Evaluation of the Productivity and Potential Utilization of Artemisia dubia Plant Biomass for Energy Conversion
Abstract
1. Introduction
2. Results and Discussion
2.1. A. dubia Productivity and Characteristics of Samples
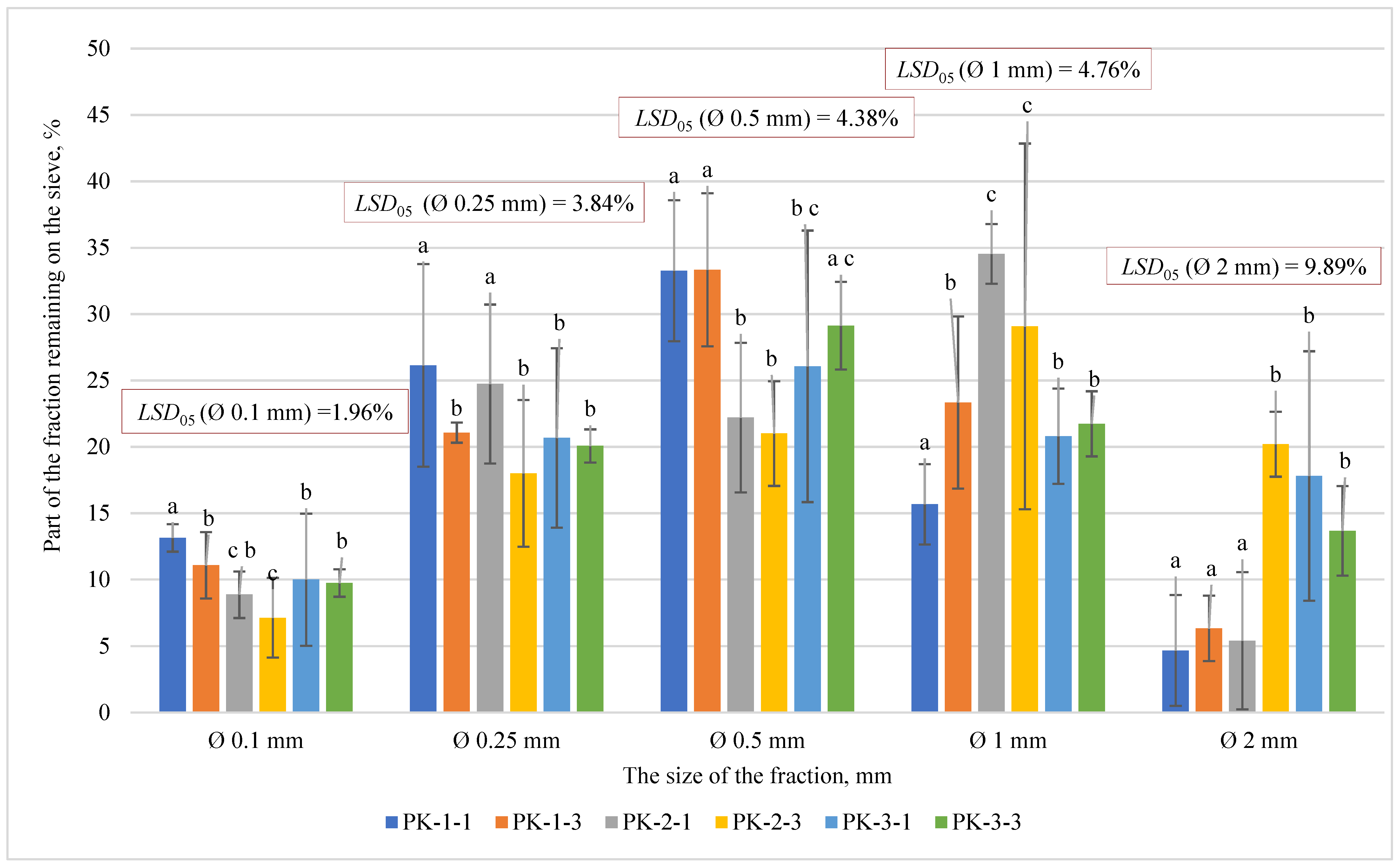
2.2. Determination of Produced Mill Properties
2.3. Determination of Pressed Biofuel Pellet Properties
2.3.1. Pellet Biometric Properties
2.3.2. Pellet Moisture Content, Density, Ash Content, and Heating Value




2.3.3. Evaluation of A. dubia Pellet Strength and Resistance to Compression


2.3.4. Pellet Elemental Composition and Ash Melting Temperatures

2.3.5. Determination of Harmful Emissions from the Combustion of Produced Pellets

3. Materials and Methods
3.1. A. dubia Plant Growth in the Fields
3.2. Fractional Composition of Milled Biomass
3.3. Flour Pressing and Pellet Production
3.4. The Biometric Indicators of the Produced Pellets
3.5. Pellet Moisture Content and Density
3.6. Tests on the Mechanical Strength (Compression Resistance) of the Pellets
3.7. Pellet Thermal Properties, Heating Values, and Ash Content
3.8. Characteristics of Ash Melting Temperatures
- Initial point of deformation (IT), when the sharp peak is rounded;
- Softening temperature (ST), when the ash cone deforms and its height decreases to the size of its diameter;
- Hemisphere temperature (HT), when the sample assumes a hemispherical shape;
- Melting point (FT), at which the ash melts and liquefies.
3.9. Emissions of Released Harmful Gases into the Environment
4. Conclusions
Author Contributions
Funding
Data Availability Statement
Conflicts of Interest
References
- European Commission COM. Green Paper: A 2030 Framework for Climate and Energy Policies. Brussels 2013. Available online: https://eur-lex.europa.eu/LexUriServ/LexUriServ.do?uri=COM:2013:0169:FIN:en:PDF (accessed on 20 January 2024).
- De Laporte, A.V.; Weersink, A.J.; McKenney, D.W. Effects of supply chain structure and biomass prices on bioenergy feedstock supply. Appl. Energy 2016, 183, 1053–1064. [Google Scholar] [CrossRef]
- Alvarez-Alvarez, P.; Pizarro, C.; Barrio-Anta, M.; Camara-Obregon, A.; Bueno, J.M.L.; Alvarez, A.; Gutierrez, I.; Burslem, D.F. Evaluation of tree species for biomass energy production in northwest Spain. Forests 2018, 9, 160. [Google Scholar] [CrossRef]
- Cui, X.; Yang, J.; Wang, Z.; Shi, X. Better use of bioenergy: A critical review of co-pelletizing for biofuel manufacturing. Carbon Capture Sci. Technol. 2021, 1, 100005. [Google Scholar] [CrossRef]
- Jasinskas, A.; Minajeva, A.; Šarauskis, E.; Romaneckas, K.; Kimbirauskienė, R.; Pedišius, N. Recycling and utilisation of faba bean harvesting and threshing waste for bioenergy. Renew. Energy 2020, 162, 257–266. [Google Scholar] [CrossRef]
- Barmina, I.; Lickrastina, A.; Zake, M.; Arshanitsa, A.; Solodovnik, V.; Telisheva, G. Effect of main characteristics of pelletized renewable energy resources on combustion characteristics and heat energy production. Chem. Eng. 2012, 29, 901–906. [Google Scholar] [CrossRef]
- Hui, Y. Comparison of Woody Pellets, Straw Pellets, and Delayed Harvest System Herbaceous Biomass (Switchgrass and Miscanthus): Analysis of Current Combustion Techniques Determining the Value of Biomass. 2011. Available online: http://edepot.wur.nl/192415 (accessed on 18 January 2024).
- Ciesielczuk, T.; Poluszyńska, J.; Rosik-Dulewska, C.; Sporek, M.; Lenkiewicz, M. Uses of weeds as an economical alternative to processed wood biomass and fossil fuels. Ecol. Eng. 2016, 95, 485–491. [Google Scholar] [CrossRef]
- Stolarski, M.J.; Warmiński, K.; Krzyżaniak, M.; Olba–Zięty, E. Cascaded use of perennial industrial crop biomass: The effect of biomass type and pretreatment method on pellet properties. Ind. Crops Prod. 2022, 185, 115104. [Google Scholar] [CrossRef]
- Černiauskienė, Ž.; Raila, A.J.; Zvicevičius, E.; Kadžiulienė, Ž.; Tilvikienė, V. Analysis of Artemisia dubia Wall. growth, preparation for biofuel and thermal conversion properties. Renew. Energy 2018, 118, 468–476. [Google Scholar] [CrossRef]
- Černiauskienė, Ž.; Raila, A.J.; Zvicevičius, E.; Tilvikienė, V.; Jankauskienė, Z. Comparative Research of Thermochemical Conversion Properties of Coarse-Energy Crops. Energies 2021, 14, 6380. [Google Scholar] [CrossRef]
- Tilvikiene, V.; Kadžiulienė, Z.; Liaudanskienė, I.; Zvicevičius, E.; Černiauskienė, Z.; Čipliene, A.; Raila, A.J.; Baltrušaitis, J. The quality and energy potential of introduced energy crops in northern part of temperate climate zone. Renew. Energy 2020, 151, 887–895. [Google Scholar] [CrossRef]
- Rancane, S.; Makovskis, K.; Lazdina, D.; Daugaviete, M.; Gutmane, I.; Berzins, P. Analysis of economical, social and environmental aspects of agroforestry systems of trees and perennial herbaceous plants. Agron. Res. 2014, 12, 589–602. [Google Scholar]
- San Miguel, G.; Sánchez, F.; Pérez, A.; Velasco, L. One-step torrefaction and densification of woody and herbaceous biomass feedstocks. Renew. Energy 2022, 195, 825–840. [Google Scholar] [CrossRef]
- Neacsu, A.; Gheorghe, D. Characterization of biomass renewable energy resources from some perennial species. Rev. Roum. Chim. 2021, 66, 321–329. [Google Scholar] [CrossRef]
- Yılmaz, H.; Çanakcı, M.; Topakcı, M.; Karayel, D.; Yiğit, M.; Ortaçeşme, D. In-Situ pelletization of campus biomass residues: Case study for Akdeniz University. Renew. Energy 2023, 212, 972–983. [Google Scholar] [CrossRef]
- Forbes, E.G.A.; Easson, D.L.; Lyons, G.A.; McRoberts, W.C. Physico-chemical characteristics of eight different biomass fuels and comparison of combustion and emission results in a small scale multi-fuel boiler. Energy Convers. Manag. 2014, 87, 1162–1169. [Google Scholar] [CrossRef]
- Jablonowski, N.D.; Kollmann, T.; Meiller, M.; Dohrn, M.; Müller, M.; Nabel, M.; Schrey, S.D. Full assessment of Sida (Sida hermaphrodita) biomass as a solid fuel. GCB Bioenergy 2020, 12, 618–635. [Google Scholar] [CrossRef]
- Mallik, B.B.D.; Acharya, B.D.; Saquib, M.; Chettri, M.K. Allelopathic effect of Artemisia dubia extracts on seed germination and seedling growth of some weeds and winter crops. Ecoprint Int. J. Ecol. 2014, 21, 23–30. [Google Scholar] [CrossRef]
- Ashraf, M.; Hayat, M.Q.; Mumtaz, A.S. A study on elemental contents of medicinally important species of Artemisia L. (Asteraceae) found in Pakistan. J. Med. Plants Res. 2010, 4, 2256–2263. [Google Scholar] [CrossRef]
- Kryževičienė, A.; Šarūnaitė, L.; Stukonis, V.; Dabkevičius, Z.; Kadžiulienė, Ž. Assessment of perennial mugwort (Artemisia vulgaris L. and Artemisia dubia Wall.) potential for biofuel production. Agric. Sci. 2010, 17, 32–40. [Google Scholar]
- Tilvikiene, V.; Kadziuliene, Z.; Raila, A.; Zvicevicius, E.; Liaudanskiene, I.; Volkaviciute, Z.; Pociene, L. Artemisia dubia Wall.—A Novel Energy Crop for Temperate Climate Zone in Europe. In Proceedings of the 23rd European Biomass Conference and Exhibition, Vienna, Austria, 1–4 June 2015. [Google Scholar]
- Kadžiulienė, Ž.; Tilvikienė, V.; Liaudanskienė, I.; Pocienė, L.; Černiauskienė, Ž.; Zvicevicius, E.; Raila, A. Artemisia dubia growth, yield and biomass characteristics for combustion. Zemdirb. Agric. 2017, 104, 99–106. [Google Scholar] [CrossRef][Green Version]
- Šiaudinis, G.; Jasinskas, A.; Karčauskienė, D.; Skuodienė, R.; Repšienė, R. The impact of nitrogen on the yield formation of Artemisia dubia Wall.: Efficiency and assessment of energy parameters. Plants 2023, 12, 2441. [Google Scholar] [CrossRef] [PubMed]
- Jasinskas, A.; Streikus, D.; Vonžodas, T. Fibrous hemp (Felina 32, USO 31, Finola) and fibrous nettle processing and usage of pressed biofuel for energy purposes. Renew. Energy 2020, 149, 11–21. [Google Scholar] [CrossRef]
- Ungureanu, N.; Vladut, V.; Voicu, G.; Dinca, M.N.; Zabava, B.S. Influence of biomass moisture content on pellet properties—Review. Eng. Rural Dev. 2018, 17, 1876–1883. [Google Scholar]
- Greinert, A.; Mrówczyńska, M.; Grech, R.; Szefner, W. The Use of Plant Biomass Pellets for Energy Production by Combustion in Dedicated Furnaces. Energies 2020, 13, 463. [Google Scholar] [CrossRef]
- Maj, G.; Krzaczek, P.; Gołębiowski, W.; Słowik, T.; Szyszlak-Bargłowicz, J.; Zając, G. Energy Consumption and Quality of Pellets Made of Waste from Corn Grain Drying Process. Sustainability 2022, 14, 8129. [Google Scholar] [CrossRef]
- Tumuluru, J.S. Effect of pellet die diameter on density and durability of pellets made from high moisture woody and herbaceous biomass. Carbon Resour. Convers. 2018, 1, 44–54. [Google Scholar] [CrossRef]
- Ozturk, H.H.; Ayhan, B.; Turgut, K. An assessment of the energetic properties of fuel pellets made by agricultural wastes. Sci. Papers. Ser. E-Land Reclam. Earth Obs. Surv. Environ. Eng. 2019, 8, 9–16. [Google Scholar]
- ISO 17225-6; Solid Biofuels—Fuel Specifications and Classes—Part 6: Graded Non-Woody Pellets. Department of Standardization: Vilnius, Lithuania, 2021.
- Rajput, S.P.; Jadhav, S.V.; Thorat, B.N. Methods to improve properties of fuel pellets obtained from different biomass sources: Effect of biomass blends and binders. Fuel Process. Technol. 2020, 199, 106255. [Google Scholar] [CrossRef]
- Matin, B.; Leto, J.; Antonović, A.; Brandić, I.; Jurišić, V.; Matin, A.; Krička, T.; Grubor, M.; Kontek, M.; Bilandžija, N. Energetic Properties and Biomass Productivity of Switchgrass (Panicum virgatum L.) under Agroecological Conditions in Northwestern Croatia. Agronomy 2023, 13, 1161. [Google Scholar] [CrossRef]
- Zeng, T.; Mlonka-Mędrala, A.; Lenz, V.; Nelles, M. Evaluation of bottom ash slagging risk during combustion of herbaceous and woody biomass fuels in a small-scale boiler by principal component analysis. Biomass Convers. Biorefinery 2019, 11, 1211–1229. [Google Scholar] [CrossRef]
- World Reference Base (WRB) for Soil Resources, World Soil Resources Reports No. 106; FAO: Rome, Italy, 2014; pp. 187–189. Available online: https://www.fao.org/3/i3794en/I3794en.pdf (accessed on 16 January 2024).
- Minajeva, A.; Jasinskas, A.; Domeika, R.; Vaiciukevičius, E.; Lemanas, E.; Bielski, S. The Study of the faba bean waste and potato peels recycling for pellet production and usage for energy conversion. Energies 2021, 14, 2954. [Google Scholar] [CrossRef]
- ISO 17829; Solid Biofuels. Determination of Length and Diameter of Pellets. ISO: Geneva, Switzerland, 2015.
- ISO 18134; Solid Biofuels—Determination of Moisture Content. ISO: Geneva, Switzerland, 2017.
- Streikus, D. Assessment of Technologies for Processing and Usage of Coarse-Stem and Fibrous Plants for Energy Purposes. Ph.D. Thesis, Vytauto Didžiojo Universitetas, Kaunas, Lithuania, 2020. [Google Scholar]
- LST CEN/TS 15370-1; Solid Biofuels—Methods for the Determination of Ash Melting Temperatures—Part 1. CEN/TS, Department of Standardization: Vilnius, Lithuania, 2007.
- Vareas, V.; Kask, U.; Muiste, P.; Pihu, T.; Soosaar, S. Biofuel User Manual; Zara: Vilnius, Lithuania, 2007; 168p, Available online: https://www.ena.lt/uploads/PDF-AEI/Leidiniai-LT/4-Biokuro-zinynas.pdf (accessed on 16 January 2024). (In Lithuanian)
- LAND 43-2013; Norms for Combustion Plants Emissions. Department of Standardization: Vilnius, Lithuania, 2013.
- Raudonius, S. Application of statistics in plant and crop research: Important issues. Zemdirbyste 2017, 104, 377–382. [Google Scholar] [CrossRef]




| Parameter | PK-1-1 | PK-1-3 | PK-2-1 | PK-2-3 | PK-3-1 | PK-3-3 | Pine Sawdust (PS) |
|---|---|---|---|---|---|---|---|
| A. dubia pellet elemental composition, % | |||||||
| C, % | 48.67 ± 0.20 | 47.34 ± 0.12 | 48.33 ± 0.09 | 47.52 ± 0.10 | 48.73 ± 0.11 | 49.36 ± 0.01 | 49.87 ± 0.11 |
| N, % | 1.22 ± 0.09 | 1.41 ± 0.13 | 1.00 ± 0.03 | 1.51 ± 0.01 | 0.68 ± 0.02 | 0.90 ± 0.01 | 0.47 ± 0.01 |
| H, % | 5.51 ± 0.01 | 5.79 ± 0.06 | 5.76 ± 0.09 | 5.75 ± 0.02 | 5.76 ± 0.02 | 5.73 ± 0.05 | 5.94 ± 0.03 |
| S, % | 0.07 ± 4.91 | 0.07 ± 8.77 | 0.06 ± 2.78 | 0.06 ± 11.49 | 0.05 ± 2.34 | 0.06 ± 5.49 | 0.06 ± 2.28 |
| O, % | 37.8 | 39.6 | 39.4 | 38.4 | 39.9 | 40.0 | 40.1 |
| Cl, % | 0.37 ± 9.81 | 0.30 ± 5.86 | 0.20 ± 10.04 | 0.25 ± 8.77 | 0.37 ± 9.81 | 0.38 ± 8.77 | 0.07 ± 1.31 |
| A. dubia pellet ash melting temperatures, °C | |||||||
| ST, °C | 599 ± 1.56 | 672 ± 0.42 | 687 ± 0.62 | 720 ± 0.79 | 783 ± 0.54 | 763 ± 0.93 | 1111 ± 0.38 |
| DT, °C | 698 ± 0.81 | 728 ± 0.78 | 746 ± 0.76 | 751 ± 0.19 | 1352 ± 0.63 | 783 ± 0.90 | 1168 ± 0.48 |
| HT, °C | 836 ± 0.32 | 760 ± 0.37 | 1512 ± 0.19 | 1490 ± 0.19 | 1442 ± 0.39 | 1496 ± 0.87 | 1191 ± 0.59 |
| FT, °C | 1211 ± 0.58 | 1440 ± 0.39 | 1519 ± 0.28 | 1510 ± 0.37 | 1447 ± 0.29 | 1500 ± 0.19 | 1204 ± 0.47 |
| Independent Variables, x | Dependent Variables, Y | |||||
|---|---|---|---|---|---|---|
| C, % | O, % | H, % | N, % | S, % | Cl, % | |
| C, % | 1.000 | 0.433 | n | −0.880 ** | −0.334 | n |
| O, % | - | 1.000 | 0.775 * | −0.676 | −0.498 | n |
| H, % | - | - | 1.000 | −0.479 | −0.398 | −0.724 |
| N, % | - | - | - | 1.000 | 0.587 | 0.330 |
| S, % | - | - | - | - | 1.000 | n |
| Independent Variable x | Dependent Variables, Y | |||||||
|---|---|---|---|---|---|---|---|---|
| Humidity, % | Density, kg m−3 | Ash Content, % | LHV, MJ kg−1 | ST, °C | DT, °C | HT, °C | FT, °C | |
| C, % | n | −0.635 | −0.792 * | 0.393 | 0.667 | 0.499 | n | −0.502 |
| O, % | n | −0.682 | −0.883 ** | 0.344 | 0.618 | 0.564 | 0.305 | n |
| H, % | −0.739 | −0.744 | −0.621 | n | 0.807 * | 0.496 | n | n |
| N, % | n | 0.848 * | 0.853 * | n | −0.759 * | −0.784 * | −0.301 | 0.347 |
| S, % | n | 0.723 | 0.459 | n | −0.400 | −0.758 * | −0.809 * | −0.351 |
| Cl,% | 0.901 ** | 0.496 | n | 0.398 | −0.711 | n | n | n |
| Plant Species | CO2 | CO | NOx | CxHy |
|---|---|---|---|---|
| % | ppm | ppm | ppm | |
| PK-1-1 | 2.5 | 8303 | 157 | 1109 |
| PK-1-3 | 3.2 | 3219 | 150 | 307 |
| PK-2-1 | 4.5 | 2447 | 169 | 206 |
| PK-2-3 | 4.0 | 4121 | 206 | 495 |
| PK-3-1 | 4.5 | 702 | 111 | 40 |
| PK-3-3 | 4.1 | 2555 | 141 | 287 |
| Pine sawdust | 4.7 | 188 | 111 | 9 |
Disclaimer/Publisher’s Note: The statements, opinions and data contained in all publications are solely those of the individual author(s) and contributor(s) and not of MDPI and/or the editor(s). MDPI and/or the editor(s) disclaim responsibility for any injury to people or property resulting from any ideas, methods, instructions or products referred to in the content. |
© 2024 by the authors. Licensee MDPI, Basel, Switzerland. This article is an open access article distributed under the terms and conditions of the Creative Commons Attribution (CC BY) license (https://creativecommons.org/licenses/by/4.0/).
Share and Cite
Jasinskas, A.; Šiaudinis, G.; Karčauskienė, D.; Bielska, R.-M.; Marks, M.; Bielski, S.; Mieldažys, R.; Romaneckas, K.; Šarauskis, E. Evaluation of the Productivity and Potential Utilization of Artemisia dubia Plant Biomass for Energy Conversion. Plants 2024, 13, 1158. https://doi.org/10.3390/plants13081158
Jasinskas A, Šiaudinis G, Karčauskienė D, Bielska R-M, Marks M, Bielski S, Mieldažys R, Romaneckas K, Šarauskis E. Evaluation of the Productivity and Potential Utilization of Artemisia dubia Plant Biomass for Energy Conversion. Plants. 2024; 13(8):1158. https://doi.org/10.3390/plants13081158
Chicago/Turabian StyleJasinskas, Algirdas, Gintaras Šiaudinis, Danutė Karčauskienė, Renata-Marks Bielska, Marek Marks, Stanislaw Bielski, Ramūnas Mieldažys, Kęstutis Romaneckas, and Egidijus Šarauskis. 2024. "Evaluation of the Productivity and Potential Utilization of Artemisia dubia Plant Biomass for Energy Conversion" Plants 13, no. 8: 1158. https://doi.org/10.3390/plants13081158
APA StyleJasinskas, A., Šiaudinis, G., Karčauskienė, D., Bielska, R.-M., Marks, M., Bielski, S., Mieldažys, R., Romaneckas, K., & Šarauskis, E. (2024). Evaluation of the Productivity and Potential Utilization of Artemisia dubia Plant Biomass for Energy Conversion. Plants, 13(8), 1158. https://doi.org/10.3390/plants13081158

