Abstract
The application of natural polymer-based coatings presents a viable approach to prolong the longevity of fruits and tissue damage. This study investigates the impact of treatments involving glycine betaine (GB), chitosan (CTS), and chitosan-coated glycine betaine nanoparticles (CTS-GB NPs) on preserving the quality and reducing decay in strawberry fruits. The fruits were subjected to treatments with GB (1 mM), CTS (0.1%), CTS-GB NPs (0.1%), or distilled water at 20 °C for 5 min, followed by storage at 4 °C for 12 days. The results indicate that CTS and CTS-GB NPs treatments resulted in the highest tissue firmness, total anthocyanin content, and ascorbate peroxidase activity, while exhibiting the lowest decay percentage and weight loss, as well as reduced malondialdehyde levels at the end of storage. GB, CTS, and CTS-GB NPs treatments demonstrated elevated catalase activity and antioxidant capacity, coupled with lower electrolyte leakage and hydrogen peroxide levels. These treatments did not significantly differ from each other but were markedly different from the control. The results substantiate that CTS and CTS-GB NPs treatments effectively preserve strawberry quality and extend storage life by bolstering antioxidant capacity and mitigating free radical damage.
1. Introduction
The strawberry (Fragaria × ananassa Duchesne) belongs to the Rosaceae family and produces non-climacteric fruits whose quality is contingent upon factors such as appearance, texture, aroma, taste, and nutritional composition. Critical components influencing strawberry quality include sugars, amino acids, and aromatic compounds [1]. Despite being a significant horticultural crop, strawberries are highly perishable with a brief postharvest shelf life. Therefore, the imperative to discover practical approaches, particularly involving natural compounds, to extend their longevity is evident [2].
In recent decades, substantial efforts have been directed towards prolonging fruit longevity and preserving nutritional value during storage [3]. Utilizing coatings based on natural polymers is a pragmatic strategy to enhance fruit longevity and impede tissue damage. Edible coatings, particularly those derived from various polysaccharides such as cellulose, starch, and chitosan, have gained prominence in replacing synthetic counterparts in food packaging [4]. Chitosan, a natural polymer obtained through the deacetylation of crustacean, insect, or fungal chitin [5], has demonstrated potential in reducing weight loss and decay while augmenting antioxidant activity in fresh fruits [6,7,8].
Compatible organic compounds, such as proline, sorbitol, polyamines, and glycine betaine, are recognized for their role in enhancing osmotic pressure, thereby fortifying horticultural crops against abiotic stresses [9,10]. Glycine betaine, in particular, has exhibited protective effects against membrane damage due to temperature fluctuations in various crops, including pomegranates and cucumbers [9,11]. Despite its documented benefits, limited information exists regarding the postharvest application of glycine betaine to fruits and vegetables. Recent research has reported that the application of glycine betaine improved postharvest quality of some horticultural crops, e.g., cucumbers [12], grapes [13], papayas [14], peaches [15], pears [16], and pomegranates [17].
In recent times, nanotechnology has emerged as a transformative technology in agriculture, offering diverse applications across crop production, processing, storage, packaging, and transportation [18,19]. The unique properties of compounds at the nanoscale, with an increased surface-to-volume ratio, have proven advantageous in enhancing their effectiveness [20]. Chitosan, when incorporated into nanoparticles, has demonstrated efficacy in preserving the quality and longevity of fruits and vegetables [21,22,23,24]. Notably, chitosan nanoparticles, in combination with other compounds, have shown significant promise in preserving physicochemical quality and extending the storage life of bell peppers [25], apples [26], bananas [27], and green tomatoes [28]. Yu et al. [29] reported that the treatment of jujubes with chitosan combined with nano-silicon resulted in a decline in their quality traits, e.g., red color, respiration rate, decay percentage, and weight loss, over the 32 days of storage at room temperature versus the control. The application of chitosan-nanoparticle-coated glycine betaine to plums significantly mitigated chilling, preserved quality, and prolonged storage life [30]. However, no prior research has explored the impact of glycine betaine and chitosan nanocomposite-coated glycine betaine on postharvest quality in strawberries. Thus, this study aims to investigate the effects of glycine betaine, chitosan, and glycine betaine coated with chitosan nanocomposite (CTS-GB NPs) on decay control, enhancement of antioxidant enzyme activity, and improvement of strawberry quality during storage at 4 °C for 12 days.
2. Results and Discussion
2.1. Decay Percentage
Upon comparing means, no visible decay was observed in both the control and treated fruits after 3 days of storage. However, decay symptoms appeared in the control and GB-treated fruits on day 6. At the end of storage, the lowest decay percentage was observed in fruits treated with CTS-GB NPs or CTS, while the highest was noted in the control (Figure 1). GB and CTS treatments significantly prevented strawberry decay at the end of storage. Strawberries are highly perishable due to their high metabolic activity and susceptibility to fungal decay, particularly grey mold [31]. GB has been shown to reduce decay and enhance resistance to mold in apples by increasing CAT and SOD activity [32]. Similar positive effects on decay reduction were reported in sweet peppers [33] and apples [34], supporting our findings. The efficacy of CTS and nanocomposites in controlling decay has been highlighted in various fruits, including strawberries [35], grapes [36], and figs [37]. Notably, the CTS/cellulose nanofibril nanocomposite alleviated strawberry decay [38]. Similarly, the CTS/nano-TiO2 composite effectively reduced mango decay [39]. The antibacterial and antifungal activities of CTS, attributed to changes in cell permeability through interactions with cell surface charges, contribute to its effectiveness [40].
Figure 1.
Impact of glycine betaine (GB), chitosan (CTS), and CTS-GB nanoparticles (CTS-GB NPs) on the decay percentage of strawberries over 12 days of storage. Data presented are mean ± standard error (SE) of three replications. Different letters over bars indicate they are significantly different (p < 0.05) by Duncan’s test.
2.2. Weight Loss
The results indicated an increase in weight loss for both treated and control fruits during storage, starting from day 6. However, CTS-GB-NP-treated fruits exhibited the lowest weight loss at the end of the storage period, followed by CTS-treated fruits, with the control showing the highest weight loss (Figure 2). GB, known for preventing dehydration and plasmolysis in high osmotic conditions [41], likely contributed to inhibiting weight loss during storage by regulating osmotic pressure and maintaining fruit moisture balance [42].
Figure 2.
Effect of glycine betaine (GB), chitosan (CTS), and CTS-GB nanoparticles (CTS-GB NPs) on the weight loss of strawberries over 12 days of storage. Data presented are mean ± standard error (SE) of three replications. Different letters over bars indicate they are significantly different (p < 0.05) by Duncan’s test.
Research supports the effectiveness of nanocomposite and CTS coatings in inhibiting weight loss in various fruits, including mangoes [43], tomatoes [44], and kiwifruits [45]. A study on plums showed that CTS-GB NP coating reduced weight loss during 40 days of cold storage [30]. The coatings act as semi-permeable barriers, reducing transpiration and controlling O2 and CO2 exchange, thereby slowing down respiration [39].
2.3. Fruit Tissue Firmness
The firmness of fruit tissues decreased over the storage period (Figure 3). CTS-treated fruits showed the highest firmness on day 3, differing significantly from other treatments. At the end of storage, the highest firmness was observed in CTS- and CTS-GB-NP-treated fruits, significantly different with control and GB treatments. Loss of firmness is associated with cell wall changes, including hemicellulose and galactose loss and pectin dissolution, due to increased cell wall hydrolyzing enzyme activity [46]. GB positively affects enzyme synthesis and plasma membrane strength [47]. The preservation of firmness by CTS and CTS-GB NPs aligns with findings in plums [30], peppers [48], litchi fruits [49], apricots [50], tomatoes [51], and mangoes [52]. CTS likely reduces the activities of β-galactosidase, polygalacturonase, and pectin methylesterase, which are the most important enzymes that are responsible for cell wall degradation and fruit softening [26].
Figure 3.
Influence of glycine betaine (GB), chitosan (CTS), and CTS-GB nanoparticles (CTS-GB NPs) on the tissue firmness of strawberries over 12 days of storage. Data presented are mean ± standard error (SE) of three replications. Different letters over bars indicate they are significantly different (p < 0.05) by Duncan’s test.
2.4. Total Soluble Solids (TSSs) and Titratable Acidity (TA)
TSSs exhibited an ascending trend until day 6, followed by a decline until the end of storage. The lowest TSSs at the end of the 12-day period were in the control, significantly different from other treatments. However, CTS, GB, and CTS-GB NPs did not significantly differ in TSSs (Figure 4a). TA was similar among treatments on day 3, increased until day 6, and then declined. At the end, CTS-GB NPs and CTS exhibited the highest TA (Figure 4b). Loss of organic acids during storage may relate to metabolic changes or acid consumption for respiration [50]. GB has been reported to increase TSSs and TA in sweet peppers [53] and cherries [54]. CTS contributes to preserving TSSs and TA in litchi fruits [55]. The effects of exogenous GB on TSSs and TA can be attributed to changes in internal fruit atmosphere, reducing respiration and converting starch into sugar [54]. CTS and CTS nanocomposite coatings increased TSSs and TA in mushrooms and peppers [56,57], supporting our findings.
Figure 4.
Impact of glycine betaine (GB), chitosan (CTS), and CTS-GB nanoparticles (CTS-GB NPs) on the total soluble solids (a) and titratable acidity (b) of strawberries over 12 days of storage. Data presented are mean ± standard error (SE) of three replications. Different letters over bars indicate they are significantly different (p < 0.05) by Duncan’s test.
2.5. Ascorbic Acid
Ascorbic acid content decreased during storage, with the lowest observed in the control at the end of storage. Treatments inhibited excessive ascorbic acid loss, with CTS-GB NPs being the most effective, followed by CTS and GB (Figure 5). GB contributes to ascorbic acid preservation by inhibiting cell wall degradation and reducing reactive oxygen species (ROS) [58]. GB enhances the activity of enzymes involved in ascorbic acid production [59]. Similar preservation effects have been reported in bananas, sweet peppers, and cherries [33,60,61].
Figure 5.
Effect of glycine betaine (GB), chitosan (CTS), and CTS-GB nanoparticles (CTS-GB NPs) on the ascorbic acid content of strawberries over 12 days of storage. Data presented are mean ± standard error (SE) of three replications. Different letters over bars indicate they are significantly different (p < 0.05) by Duncan’s test.
2.6. Electrolyte Leakage (EL), Malondialdehyde (MDA), and Hydrogen Peroxide (H2O2)
EL increased in all strawberries during storage, particularly in the control. CTS, CTS-GB NPs, and GB effectively prevented EL increase at the end of storage (Figure 6a). Fruits accumulated MDA during storage, with CTS and CTS-GB NPs showing significantly lower MDA content compared to the control and GB (Figure 6b). H2O2 remained stable until day 9, increasing thereafter. At the end of storage, the highest H2O2 was in the control and the lowest in GB-, CTS-, and CTS-GB-NP-treated fruits, significantly different from the control (Figure 6c). GB protects membrane integrity in soybeans by reducing EL [9]. Membrane fat peroxidation is the first symptom of chilling damage in plants, which is revealed with the increase in MDA accumulation. Researchers consider the fat peroxidation level a plant mechanism against various stresses [62].
Figure 6.
Impact of glycine betaine (GB), chitosan (CTS), and CTS-GB nanoparticles (CTS-GB NPs) on the electrolyte leakage (a), malondialdehyde (b) content, and hydrogen peroxide (c) of strawberries over 12 days of storage. Data presented are mean ± standard error (SE) of three replications. Different letters over bars indicate they are significantly different (p < 0.05) by Duncan’s test.
It has been proven that the main reason for the severe damage to cell membranes is the synthesis of hydroxyl, superoxide, and H2O2 radicals, which leads to the peroxidation of unsaturated fats in cell membranes [63]. Higher GB concentrations contribute to membrane stability and structure by reducing the peroxidation of unsaturated fats in cell membranes during stress [63]. Similar reductions in EL and MDA have been reported in loquats, pomegranates, and plums [17,30,64]. CTS and CTS-GB NPs also effectively scavenge free radicals, reducing EL and MDA in bananas, longans, and kiwifruits [18,27,45]. The levels of EL and MDA, along with H2O2 content, showed an increase throughout the cold-storage duration, indicating the onset of oxidative stress due to elevated ROS production stemming from cell membrane damage [30]. This observation is consistent with the pronounced EL levels observed in our study. The reduction in H2O2 levels in strawberry fruits during cold storage can be attributed to the heightened activity of both enzymatic and non-enzymatic antioxidants, which are critical in scavenging H2O2. This phenomenon is confirmed by the findings of Mahmoudi et al. [30], who reported that GB and CTS-GB NPs treatments contributed to the alleviation of H2O2 accumulation in plus fruits during the cold storage.
2.7. Total Anthocyanin Content
Anthocyanin content increased over the storage period, peaking on day 9, and then declined until the end. CTS-GB-NP- and CTS-treated fruits showed the highest anthocyanin content, significantly different from other treatments (Figure 7).
Figure 7.
Influence of glycine betaine (GB), chitosan (CTS), and CTS-GB nanoparticles (CTS-GB NPs) on the anthocyanin content of strawberries over 12 days of storage. Data presented are mean ± standard error (SE) of three replications. Different letters over bars indicate they are significantly different (p < 0.05) by Duncan’s test.
Strawberry fruits are rich in anthocyanin. The dominant anthocyanin is pelargonidin 3-glucoside [65]. The anthocyanin content increases during the postharvest period due to its biosynthesis, but it begins to decline during storage due to the aging process [66]. Anthocyanin preservation by CTS has been reported in pomegranates, litchis, and raspberries [67,68,69]. CTS-GB NPs also preserved anthocyanin content in plums [30]. Coatings likely slow maturity, reduce oxygen levels, and inhibit peroxidase and polyphenol oxidase enzyme activity, preserving anthocyanins [7].
2.8. Total Phenol, Flavonoid, and Antioxidant Capacity
Total phenol content decreased during storage, with the highest content in CTS-GB-NP- and CTS-treated fruits on days 3 and 6. At the end of storage, the highest was observed in the fruits treated with CTS-GB NPs, differing from the CTS treatment insignificantly but from the control and GB treatment significantly (Figure 8a).
Figure 8.
Effect of glycine betaine (GB), chitosan (CTS), and CTS-GB nanoparticles (CTS-GB NPs) on the phenols (a), flavonoids (b), and total antioxidants (c) of strawberries over 12 days of storage. Data presented are mean ± standard error (SE) of three replications. Different letters over bars indicate they are significantly different (p < 0.05) by Duncan’s test.
Total flavonoid content decreased in all treated fruits during storage. The treatments did not develop significant differences in this trait from day 3 to day 9, but they differed from the control significantly. At the end of storage, the highest total flavonoid was obtained from the treatment of CTS-GB NPs, differing from the control and GB treatment significantly but from the CTS treatment insignificantly (Figure 8b). Antioxidant capacity exhibited a descending trend from day 6, with CTS-GB-NP-treated fruits showing the highest capacity at the end, significantly different from the control but not from other coating treatments (Figure 8c).
Phenols play a crucial role in scavenging free radicals and preventing H2O2 conversion into free radicals. As fruits ripen, extensive changes happen in gene expression, the activity of enzymes, and the synthesis of phenolic metabolites [70]. CTS, its nanocomposite, and CTS-GB NPs have been shown to increase total phenols, flavonoids, and antioxidants in mangoes and plums [30,39]. Strawberry coatings with nanocomposites have preserved more phenols and flavonoids than the control during storage [38]. The decline in total phenol content is attributed to oxidative damage and polyphenol oxidase activity, which CTS can counteract by stimulating the phenylpropanoid pathway [39]. In the present work, the total phenol and flavonoid contents were preserved in all treatments better than in control over storage, showing the effectiveness of coating treatments in preserving phenols and flavonoids.
2.9. Antioxidant Enzymes Activities
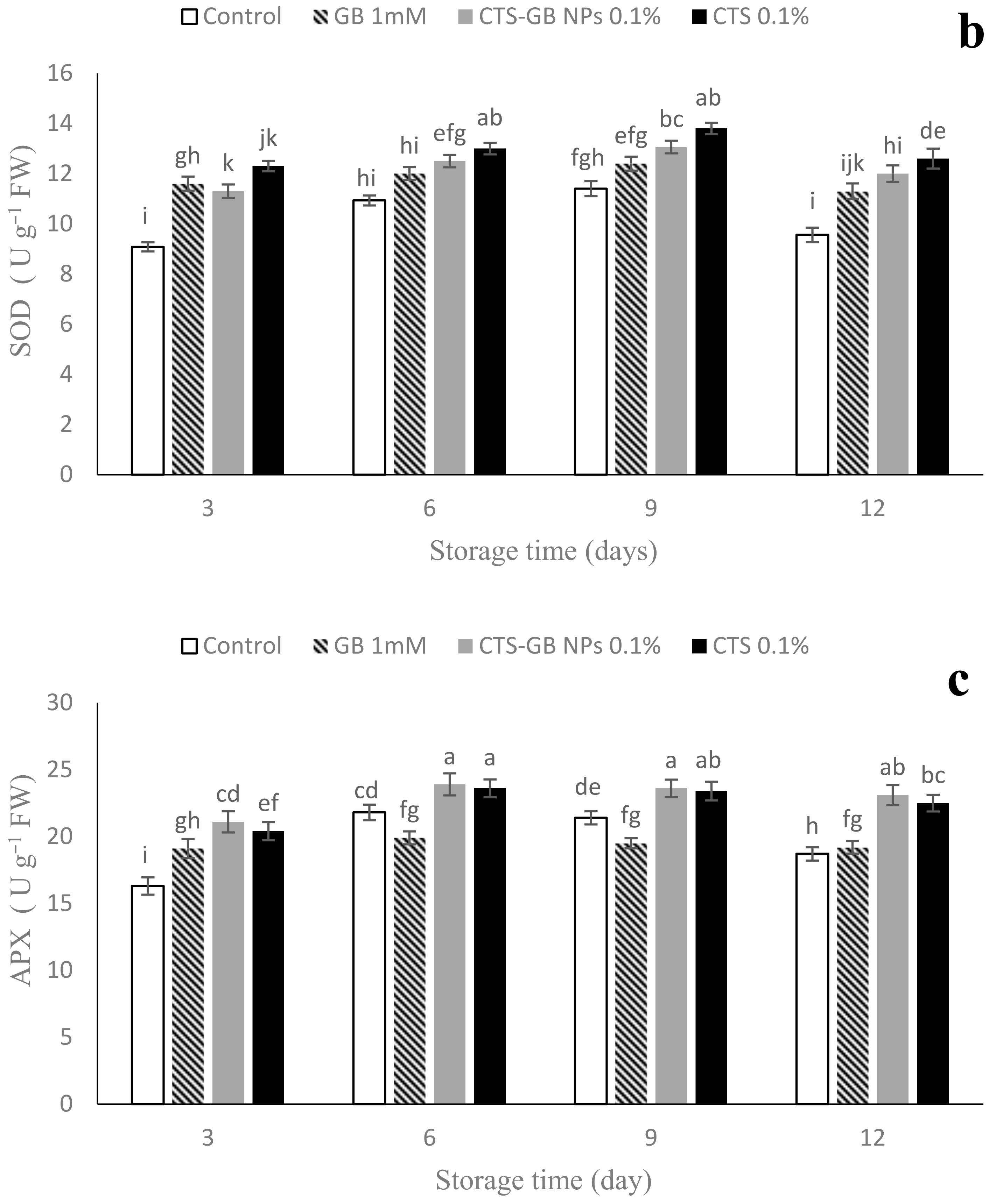
CAT activity increased and then decreased in all samples during storage. The highest CAT activity was related to the control on days 6 and 9; CTS-GB-NP- and GB-treated fruits effectively increased CAT activity at the end, significantly different from the control and CTS (Figure 9a). SOD activity gradually increased until day 9, but then decreased until the end of storage. On day 9, the treatments of CTS-GB NPs and CTS effectively inhibited the loss of SOD activity. In the end, the SOD activity was the highest in the treatment of CTS, which differed from the other coating treatments and the control significantly. The lowest was related to the control (Figure 9b). APX activity was the highest in CTS-GB-NP- and CTS-treated fruits, effectively preventing its decline at the end of storage (Figure 9c). Antioxidant enzymes, including SOD, CAT, and APX, play a crucial role in suppressing free radicals and enhancing chilling tolerance in some chilling-sensitive fruits, such as mangoes [36], peaches [71], and loquats [64]. Higher activity of antioxidant enzymes and lower H2O2 content in GB- and CTS-GB-NP-treated strawberries suggest their role in preserving membrane health and structure by reducing ROS effects [32]. Similar effects of CTS and CTS-GB NPs have been observed in loquats, pomegranates, and plums [17,30,64]. Coatings with CTS, nanocomposites, and CTS-GB NPs have effectively preserved antioxidant activity in grapes, tomatoes, and cucumbers [28,36,72].

Figure 9.
Influence of glycine betaine (GB), chitosan (CTS), and CTS-GB nanoparticles (CTS-GB NPs) on the catalase (a), superoxide dismutase (b), and ascorbate peroxidase (c) of strawberries over 12 days of storage. Data presented are mean ± standard error (SE) of three replications. Different letters over bars indicate they are significantly different (p < 0.05) by Duncan’s test.
3. Materials and Methods
3.1. Plant Material, Trial Location, and Time
The research was conducted on strawberry cv. ‘Camarosa’ fruits in a greenhouse in Zanjan, Iran in 2020. The fruits were harvested at the commercial maturity stage (>80% of the surface red color) and were selected in terms of uniform in shape and size and absence of visual damage. Then, they were immediately transferred to the postharvest physiology laboratory of the Department of Horticulture, University of Zanjan to be applied with the treatments.
3.2. Nanocomposite Preparation
The nanomaterials were synthesized at the Laboratory of Nanochemistry, University of Maragheh, Maragheh, Iran, according to Bahmani et al. [23] and Mahmoudi et al. [30].
3.3. Application of Treatments
Strawberries underwent treatments by immersing in solutions containing 1 mM glycine betaine, 0.1% (w/v) CTS, 0.1% (w/v) CTS-GB NPs, or deionized water (control) at 20 °C for 5 min. Subsequently, the treated fruits were placed on kraft paper and allowed to dry for 1 h at room temperature (20 °C). Following drying, the fruits were sealed in polyethylene film bags of 0.03 mm in thickness with 4 to 5 holes (7–8 mm) to maintain the composition of air within the container and stored in a cold-storage facility at 4 °C with a relative humidity of 85–90% for 12 days. They were randomly allocated into five groups of 240 for each treatment in 3 replications (80 per replication). There were three boxes from each treatment, serving as three replications. The samples were taken out of storage on days 3, 6, 9, and 12, and their shelf life was evaluated after 24 h at 20 °C. After that, samples of fruit from each treatment/replicate were collected for quality measurements. Also, the additional samples of fruits were frozen in liquid nitrogen and stored at −80 °C immediately. The frozen samples were used to determine the content of ascorbic acid, malondialdehyde (MDA), hydrogen peroxide (H2O2), flavonoids, total anthocyanin, total phenolic, total antioxidant capacity, and the antioxidant activity of catalase (CAT), superoxide dismutase (SOD), and ascorbate peroxidase (APX).
3.4. Decay Percentage
The decayed fruits by storage rot were recorded. The decay percentage was calculated from the initial fruit number for each sample and expressed as a percentage.
3.5. Weight Loss Percentage
Weight loss was determined by weighing the strawberries before the experiment and after storage [73]. The percentage of weight loss was calculated using the following formula:
(Weight before storage − Weight on sampling day)/Weight before storage × 100.
3.6. Fruit Tissue Firmness
Tissue firmness was measured using a handheld hardness tester (FT011, Facchini srl, Alfonsine (Ra), Italy) with a 5 mm probe, and the results were expressed in newtons (N).
3.7. Total Soluble Solids (TSSs) and Titratable Acidity (TA)
The TSSs were measured with a handheld refractometer (PAL-1, Atago Co., Tokyo, Japan). Titratable acidity (TA) was determined by titrating 10 mL of fruit juice with sodium hydroxide 0.1 N until the extract’s pH reached 8.1 [74].
3.8. Ascorbic Acid Content
Ascorbic acid content was determined through titration with potassium iodide, and the results were expressed as mg 100 g−1 fresh weight [74].
3.9. Anthocyanin Content
Anthocyanin content was determined using the pH differential method. A mass of 1 g of fruit tissue was added to 10 mL of methanol containing hydrogen chloride 1% and was kept at 0 °C for 10 min. Then, 200 µL of the supernatant was added to 1800 µL of potassium chloride buffer (pH = 1) and 1800 µL of acetate sodium buffer (pH = 4.5). Finally, absorbance was recorded at 510 and 700 nm, and the TAC was calculated in mg per 100 g of fresh weight [73].
3.10. Total Phenol and Flavonoid Content, and Antioxidant Capacity
Extraction of phenols, flavonoids, and total antioxidant capacity was performed by grinding 1 g of fruit tissue with methanol 80%.
Total phenol content was determined using the Folin–Ciocalteu reagent. For this, 100 µL of the extract was combined with 2 mL of 2% sodium carbonate in a test tube. After 5 min, 100 µL of diluted Folin–Ciocalteu reagent (50%) was added. After that, the mixture was kept in the dark at room temperature for 30 min, and the absorbance was measured at 720 nm with the Specorp 250 Jena-History spectrophotometer (Analytik Jena GmbH+Co. KG, Jena, Germany). The standard curve was generated using different concentrations of gallic acid, and total phenol content was reported in mg 100 g−1 FW [74].
For total flavonoid content determination, 250 µL of the extract was mixed with 75 µL of 5% sodium nitrite, 150 µL of 10% aluminum chloride, and 500 mL of 1 M sodium hydroxide. It was then adjusted to 2.5 mL with distilled water. After 5 min, absorbance was read at 507 nm using a Spercorp 250 Jena-History spectrophotometer (Analytik Jena GmbH+Co. KG, Jena, Germany). The standard curve was constructed based on absorbance at specific quercetin concentrations.
Antioxidant capacity was determined using the DPPH method. A 0.1 mM DPPH solution was prepared, and 50 µL of the fruit extract was added to 1950 µL of the DPPH solution (0.1 mM) to reach a final volume of 2 mL. Absorbance was read at 517 nm with the Specorp 250 Jena-History spectrophotometer (Analytik Jena GmbH+Co. KG, Jena, Germany) after 20 min. The DPPH solution was used as a reference to compare absorbance, and antioxidant capacity was calculated as a percentage using the following equation [74]:
where Ac is the absorbance of the control, and As is the absorbance of the sample.
DPPH scavenging capacity (%): (Ac − As/Ac) × 100
3.11. Malondialdehyde (MDA) and Hydrogen Peroxide (H2O2) Content
For MDA estimation, 1 g of fruit tissue was mixed with 5 mL of 10% trichloroacetic acid solution and centrifuged at 10,000 rpm for 5 min. Then, 2 mL of the supernatant was mixed with 2 mL of 1% trichloroacetic acid and 0.6 g of thiobarbituric acid. The mixture was heated in a water bath at 100 °C for 20 min, quickly cooled in ice, and re-centrifuged at 10,000 rpm for 5 min. Absorbance was recorded at 532 and 600 nm, and the results were presented in nmol g−1.
where W is the weight of fruit tissue, and V is the extract volume.
MDA = (A532 − A600) × W × V/155 × 1000
To measure hydrogen peroxide, 1 g of fruit tissues was ground in a china mortar containing 5 mL of 1% trichloroacetic acid. The resulting extract was centrifuged at 10,000 rpm at 4 °C for 5 min. Then, 750 µL of the supernatant was mixed with 250 µL of 10 mM potassium phosphate buffer (pH = 7) and 1 mL of 1 M potassium iodide. The absorbance was read at 390 nm with a spectrophotometer. H2O2 content was determined in nmol g−1 using the standard curve [75].
3.12. Antioxidant Enzymes Activity
To assess the activity of antioxidant enzymes, including superoxide dismutase (SOD) and catalase (CAT), 1 g of fruit tissue was ground with 5 mL of 50 mM potassium phosphate (KH2PO4) (pH = 7.8) containing 0.2 mM Na2EDTA and 2% (w/v) polyvinylpolypyrrolidone (PVP). The homogenous solution was centrifuged at 12,000 rpm at 4 °C for 20 min, and the supernatant was used as the enzymatic extract.
3.12.1. Catalase (CAT) Activity
To determine CAT activity, 100 µL of the enzymatic extract was combined with 50 µL of hydrogen peroxide (H2O2) and 200 µL of 50 mM phosphate buffer (pH = 7). One unit of CAT activity was recorded as the decline in absorbance at 240 nm over two minutes. The results were expressed in U g−1 FW [76].
3.12.2. Superoxide Dismutase (SOD) Activity
For SOD activity measurement, 50 µL of the enzymatic extract was mixed with 2 mL of 50 mM potassium buffer, 100 µL of ethylenediaminetetraacetic acid (EDTA), and 200 µL of nitroblue tetrazolium test (NBT). The mixture was exposed to 40 W fluorescent light for 10 min. Then, 50 µL of 0.15 mM riboflavin was added, and the mixture was exposed to the same light for 12 min. The absorbance was read at 560 nm. SOD activity was expressed in U g−1 FW based on the amount of enzyme that inhibited NBT oxidation by 50% [76].
3.12.3. Ascorbate Peroxidase (APX) Activity
To measure APX activity, 100 µL of the enzymatic extract was mixed with 2.9 mL of 0.5 mM ascorbic acid reaction solution, 1 mM H2O2, and 50 mM phosphate buffer. One unit of APX activity was defined as the amount of the enzyme that oxidized 1 µM ascorbate and was recorded in U g−1 FW based on the decline in absorption at 290 nm over one minute [76].
3.13. Experimental Design and Data Analysis
The study employed a factorial experiment with a completely randomized design, involving three replications. The first factor comprised the treatments (1 mM GB, 0.1% CTS, 0.1% CTS-GB NPs, and control), while the second factor was time. Data analysis was conducted using SPSS software (ver. 22), and means were compared using Duncan’s test at a significance level of p < 0.05.
4. Conclusions
In conclusion, our study demonstrates the effectiveness of chitosan and glycine betaine nanoparticle coatings in enhancing the postharvest quality of strawberries. These coatings significantly reduced decay, minimized weight loss, and preserved key attributes, including firmness and biochemical content. The nanocomposite formulation further enhanced these effects. Overall, our findings highlight the potential of these coatings as a sustainable and efficient postharvest treatment, offering improved quality and extended shelf life for strawberries.
Author Contributions
Conceptualization, F.R., G.G. and R.B.; methodology, A.J.-M., F.R., R.B. and G.G.; software, G.G., R.B. and S.N.M.; validation, A.J.-M. and G.G.; formal analysis, R.B. and G.G.; investigation, R.B. and F.R.; resources, S.N.M. and F.R.; data curation, R.B., F.R. and S.N.M.; writing—original draft preparation, R.B., G.G., F.R. and S.N.M.; writing—review and editing, F.R., A.J.-M. and G.G.; visualization, R.B. and A.J.-M.; supervision, F.R., S.N.M. and A.J.-M.; funding acquisition, F.R., G.G. and A.J.-M. All authors have read and agreed to the published version of the manuscript.
Funding
This research received no external funding.
Data Availability Statement
Data are contained within the article.
Acknowledgments
We thank the University of Zanjan, Zanjan, Iran, for their kind support during this investigation.
Conflicts of Interest
The authors declare no conflicts of interest.
References
- Buendia, B.; Gil, M.; Tudela, J.A.; Gady, A.L. HPLC-MS Analysis of Pro anthocyanidin Oligomers and Other Phenolics in 15 Strawberry Cultivars. J. Agric. Food Chem. 2010, 58, 3916–3926. [Google Scholar] [CrossRef]
- Liu, C.; Zhang, H.; Sheng, K.; Liu, W.; Zheng, L. Effects of melatonin treatment on the postharvest quality of strawberry fruit. Postharvest Biol. Technol. 2018, 139, 47–55. [Google Scholar] [CrossRef]
- Bautista-Banos, S.; Garcia-Dominguez, E.; BarreraNecha, L.L.; Reyes-Chilpa, R.; Wilson, C.L. Seasonal evaluation of the postharvest fungicidal activity of powders and extracts of huamuchil (Pithecellobiom dulce): Action against Botrytis cinerea, Penicillium digitatum and Rhizopus stolonifer of strawberry fruit. Postharvest Biol. Technol. 2003, 29, 81–92. [Google Scholar] [CrossRef]
- Riberio, C.; Vicente, A.A.; Teixeira, J.A.; Miranda, C. Optimization of edible coating composition to retard strawberry fruit senescence. Postharvest Biol. Technol. 2007, 44, 63–70. [Google Scholar] [CrossRef]
- Liu, J.; Zhang, J.; Xia, W. Hypocholesterolaemic effects of different chitosan samples in vitro and in vivo. Food Chem. 2008, 107, 419–425. [Google Scholar] [CrossRef]
- Chien, P.; Sheu, F.; Yang, F. Effects of Edible Chitosan Coating on Quality and Shelf Life of Sliced Mango Fruit. J. Food Eng. 2007, 78, 225–229. [Google Scholar] [CrossRef]
- Wang, S.Y.; Gao, H.Y. Effect of chitosan-based edible coating on antioxidants, antioxidant enzyme system, and postharvest fruit quality of strawberries (Fragaria x aranassa Duch.). LWT-Food Sci. Technol. 2013, 52, 71–79. [Google Scholar] [CrossRef]
- Adiletta, G.; Zampella, L.; Coletta, C.; Petriccione, M. Chitosan coating to preserve the qualitative traits and improve antioxidant system in fresh figs (Ficus carica L.). Agriculture 2019, 9, 84. [Google Scholar] [CrossRef]
- Malekzadeh, P.; Hatamnia, A.A. Effect of glycine betaine treatment on reducing cold damage to pomegranate fruit during storage. J. Plant Environ. Physiol. 2015, 10, 39–47. [Google Scholar]
- Rabbani, G.; Choi, I. Roles of osmolytes in protein folding and aggregation in cells and their biotechnological applications. Int. J. Biol. Macromol. 2018, 109, 483–491. [Google Scholar] [CrossRef] [PubMed]
- Seaidpor, F.; Sayyari, M.; Ghanbari, F. Effect of glycin betaine on frost resistance of cucumber seedlings. J. Agric. 2015, 17, 53–67. [Google Scholar]
- Fugui, W.; Tao, H.; Hai-ying, Z.; Li, X. Effect of exogenous glycine betaine on oxidative metabolism in cucumber during low-temperature storage. Food Sci. 2013, 34, 313–316. [Google Scholar]
- Awad, M.A.; Al-Qurashi, A.D.; Mohamed, S.A. Postharvest trans-resveratrol and glycine betaine treatments affect quality, antioxidant capacity, antioxidant compounds and enzymes activities of ‘El-Bayadi’ table grapes after storage and shelf life. Sci. Hortic. 2015, 197, 350–356. [Google Scholar] [CrossRef]
- Pan, Y.; Zhang, S.; Yuan, M.; Song, H.; Wang, T.; Zhang, W.; Zhang, Z. Effect of glycine betaine on chilling injury in relation to energy metabolism in papaya fruit during cold storage. Food Sci. Nutr. 2019, 7, 1123–1130. [Google Scholar] [CrossRef] [PubMed]
- Wang, L.; Shan, T.; Xie, B.; Ling, C.; Shao, S.; Jin, P.; Zheng, Y. Glycine betaine reduces chilling injury in peach fruit by enhancing phenolic and sugar metabolisms. Food Chem. 2019, 272, 530–538. [Google Scholar] [CrossRef]
- Wang, J.; Lv, M.; He, H.; Jiang, Y.; Yang, J.; Ji, S. Glycine betaine alleviated peel browning in cold-stored ‘Nanguo’ pears during shelf life by regulating phenylpropanoid and soluble sugar metabolisms. Sci. Hortic. 2020, 262, 109100. [Google Scholar] [CrossRef]
- Molaei, S.; Rabiei, V.; Soleimani, A.; Razavi, F. Exogenous application of glycine betaine increases the chilling tolerance of pomegranate fruits cv. Malase Saveh during cold storage. J. Food Process. Preserv. 2021, 45, e15315. [Google Scholar] [CrossRef]
- Shi, S.; Wang, W.; Liu, L.; Wu, S.; Wei, Y.; Li, W. Effect of chitosan/nano-silica coating on the physicochemical characteristics of longan fruit under ambient temperature. J. Food Eng. 2013, 118, 125–131. [Google Scholar] [CrossRef]
- Adeel, M.; Shakoor, N.; Shafiq, M.; Pavlicek, A.; Part, F.; Zafiu, C.; Raza, A.; Ahmad, M.A.; Jilani, G.; White, J.C.; et al. A critical review of the environmental impacts of manufactured nano-objects on earthworm species. Environ. Pollut. 2021, 290, 118041. [Google Scholar] [CrossRef] [PubMed]
- Miller, G.; Senjen, R. Nanotechnology used for food packaging and food contact materials. Nanotechnol. Food Agric. 2008, 2, 14–68. [Google Scholar]
- Xing, Y.; Li, W.; Wang, Q.; Li, X.; Xu, Q.; Guo, X. Antimicrobial nanoparticles incorporated in edible coatings and films for the preservation of fruits and vegetables. Molecules 2019, 24, 1695. [Google Scholar] [CrossRef] [PubMed]
- Van, T.B.; Duyen, H.H.; Ha, V.H. Combination effects of calcium chloride and nano-chitosan on the postharvest quality of strawberry (Fragaria x ananassa Duch.). Postharvest Biol. Technol. 2020, 162, 103–111. [Google Scholar]
- Bahmani, R.; Razavi, F.; Mortazavi, S.N.; Gohari, G.; Juarez-Maldonado, A. Evaluation of Proline-Coated Chitosan Nanoparticles on Decay Control and Quality Preservation of Strawberry Fruit (cv. Camarosa) during Cold Storage. Horticulturae 2022, 8, 648. [Google Scholar] [CrossRef]
- Nasr, F.; Pateiro, M.; Rabiei, V.; Razavi, F.; Formaneck, S.; Gohari, G.; Lorenzo, J.M. Chitosan-Phenylalanine Nanoparticles (Cs-Phe Nps) Extend the Postharvest Life of Persimmon (Diospyros kaki) Fruits under Chilling Stress. Coatings 2021, 11, 819. [Google Scholar] [CrossRef]
- Hernandez-Lopez, G.; Ventura-Aguilar, R.I.; Correa-Pacheco, Z.N.; Bautista-Banos, S.; Barrera-Necha, L.L. Nanostructured chitosan edible coating loaded with α-pinene for the preservation of the postharvest quality of Capsicum annum L. and Alternaria alternate control. Int. J. Biol. Macromol. 2020, 165, 1881–1888. [Google Scholar]
- Abdel-Rahman, F.A.; Monir, G.A.; Hassan, M.S.S.; Ahmed, Y.; Refaat, M.H.; Ismail, I.A.; El-Garhy, H.A.S. Exogenously Applied Chitosan and Chitosan Nanoparticles Improved Apple Fruit Resistance to Blue Mold, Upregulated Defense-Related Genes Expression, and Maintained Fruit Quality. Horticulturae 2021, 7, 224. [Google Scholar] [CrossRef]
- Wantat, A.; Seraypheap, K.; Rojsitthisak, P. Effect of chitosan coatings supplemented with chitosan-montmorillonite nanocomposites on postharvest quality of ‘Hom Thong’ banana fruit. Food Chem. 2022, 374, 13–19. [Google Scholar] [CrossRef] [PubMed]
- Zhu, Y.; Li, D.; Belwal, T.; Li, L.; Chen, H.; Xu, T.; Luo, Z. Effect of Nano-SiOx/Chitosan Complex Coating on the Physicochemical Characteristics and Preservation Performance of Green Tomato. Molecules 2019, 24, 4552. [Google Scholar] [CrossRef] [PubMed]
- Yu, Y.; Zhang, S.; Ren, Y.; Li, H.; Zhang, X.; Di, J. Jujube preservation using chitosan film with nano-silicon dioxide. J. Food Eng. 2012, 113, 408–414. [Google Scholar] [CrossRef]
- Mahmoudi, R.; Razavi, F.; Rabiei, V.; Gohari, G.; Palou, L. Application of Glycine betaine coated chitosan nanoparticles alleviate chilling injury and maintain quality of plum (Prunus domestica L.) fruit. Int. J. Biol. Macromol. 2022, 207, 965–977. [Google Scholar] [CrossRef] [PubMed]
- Harker, F.R.; Elgar, H.J.; Watkins, C.B.; Jackson, P.J.; Hallett, I.C. Physical and mechanical changes in strawberry fruit after high carbon dioxide treatments. Postharvest Biol. Technol. 2000, 19, 139–146. [Google Scholar] [CrossRef]
- Zhang, X.; Zhang, G.; Qiy, L.; Keping, K.; Lin, C.; Apaliya, T.; Gu, X.; Zhang, H. Mechanisms of glycine betaine enhancing oxidative stress tolerance and biocontrol efficacy of Pichia caribbica against blue mold on apples. Biol. Control. 2017, 108, 55–63. [Google Scholar] [CrossRef]
- Wang, Q.; Ding, T.; Zuo, J.; Gao, L.; Fan, L. Amelioration of postharvest chilling injury in sweet pepper by glycine betaine. Postharvest Biol. Technol. 2016, 112, 114–120. [Google Scholar] [CrossRef]
- Abdelhai, M.; Awad, F.; Komla, Q.; Godana, M.; Zhang, H. Enhancement the biocontrol efficacy of Sporidiobolus pararoseus Y16 against apple blue mold decay by glycine betaine and its mechanism. Biol. Control. 2019, 139, 142–165. [Google Scholar] [CrossRef]
- Eshghi, S.; Mohammadi, A.; Badii, F.; Hoseini, M.Z.; Ahmadi, K. Effect of nanochitosan-based coating with and without copper loaded on physicochemical and bioactive components of fresh strawberry fruit (Fragaria × ananassa Duchesne) during storage. Food Bioprocess Technol. 2014, 7, 2397–2409. [Google Scholar] [CrossRef]
- Romanazzi, G. Chitosan treatment for the control of postharvest decay of table grapes, strawberries and sweet cherries. Fresh Prod. 2010, 4, 111–115. [Google Scholar]
- Saki, M.; Kaji, B.; Abbasifar, A.; Shahrjerdi, I. Effect of chitosan coating combined with thymol essential oil on physicochemical and qualitative properties of fresh fig (Ficus carica L.) fruit during cold storage. J. Food Meas. Charact. 2019, 13, 1147–1158. [Google Scholar] [CrossRef]
- Resende, N.S.; Gonçalves, G.A.S.; Reis, K.C.; Tonoli, G.H.D.; Boas, E. Chitosan/cellulose nanofibril nanocomposite and its effect on quality of coated strawberries. J. Food Qual. 2018, 2018, 1727426. [Google Scholar] [CrossRef]
- Xing, Y.; Yang, H.; Guo, X.; Bia, X.; Liu, X.; Xua, Q.; Wang, Q.; Lia, W.; Lia, X.; Shui, Y.; et al. Effect of chitosan/nano-tiO2 composite coatings on the postharvest quality and physicochemical characteristics of mango fruits. Sci. Hortic. 2020, 263, 109–135. [Google Scholar] [CrossRef]
- Devlieghere, F.; Vermeulen, A.; Debevere, J. Chitosan: Antimicrobial activity, interactions with food components and applicability as a coating on fruit and vegetables. Food Microbiol. 2004, 21, 703–714. [Google Scholar] [CrossRef]
- Taiz, L.; Zeiger, E. Plant Physiology, 4th ed.; Sinauer Associates: Sunderland, UK, 2006. [Google Scholar]
- Ashraf, M.; Foolad, M.R. Roles of glycine betaine and proline in improving plant abiotic stress resistance. Environ. Exp. Bot. 2007, 59, 206–216. [Google Scholar] [CrossRef]
- Chi, H.; Song, S.; Luo, M.; Zhang, C.; Li, W.; Li, L.; Qin, Y. Effect of PLA nanocomposite films containing bergamot essential oil, TiO2 nanoparticles, and Ag nanoparticles on shelf life of mangoes. Sci. Hortic. 2019, 249, 192–198. [Google Scholar] [CrossRef]
- Kaewklin, Y.; Siripatrawan, U.; Suwanagul, A.; Sukleed, Y. Active packaging from chitosan-titanium dioxide nanocomposite film for prolonging storage life of tomato fruit. Int. J. Biol. Macromol. 2018, 12, 523–529. [Google Scholar] [CrossRef] [PubMed]
- Hu, Q.; Fang, Y.; Yang, Y.; Ma, N.; Zhao, L. Effect of nanocomposite-based packaging on postharvest quality of ethylene-treated kiwifruit (Actinidia deliciosa) during cold storage. Food Res. Int. 2011, 44, 1589–1596. [Google Scholar] [CrossRef]
- Kashappa, D.G.; Hyun, P.J. Study of gamma irradiation effects on chitosan micro particles. Drug Deliv. 2006, 13, 39–50. [Google Scholar]
- Yang, W.J.; Rich, P.J.; Axtell, J.D.; Wood, K.V.; Bonhm, C.C.; Ejeta, G.; Mickelbart, M.V.; Rhodes, D. Genotypic Variation for Glycinebetaine in Sorghum. Crop Sci. 2003, 43, 162–169. [Google Scholar] [CrossRef]
- Xing, Y.; Li, X.; Xu, Q.; Yun, J.; Lu, Y.; Tang, Y. Effects of chitosan coating enriched with cinnamon oil on qualitative properties of sweet pepper (Capsicum annuum L.). Food Chem. 2011, 124, 1443–1450. [Google Scholar] [CrossRef]
- Duan, X.W.; Liu, T.; Zhang, D.; Su, X.G.; Lin, H.T.; Jiang, Y.M. Effect of pureoxygen atmosphere on antioxidant enzyme and antioxidant activity of harvested litchi fruit during storage. Food Res. Int. 2011, 44, 1905–1911. [Google Scholar] [CrossRef]
- Ghasemnezhad, M.; Shiri, M.A.; Sanavi, M. Effect of chitosan coating on some quality indices of apricot (Prunus armeniaca L.) during cold storage. Casp. J. Environ. Sci. 2010, 8, 25–33. [Google Scholar]
- Liu, J.; Tian, S.; Menga, X.; Xu, Y. Effects of chitosan on control of postharvest diseases and physiological responses of tomato fruit. Postharvest Biol. Technol. 2007, 44, 300–306. [Google Scholar] [CrossRef]
- Srinivasa, P.C.; Baskaran, R.; Ramesh, M.N.; Prashanth, H. Storage studies of mango packed using biodegradable chitosan film. Eur. Food Res. Technol. 2002, 215, 504–508. [Google Scholar]
- Abou-Aly, H.E.; Mady, M.A. Complemented effect of glycine betainea and biofertilizers on growth and produtivity of sweet pepper (Capsicum annuum L.) plant under high temperature condition. J. Plant Prod. 2014, 5, 505–526. [Google Scholar] [CrossRef]
- Li, M.; Zhi, H.; Dong, Y. Influence of Preharvest and Postharvest Applications of Glycine Betaine on Fruit Quality Attributes and Storage Disorders of ‘Lapins’ and ‘Regina’ Cherries. Hortic. Sci. 2019, 54, 1540–1545. [Google Scholar] [CrossRef]
- Dong, H.; Cheng, L.; Tan, J.; Zheng, K.; Jiang, Y. Effects Of chitosan coating on quality and shelf life of peeled litchi fruit. J. Food Eng. 2004, 64, 355–358. [Google Scholar] [CrossRef]
- Eissa, H.A. Effect of chitosan coating on shelf life and quality of fresh-cut mushroom. J. Food Qual. 2007, 30, 623–645. [Google Scholar] [CrossRef]
- Gholamipourfard, K.; Kamari, S.; Ghasemnejad, M.; Fotouhi Ghazvini, R. Effect of chitosan coating on weight loss and postharvest quality of green pepper (Capsicum annum L.) fruits. Acta Hortic. 2010, 877, 821–826. [Google Scholar] [CrossRef]
- Smirnoff, N.; Stewart, G.R. Stress metabolites and their role in coastal plants. Vegetatio 1985, 62, 273–278. [Google Scholar] [CrossRef]
- Einset, J.; Connolly, E.L. Glycine betaine enhances extracellular processes blocking ROS signaling during stress. Plant Signal Behav. 2009, 4, 197–199. [Google Scholar] [CrossRef] [PubMed]
- Chen, L.L.; Shan, W.; Ling Cai, D.; Chen, J.Y.; Lu, W.J.; Su, X.G.; Kuang, J.F. Postharvest application of glycine betaine ameliorates chilling injury in cold-stored banana fruit by enhancing antioxidant system. Sci. Hortic. 2021, 287, 110264. [Google Scholar] [CrossRef]
- Goncalves, B.; Morais, M.C.; Sequeira, A.; Ribeiro, C.; Guedes, F.; Silva, A.P.; Aires, A. Quality preservation of sweet cherry cv. ‘staccato’ by using glycine-betaine or Ascophyllum nodosum. Food Chem. 2020, 322, 126713. [Google Scholar] [CrossRef] [PubMed]
- Yang, Q.; Wang, F.; Rao, J. Effect of putrescine treatment on chilling injury, fatty acid composition and antioxidant system in kiwifruit. Soc. Psychiatry 2016, 45, 11–25. [Google Scholar] [CrossRef]
- Borsani, J.; Budde, C.O.; Porrini, L.; Lauxmann, M.A.; Lombardo, V.A.; Murray, R.; Andreo, C.S.; Drincovich, M.F.; Lara, M.V. Carbon metabolism of peach fruit after harvest: Changes in enzymes involved in organic acid and sugar level modifications. J. Exp. Bot. 2009, 60, 1823–1837. [Google Scholar] [CrossRef] [PubMed]
- Zhang, Y.; Jin, P.; Huang, Y.; Shan, T.; Wang, L.; Li, Y.; Zheng, Z. Effect of hot water combined with glycine betaine alleviates chilling injury in cold-stored loquat fruit. Postharvest Biol. Technol. 2019, 118, 141–147. [Google Scholar] [CrossRef]
- Petriccione, M.; Mastrobuoni, F.; Pasquariello, M.S.; Zampella, L.; Nobis, E.; Capriolo, G.; Scortichini, M. Effect of chitosan coating on the postharvest quality and anti oxidant enzyme system response of strawberry fruit during cold storage. Foods 2015, 4, 501–523. [Google Scholar] [CrossRef] [PubMed]
- Hu, H.; Li, X.; Dong, C.; Chen, W. Effects of wax treatment on quality and postharvest physiology of pineapple fruit in cold storage. Afr. J. Biotechnol. 2011, 10, 7592–7603. [Google Scholar]
- Ghasemnezhad, M.; Zareh, S.; Rassa, M.; Sajedi, R.H. Effect of chitosan coating on maintenance of aril quality, microbial population and PPO activity of pomegranate (Punica granatum L. cv. Tarom) at cold storage temperature. J. Sci. Food Agric. 2013, 93, 368–374. [Google Scholar] [CrossRef] [PubMed]
- Jiang, Y.; Li, J.; Jiang, W. Effects of chitosan on shelf life of cold-stored litchi fruit at ambient temperature. Food Sci. Technol. 2005, 38, 757–761. [Google Scholar] [CrossRef]
- Han, C.; Zhao, Y.; Leonard, S.W.; Traber, M.G. Edible coatings to improve storability and enhance nutritional value of fresh and frozen strawberries (Fragaria x ananassa) and raspberries (Rubus ideaus). Postharvest Biol. Technol. 2004, 33, 67–78. [Google Scholar] [CrossRef]
- Aaby, K.; Remberg, S.F. Strawberry phenolics and impact of ripening. In Processing and Impact on Active Components in Food; Academic Press: Cambridge, MA, USA, 2015; pp. 157–164. [Google Scholar]
- Gohari, G.; Molaei, S.; Kheiry, A.; Ghafouri, M.; Razavi, F.; Lorenzo, J.; Juárez-Maldonado, A. Exogenous Application of Proline and L-Cysteine Alleviates Internal Browning and Maintains Eating Quality of Cold Stored Flat ‘Maleki’ Peach Fruits. Horticulturae 2021, 27, 469. [Google Scholar] [CrossRef]
- Zhang, Y.; Zhang, M.; Yang, H. Postharvest chitosan-g-salicylic acid application alleviates chilling injury and preserves cucumber fruit quality during cold storage. Food Chem. 2015, 174, 558–563. [Google Scholar] [CrossRef] [PubMed]
- Aghdam, M.S.; Bodbodak, S. Physiological and biochemical mechanisms regulating chilling tolerance in fruits and vegetables under postharvest salicylates and jasmonates treatments. Sci. Hortic. 2013, 156, 73–85. [Google Scholar] [CrossRef]
- Hernández-Muñoza, P.; Almenara, E.; José, J.; Gavara, R. Effect of calcium dips and chitosan coatings on postharvest life of strawberries (Fragaria x ananassa). Postharvest Biol. Technol. 2006, 39, 247–253. [Google Scholar] [CrossRef]
- Ma, Q.; Zhang, T.; Zhang, P.; Wang, Z.Y. Melatonin attenuates postharvest physiological deterioration of cassava storage roots. J. Pineal Res. 2016, 60, 424–434. [Google Scholar] [CrossRef] [PubMed]
- Ali, S.; Khan, A.S.; Malik, A.U.; Shahid, M. Effect of controlled atmosphere storage on pericarp browning, bioactive compounds and antioxidant enzymes of litchi fruit. Food Chem. 2016, 206, 18–29. [Google Scholar] [CrossRef] [PubMed]
Disclaimer/Publisher’s Note: The statements, opinions and data contained in all publications are solely those of the individual author(s) and contributor(s) and not of MDPI and/or the editor(s). MDPI and/or the editor(s) disclaim responsibility for any injury to people or property resulting from any ideas, methods, instructions or products referred to in the content. |
© 2024 by the authors. Licensee MDPI, Basel, Switzerland. This article is an open access article distributed under the terms and conditions of the Creative Commons Attribution (CC BY) license (https://creativecommons.org/licenses/by/4.0/).









