A Cluster of Peronospora parasitica 13-like (NBS-LRR) Genes Is Associated with Powdery Mildew (Erysiphe polygoni) Resistance in Mungbean (Vigna radiata)
Abstract
1. Introduction
2. Results
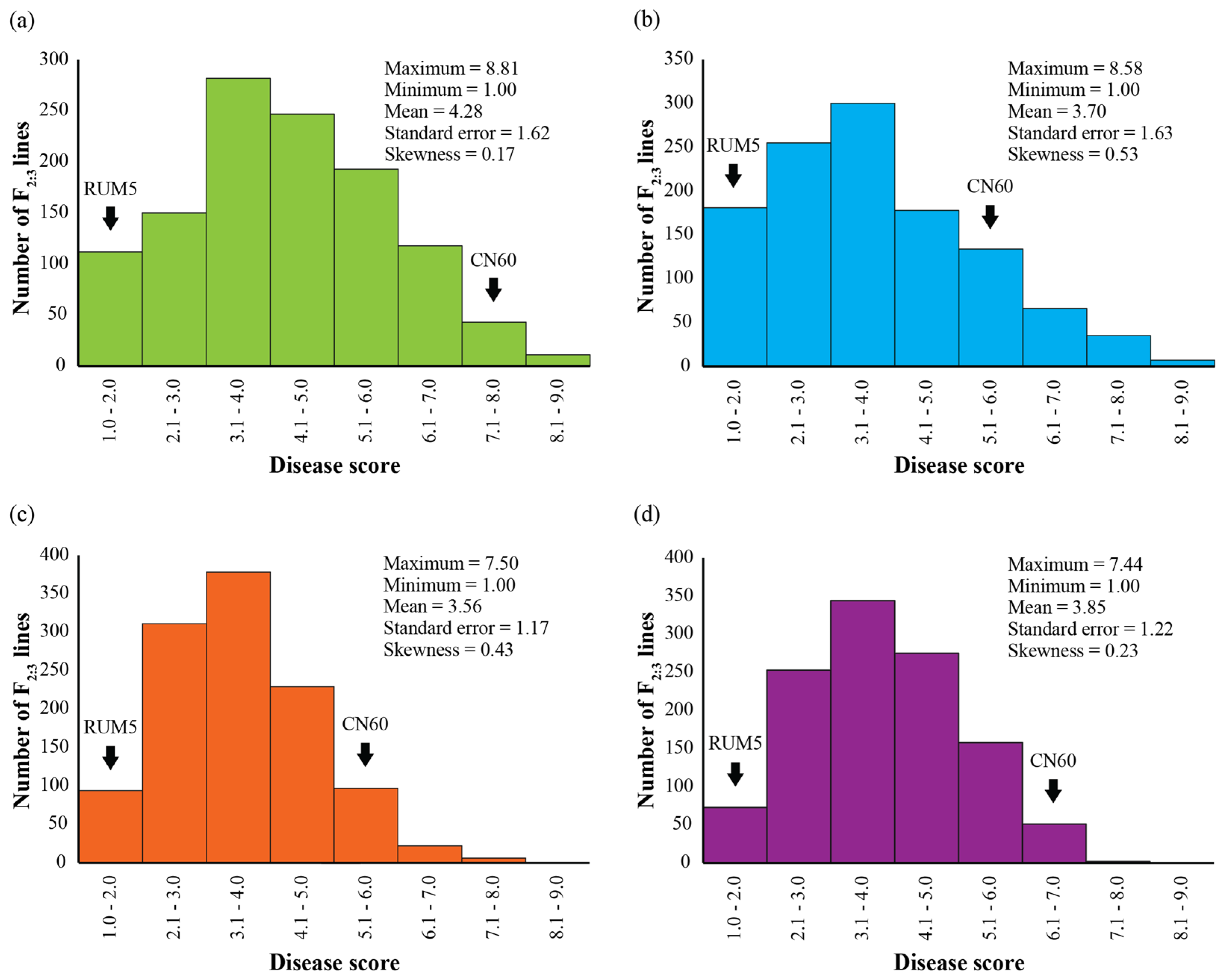
2.1. PM Disease Reaction in the F2 Population
2.2. Physical Location of the qPMRUM5-2 and Development of Novel DNA Markers for Fine Mapping
2.3. Fine Mapping of qPMRUM5-2
2.4. Identification and Analysis of Candidate Genes for the qPMRUM5-2
3. Discussion
4. Materials and Methods
4.1. Plant Materials and DNA Extraction
4.2. Evaluation for Powdery Mildew Disease
4.3. Determination of the Physical Position of qPMRUM5-2 and Development of Novel DNA Markers for Fine Mapping
4.4. Linkage and QTL Analyses
4.5. Candidate Genes Analysis
Supplementary Materials
Author Contributions
Funding
Data Availability Statement
Acknowledgments
Conflicts of Interest
References
- Nair, R.; Schreinemachers, P. Global status and economic importance of mungbean. In The Mungbean Genome; Nair, R.M., Schafleitner, R., Lee, S.H., Eds.; Springer International Publishing AG: Cham, Switzerland, 2020; pp. 1–8. [Google Scholar] [CrossRef]
- Hartman, G.L.; Wang, T.C.; Kim, D. Field evaluation of mungbeans for resistance to Cercospora leaf spot and powdery mildew. Int. J. Pest. Manag. 1993, 39, 418–421. [Google Scholar] [CrossRef]
- Yundaeng, C.; Somta, P.; Chen, J.; Yuan, X.; Chankaew, S.; Srinives, P.; Chen, X. Candidate gene mapping reveals VrMLO12 (MLO Clade II) is associated with powdery mildew resistance in mungbean [Vigna radiata (L.) Wilczek]. Plant Sci. 2020, 298, 110594. [Google Scholar] [CrossRef] [PubMed]
- Reddy, K.S.; Pawar, S.E.; Bhatia, C.R. Inheritance of powdery mildew (Erysiphe polygoni DC.) resistance in mungbean (Vigna radiata (L.) Wilczek). Theor. Appl. Genet. 1994, 88, 945–948. [Google Scholar] [CrossRef] [PubMed]
- Reddy, K.S. Identification by genetic analysis of two races of Erysiphe polygoni DC. causing powdery mildew disease in mungbean. Plant Breed. 2007, 126, 603–606. [Google Scholar] [CrossRef]
- AVRDC. Progress Report 1990; AVRDC: Tainan, Taiwan, 1991; ISSN 0258-3089. [Google Scholar]
- Chankaew, S.; Somta, P.; Isemura, T.; Tomooka, N.; Kaga, A.; Vaughan, D.A.; Srinives, P. Quantitative trait locus mapping reveals conservation of major and minor loci for powdery mildew resistance in four sources of resistance in mungbean [Vigna radiata (L.) Wilczek]. Mol. Breed. 2013, 32, 121–130. [Google Scholar] [CrossRef]
- Kasettranan, W.; Somta, P.; Srinives, P. Mapping of quantitative trait loci controlling powdery mildew resistance in mungbean [Vigna radiata (L.) Wilczek]. J. Crop Sci. Biotechnol. 2010, 13, 155–161. [Google Scholar] [CrossRef]
- Young, N.D.; Danesh, D.; Menancio-Hautea, D.; Kumar, L. Mapping oligogenic resistance to powdery in mungbean with RFLPs. Theor. Appl. Genet. 1993, 87, 243–249. [Google Scholar] [CrossRef]
- Yan, Q.; Wang, Q.; Xuzhen, C.; Wang, L.; Somta, P.; Xue, C.; Chen, J.; Wu, R.; Lin, Y.; Yuan, X.; et al. High-quality genome assembly, annotation and evolutionary analysis of the mungbean (Vigna radiata) genome. Authorea 2020. [Google Scholar] [CrossRef]
- Bittner-Eddy, P.D.; Crute, I.R.; Holub, E.B.; Beynon, J.L. RPP13 is a simple locus in Arabidopsis thaliana for alleles that specify downy mildew resistance to different avirulence determinants in Peronospora parasitica. Plant J. 2000, 21, 177–188. [Google Scholar] [CrossRef]
- Li, H.; Dong, Z.; Ma, C.; Tian, X.; Xiang, Z.; Xia, Q.; Ma, P.; Liu, W. Discovery of powdery mildew resistance gene candidates from Aegilops biuncialis chromosome 2Mb based on transcriptome sequencing. PLoS ONE 2019, 14, e0220089. [Google Scholar] [CrossRef]
- Cheng, J.; Fan, H.; Li, L.; Hu, B.; Liu, H.; Liu, Z. Genome-wide identification and expression analyses of RPP13-like genes in barley. BioChip J. 2018, 12, 102–113. [Google Scholar] [CrossRef]
- Liu, X.; Zhang, C.; Zhang, L.; Huang, J.; Dang, C.; Xie, C.; Wang, Z. TaRPP13-3, a CC-NBS-LRR-like gene located on chr 7D, promotes disease resistance to wheat powdery mildew in Brock. J. Phytopathol. 2020, 168, 688–699. [Google Scholar] [CrossRef]
- Frey, L.A.; Vleugels, T.; Ruttink, T.; Schubiger, F.X.; Pégard, M.; Skøt, L.; Grieder, C.; Studer, B.; Roldán-Ruiz, I.; Kölliker, R. Phenotypic variation and quantitative trait loci for resistance to southern anthracnose and clover rot in red clover. Theor. Appl. Genet. 2022, 135, 4337–4349. [Google Scholar] [CrossRef] [PubMed]
- Binagwa, P.H.; Traore, S.M.; Egnin, M.; Bernard, G.C.; Ritte, I.; Mortley, D.; Kamfwa, K.; He, G.; Bonsi, C. Genome-wide identification of powdery mildew resistance in common bean (Phaseolus vulgaris L.). Front. Genet. 2021, 12, 673069. [Google Scholar] [CrossRef]
- Bent, A.F.; Mackey, D. Elicitors, effectors, and R genes: The new paradigm and a lifetime supply of questions. Annu. Rev. Phytopathol. 2007, 45, 399–436. [Google Scholar] [CrossRef]
- Leister, D. Tandem and segmental gene duplication and recombination in the evolution of plant disease resistance gene. Trends Genet. 2004, 20, 116–122. [Google Scholar] [CrossRef]
- Pavan, S.; Jacobsen, E.; Visser, R.G.F.; Bai, Y. Loss of susceptibility as a novel breeding strategy for durable and broad-spectrum resistance. Mol. Breed. 2010, 25, 1–12. [Google Scholar] [CrossRef]
- Lodhi, M.A.; Ye, G.N.; Weeden, N.F.; Reisch, B.I. A simple and efficient method for DNA extraction from grapevine cultivars and Vitis species. Plant Mol. Biol. Rep. 1994, 12, 6–13. [Google Scholar] [CrossRef]
- Federer, W.T.; Raghavarao, D. On augmented designs. Biometrics 1975, 31, 29–35. [Google Scholar] [CrossRef]
- Temnykh, S.; DeClerck, G.; Lukashova, A.; Lipovich, L.; Cartinhou, S.; McCouch, S. Computational and experimental analysis of microsatellites in rice (Oryza sativa L.): Frequency, length variation, transposon associations, and genetic marker potential. Genome Res. 2001, 11, 1441–1452. [Google Scholar] [CrossRef]
- Untergasser, A.; Cutcutache, I.; Koressaar, T.; Ye, J.; Faircloth, B.C.; Remm, M.; Rozen, S.G. Primer3—New capabilities and interfaces. Nucleic Acids Res. 2012, 40, e115. [Google Scholar] [CrossRef]
- Meng, L.; Li, H.; Zhang, L.; Wang, J. QTL IciMapping: Integrated software for genetic linkage map construction and quantitative trait locus mapping in biparental populations. Crop J. 2015, 3, 269–283. [Google Scholar] [CrossRef]
- Van Os, H.; Stam, P.; Visser, R.G.F.; Van Eck, H.J. RECORD: A novel method for ordering loci on a genetic linkage map. Theor. Appl. Genet. 2005, 112, 30–40. [Google Scholar] [CrossRef]
- Kosambi, D.D. The estimation of map distances from recombination values. Ann. Eugen. 1944, 12, 172–175. [Google Scholar] [CrossRef]
- Li, H.; Ye, G.; Wang, J. A modified algorithm for the improvement of composite interval mapping. Genetics 2007, 175, 361–374. [Google Scholar] [CrossRef]
- Arai-Kichise, Y.; Shiwa, Y.; Nagasaki, H.; Ebana, K.; Yoshikawa, H.; Yano, M.; Wakasa, K. Discovery of genome-wide DNA polymorphisms in a landrace cultivar of Japonica rice by whole-genome sequencing. Plant Cell Physiol. 2011, 52, 274–282. [Google Scholar] [CrossRef]
- Li, H.; Handsaker, B.; Wysoker, A.; Fennell, T.; Ruan, J.; Homer, N.; Marth, G.; Abecasis, G.; Durbin, R. The Sequence Alignment/Map format and SAMtools. Bioinformatics 2009, 25, 2078–2079. [Google Scholar] [CrossRef]
- McKenna, A.; Hanna, M.; Banks, E.; Sivachenko, A.; Cibulskis, K.; Kernytsky, A.; Garimella, K.; Altshuler, D.; Gabriel, S.; Daly, M.; et al. The Genome Analysis Toolkit: A MapReduce framework for analyzing next-generation DNA sequencing data. Genome Res. 2010, 20, 1297–1303. [Google Scholar] [CrossRef]



| Location | Year | Position (cM) | Flanking Marker | LOD Score | PVE a | Add b | Dom c |
|---|---|---|---|---|---|---|---|
| Chai Nat | 2019 | 1.6 | VrLG6-InDel10—VrLG6-InDel05 | 87.71 | 29.61 | 1.27 | 0.10 |
| Phetchabun | 2020 | 1.6 | VrLG6-InDel10—VrLG6-InDel05 | 65.52 | 22.79 | 1.11 | 0.00 |
| Nakhon Pathom | 2020 | 1.6 | VrLG6-InDel10—VrLG6-InDel05 | 34.20 | 13.22 | 0.60 | 0.15 |
| Combined | 1.6 | VrLG6-InDel10—VrLG6-InDel05 | 98.53 | 32.40 | 1.00 | 0.00 |
| Gene | Region | Number of SNPs | Types of Mutation |
|---|---|---|---|
| EVM0008427 | upstream | 5 | - |
| (VrRPP13L3) | exonic | 229 | nonsynonymous SNP (158) and synonymous SNP (71) |
| 3′UTR | 9 | - | |
| intergenic | 71 | - | |
| EVM0028537 | upstream | 4 | - |
| (VrRPP13L4) | exonic | 51 | nonsynonymous SNP (31), synonymous SNP (18) and stop-gain SNP (2) |
| intronic | 39 | ||
| EVM0032804 | upstream | 1 | - |
| (VrRPP13L5) | 5′UTR | 3 | - |
| exonic | 77 | nonsynonymous SNP (52), synonymous SNP (22), and stop-gain SNP (3) | |
| intergenic | 53 | - | |
| EVM0016936 | upstream | 20 | - |
| (VrRPP13L6) | exonic | 35 | nonsynonymous SNP (21), synonymous SNP (11), and stop-gain SNP (3) |
| downstream | 21 | - | |
| intergenic | 22 | - | |
| EVM0018688 | upstream | 49 | - |
| (VrRPP13L7) | 5′UTR | 1 | - |
| exonic | 25 | nonsynonymous SNP (16) and synonymous SNP (9) | |
| 3′UTR | 3 | - | |
| downstream | 21 | - | |
| intergenic | 75 | - | |
| EVM0000318 (VrRPP13L1) | intergenic | 9 | - |
| EVM0031008 (VrRPP13L2) | exonic | 151 | nonsynonymous SNP (102), synonymous SNP (46), and splicing-relevant SNP (3) |
| intronic | 75 | - | |
| downstream | 23 | - |
| Gene | Region | Number of InDels | Types of Mutation |
|---|---|---|---|
| EVM0008427 | exonic | 8 | nonframeshift InDel (2), frameshift InDel (5) and stop-gain InDel (1) |
| (VrRPP13L3) | intronic | 1 | - |
| 3′UTR | 1 | - | |
| EVM0032804 | exonic | 1 | frameshift InDel |
| (VrRPP13L5) | intergenic | 5 | - |
| EVM0016936 | upstream | 2 | - |
| (VrRPP13L6) | exonic | 1 | frameshift InDel |
| downstream | 2 | - | |
| intergenic | 4 | - | |
| EVM0018688 | upstream | 10 | - |
| (VrRPP13L7) | downstream | 5 | - |
| intergenic | 8 | - | |
| EVM0031008 | exonic | 4 | nonframeshift InDel (2), frameshift InDel (1) and stop-gain InDel (1) |
| (VrRPP13L2) | intronic | 7 | - |
| downstream | 2 | - |
Disclaimer/Publisher’s Note: The statements, opinions and data contained in all publications are solely those of the individual author(s) and contributor(s) and not of MDPI and/or the editor(s). MDPI and/or the editor(s) disclaim responsibility for any injury to people or property resulting from any ideas, methods, instructions or products referred to in the content. |
© 2024 by the authors. Licensee MDPI, Basel, Switzerland. This article is an open access article distributed under the terms and conditions of the Creative Commons Attribution (CC BY) license (https://creativecommons.org/licenses/by/4.0/).
Share and Cite
Waengwan, P.; Laosatit, K.; Lin, Y.; Yimram, T.; Yuan, X.; Chen, X.; Somta, P. A Cluster of Peronospora parasitica 13-like (NBS-LRR) Genes Is Associated with Powdery Mildew (Erysiphe polygoni) Resistance in Mungbean (Vigna radiata). Plants 2024, 13, 1230. https://doi.org/10.3390/plants13091230
Waengwan P, Laosatit K, Lin Y, Yimram T, Yuan X, Chen X, Somta P. A Cluster of Peronospora parasitica 13-like (NBS-LRR) Genes Is Associated with Powdery Mildew (Erysiphe polygoni) Resistance in Mungbean (Vigna radiata). Plants. 2024; 13(9):1230. https://doi.org/10.3390/plants13091230
Chicago/Turabian StyleWaengwan, Pitsanupong, Kularb Laosatit, Yun Lin, Tarika Yimram, Xingxing Yuan, Xin Chen, and Prakit Somta. 2024. "A Cluster of Peronospora parasitica 13-like (NBS-LRR) Genes Is Associated with Powdery Mildew (Erysiphe polygoni) Resistance in Mungbean (Vigna radiata)" Plants 13, no. 9: 1230. https://doi.org/10.3390/plants13091230
APA StyleWaengwan, P., Laosatit, K., Lin, Y., Yimram, T., Yuan, X., Chen, X., & Somta, P. (2024). A Cluster of Peronospora parasitica 13-like (NBS-LRR) Genes Is Associated with Powdery Mildew (Erysiphe polygoni) Resistance in Mungbean (Vigna radiata). Plants, 13(9), 1230. https://doi.org/10.3390/plants13091230

