunçtürk, M.; Tunçtürk, R. Investigation of the effects on some physiological parameters of salt stress and seaweed applications in Echinacea (Echinacea purpurea L.) plant. Derim 2011, 36, 199–206. [Google Scholar] [CrossRef][Green Version]
- Karhib, M.; El-Sayed, R.A.; Ghanem, N.F.; El-Demerdash, F.M. Nephroprotective role of Echinacea purpurea against potassium dichromate-induced oxidative stress, inflammation, and apoptosis in rats. Environ. Toxicol. 2022, 37, 2324–2334. [Google Scholar] [CrossRef] [PubMed]
- Kaya, M.; Merdivan, M.; Tashakkori, P.; Erdem, P.; Anderson, J.L. Analysis of Echinacea flower volatile constituents by HS-SPME-GC/MS using laboratory-prepared and commercial SPME fibers. J. Essent. Oil Res. 2019, 31, 91–98. [Google Scholar] [CrossRef]
- Kim, H.; Calderón, A.I. Rational and safe use of the top two botanical dietary supplements to enhance the immune system. Comb. Chem. High Throughput Screen. 2022, 25, 1129–1130. [Google Scholar]
- Kittelson, P.M.; Wagenius, S.; Nielsen, R.; Qazi, S.; Howe, M.; Kiefer, G.; Shaw, R.G. How functional traits, herbivory, and genetic diversity interact in Echinacea: Implications for fragmented populations. Ecology 2015, 96, 1877–1886. [Google Scholar] [CrossRef] [PubMed]
- Knee, M.; Thomas, L.C. Light utilization and competition between Echinacea purpurea, Panicum virgatum, and Ratibida pinnata under greenhouse and field conditions. Ecol. Res. 2002, 17, 591–599. [Google Scholar] [CrossRef]
- Koroch, A.; Kapetyn, J.; Juliana, H.R.; Simon, J.E. In vitro regeneration of Echinacea pallida from leaf explants. Vitr. Cell. Dev. Biol.-Plant 2003, 39, 415–418. [Google Scholar] [CrossRef]
- Koroch, A.; Kapteyn, J.; Juliana, H.R.; Simon, J.E. In Vitro Regeneration and Agrobacterium Transformation of Echinacea Purpurea Leaf Explants. Trends in New Crops and New Uses; ASHS Press: Alexandria, VA, USA, 2002; pp. 522–526. [Google Scholar]
- Lata, H.L.X.; Silv, B.; Moraes, M.; Halda-Alija, L. Identification of IAA-producing endophytic bacteria from micro-propagated Echinacea plants using 16S rRNA sequencing. Plant Cell Tissue Organ Cult. 2006, 85, 353–359. [Google Scholar] [CrossRef]
- Lema-Rumińska, J.; Kulus, D.; Tymoszuk, A.; Varejão, J.M.M.; Bahcevandziev, K. Profile of secondary metabolites and genetic stability analysis in new lines of Echinacea purpurea (L.) Moench micro propagated via somatic embryogenesis. Ind. Crops Prod. 2019, 142, 111851. [Google Scholar] [CrossRef]
- Lepojević, I.; Lepojević, Ž.; Pavlić, B.; Ristić, M.; Zeković, Z.; Vidović, S. Solid-liquid and high-pressure (liquid and supercritical carbon dioxide) extraction of Echinacea purpurea L. J. Supercrit. Fluids 2017, 119, 159–168. [Google Scholar] [CrossRef]
- Li, W.; Zhou, J.; Zhang, Y.; Zhang, J.; Li, X.; Yan, Q.; Han, J.; Hu, F. Echinacoside exerts anti-tumor activity via the miR-503-3p/TGF-β1/Smad axis in liver cancer. Cancer Cell Int. 2021, 21, 304. [Google Scholar] [CrossRef] [PubMed]
- Li, X.; Gou, C.; Yang, H.; Qiu, J.; Gu, T.; Wen, T. Echinacoside ameliorates Dgalactosamine plus lipopolysaccharide-induced acute liver injury in mice via inhibition of apoptosis and inflammation, Scand. J. Gastroenterol. 2014, 49, 993–1000. [Google Scholar]
- Lin, S.D.; Sung, J.M.; Chen, C.L. Effect of drying and storage conditions on caffeic acid derivatives and total phenolics of Echinacea purpurea grown in Taiwan. Food Chem. 2011, 125, 226–231. [Google Scholar] [CrossRef]
- Liu, J.; Tang, N.; Liu, N.; Lei, P.; Wang, F. Echinacoside inhibits the proliferation, migration, invasion, and angiogenesis of ovarian cancer cells through PI3K/AKT pathway. J. Mol. Histol. 2022, 53, 493–502. [Google Scholar] [CrossRef]
- Lopes-Lutz, D.; Mudge, E.; Ippolito, R.; Brown, P.; Schieber, A. Purification of alkylamides from Echinacea angustifolia (DC.) Hell. roots by high-speed countercurrent chromatography. Agric. Food Chem. 2011, 59, 491–494. [Google Scholar] [CrossRef] [PubMed]
- Macchia, M.; Luciana Gabriella, A.; Lucia, C. Methods to overcome seed dormancy in Echinacea angustifolia DC. Sci. Hortic. 2001, 89, 317–324. [Google Scholar] [CrossRef]
- Maggini, R.; Tozzini, L.; Pacifici, S.; Raffaelli, A.; Pardossi, A. Growth and accumulation of caffeic acid derivatives in Echinacea angustifolia DC. var. angustifolia grown in hydroponic culture. Ind. Crops Prod. 2012, 35, 269–273. [Google Scholar] [CrossRef]
- Maslova, E.V.; Krolevets, A.; Gaidai, P.A.; Kalashnikova, E.A.; Cherednichenko, M.Y.; Kirakosyan, R.N.; Perelygina, T.A. The Use of Nanostructured Gibberellic Acid to Optimize the Cultivation of Echinacea purpurea (L.) Moench In Vitro. J. Comput. Theor. Nanosci. 2020, 17, 4718–4724. [Google Scholar] [CrossRef]
- McKeown, K.A. A review of the taxonomy of the genus Echinacea. Perspect. New Crops New Uses 1999, 482, 489. [Google Scholar]
- Micheli, L.; Maggini, V.; Ciampi, C.; Gallo, E.; Bogani, P.; Fani, R.; Firenzuoli, F. Echinacea purpurea against neuropathic pain: Alkamides versus polyphenols efficacy. Phytother. Res. 2023, 37, 1911–1923. [Google Scholar] [CrossRef]
- Miri, Y.; Mirjalili, S.A. Effects of salinity stress on seed germination and some physiological traits in primary stages of growth in purple coneflower (Echinacea purpurea). Int. J. Plant Prod. 2013, 4, 142–146. [Google Scholar]
- Mohamed, S.M.; Shalaby, M.A.; Al-Mokaddem, A.K.; El-Banna, A.H.; El-Banna, H.A.; Nabil, G. Evaluation of anti-Alzheimer activity of Echinacea purpurea extracts in aluminum chloride-induced neurotoxicity in rat model. J. Chem. Neuroanat. 2023, 128, 102234. [Google Scholar] [CrossRef]
- Mohebby, M.; Mortazavi, S.; Saba, J. Evaluation of the Effects of Salicylic Acid and Methyl Jasmonate on the Scent of Purple Coneflower (Echinacea purpurea L. Moench) Flowers. Science 2021, 9, 129–134. [Google Scholar] [CrossRef]
- Momchev, P.; Ciganović, P.; Jug, M.; Marguí, E.; Jablan, J.; Zovko Končić, M. Comparison of maceration and ultrasonication for green extraction of phenolic acids from Echinacea purpurea aerial parts. Molecules 2020, 25, 5142. [Google Scholar] [CrossRef]
- Montanari, M.; Degl’Innocenti, E.; Maggini, R.; Pacifici, S.; Pardossi, A.; Guidi, L. Effect of nitrate fertilization and saline stress on the contents of active constituents of Echinacea angustifolia DC. Food Chem. 2008, 107, 1461–1466. [Google Scholar] [CrossRef]
- Morikawa, T.; Pan, Y.; Ninomiya, K.; Imura, K.; Matsuda, H.; Yoshikawa, M.; Yuan, D.; Muraoka, O. Acylated phenylethanoid aminoglycosides with hepatoprotective activity from the desert plant Cistanche tubulosa. Bioorg. Med. Chem. 2010, 18, 1882–1890. [Google Scholar] [CrossRef]
- Muthumula, C.M.R. Chemometric Identification of Constituents of Hydroethanolic Echinacea Extracts Active in Free Radical Quenching. Doctoral Dissertation, University of Louisiana at Monroe, Monroe, LA, USA, 2022. [Google Scholar]
- Naučienė, Z.; Žūkienė, R.; Jackevičiūtė, S.; Trotaitė, S.; Kalasauskaitė, K.; Paužaitė, G.; Mildažienė, V. Transgenerational stress memory in E. purpurea: Seed treatment with cold plasma and electromagnetic field induces changes in germination, seedling growth and phytohormone pattern in the seeds of second generation. In Smart Bio: International Conference, 18–20 May 2017, Kaunas: Abstracts Book; Vytautas Magnus University: Kaunas, Lithuaniam, 2007. [Google Scholar]
- Nicolussi, S.; Ardjomand-Woelkart, K.; Stange, R.; Gancitano, G.; Klein, P.; Ogal, M. Echinacea as a potential force against coronavirus infections? A mini-review of randomized controlled trials in adults and children. Microorganisms 2022, 10, 211. [Google Scholar] [CrossRef]
- Nilanthi, D.; Chen, X.L.; Zhao, F.C.; Yang, Y.S.; Wu, H. Influence of gene dose on in vitro culture responses of purple coneflower (Echinacea purpurea L.). In Proceedings of the 2009 3rd International Conference on Bioinformatics and Biomedical Engineering, Beijing, China, 11–13 June 2009. [Google Scholar]
- Oliveira, B.G.D.; Santos, L.F.F.; Costa, M.C.D.; Bastos, R.W.; Carmo, P.H.F.D.; Santos, D.A.; César, I.C. Antimicrobial and Immunomodulatory Activities of Dried Extracts of Echinacea Purpurea. Braz. J. Pharm. Sci. 2023, 58, e21026. [Google Scholar]
- Pan, Z.G.; Liu, C.Z.; Zobayed, S.M.A.; Saxena, P.K. Plant regeneration from mesophyll protoplasts of Echinacea purpurea. Plant Cell Tissue Organ. Cult. 2004, 77, 251–255. [Google Scholar] [CrossRef]
- Partovi, R.; Seifi, S. Breast meat quality characteristics and its oxidative status during storage at refrigerator temperature and growth capabilities of Japanese quail fed by Echinacea purpurea extract. Int. Food Res. J. 2018, 25, 185–192. [Google Scholar]
- Pellati, F.; Calò, S.; Benvenuti, S.; Adinolfi, B.; Nieri, P.; Melegari, M. Isolation and structure elucidation of cytotoxic polyacetylenes and polyenes from Echinacea pallida. Phytochemistry 2006, 67, 1359–1364. [Google Scholar] [CrossRef]
- Perry, N.B.; Wills, R.B.H. The Genus Echinacea; Miller, S.C., Yu, H.-C., Eds.; CRC Press: Boca Raton, FL, USA, 2004; pp. 111–126. [Google Scholar]
- Peters, M.D.; Xiang, Q.Y.; Thomas, D.T.; Stucky, J.; Whiteman, N.K. Genetic analyses of the federally endangered Echinacea laevigata using amplified fragment length polymorphisms (AFLP)—Inferences in population genetic structure and mating system. Conserv. Genet. 2009, 10, 1–14. [Google Scholar] [CrossRef]
- Petrova, A.; Ognyanov, M.; Petkova, N.; Denev, P. Phytochemical Characterization of Purple Coneflower Roots (Echinacea purpurea (L.) Moench.) and Their Extracts. Molecules 2023, 28, 3956. [Google Scholar] [CrossRef]
- Pham, H.N.; Van Vuong, Q.; Bowyer, M.C.; Scarlett, C.J. Optimization of ultrasound-assisted extraction of Helicteres hirsuta Lour. for enhanced total phenolic compound and antioxidant yield. J. Appl. Res. Med. Aromat. Plants 2017, 7, 113–123. [Google Scholar] [CrossRef]
- Rasoli, F.; Gholipoor, M. Interactive effects of salicylic acid and jasmonic acid on secondary metabolite production in Echinacea purpurea. Int. J. Second. Metab. 2023, 10, 106–118. [Google Scholar] [CrossRef]
- Rasouli, F.; Gholipour, M.; Jahanbin, K.; Asghari, H. Effect of ultra-sonic waves on germination, some germination enzymes, and biochemical parameters of Echinacea purpurea L. seed. Iran. J. Seed Sci. Res. 2020, 7, 41–54. [Google Scholar]
- Razavizadeh, R.; Adabavazeh, F.; Chermahini, M.R.; Komatsu, S. Callus induction and plant regeneration from Carum copticum and assessment of antioxidant responses and phytochemical profiling by in vitro salinity stress. Horticulturae 2022, 9, 22. [Google Scholar] [CrossRef]
- Ren, W.; Ban, J.; Xia, Y.; Zhou, F.; Yuan, C.; Jia, H.; Wu, H. Echinacea purpurea-derived homogeneous polysaccharide exerts anti-tumor efficacy via facilitating M1 macrophage polarization. Innovation 2023, 4, 10356. [Google Scholar] [CrossRef]
- Rostami Gharkhloo, Z.; Sharifian, F.; Rahimi, A.; Akhoundzadeh Yamchi, A. Influence of high wave sound pretreatment on drying quality parameters of Echinacea root with infrared drying. J. Sci. Food Agric. 2022, 102, 2153–2164. [Google Scholar] [CrossRef]
- Russi, L.; Moretti, C.; Raggi, L.; Albertini, E.; Alistocco, E. Identifying commercially relevant Echinacea species by AFLP molecular markers. Genome 2009, 52, 912–918. [Google Scholar] [CrossRef][Green Version]
- Sabra, A.; Daayf, F.; Renault, S. Differential physiological and biochemical responses of three Echinacea species to salinity stress. Sci. Hortic. Ezoic. 2012, 135, 23–31. [Google Scholar] [CrossRef]
- Sajjadi, S.A.; Spidkar, Z.; Razavi, A.; Mehri, S. Effect of Azotobacter chroococcum and Different Rates of Nitrogen Fertilizer on Coneflower (Echinacea purpurea L. Moench) Yield and Phytochemical Properties. J. Ornam. Plants 2020, 10, 191–203. [Google Scholar]
- Sauve, R.J.; Mmbaga, M.T.; Zhou, S. In Vitro regeneration of the Tennessee coneflower (Echinacea tennesseensis). Vitr. Cell. Dev. Biol.-Plant 2004, 40, 325–328. [Google Scholar] [CrossRef]
- Shi, S.; Qin, Y.; Chen, D.; Deng, Y.; Yin, J.; Liu, S.; Yu, H.; Huang, H.; Chen, C.; Wu, Y.D.; et al. Echinacoside (ECH) suppresses proliferation, migration, and invasion of human glioblastoma cells by inhibiting Skp2-triggered epithelial mesenchymal transition (EMT). Eur. J. Pharmacol. 2022, 932, 175176. [Google Scholar] [CrossRef] [PubMed]
- Shu, W.; Wang, Z.; Zhao, R.; Shi, R.; Zhang, J.; Zhang, W.; Wang, H. Exploration of the effect and potential mechanism of echinacoside against endometrial cancer based on network pharmacology and in vitro experimental verification. Drug Des. Dev. Ther. 2022, 16, 1847–1863. [Google Scholar] [CrossRef] [PubMed]
- Signer, J.; Jonsdottir, H.R.; Albrich, W.C.; Strasser, M.; Züst, R.; Ryter, S.; Engler, O.B. In vitro antiviral activity of Echinaforce, an Echinacea purpurea preparation, against common cold coronavirus 229E and highly pathogenic MERS-CoV and SARS-CoV. arXiv 2020. [Google Scholar] [CrossRef]
- Soltanbeigi, A.; Maral, H. Agronomic yield and essential oil properties of Purple Coneflower (Echinacea purpurea L. Moench) with different nutrient applications. Chil. J. Agric. Anim. Sci. 2022, 38, 164–175. [Google Scholar] [CrossRef]
- Still, D.W.; Kim, D.H.; Aoyama, N. Genetic variation in Echinacea angustifolia along a climatic gradient. Ann. Bot. 2005, 96, 467–477. [Google Scholar] [CrossRef]
- Sutanto, O.P.; Asmanto, B.P.; Yunus, A. Growth response of Echinacea purpurea (L) Moench to biochar types and hormone doses. In IOP Conference Series. Earth Environ. Sci. 2022, 1016, 012013. [Google Scholar]
- Tao, Z.; Zhang, L.; Wu, T.; Fang, X.; Zhao, L. Echinacoside ameliorates alcoholinduced oxidative stress and hepatic steatosis by affecting SREBP1c/FASN pathway via PPARα. Food Chem. Toxicol. 2021, 148, 111956. [Google Scholar] [CrossRef]
- Thida, M.; Li, B.; Zhang, X.; Chen, C.; Zhang, X. Echinacoside alleviates acetaminophen-induced liver injury by attenuating oxidative stress and inflammatory cytokines in mice. J. Appl. Biomed. 2021, 19, 105–112. [Google Scholar] [CrossRef]
- Thomsen, M.O.; Christensen, L.P.; Grevsen, K. Harvest strategies for optimization of the content of bioactive alkamides and caffeic acid derivatives in aerial parts and in roots of Echinacea purpurea. J. Agric. Food Chem. 2018, 66, 11630–11639. [Google Scholar] [CrossRef] [PubMed]
- Tuncturk, R.; Kipcak, S.; Ghiyasi, M.; Tuncturk, M. The determination of gibberellic acid effects on seed germination of Echinacea purpurea (L.) Moench under salt stress. Int. J. Agric. Environ. Food Sci. 2019, 3, 101–105. [Google Scholar] [CrossRef][Green Version]
- Walck, J.L.; Hemmerly, T.E.; Hidayati, S.N. The endangered Tennesse purple coneflower, Echinacea tennesseensis (Asteraceae): Its ecology and conservation. Nativ. Plants J. 2002, 3, 54–64. [Google Scholar] [CrossRef]
- Wang, M.; Ma, X.; Wang, G.; Song, Y.; Zhang, M.; Mai, Z.; Zhou, B.; Ye, Y.; Xia, W. Targeting UBR5 in hepatocellular carcinoma cells and precise treatment via echinacoside nano delivery. Cell. Mol. Biol. Lett. 2022, 27, 92. [Google Scholar] [CrossRef] [PubMed]
- Wang, W.; Luo, J.; Liang, Y.; Li, X. Echinacoside suppresses pancreatic adenocarcinoma cell growth by inducing apoptosis via the mitogen-activated protein kinase pathway. Mol. Med. Rep. 2016, 13, 2613–2618. [Google Scholar] [CrossRef]
- Wang, Y.H.; Xuan, Z.H.; Tian, S.; Du, G.H. Echinacoside protects against 6- hydroxydopamine-induced mitochondrial dysfunction and inflammatory responses in PC12 cells via reducing ROS production. Evid.-Based Complement. Altern. Med. 2015, 3, 189239. [Google Scholar] [CrossRef] [PubMed]
- Willick, I.R.; Barl, B.; Tanino, K.K. Effect of latitude on narrow-leaved purple coneflower (Echinacea angustifolia DC.) yield and phytochemical quality. Can. J. Plant Sci. 2019, 100, 103–112. [Google Scholar] [CrossRef]
- Wu, Y.; Li, L.; Wen, T.; Li, Y.Q. Protective effects of echinacoside on carbon tetrachloride-induced hepatotoxicity in rats. Toxicology 2007, 232, 50–56. [Google Scholar] [CrossRef]
- Xu, W.; Cheng, Y.; Guo, Y.; Yao, W.; Qian, H. Effects of geographical location and environmental factors on metabolite content and immune activity of Echinacea purpurea in China based on metabolomics analysis. Ind. Crops Prod. 2022, 189, 115782. [Google Scholar] [CrossRef]
- Ye, Y.; Song, Y.; Zhuang, J.; Wang, G.; Ni, J.; Xia, W. Anticancer effects of echinacoside in hepatocellular carcinoma mouse model and HepG2 cells. J. Cell. Physiol. 2019, 234, 1880–1888. [Google Scholar] [CrossRef]
- Yessimbekov, Z.; Dey, T. Chemical Composition and Organoleptic Properties of a Tincture Made from Echinacea and Leuzea. MedBioTech J. 2021, 5, 25–32. [Google Scholar]
- You, S.P.; Ma, L.; Zhao, J.; Zhang, S.L.; Liu, T. Phenylethanol glycosides from cistanche tubulosa suppress hepatic stellate cell activation and block the conduction of signaling pathways in TGF-β1/smad as potential anti-hepatic fibrosis agents. Molecules 2016, 21, 102. [Google Scholar] [CrossRef] [PubMed]
- Yu, T.; He, Y.; Chen, H.; Lu, X.; Ni, H.; Ma, Y.; Zheng, C. Polysaccharide from the Echinacea purpurea plant ameliorates oxidative stress-induced liver injury by promoting Parkin-dependent autophagy. Phytomedicine 2022, 104, 154311. [Google Scholar] [CrossRef]
- Zhao, F.C.; Nilanthi, D.; Yang, Y.S.; Wu, H. Another culture and haploid plant regeneration in purple coneflower (Echinacea purpurea). Plant Cell Tissue Organ Cult. 2006, 86, 55–62. [Google Scholar] [CrossRef]
- Zhao, Q.; Yang, X.; Cai, D.; Ye, L.; Hou, Y.; Zhang, L.; Cheng, J.; Shen, Y.; Wang, K.; Bai, Y. Echinacoside protects against MPP (+) -induced neuronal apoptosis via ROS/ATF3/CHOP pathway regulation. Neurosci. Bull. 2016, 32, 349–362. [Google Scholar] [CrossRef] [PubMed]
- Zheng, Y.; Dixon, M.; Saxena, P. Greenhouse production of Echinacea purpurea (L.) and E. angustifolia using different growing media, NO3−/NH4+ ratios and watering regimes. Can. J. Plant Sci. 2006, 86, 809–815. [Google Scholar] [CrossRef]
- Zhu, L.; Wang, B.; Zhou, J.; Chen, L.; Dai, C.; Duan, C. Protoplast isolation of callus in E. angustifolia. Colloids Surf. B Biointerfaces 2005, 44, 1–5. [Google Scholar] [CrossRef]
- Zhu, M.; Lu, C.; Li, W. Transient exposure to echinacoside is sufficient to activate Trk signaling and protect neuronal cells from rotenone. J. Neurochem. 2013, 124, 571–580. [Google Scholar] [CrossRef]






![]() | E. purpurea | E. angustifolia | E. pallida | E. paradoxa |
| Flower head | ||||
| Caffeic acid derivatives | Caffeic acid derivatives | Caffeic acid derivatives | Alkylamides | |
| Alkylamides | Alkylamides | Alkylamides | Echinacoside | |
| Echinacoside | Echinacoside | |||
| Stem | ||||
| Alkylamides | Alkylamides | Alkylamides | Alkylamides | |
| Chicoric acid | Chicoric acid | Caftaric acid | Caftaric acid | |
| Leaves | ||||
| Chicoric acid | Chicoric acid | Chicoric acid | Alkylamides | |
| Caftaric acid | Caftaric acid | Alkylamides | Echinacoside | |
| Cynarin | Cynarin | |||
| Root | ||||
| Caffeic acid derivatives Cynarin Echinacoside | Caffeic acid derivatives Cynarin | Echinacoside Alkylamides | Echinacoside Alkylamides | |
| Polysaccharides | Molecular Mass (kDa) | Reference |
|---|---|---|
| Inulin-type fructan | 6 | [31] |
| Xyloglucan | 79.5 | [19] |
| Acid rhamnoarabinogalactan | 45 | [20] |
| Acidic arabinogalactan | 70 | [47] |
| Arabinogalactan-protein | 1200 | [30] |
| 4-o-methylglucuronoarabinoxylan | 35 | [7] |
| Heterogeneous polysaccharides | 10–50 | [18] |
| Disease | Dosage/Concentration | Study Models | Key Findings | References |
|---|---|---|---|---|
| Parkinson’s disease | 5 and 20 mg/kg per day for 15 days | Animal model | ECH improves the behavioral and neurochemical outcomes in the MPTP mice model of Parkinson’s disease and inhibits caspase-3 and caspase-8 activation in cerebellar granule neurons | [83] |
| Parkinson’s disease | 5, 10, 20 mg/L | In vitro | In neuronal cells, ECH activates the Trk-extracellular signal-regulated kinase (ERK) pathway, leading to the inhibition of cytochrome c release and caspase-3 activation induced by subsequent rotenone exposure. | [79] |
| Parkinson’s disease | 0.1, 0.5, 1, 5, 10 μM | In vitro | The potential mechanism of ECH in countering 6-OHDA-induced neurotoxicity may involve decreased ROS production, leading to the attenuation of mitochondrial dysfunction and inflammatory response | [39] |
| Parkinson’s disease | 20 mg/kg per day for 15 days 10, 20, 40 μg/mL | Animal model/in vitro | In Parkinson’s disease, the ROS/ATF3/CHOP pathway is highly important in the protective effects of ECH against MPTP-induced apoptosis. | [28] |
| Epilepsy | 5, 10, 50 mg/kg per day | Animal model | In a kainic acid rat model, ECH exerts its antiepileptic and neuroprotective effects by suppressing inflammatory response and activating the Akt/GSK3β signaling | [47] |
| Depressive disorders | 20, 30, 40 mg/kg | Animal model | ECH could provide antidepressant-like effects in mice via the activation of the AMPAR-Akt/ERK-mTOR pathway in the hippocampus | [38] |
| Alzheimer’s disease | 2.5 and 5.0 mg/kg per day for 15 days 32 and 64 μM | Animal model/in vitro | ECH alleviated cognitive dysfunction resulting from Aβ 1–42 by inhibiting amyloid oligomerization, preventing amyloid deposition, and mitigating cortical cholinergic neuronal impairment through the reduction of amyloid neurotoxicity | [90] |
| Spinal cord injury | 20 mg/kg per day for 35 days | Animal model/in vitro | By suppressing the NLRP3 inflammasome-related signaling pathway, ECH has the potential to enhance motor function recovery in rats with a spinal cord injury | [36] |
| Disease | Dosage/Concentration | Study Models | Key Findings | References |
|---|---|---|---|---|
| Colorectal cancer | 20, 40, 80 mg/kg per day | Animal model | ECH exhibits oral antimetastatic efficacy by facilitating butyrate-producing gut bacteria, which downregulates PI3K/AKT signaling and epithelial-mesenchymal transition. | [47] |
| Colorectal cancer | 60, 80, 150 μM | in vitro | ECH triggers cell cycle arrest and apoptosis in SW480 cancer cells by causing oxidative DNA damage. | [45] |
| Breast cancer | 20, 50, 75, 100 μM 10 mg/kg | Animal model/in vitro | Treatment with ECH resulted in a significant decrease in tumor growth, correlating with the inhibition of Wnt/β-catenin signaling | [12] |
| Breast cancer | 30 and 20 mg/mL for 6, 12, 24 h | in vitro | The ethyl acetate extract resulted in cell cycle arrest at the G1 phase and induced apoptosis through caspase activation. | [42] |
| Breast cancer | 5, 10, 20, 40 μg/mL for 1–6 days | in vitro | ECH inhibited cell proliferation, invasion, and migration, and promoted the apoptosis of breast cancer cells by downregulating the expression of miR-4306 and miR-4508. | [44] |
| Liver cancer | 5 mg/kg per day for 4 weeks | Animal model/in vitro | ECH and AMPG exhibited superior effects on hepatocellular carcinoma (HCC) cells compared to free ECH, illustrating its potential for HCC chemotherapy due to the nontoxic nature of AMPG and high drug-loading capacity. | [39] |
| Liver cancer | 20, 50, 100 μg/mL 20 and 50 mg/kg | Animal model/in vitro | The antitumor activity of ECH was observed through the downregulation of TREM2 expression and inhibition of the PI3K/AKT signaling pathway. | [40] |
| Liver cancer | 5, 10, 20 mg/mL | in vitro | ECH promoted the activation of the TGF-β1/Smad signaling pathway and increased the expression levels of Bax/Bcl-2 in liver cancer cells. Moreover, ECH could trigger the release of mitochondrial Cyto C. | [52] |
| Disease | Dosage/Concentration | Study Models | Key Findings | References |
|---|---|---|---|---|
| Chemical-induced liver injury | 10, 30, 60 mg/kg per day | Animal model/in vitro | ECH protects against ethanol-induced liver injuries by alleviating oxidative stress and cell apoptosis via increasing the activity of Nrf2. | [33] |
| Chemical-induced liver injury | 60 mg/kg per day | Animal model | ECH exhibits both anti-apoptotic and anti-inflammatory effects, evident by its notable suppression of hepatocyte apoptosis and a significant reduction in inflammatory markers. | [52] |
| Chemical-induced liver injury | 20 mg/kg per day | Animal model | The hepatoprotective effect of ECH was achieved through the inhibition of inflammatory factor release by the TLR4/NF-κB signaling pathway. | [35] |
| Chemical-induced liver injury | 50 and 100 μM 100 mg/kg per day | Animal model/in vitro | ECH exerts protective effects against ethanol-induced liver injuries by attenuating oxidative stress and hepatic steatosis by modulating the SREBP-1c/FASN pathway via PPAR-α | [56] |
| Chemical-induced liver injury | 50 mg/kg per day | Animal model | ECH administration significantly reduced serum ALT and AST levels, hepatic MDA content, and ROS production. Additionally, it restored hepatic SOD activity and GSH content. | [51] |
| Chemical-induced liver injury | 25 and 100 mg/kg | in vitro | ECH inhibited the elevation of sAST and sALT levels in D-GalN/LPS-treated mice and thus decreased the sensitivity of hepatocytes to TNF-α. | [55] |
| Drug-induced liver injury | 25, 50, 100 mg/kg per day | Animal model | ECH exhibited a substantial protective effect against acetaminophen-induced hepatotoxicity by attenuating oxidative stress, suppressing the expression of proinflammatory cytokines, and reducing cytochrome P450 2E1 protein expression. | [53] |
| Viral hepatitis | 1,10, 25, 50, 100 mg/L | Animal model/in vitro | ECH exhibited strong inhibitory effects on HBV replication and antigen expression. | [54] |
| Hepatic fibrosis | 500, 250, 125 µg/mL | in vitro | ECH blocked the TGF-β1/Smad signaling pathways and inhibited the activation of hepatic stellate cells. | [50] |
| paradox | atrorubens | sanguinea | pallida | angustifolia | tennessensis | leavigata | seciosa | purpurea | |
|---|---|---|---|---|---|---|---|---|---|
| paradox | 0.12% | 0.23% | 0.18% | 0.44% | 0.52% | 0.51% | 0.50% | 0.56% | |
| atrorubens | 181 | 0.20% | 0.18% | 0.48% | 0.55% | 0.55% | 0.55% | 0.60% | |
| sanguinea | 345 | 308 | 0.16% | 0.45% | 0.54% | 0.53% | 0.54% | 0.60% | |
| pallida | 273 | 276 | 247 | 0.41% | 0.50% | 0.50% | 0.50% | 0.55% | |
| angustifolia | 672 | 727 | 685 | 629 | 0.47% | 0.45% | 0.45% | 0.53% | |
| tennessensis | 787 | 837 | 827 | 765 | 711 | 0.29% | 0.20% | 0.31% | |
| leavigata | 772 | 835 | 813 | 764 | 677 | 445 | 0.24% | 0.31% | |
| seciosa | 768 | 830 | 827 | 767 | 689 | 309 | 365 | 0.23% | |
| purpurea | 849 | 910 | 908 | 842 | 811 | 469 | 478 | 350 |
| Genes | Length (bp) | Variable Sites | Indels | Percentage of Identical Sites (%) |
|---|---|---|---|---|
| ccsA→trnL-UAG | 138 | 2 | 3 | 81.9 |
| psbI→trnS-GCU | 144 | 4 | 5 | 86.8 |
| 5 S rRNA→trnRACG | 312 | 0 | 2 | 86.9 |
| atpF→atpA | 72 | 0 | 2 | 88.9 |
| rpl32→ndhF | 904 | 4 | 7 | 88.9 |
| trnT-UGU→trnLUAA | 603 | 5 | 8 | 90.9 |
| petN→psbM | 539 | 3 | 4 | 90.9 |
| rps4→trnT-UGU | 392 | 3 | 3 | 91.6 |
| petD→rpoA | 205 | 3 | 3 | 91.7 |
| ndhI→ndhG | 388 | 3 | 1 | 92.5 |
| trnT-GGU→psbD | 1270 | 11 | 8 | 92.9 |
| ndhD→ccsA | 234 | 2 | 4 | 93.2 |
| trnH-GUG→psbA | 385 | 8 | 4 | 93.2 |
| trnK-UUU→matK | 304 | 1 | 3 | 93.4 |
| psbC→trnS-UGA | 246 | 1 | 3 | 93.6 |
| ndhC→trnV-UAC | 998 | 9 | 7 | 93.9 |
| ycf3→trnS-GCU | 910 | 8 | 4 | 94.0 |
| trnK-UUU→rps16 | 783 | 2 | 5 | 94.1 |
| trnR-UCU→trnGUCC | 221 | 5 | 2 | 94.6 |
| rps8→rpl14 | 203 | 1 | 3 | 94.6 |
| psaA→ycf3 | 747 | 6 | 5 | 94.9 |
| psaI→ycf4 | 396 | 0 | 2 | 94.9 |
| rpoC2→rps2 | 259 | 0 | 2 | 95.0 |
| rbcL→accD | 580 | 3 | 2 | 95.0 |
| rps2→atpI | 233 | 1 | 1 | 95.3 |
| NaCl | Plant Species | Compounds | Plant Organ | Response | Reference |
|---|---|---|---|---|---|
| 50 µM | E. purpurea | Total phenols, total flavonoids | Leaf | + | [98] |
| 100 mM (+Si) | E. purpurea | Chlorogenic acid, caftaric acid, total phenols | Root | + | [68] |
| 30 mM | E. purpurea | Echinacoside, caffeic acid, chicoric acid, chlorogenic acid, cynarine | Root | + | [3] |
| 30 mM | E. purpurea | Total phenols, total flavonoids, antioxidant activity | Root | + | [92] |
| 50 mM | E. angustifolia | Chicoric acid, chlorogenic acid | Root | + | [90] |
| 50 µM | E. angustifolia | Echinacoside | Root | − | [99] |
| 50 mM | E. purpurea | Total flavonoids | Root | + | [15] |
| 75 mM | E. purpurea | Caftaric acid, cynarine | Root | + | [95] |
| 75 mM | E. pallida | Caftaric acid, echinacoside | Root | + | [95] |
| 75 mM | E. angustifolia | Chicoric acid | Root | + | [95] |
| 75 mM | E. angustifolia | Alkamides | Root | − | [95] |
| 100 mM | E. purpurea | Caftaric acid | Leaf | − | [19] |
| 50 mM | E. purpurea | Total flavonoids | Leaf | − | [15] |
| 60 mM | E. purpurea | Total phenols, total flavonoids, antioxidant activity | Leaf | + | [23] |
| 12 dS m−1 | E. purpurea | Total phenols, polysaccharides | Leaf | + | [91] |
| 150 mM | E. purpurea | Antioxidant activity, soluble sugars | Root | − | [93] |
| 6 dS m−1 | E. purpurea | Germination rate | Seed | − | [75] |
| 50 mM | E. angustifolia | Morphological properties | Root | − | [90] |
| 60 mM | E. purpurea | Chicoric acid, echinacoside, caftaric acid | Root | − | [3,16] |
Disclaimer/Publisher’s Note: The statements, opinions and data contained in all publications are solely those of the individual author(s) and contributor(s) and not of MDPI and/or the editor(s). MDPI and/or the editor(s) disclaim responsibility for any injury to people or property resulting from any ideas, methods, instructions or products referred to in the content. |
© 2024 by the authors. Licensee MDPI, Basel, Switzerland. This article is an open access article distributed under the terms and conditions of the Creative Commons Attribution (CC BY) license (https://creativecommons.org/licenses/by/4.0/).
Share and Cite
Ahmadi, F.; Kariman, K.; Mousavi, M.; Rengel, Z. Echinacea: Bioactive Compounds and Agronomy. Plants 2024, 13, 1235. https://doi.org/10.3390/plants13091235
Ahmadi F, Kariman K, Mousavi M, Rengel Z. Echinacea: Bioactive Compounds and Agronomy. Plants. 2024; 13(9):1235. https://doi.org/10.3390/plants13091235
Chicago/Turabian StyleAhmadi, Fatemeh, Khalil Kariman, Milad Mousavi, and Zed Rengel. 2024. "Echinacea: Bioactive Compounds and Agronomy" Plants 13, no. 9: 1235. https://doi.org/10.3390/plants13091235
APA StyleAhmadi, F., Kariman, K., Mousavi, M., & Rengel, Z. (2024). Echinacea: Bioactive Compounds and Agronomy. Plants, 13(9), 1235. https://doi.org/10.3390/plants13091235


