Sustainable Grassland-Management Systems and Their Effects on the Physicochemical Properties of Soil
Abstract
1. Introduction
2. Results
2.1. Physical Properties of the Soil under Different Grassland-Management Systems
2.2. Chemical Properties of the Soil under Different Grassland-Management Systems
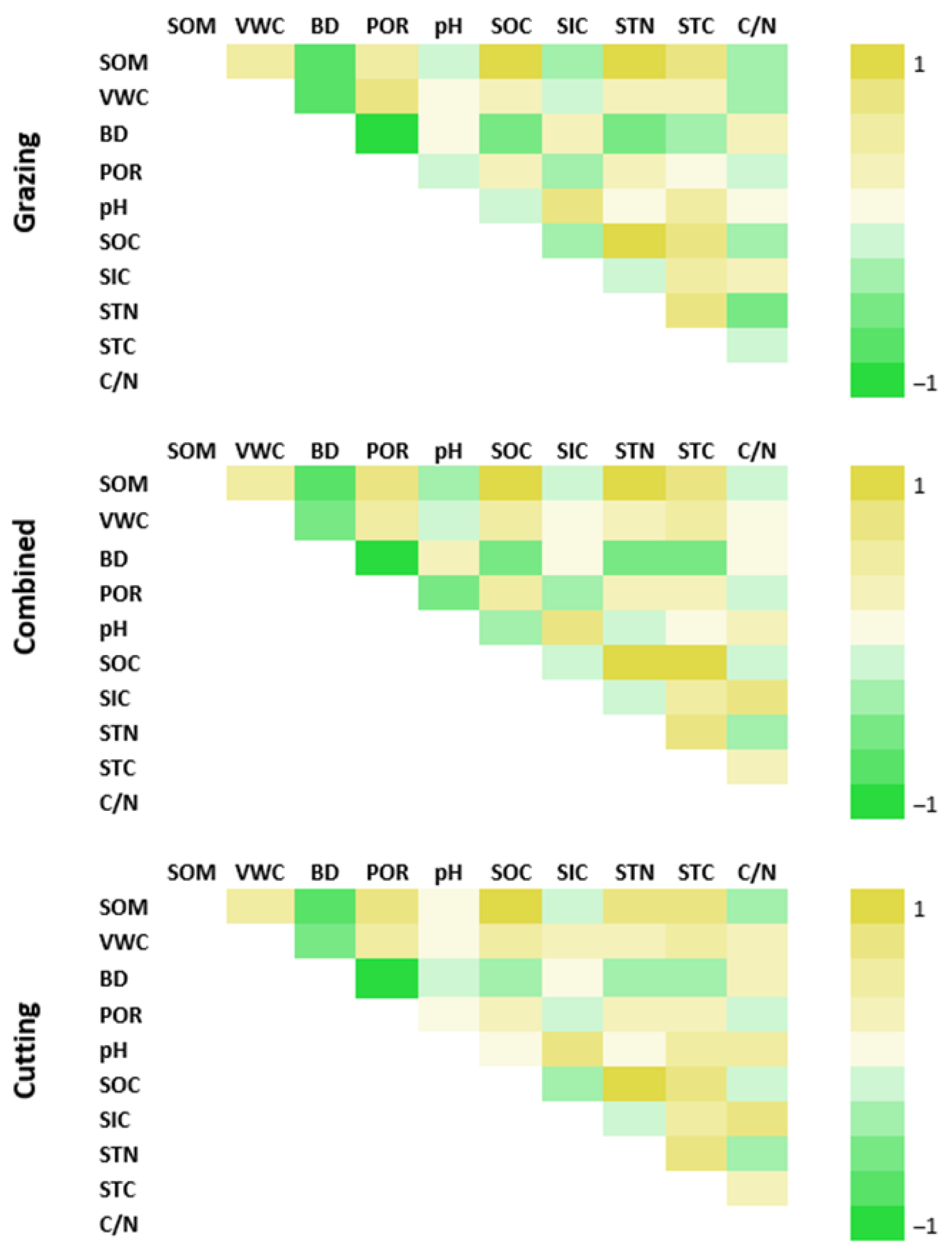
2.3. Relationship between the Physical and Chemical Properties
3. Discussion
3.1. The Effects of Different Types of Grassland Management on the Physical Properties of the Soil
3.2. The Effects of Different Types of Grassland-Management Systems on the Chemical Properties of the Soil
4. Materials and Methods
4.1. Site Description
4.2. Field Sampling and Measurement of Soil Sample
4.3. Sampling and Measurement of Soil Physical Properties
4.4. Determination of Soil Chemical Soil Properties
4.5. Data Calculation
4.6. Statistical Analyses
5. Conclusions
Supplementary Materials
Author Contributions
Funding
Data Availability Statement
Acknowledgments
Conflicts of Interest
References
- Poyda, A.; Reinsch, T.; Struck, I.J.; Skinner, R.H.; Kluß, C.; Taube, F. Low assimilate partitioning to root biomass is associated with carbon losses at an intensively managed temperate grassland. Plant Soil 2020, 460, 31–50. [Google Scholar] [CrossRef]
- Leifeld, J.; Fuhrer, J. Long-term management effects on soil organic matter in two cold, high-elevation grasslands: Clues from fractionation and radiocarbon dating. Eur. J. Soil Sci. 2009, 60, 230–239. [Google Scholar] [CrossRef]
- Chen, L.; Baoyin, T.; Xia, F. Grassland management strategies influence soil C, N, and P sequestration through shifting plant community composition in a semi-arid grasslands of northern China. Ecol. Indic. 2022, 134, 108470. [Google Scholar] [CrossRef]
- Koncz, P.; Vadász-Besnyői, V.; Csathó, A.I.; Nagy, J.; Szerdahelyi, T.; Tóth, Z.; Pintér, K.; Fóti, S.; Papp, M.; Balogh, J.; et al. Carbon uptake changed but vegetation composition remained stable during transition from grazing to mowing grassland management. Agric. Ecosyst. Environ. 2020, 304, 107161. [Google Scholar] [CrossRef]
- Lal, R. Soil carbon sequestration to mitigate climate change. Geoderma 2004, 123, 1–22. [Google Scholar] [CrossRef]
- Phukubye, K.; Mutema, M.; Buthelezi, N.; Muchaonyerwa, P.; Cerri, C.; Chaplot, V. On the impact of grassland management on soil carbon stocks: A worldwide meta-analysis. Geoderma Reg. 2022, 28, e00479. [Google Scholar] [CrossRef]
- Abdalla, M.; Hastings, A.; Chadwick, D.R.; Jones, D.L.; Evans, C.D.; Jones, M.B.; Rees, R.M.; Smith, P. Critical review of the impacts of grazing intensity on soil organic carbon storage and other soil quality indicators in extensively managed grasslands. Agric. Ecosyst. Environ. 2018, 253, 62–81. [Google Scholar] [CrossRef]
- Chang, J.; Ciais, P.; Gasser, T.; Smith, P.; Herrero, M.; Havlik, P.; Obersteiner, M.; Guenet, B.; Goll, D.S.; Li, W.; et al. Climate warming from managed grasslands cancels the cooling effect of carbon sinks in sparsely grazed and natural grasslands. Nat. Commun. 2021, 12, 118. [Google Scholar] [CrossRef]
- Jones, M.B.; Donnelly, A. Carbon sequestration in temperate grassland ecosystems and the influence of management, climate and elevated CO2. New Phytol. 2004, 164, 423–439. [Google Scholar] [CrossRef]
- Wang, Z.-P.; Han, X.-G.; Chang, S.X.; Wang, B.; Yu, Q.; Hou, L.-Y.; Li, L.-H. Soil organic and inorganic carbon contents under various land uses across a transect of continental steppes in Inner Mongolia. Catena 2013, 109, 110–117. [Google Scholar] [CrossRef]
- Dumanski, J. Carbon Sequestration, Soil Conservation, and the Kyoto Protocol: Summary of Implications. Clim. Chang. 2004, 65, 255–261. [Google Scholar] [CrossRef]
- Franzluebbers, A.J. Soil organic carbon in managed pastures of the southeastern United States of America. In Grassland Carbon Sequestration: Management, Policy and Economics; Conant, M.A.R., Ed.; FAO: Rome, Italy, 2010; Volume 11-2010. [Google Scholar]
- Jafarian, Z.; Kavian, A. Effects of Land-Use Change on Soil Organic Carbon and Nitrogen. Commun. Soil Sci. Plant Anal. 2013, 44, 339–346. [Google Scholar] [CrossRef]
- Wu, G.-L.; Liu, Z.-H.; Zhang, L.; Hu, T.-M.; Chen, J.-M. Effects of Artificial-Grassland Establishment on Plant Community and Soil Properties in a Black-Soil-Type Degraded Grassland. Plant Soil 2010, 333, 469–479. [Google Scholar] [CrossRef]
- Poeplau, C. Grassland soil organic carbon stocks along management intensity and warming gradients. Grass Forage Sci. 2021, 76, 186–195. [Google Scholar] [CrossRef]
- Lettens, S.; Van Orshoven, J.; van Wesemael, B.; Muys, B. Soil organic and inorganic carbon contents of landscape units in Belgium derived using data from 1950 to 1970. Soil Use Manag. 2004, 20, 40–47. [Google Scholar] [CrossRef]
- Bengtsson, J.; Bullock, J.M.; Egoh, B.; Everson, C.; Everson, T.; O’Connor, T.; O’Farrell, P.J.; Smith, H.G.; Lindborg, R. Grasslands—More important for ecosystem services than you might think. Ecosphere 2019, 10, e02582. [Google Scholar] [CrossRef]
- Ward, S.E.; Smart, S.M.; Quirk, H.; Tallowin, J.R.; Mortimer, S.R.; Shiel, R.S.; Wilby, A.; Bardgett, R.D. Legacy effects of grassland management on soil carbon to depth. Glob. Chang. Biol. 2016, 22, 2929–2938. [Google Scholar] [CrossRef]
- Eurostat. Available online: https://ec.europa.eu/eurostat/data/database (accessed on 12 October 2023).
- Chang, J.; Ciais, P.; Viovy, N.; Soussana, J.F.; Klumpp, K.; Sultan, B. Future productivity and phenology changes in European grasslands for different warming levels: Implications for grassland management and carbon balance. Carbon Balance Manag. 2017, 12, 11. [Google Scholar] [CrossRef]
- Crème, A.; Rumpel, C.; Malone, S.L.; Saby, N.P.A.; Vaudour, E.; Decau, M.-L.; Chabbi, A. Monitoring Grassland Management Effects on Soil Organic Carbon—A Matter of Scale. Agronomy 2020, 10, 2016. [Google Scholar] [CrossRef]
- Wang, T.; Kang, F.; Cheng, X.; Han, H.; Ji, W. Soil organic carbon and total nitrogen stocks under different land uses in a hilly ecological restoration area of North China. Soil Tillage Res. 2016, 163, 176–184. [Google Scholar] [CrossRef]
- Conant, R.T.; Cerri, C.E.; Osborne, B.B.; Paustian, K. Grassland management impacts on soil carbon stocks: A new synthesis. Ecol. Appl. 2017, 27, 662–668. [Google Scholar] [CrossRef]
- Rivera, J.E.; Chará, J. CH4 and N2O Emissions From Cattle Excreta: A Review of Main Drivers and Mitigation Strategies in Grazing Systems. Front. Sustain. Food Syst. 2021, 5, 657936. [Google Scholar] [CrossRef]
- Clark, H.; Pinares-Patino, C.; De Klein, C. Methane and nitrous oxide emissions from grazed grasslands. In Grassland: A Global Resource; Wageningen Academic: Wageningen, The Netherlands, 2015; pp. 270–293. [Google Scholar]
- Li, Z.; Liu, C.; Dong, Y.; Chang, X.; Nie, X.; Liu, L.; Xiao, H.; Lu, Y.; Zeng, G. Response of soil organic carbon and nitrogen stocks to soil erosion and land use types in the Loess hilly–gully region of China. Soil Tillage Res. 2017, 166, 1–9. [Google Scholar] [CrossRef]
- Egan, G.; Crawley, M.J.; Fornara, D.A. Effects of long-term grassland management on the carbon and nitrogen pools of different soil aggregate fractions. Sci. Total Environ. 2018, 613, 810–819. [Google Scholar] [CrossRef] [PubMed]
- Tan, W.-F.; Zhang, R.; Cao, H.; Huang, C.-Q.; Yang, Q.-K.; Wang, M.-k.; Koopal, L.K. Soil inorganic carbon stock under different soil types and land uses on the Loess Plateau region of China. Catena 2014, 121, 22–30. [Google Scholar] [CrossRef]
- Xu, T.; Zhang, M.; Ding, S.; Liu, B.; Chang, Q.; Zhao, X.; Wang, Y.; Wang, J.; Wang, L. Grassland degradation with saline-alkaline reduces more soil inorganic carbon than soil organic carbon storage. Ecol. Indic. 2021, 131, 108194. [Google Scholar] [CrossRef]
- Chen, L.; Wang, K.; Baoyin, T. Effects of grazing and mowing on vertical distribution of soil nutrients and their stoichiometry (C: N: P) in a semi-arid grassland of North China. Catena 2021, 206, 105507. [Google Scholar] [CrossRef]
- Guidi, C.; Vesterdal, L.; Gianelle, D.; Rodeghiero, M. Changes in soil organic carbon and nitrogen following forest expansion on grassland in the Southern Alps. For. Ecol. Manag. 2014, 328, 103–116. [Google Scholar] [CrossRef]
- Gilmullina, A.; Rumpel, C.; Blagodatskaya, E.; Chabbi, A. Management of grasslands by mowing versus grazing—Impacts on soil organic matter quality and microbial functioning. Appl. Soil Ecol. 2020, 156, 103701. [Google Scholar] [CrossRef]
- Sanaullah, M.; Chabbi, A.; Lemaire, G.; Charrier, X.; Rumpel, C. How does plant leaf senescence of grassland species influence decomposition kinetics and litter compounds dynamics? Nutr. Cycl. Agroecosyst. 2009, 88, 159–171. [Google Scholar] [CrossRef]
- Senapati, N.; Chabbi, A.; Gastal, F.; Smith, P.; Mascher, N.; Loubet, B.; Cellier, P.; Naisse, C. Net carbon storage measured in a mowed and grazed temperate sown grassland shows potential for carbon sequestration under grazed system. Carbon Manag. 2014, 5, 131–144. [Google Scholar] [CrossRef]
- Tälle, M.; Deák, B.; Poschlod, P.; Valkó, O.; Westerberg, L.; Milberg, P. Grazing vs. mowing: A meta-analysis of biodiversity benefits for grassland management. Agric. Ecosyst. Environ. 2016, 222, 200–212. [Google Scholar] [CrossRef]
- Sonneveld, M.P.W.; Van Den Akker, J.J.H. Quantification of C and N stocks in grassland topsoils in a Dutch region dominated by dairy farming. J. Agric. Sci. 2010, 149, 63–71. [Google Scholar] [CrossRef]
- Nwaogu, C.; Okeke, O.J.; Fashae, O.; Nwankwoala, H. Soil organic carbon and total nitrogen stocks as affected by different land use in an Ultisol in Imo Watershed, southern Nigeria. Chem. Ecol. 2018, 34, 854–870. [Google Scholar] [CrossRef]
- Fynn, A.J.; Alvarez, P.; Brown, J.R.; George, M.R.; Kustin, C.; Laca, E.A.; Oldfield, J.T.; Schobr, T.; Neely Wong, C.P. Soil carbon sequestration in United States rangelands. In Grassland Carbon Sequestration: Management, Policy and Economics; Abberton, M., Conant, R., Batello, C., Eds.; FAO: Rome, Italy, 2010; Volume 11-2010. [Google Scholar]
- Reeder, J.D.; Schuman, G.E.; Morgan, J.A.; Lecain, D.R. Response of organic and inorganic carbon and nitrogen to long-term grazing of the shortgrass steppe. Environ. Manag. 2004, 33, 485–495. [Google Scholar] [CrossRef]
- Wang, L.; Xu, H.; Zhang, H.; Zhang, Y. Grazing and Mowing Affect the Carbon-to-Nitrogen Ratio of Plants by Changing the Soil Available Nitrogen Content and Soil Moisture on the Meadow Steppe, China. Plants 2022, 11, 286. [Google Scholar] [CrossRef] [PubMed]
- Wang, Z.; Guo, S.; Sun, Q.; Li, N.; Jiang, J.; Wang, R.; Zhang, Y.; Liu, Q.; Wu, D.; Li, R.; et al. Soil organic carbon sequestration potential of artificial and natural vegetation in the hilly regions of Loess Plateau. Ecol. Eng. 2015, 82, 547–554. [Google Scholar] [CrossRef]
- Hu, Y.-Y.; Wei, H.-W.; Zhang, Z.-W.; Hou, S.-L.; Yang, J.-J.; Wang, J.-F.; Lü, X.-T. Changes of plant community composition instead of soil nutrient status drive the legacy effects of historical nitrogen deposition on plant community N:P stoichiometry. Plant Soil 2020, 453, 503–513. [Google Scholar] [CrossRef]
- Batjes, N.H. Total carbon and nitrogen in the soils of the world. Eur. J. Soil Sci. 2014, 65, 10–21. [Google Scholar] [CrossRef]
- Soussana, J.-F.; Loiseau, P.; Vuichard, N.; Ceschia, E.; Balesdent, J.; Chevallier, T.; Arrouays, D. Carbon cycling and sequestration opportunities in temperate grasslands. Soil Use Manag. 2004, 20, 219–230. [Google Scholar] [CrossRef]
- Bardgett, R.D.; Keiller, S.; Cook, R.; Gilburn, A.S. Dynamic interactions between soil animals and microorganisms in upland grassland soils amended with sheep dung: A microcosm experiment. Soil Biol. Biochem. 1998, 30, 531–539. [Google Scholar] [CrossRef]
- Laliberté, E.; Shipley, B.; Norton, D.A.; Scott, D. Which plant traits determine abundance under long-term shifts in soil resource availability and grazing intensity? J. Ecol. 2012, 100, 662–677. [Google Scholar] [CrossRef]
- Zhu, Y.; Delgado-Baquerizo, M.; Shan, D.; Yang, X.; Eldridge, D.J. Grazing impacts on ecosystem functions exceed those from mowing. Plant Soil 2021, 464, 579–591. [Google Scholar] [CrossRef]
- Rousk, J.; Brookes Philip, C.; Bååth, E. Contrasting Soil pH Effects on Fungal and Bacterial Growth Suggest Functional Redundancy in Carbon Mineralization. Appl. Environ. Microbiol. 2009, 75, 1589–1596. [Google Scholar] [CrossRef] [PubMed]
- Liptzin, D.; Norris, C.E.; Cappellazzi, S.B.; Bean, G.M.; Cope, M.; Greub, K.L.H.; Rieke, E.L.; Tracy, P.W.; Aberle, E.; Ashworth, A.; et al. An evaluation of carbon indicators of soil health in long-term agricultural experiments. Soil Biol. Biochem. 2022, 172, 108708. [Google Scholar] [CrossRef]
- Pringle, M.J.; Allen, D.E.; Phelps, D.G.; Bray, S.G.; Orton, T.G.; Dalal, R.C. The effect of pasture utilization rate on stocks of soil organic carbon and total nitrogen in a semi-arid tropical grassland. Agric. Ecosyst. Environ. 2014, 195, 83–90. [Google Scholar] [CrossRef]
- Ankenbauer, K.J.; Loheide, S.P. The effects of soil organic matter on soil water retention and plant water use in a meadow of the Sierra Nevada, CA. Hydrol. Process. 2017, 31, 891–901. [Google Scholar] [CrossRef]
- Kemmitt, S.; Wright, D.; Goulding, K.; Jones, D. pH regulation of carbon and nitrogen dynamics in two agricultural soils. Soil Biol. Biochem. 2006, 38, 898–911. [Google Scholar] [CrossRef]
- Spohn, M.; Stendahl, J. Soil carbon and nitrogen contents in forest soils are related to soil texture in interaction with pH and metal cations. Geoderma 2024, 441, 116746. [Google Scholar] [CrossRef]
- Liu, Y.; Dang, Z.Q.; Tian, F.P.; Wang, D.; Wu, G.L. Soil Organic Carbon and Inorganic Carbon Accumulation Along a 30-year Grassland Restoration Chronosequence in Semi-arid Regions (China). Land Degrad. Dev. 2016, 28, 189–198. [Google Scholar] [CrossRef]
- Hewins, D.B.; Lyseng, M.P.; Schoderbek, D.F.; Alexander, M.; Willms, W.D.; Carlyle, C.N.; Chang, S.X.; Bork, E.W. Grazing and climate effects on soil organic carbon concentration and particle-size association in northern grasslands. Sci. Rep. 2018, 8, 1336. [Google Scholar] [CrossRef] [PubMed]
- Whitehead, D. Management of Grazed Landscapes to Increase Soil Carbon Stocks in Temperate, Dryland Grasslands. Front. Sustain. Food Syst. 2020, 4, 585913. [Google Scholar] [CrossRef]
- Grčman, H.; Turniški, R.; Suhadolc, M. Eutric Cambisols—Slovenia’s best agricultural soils. Geod. Vestn. 2023, 67, 297–324. [Google Scholar] [CrossRef]
- Blake, G.R. Particle Density. In Methods of Soil Analysis; American Society of Agronomy: Madison, WI, USA, 1965; pp. 371–373. [Google Scholar]
- ISO10694:1996; Soil Quality–Determination of Organic and Total Carbon after Dry Combustion. ISO: Berlin, Germany, 1996.
- ISO 13878:1998; Soil Quality–Determination of Total Nitrogen Content by Dry Combustion. ISO: Berlin, Germany, 1998.
- ISO 10390:2005; Soil Quality—Determination of pH. ISO: Geneva, Switzerland, 2005.
- Šinkovec Marjan, B.J.; Boštjan, M.; Helena, G.; Borut, V. Soil organic carbon stocks in agricultural land-uses of Slovenia—The multiannual project preliminary report. In New Challenges in Agronomy 2021; Čeh Barbara, D.P., Rok, M., Denis, S., Igor, Š., Eds.; Slovensko Agronomsko Društvo: Ljubljana, Slovenia, 2021; ISBN 978-961-94613-1-0. [Google Scholar]


| Soil Properties | Management System | Soil Depth |
|---|---|---|
| Physical | ||
| VWC | * | *** |
| POR | ns | *** |
| BD | ns | *** |
| CF | ns | ** |
| Chemical | ||
| SOC | ns | *** |
| SIC | ns | ns |
| STC | ns | *** |
| STN | ns | *** |
| C/N | ns | * |
| SOM | ns | *** |
| pH | ns | ns |
| Management System | Soil Depth | p-Value | ||
|---|---|---|---|---|
| 0–10 | 10–20 | 20–30 | ||
| VWC (%) | ||||
| Grazing | 47.49 ± 4.37 a | 40.43 ± 3.06 b | 36.37 ± 2.80 c | <0.001 |
| Combined | 41.99 ± 4.62 | 35.86 ± 3.32 | 35.88 ± 3.02 | 0.404 |
| Cutting | 43.87 ± 4.05 a | 37.83 ± 2.73 b | 35.41 ± 2.51 c | <0.001 |
| p-value | 0.104 | 0.203 | 0.681 | |
| POR (%) | ||||
| Grazing | 52.46 ± 2.59 a | 44.17 ± 2.76 b | 39.86 ± 2.17 c | <0.001 |
| Combined | 53.27 ± 3.05 a | 41.54 ± 3.08 b | 37.28 ± 2.57 c | <0.001 |
| Cutting | 53.40 ± 2.08 a | 42.40 ± 2.39 b | 39.06 ± 1.70 c | <0.001 |
| p-value | 0.151 | 0.626 | 0.670 | |
| BD (g cm−3) | ||||
| Grazing | 1.12 ± 0.05 Ac | 1.30 ± 0.05 b | 1.39 ± 0.05 a | <0.001 |
| Combined | 1.09 ± 0.06 ABc | 1.36 ± 0.06 b | 1.41 ± 0.05 a | <0.001 |
| Cutting | 1.01 ± 0.04 Bc | 1.34 ± 0.04 b | 1.41 ± 0.05 a | <0.001 |
| p-value | 0.039 | 0.549 | 0.894 | |
| CF (%) | ||||
| Grazing | 11.35 ± 1.16 | 10.82 ± 1.32 | 12.99 ± 2.22 | 0.527 |
| Combined | 9.45 ± 1.46 | 9.92 ± 1.46 | 12.96 ± 2.47 | 0.066 |
| Cutting | 9.00 ± 0.85 | 9.68 ± 1.13 | 11.14 ± 1.93 | 0.178 |
| p-value | 0.894 | 0.720 | 0.221 | |
| Management System | Soil Depth | p-Value | ||
|---|---|---|---|---|
| 0–10 | 10–20 | 20–30 | ||
| SOC (Mg ha−1) | ||||
| Grazing | 36.34 ± 1.55 a | 25.39 ± 2.34 b | 19.05 ± 3.40 c | <0.001 |
| Combined | 33.62 ± 1.99 a | 23.59 ± 2.58 b | 20.03 ± 3.65 c | <0.001 |
| Cutting | 32.10 ± 1.10 a | 25.76 ± 2.08 b | 20.49 ± 3.09 c | <0.001 |
| p-value | 0.073 | 0.727 | 0.687 | |
| SIC (Mg ha−1) | ||||
| Grazing | 2.00 ± 1.13 | 3.35 ± 1.68 | 4.10 ± 1.68 | 0.592 |
| Combined | 1.93 ± 1.46 | 2.66 ± 2.17 | 2.66 ± 2.17 | 0.951 |
| Cutting | 1.49 ± 0.80 | 2.16 ± 1.19 | 1.93 ± 1.18 | 0.895 |
| p-value | 0.920 | 0.780 | 0.487 | |
| STC (Mg ha−1) | ||||
| Grazing | 38.35 ± 1.73 a | 28.41 ± 2.89 b | 22.72 ± 7.27 c | <0.001 |
| Combined | 35.55 ± 2.23 a | 25.45 ± 3.24 b | 21.35 ± 2.86 c | <0.001 |
| Cutting | 33.59 ± 1.22 a | 27.59 ± 2.52 b | 22.25 ± 1.84 c | <0.001 |
| p-value | 0.104 | 0.593 | 0.859 | |
| STN (Mg ha−1) | ||||
| Grazing | 3.73 ± 0.21 Aa | 2.64 ± 0.26 b | 1.86 ± 0.26 c | <0.001 |
| Combined | 3.55 ± 0.25 Ba | 2.56 ± 0.30 b | 1.96 ± 0.30 c | <0.001 |
| Cutting | 3.21 ± 0.16 Ba | 2.65 ± 0.22 b | 2.02 ± 0.21 c | <0.001 |
| p-value | 0.039 | 0.952 | 0.766 | |
| C/N | ||||
| Grazing | 10.35 ± 0.51 b | 11.83 ± 1.03 b | 16.18 ± 2.05 Aa | 0.007 |
| Combined | 10.08 ± 0.66 | 10.38 ± 1.83 | 11.57 ± 2.64 AB | 0.815 |
| Cutting | 10.72 ± 0.37 | 10.99 ± 0.73 | 11.56 ± 1.45 B | 0.819 |
| p-value | 0.950 | 0.792 | 0.016 | |
| SOM (%) | ||||
| Grazing | 6.40 ± 0.43 a | 3.77 ± 0.44 b | 2.73 ± 0.40 c | <0.001 |
| Combined | 5.89 ± 0.52 a | 3.33 ± 0.49 b | 2.79 ± 0.46 c | <0.001 |
| Cutting | 6.12 ± 0.33 a | 3.71 ± 0.39 b | 2.84 ± 0.35 c | <0.001 |
| p-value | 0.560 | 0.679 | 0.938 | |
| pH | ||||
| Grazing | 6.49 ± 0.32 | 6.56 ± 0.32 | 6.67 ± 0.32 | 0.893 |
| Combined | 6.41 ± 0.34 | 6.53 ± 0.35 | 6.57 ± 0.35 | 0.950 |
| Cutting | 6.30 ± 0.28 | 6.35 ± 0.28 | 6.45 ± 0.27 | 0.869 |
| p-value | 0.716 | 0.607 | 0.639 | |
Disclaimer/Publisher’s Note: The statements, opinions and data contained in all publications are solely those of the individual author(s) and contributor(s) and not of MDPI and/or the editor(s). MDPI and/or the editor(s) disclaim responsibility for any injury to people or property resulting from any ideas, methods, instructions or products referred to in the content. |
© 2024 by the authors. Licensee MDPI, Basel, Switzerland. This article is an open access article distributed under the terms and conditions of the Creative Commons Attribution (CC BY) license (https://creativecommons.org/licenses/by/4.0/).
Share and Cite
Lisec, U.; Prevolnik Povše, M.; Gselman, A.; Kramberger, B. Sustainable Grassland-Management Systems and Their Effects on the Physicochemical Properties of Soil. Plants 2024, 13, 838. https://doi.org/10.3390/plants13060838
Lisec U, Prevolnik Povše M, Gselman A, Kramberger B. Sustainable Grassland-Management Systems and Their Effects on the Physicochemical Properties of Soil. Plants. 2024; 13(6):838. https://doi.org/10.3390/plants13060838
Chicago/Turabian StyleLisec, Urška, Maja Prevolnik Povše, Anastazija Gselman, and Branko Kramberger. 2024. "Sustainable Grassland-Management Systems and Their Effects on the Physicochemical Properties of Soil" Plants 13, no. 6: 838. https://doi.org/10.3390/plants13060838
APA StyleLisec, U., Prevolnik Povše, M., Gselman, A., & Kramberger, B. (2024). Sustainable Grassland-Management Systems and Their Effects on the Physicochemical Properties of Soil. Plants, 13(6), 838. https://doi.org/10.3390/plants13060838

