Abstract
Waste mushroom residues are often returned to fields as organic amendments. Here, we estimated the effects of the continuous applications of different spent mushroom substrates for 2 years on crop yields, soil nutrients, and heavy metals in paddy fields. The study comprised seven treatments: no fertilization (CK) and mineral NPK fertilizer (CF), as well as NPK fertilizer combined with Enoki mushroom residue (EMR50), Oyster mushroom residue (OMR50), Auricularia polytricha mushroom residue (APR50), Shiitake mushroom residue (SMR50), and Agaricus bisporus residue (ABR50). The grain yield was highest under the APR50 treatment. The short-term application of waste mushroom residue significantly increased SOC, TN, TP, and TK content relative to the CK treatment. The SOC, TP, and TK were highest under ABR50. Both total Cr and Cd contents were highest under CF treatment. The highest cumulative ecological risk was observed under OMR50 treatment. In addition, crop yield was positively correlated with SOC, TN, TP, and TP. Our results highlight that further research and innovation are needed to optimize the benefits and overcome the challenges of mushroom residue application.
1. Introduction
The Chengdu Plain is the main production region for wheat and rice in China, earning the moniker “TianFu Granary” due to its significant role in food production [1,2,3]. In the past few decades, grain production in the Chengdu Plain has increased significantly, mainly due to the investment in synthetic fertilizers [4,5,6]. Excessive and prolonged use of synthetic fertilizers, particularly nitrogen-based ones, can lead to various environmental issues, such as soil acidification, water pollution, and nitrous oxide emissions [7,8,9,10]. To address these concerns, China’s Ministry of Agriculture and Rural Affairs introduced the “zero growth of chemical fertilizers by 2020” policy [11,12,13]. Government initiatives highlight the importance of enhancing fertilizer management practices in crop production.
Waste mushroom residue emerges as a byproduct within the context of mushroom production [14,15]. Mushroom cultivation frequently leads to the production of a substantial amount of waste mushroom residue. This is mainly attributed to the relatively low utilization rate of the initial substrate, such as crop straw, cottonseed shell, and sawdust, which is currently only at 40.0%. This inefficiency leads to the production of approximately 5.0 kg of mushroom residue for every 1.0 kg of mushrooms cultivated [14]. Unfortunately, waste mushroom residue is frequently disposed of through unregulated piling or burning practices, resulting in the wastage of valuable lignocellulosic resources and occupying significant land areas [15]. Furthermore, these practices contribute to severe environmental issues such as mosquito breeding, the release of odorous gases, and groundwater pollution [16,17]. Sichuan is a major province in the production and consumption of mushroom in China. Statistics show that the production of waste mushroom residue in Sichuan Province reached 2.3 × 108 tons in 2020.
Returning waste mushroom residues to fields is considered an environmentally friendly agronomic practice that is suitable for reducing agricultural pollution. Meanwhile, waste mushroom residue is rich in macro- and micronutrients, making it a viable option for organic fertilizer [18,19]. Previous studies have found that the appropriate combination of mineral fertilizers and waste mushroom residues is beneficial to improving and maintaining soil quality and plant growth [20,21,22]. As an important producer of mushrooms in China, Sichuan mainly produces Enoki mushroom, Oyster mushroom, Auricularia polytricha mushroom, Shiitake mushroom, and Agaricus bisporus [23]. Yet, the composition of different waste mushroom residues varies depending on the base substrate and its supplementation. Therefore, the effects of different types of waste mushroom residues application on crop yield and soil fertility still require further research.
Assessing the potential risk of heavy metal accumulation in soils is critical for human health, especially considering the promotion of waste mushroom residues as a vital source of nutrients for cropland [24,25,26]. Waste mushroom residues often contain non-essential, non-degradable heavy metals that have the potential to accumulate in soil when mushroom residues are applied [27]. Previous studies have shown that the prolonged utilization of mushroom residues can result in an increase in soil heavy metal content [23,28,29,30]. Simultaneously, some studies have observed the accumulation of heavy metal in soil due to the prolonged use of synthetic fertilizers [31,32,33,34]. The pollution status of cropland is an indicator of human health as it has a significant impact on food quality. Therefore, it is important to estimate the heavy metal pollution status of agricultural land.
In this study, we evaluated the effects of the short-term application of different waste mushroom residues on rice–wheat rotation soil in the Chengdu Plain. The aims of our study were to estimate how crop yield, soil fertility, and heavy metal contents are influenced by waste mushroom residue amendment.
2. Results
2.1. Crop Yield and Soil Fertility
Short-term fertilization significantly affected crop yield and soil nutrient contents (p < 0.05) (Table 1 and Figure 1). The joint application of mushroom residue and NPK fertilizer resulted in a significant enhancement of crop yield, as well as increases in soil organic carbon (SOC), total nitrogen (TN), and total phosphorus (TP) compared to the treatment with CF treatment. In comparison to the CK treatment, the increases in grain yield under CF, EMR50, OMR50, APR50, SMR50, and ABR50 were by 49.1%, 66.1%, 50.0%, 84.4%, 82.2%, and 78.0%, respectively. Compared to the CK treatment, the increases in SOC under CF, EMR50, OMR50, APR50, SMR50, and ABR50 were by 4.7%, 17.0%, 27.1%, 24.0%, 21.1%, and 31.0%, respectively. The CF, EMR50, OMR50, APR50, SMR50, and ABR50 treatments increased TN content by 34.0%, 99.0%, 112.0%, 101.5%, 111.3%, and 88.7%, respectively, TP content was increased by 107.2%, 190.8%, 164.4%, 146.7%, 171.0%, and 232.2%, respectively, and TK content was increased by 50.6%, 54.2%, 45.2%, 46.4%, 56.9%, and 73.8%, respectively, relative to the CK treatment.
Table 1.
Effect of different waste mushroom residue on grain yield.
Figure 1.
Effect of different waste mushroom residue application on soil fertility. (a) Effect of different waste mushroom residue application on SOC. (b) Effect of different waste mushroom residue application on SOC. (c) Effect of different waste mushroom residue application on TP. (d) Effect of different waste mushroom residue application on TK. SOC, TN, TP, and TK indicate soil organic carbon content, total nitrogen, total phosphorus, and total potassium, respectively. CK, CF, EMR50, OMR50, APR50, SMR50, and ABR50 indicate no fertilization, mineral NPK fertilizers, and NPK fertilizer combined with Enoki mushroom residue, Oyster mushroom residue, Auricularia polytricha mushroom residue, Shiitake mushroom residue, and Agaricus bisporus residue. Different lowercase letters indicate significant differences among treatments (p < 0.05).
2.2. Heavy Metals
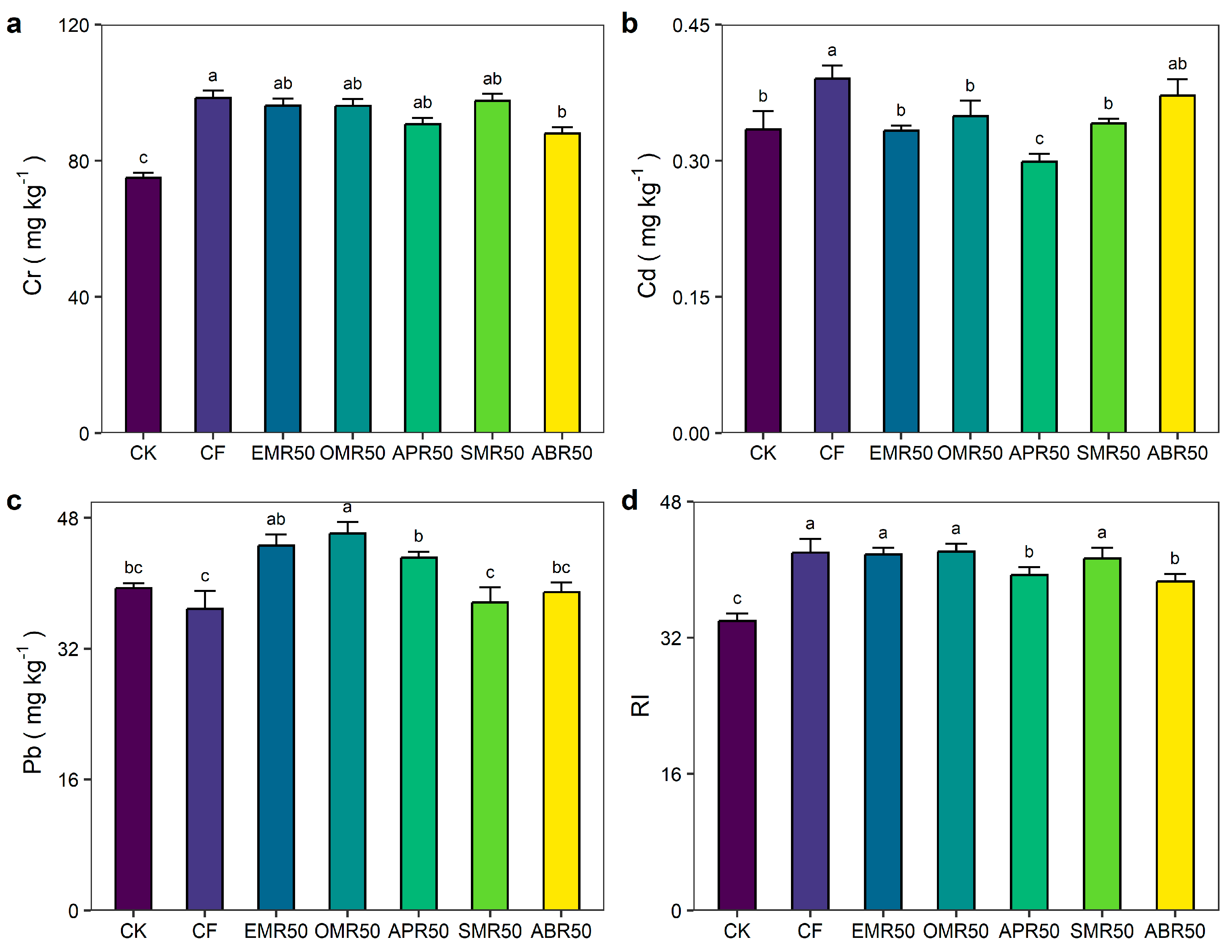
Short-term fertilization significantly affected the heavy metal accumulation in soil (Figure 2). Compared to CK treatment, CF, EMR50, OMR50, APR50, SMR50, and ABR50 treatments increased total Cr content by 31.4%, 28.4%, 28.3%, 21.1%, 30.2%, and 17.5%, respectively. Compared to CK treatment, CF, OMR50, SMR50, and ABR50 treatments increased total Cd content by 11.2%, 4.4%, 2.0%, and 11.2%, but EMR50 and APR50 treatments decreased total Cd content by −0.3% and −10.6%, respectively. The EMR50, OMR50, and APR50 treatments increased total Pb content by 13.2%, 17.0%, and 9.5%, and the CF, SMR50, and ABR50 treatments decreased total Pb content by −6.5%, −4.5%, and −1.2%, respectively, relative to CK treatment. Compared to the CK treatment, CF, EMR50, OMR50, APR50, SMR50, and ABR50 treatments increased the RI index by 23.7%, 23.1%, 24.1%, 16.0%, 21.7%, and 13.8%, respectively.
Figure 2.
Effect of mushroom residue application on heavy metal contents and the cumulative risk. (a) Effect of different waste mushroom residue application on Cr. (b) Effect of different waste mushroom residue application on Cd. (c) Effect of different waste mushroom residue application on Pb. (d) Effect of different waste mushroom residue application on RI index. Cr, Cd, Pb, and RI indicate chromium, cadmium, lead, and potential ecological risk. CK, CF, EMR50, OMR50, APR50 SMR50, and ABR50 indicate no fertilization, mineral NPK fertilizers, and NPK fertilizer combined with Enoki mushroom residue, Oyster mushroom residue, Auricularia polytricha mushroom residue, Shiitake mushroom residue, and Agaricus bisporus residue. Different lowercase letters indicate significant differences among treatments (p < 0.05).
2.3. Relationships between Soil Nutrients and Crop Yield and Heavy Metals
Crop yield was positively correlated with SOC (r = 0.61, p < 0.01), TN (r = 0.47, p < 0.05), and TP (r = 0.58, p < 0.01). SOC was positively correlated with TN (r = 0.60, p < 0.01), TP (r = 0.76, p < 0.001), and TK (r = 0.57, p < 0.01). Both Cr and Pb were significantly correlated to TN (r = 0.48, p < 0.05) (Figure 3).
Figure 3.
Relationships between soil nutrients and crop yield and heavy metals. The black circles indicate the observed data. The red line indicates the fitted line. * p < 0.05, ** p < 0.01, *** p < 0.001. The red square represents a strong tendency towards statistical significance (p = 0.051). Yield, TN, TP, TK, SOC, Cr, Cd, and Pb indicate crop yield, total nitrogen, total phosphorus, total potassium, soil organic carbon, chromium, cadmium, and lead, respectively.
3. Discussion
Globally, the practice of fertilization, particularly the use of organic fertilizers such as mushroom residue in field crops, has become widespread. This is attributed to the presence of essential macro- and micronutrients in mushroom residue. In China, with significant advancements in the mushroom industry, the application of mushroom residue to field crops as a fertilizer source has become a standard practice. Furthermore, at the national level in China, there is encouragement for the application of mushroom residue to agricultural land. Nevertheless, the prolonged use of waste mushroom residue may pose environmental threats owing to the presence of non-essential heavy metals in waste mushroom residue.
3.1. Response of Crop Yield and Soil Nutrients to Fertilization
The results of this study showed that short-term fertilization with different treatments had significant effects on crop yield and soil nutrient contents. The combined application of mushroom residue and NPK fertilizer (EMR50, OMR50, APR50, SMR50, and ABR50) outperformed the sole application of NPK fertilizer (CF) in terms of increasing crop yield, SOC, TN, and TP. This indicates that mushroom residue can be used as an effective organic amendment to enhance the fertility and productivity of agricultural soils.
Meanwhile, the findings of this study showed that the application of waste mushroom residue significantly increased crop yield and soil physicochemical properties, compared to no fertilization. These results are in agreement with previous studies that reported the beneficial effects of mushroom residue application on crop performance and soil health. For instance, Medina et al. (2012) showed that waste mushroom residue application can enhance soil nutrients and enzyme activities [35]. Kwiatkowski et al. (2021) found that waste mushroom residue application can improve yield quality [36]. Ma et al. (2021) observed that the application of mushroom residue can improve soil nutrients, enhance leaf nutrients, and suppress weeds [37]. Paredes et al. (2016) found that the application of waste mushroom residue can improve soil fertility and crop yield [38]. Chen et al. (2022) reported that the substitution of chemical fertilizer with waste mushroom residue can increase soil nutrients, such as SOM, TN, AN, TP, AP, TK, and AK [23]. The increase in crop yield under the combined application of mushroom residue and NPK fertilizer could be attributed to several factors. First, waste mushroom residue serves as a valuable source of organic matter and essential nutrients, especially nitrogen, phosphorus, and potassium, crucial for plant growth and development [39]. Second, the inclusion of waste mushroom residue in soil can enhance its physical and chemical properties, including water holding capacity, pH, and electrical conductivity, thereby improving soil fertility and productivity [29,40]. Third, waste mushroom residue has the capability to stimulate microbial activity and diversity in soil. This stimulation promotes the decomposition of organic matter and nutrient release and acts as deterrent to soil-borne pathogens and pests [41]. The observed positive correlations between crop yield and SOC, TN, and TP suggest that these soil parameters are crucial indicators of soil quality and plant nutrition. The increases in SOC, TN, TP, and TK under the mushroom residue treatments also imply that mushroom residue can improve the soil carbon and nitrogen cycles and provide sufficient phosphorus and potassium for crop growth.
However, there are some limitations and challenges in the application of mushroom residue as an organic fertilizer. First, the quality and composition of mushroom residue may vary depending on the mushroom species, substrate materials, cultivation conditions, and harvesting methods [42]. It is necessary to monitor and adjust the mushroom residue characteristics to ensure its suitability and safety for different crops and soils. Second, the optimal rate and frequency of mushroom residue application may depend on various factors, such as crop type, soil type, climate, and management practices [23]. Third, the transportation and storage of mushroom residue may pose some environmental and logistical problems, such as greenhouse gas emissions, odor, and contamination. Therefore, it is essential to develop and adopt efficient and sustainable technologies and strategies to process and utilize mushroom residue, such as vermicomposting, pelletizing, and biogas production [43].
3.2. Response of Heavy Metals to Organic and Chemical-Organic Fertilization
Our results indicated that short-term fertilization with different treatments had significant effects on heavy metal accumulation in soil. The application of mushroom residue and NPK fertilizer enhanced the total Cr content, while the application of NPK fertilizer alone (CF) increased the total Cd content, compared to the no fertilization treatment (CK). The effects of mushroom residue and NPK fertilizer on the total Pb content varied depending on the type of mushroom residue. The application of mushroom residue and NPK fertilizer also increased the RI index, which is an indicator of the potential ecological risk of heavy metals in soil. These results indicate that mushroom residue can be a source of heavy metals in soil, and that its application should be carefully monitored and controlled to avoid excessive accumulation and environmental pollution.
Our results showed that mushroom residue application significantly increased the total contents of Cr, Cd, and Pb in soil, compared to no fertilization. This result is in line with previous studies that reported the accumulation of heavy metals in soil after mushroom residue application. Mushroom residue contains various heavy metals, such as Cr, Cd, and Pb, which are derived from the substrate materials, cultivation conditions, and the harvesting methods of mushroom production [44]. Moreover, mushroom residue can affect the availability and mobility of heavy metals in soil by altering the soil pH, organic matter, cation exchange capacity, and microbial activity [29]. Notably, mushroom residue can pose a risk of heavy metal contamination in the soil–plant system, which may affect food safety and human health [28]. Therefore, it is necessary to evaluate and regulate the quality and quantity of mushroom residue applied to the soil, and to adopt appropriate management practices to minimize the adverse effects of heavy metals. For example, it is important to select mushroom residue with low heavy metal content, to mix mushroom residue with other organic amendments, to apply mushroom residue at a suitable rate and frequency, and to monitor the heavy metal levels in the soil and crops.
Overall, this study provides empirical evidence for the beneficial use of waste mushroom residue in soil amendment to improve soil quality and enhance crop yield. Meanwhile, mushroom residue can be a source of heavy metals in soil, and its application can affect heavy metal accumulation and ecological risk in soil. Further research and innovation are needed to optimize the benefits and overcome the challenges of mushroom residue application [45,46,47].
4. Materials and Methods
4.1. Experiment Aera
A field experiment on a rice–wheat cropping system was established in 2020 at the Modern Agriculture Base of Sichuan Agricultural University, Qiquan village, Chongzhou (30°33′27″ N, 103°38′34″ E), in the west of the Chengdu Basin, China. The field experiment site has a subtropical humid monsoon climate, characterized by an average annual precipitation of 1012 mm and a temperature of 15.9 °C. The soil texture in the experimental field is clay loam. Some physio-chemical characteristics of the top soil depth (0–20 cm) at the start of the experimental were as follows: soil pH, 6.6; bulk density, 1.22 g cm−3; SOC (soil organic carbon content), 18.7 g kg−1; total nitrogen content, 2.0 g kg−1; total phosphorus content, 1.0 g kg−1; total potassium content, 8.7 g kg−1; total Pb content, 40.5 mg kg−1; total Cd content, 0.24 mg kg−1; total Cr content, 101.3 mg kg−1.
4.2. Experimental Design
The experiments were conducted using a completely randomized block design, with each fertilization treatment replicated three times. There was a 1.5 m wide buffer zone between plots, and the plot size was 5 × 4 m. Wheat row spacing was 20 cm, and rice row spacing was 40 cm. The following seven treatments were established: CK, no fertilizer; CF, chemical fertilizer comprising 330 kg ha−1 N, 165 kg ha−1 P2O5, 165 kg ha−1 K2O, representing the high-yielding fertilization regime used by the local smallholder farmer; EMR50, where the Enoki mushroom residues provided 50% N and chemical fertilizer provided 50% N; OMR50, where the Oyster mushroom residues provided 50% N and chemical fertilizer provided 50% N; APR50, where the Auricularia polytricha mushroom residues provided 50% N and chemical fertilizer provided 50% N; SMR50, where the Shiitake mushroom residues provided 50% N and chemical fertilizer provided 50% N; and ABR50, where the Agaricus bisporus residues provided 50% N and chemical fertilizer provided 50% N (Figure 4). The total amount of fertilizer N input in each mushroom residue application treatment was equal to the CF treatment. Further details regarding the basal information and application rates of different waste mushroom residues are provided in Table 2. The waste mushroom residue was sourced from edible mushroom cultivation institutions in the Chengdu Plain. For rice cultivation, 40% of the N fertilizer was applied as basal fertilizer, 40% at the tillering stage, and 20% at the booting stage. For wheat cultivation, 50% of the N fertilizer was applied as basal fertilizer, 25% at the seedling stage, and 25% at the jointing stage. P and K fertilizers and fresh waste mushroom residue were applied annually before plowing as basal fertilizers. All basal fertilizers and mushroom residue were evenly spread on the soil surface by hand and immediately plowed into the plow layer. The plowing depth was 20 cm, first using a plow and then a harrow. Fertilized plots and unfertilized plots were uniformly plowed. All agronomic management practices, expect fertilization, were consistent across all treatments. The wheat and rice were harvested at full maturity.
Figure 4.
Schematic diagram of field fertilization management.
Table 2.
The basic information and application ratio of different mushroom residue.
4.3. Soil Sampling and Analysis
The soil samples (in 0–20 cm) were randomly collected from seven different treatments in each plot following crop harvest. Composite soil samples were stored in sterilized ziplocked bags and transported to the laboratory. Plant roots and organic debris were removed prior to analysis. The fresh soil samples were gently fragmented along natural break points and sieved (<2 mm), while forceps were used to eliminate plant roots and organic debris. Before analysis, the soil was air dried, ground, and sieved to 0.25 mm. Soil organic carbon content was determined following the K2Cr2O7 oxidation method. Soil total nitrogen (N), phosphorus (P), and potassium (K) contents were determined following the Carter and Gregorich method [48]. For the extraction of the total cadmium (Cd), chromium (Cr), and lead (Pb) contents in soil, samples (<0.15 mm) were digested by using a mixture of HNO3–HCl (3:1). An atomic absorption spectrophotometer (FAASZ-5000, Hitachi, Tokyo, Japan) was utilized to analyze the concentrations of Cr, Cd, and Pb. The determination of heavy metals in waste mushroom residue involved using an extraction solution of concentrated acids HNO3 and HClO4 [32].
Potential ecological risk indicates the sensitivity of a biological community to pollutants and elucidates the level of ecological risk attributed to heavy metals. The potential ecological risk associated with the cumulative ecological risk (RI) was determined through the following estimation:
where represents the concentration of an individual heavy metal in sample and is concentration of heavy metal in reference soil (national background value). The national background values for Cr, Cd, Pb, and Zn were 90 mg kg−1, 0.2 mg kg−1, 35 mg kg−1, and 10 mg kg−1, respectively [49]. denotes the biological toxicity of each metal (i); for instance, Ti values for Cd, Cr, Pb, and Zn were 30, 2, 5, and 1, respectively [50]. The sites were classified into four categories based on the RI value: RI < 150 indicating low ecological risk; 150 < RI < 300 indicating moderate ecological risk; 300 < RI < 600 indicating considerable ecological risk; and RI > 600 indicating very high ecological risk.
4.4. Data Analysis and Statistics
Statistical analyses were conducted using the SPSS 20.0 software package for Windows (SPSS Inc., Chicago, IL, USA). Prior to analysis of variance (ANOVA), data normality was assessed using the Kolmogorov–Smirnov test. In cases where normality needed improvement, the data were ln transformed. Significant differences among treatments were evaluated through one-way ANOVA, followed by the Tukey test for multiple comparisons at a significance level of p < 0.05.
5. Conclusions
Our study explored the impact of short-term fertilization with various treatments on crop yield, soil nutrient contents, and soil heavy metal accumulation. The findings revealed that the combined application of mushroom residue and NPK fertilizer led to a significant increase in crop yield and soil nutrient contents, compared to the sole application of NPK fertilizer or no fertilization. However, it was observed that the application of mushroom residue also enhanced the total contents and potential ecological risk of heavy metals in soil, particularly Cr and Cd. Our findings underscore the potential of mushroom residue as a valuable organic fertilizer to enhance soil fertility and productivity in agriculture. However, it emphasizes the importance of careful monitoring and control of mushroom residue application to prevent excessive accumulation and environmental pollution of heavy metals. This research contributes to the advancement of a circular economy in the mushroom sector and plays a role in safeguarding the soil environment amid global climate change and food security concerns.
Author Contributions
Conceptualization, software, data collection, data analysis, writing—original draft: Q.T.; writing—review and editing: W.L., H.H. and Z.P.; supervision, funding acquisition, validation, project administration, writing—review and editing: L.D. All authors have read and agreed to the published version of the manuscript.
Funding
This research was funded by the Sichuan Provincial Department of Science and Technology Achievement Transformation Project (2022NZZJ0033).
Data Availability Statement
Original data may be provided upon request.
Acknowledgments
We thank Assistant Researcher Xiangyang Shu of Sichuan Normal University for his help and guidance. Meanwhile, we appreciate the anonymous reviewers for their comments and suggestions to improve the quality of our paper for publication.
Conflicts of Interest
The authors declare no conflicts of interest.
References
- Tan, F.; Hou, Y.; Huang, X.; Jia, J.; Yang, H.; Luo, P. Temporal and Spatial Arrangement of Wheat Sowing Date: A Revolutionary Strategy to Accomplish Tianfu Granary. Front. Plant Sci. 2023, 14, 1240417. [Google Scholar] [CrossRef]
- Shao, Z.; Chen, C.; Liu, Y.; Cao, J.; Liao, G.; Lin, Z. Impact of Land Use Change on Carbon Storage Based on FLUS-InVEST Model: A Case Study of Chengdu–Chongqing Urban Agglomeration, China. Land 2023, 12, 1531. [Google Scholar] [CrossRef]
- Zhang, D.; Dong, H. Understanding Arable Land Change Patterns and Driving Forces in Major Grain-Producing Areas: A Case Study of Sichuan Province Using the PLUS Model. Land 2023, 12, 1443. [Google Scholar] [CrossRef]
- Zheng, J.; Chi, Z.; Jiang, X.; Tang, Y.; Zhang, H. Experiences and Research Perspectives on Sustainable Development of Rice-Wheat Cropping Systems in the Chengdu Plain, China. Agric. Sci. China 2010, 9, 1317–1325. [Google Scholar] [CrossRef]
- Wang, Y.; Liang, B.; Bao, H.; Chen, Q.; Cao, Y.; He, Y.; Li, L. Potential of Crop Straw Incorporation for Replacing Chemical Fertilizer and Reducing Nutrient Loss in Sichuan Province, China. Environ. Pollut. 2023, 320, 121034. [Google Scholar] [CrossRef] [PubMed]
- Li, Q.; Li, A.; Yu, X.; Dai, T.; Peng, Y.; Yuan, D.; Zhao, B.; Tao, Q.; Wang, C.; Li, B.; et al. Soil Acidification of the Soil Profile across Chengdu Plain of China from the 1980s to 2010s. Sci. Total Environ. 2020, 698, 134320. [Google Scholar] [CrossRef] [PubMed]
- Shu, X.; He, J.; Zhou, Z.; Xia, L.; Hu, Y.; Zhang, Y.; Zhang, Y.; Luo, Y.; Chu, H.; Liu, W.; et al. Organic Amendments Enhance Soil Microbial Diversity, Microbial Functionality and Crop Yields: A Meta-Analysis. Sci. Total Environ. 2022, 829, 154627. [Google Scholar] [CrossRef] [PubMed]
- Xia, L.; Lam, S.K.; Chen, D.; Wang, J.; Tang, Q.; Yan, X. Can Knowledge-based N Management Produce More Staple Grain with Lower Greenhouse Gas Emission and Reactive Nitrogen Pollution? A Meta-analysis. Glob. Chang. Biol. 2017, 23, 1917–1925. [Google Scholar] [CrossRef] [PubMed]
- Smith, L.E.D.; Siciliano, G. A Comprehensive Review of Constraints to Improved Management of Fertilizers in China and Mitigation of Diffuse Water Pollution from Agriculture. Agric. Ecosyst. Environ. 2015, 209, 15–25. [Google Scholar] [CrossRef]
- Liu, L.; Zheng, X.; Wei, X.; Kai, Z.; Xu, Y. Excessive Application of Chemical Fertilizer and Organophosphorus Pesticides Induced Total Phosphorus Loss from Planting Causing Surface Water Eutrophication. Sci. Rep. 2021, 11, 23015. [Google Scholar] [CrossRef] [PubMed]
- Liu, T.; Wu, G. Does Agricultural Cooperative Membership Help Reduce the Overuse of Chemical Fertilizers and Pesticides? Evidence from Rural China. Environ. Sci. Pollut. Res. 2022, 29, 7972–7983. [Google Scholar] [CrossRef] [PubMed]
- He, R.; Shao, C.; Shi, R.; Zhang, Z.; Zhao, R. Development Trend and Driving Factors of Agricultural Chemical Fertilizer Efficiency in China. Sustainability 2020, 12, 4607. [Google Scholar] [CrossRef]
- Zhuang, M.; Zhang, J.; Kong, Z.; Fleming, R.M.; Zhang, C.; Zhang, Z. Potential Environmental Benefits of Substituting Nitrogen and Phosphorus Fertilizer with Usable Crop Straw in China during 2000–2017. J. Clean. Prod. 2020, 267, 122125. [Google Scholar] [CrossRef]
- Gao, Y.; Wu, Z.; Li, W.; Sun, H.; Chai, Y.; Li, T.; Liu, C.; Gong, X.; Liang, Y.; Qin, P. Expanding the Valorization of Waste Mushroom Substrates in Agricultural Production: Progress and Challenges. Environ. Sci. Pollut. Res. 2023, 30, 2355–2373. [Google Scholar] [CrossRef] [PubMed]
- Mohd Hanafi, F.H.; Rezania, S.; Mat Taib, S.; Md Din, M.F.; Yamauchi, M.; Sakamoto, M.; Hara, H.; Park, J.; Ebrahimi, S.S. Environmentally Sustainable Applications of Agro-Based Spent Mushroom Substrate (SMS): An Overview. J. Mater. Cycles Waste Manag. 2018, 20, 1383–1396. [Google Scholar] [CrossRef]
- Leong, Y.K.; Ma, T.-W.; Chang, J.-S.; Yang, F.-C. Recent Advances and Future Directions on the Valorization of Spent Mushroom Substrate (SMS): A Review. Bioresour. Technol. 2022, 344, 126157. [Google Scholar] [CrossRef]
- Baptista, F.; Almeida, M.; Paié-Ribeiro, J.; Barros, A.N.; Rodrigues, M. Unlocking the Potential of Spent Mushroom Substrate (SMS) for Enhanced Agricultural Sustainability: From Environmental Benefits to Poultry Nutrition. Life 2023, 13, 1948. [Google Scholar] [CrossRef]
- Paula, F.S.; Tatti, E.; Abram, F.; Wilson, J.; O’Flaherty, V. Stabilisation of Spent Mushroom Substrate for Application as a Plant Growth-Promoting Organic Amendment. J. Environ. Manag. 2017, 196, 476–486. [Google Scholar] [CrossRef]
- Huang, C.; Han, X.; Luo, Q.; Nie, Y.; Kang, M.; Chen, Y.; Tang, M.; Fu, Y.; Li, X.; Chen, Y. Agro-Based Spent Mushroom Compost Substrates Improve Soil Properties and Microbial Diversity in Greenhouse Tomatoes. Agronomy 2023, 13, 2291. [Google Scholar] [CrossRef]
- Alves, L.D.S.; Caitano, C.E.C.; Ferrari, S.; Vieira Júnior, W.G.; Heinrichs, R.; De Almeida Moreira, B.R.; Pardo-Giménez, A.; Zied, D.C. Application of Spent Sun Mushroom Substrate in Substitution of Synthetic Fertilizers at Maize Topdressing. Agronomy 2022, 12, 2884. [Google Scholar] [CrossRef]
- Li, F.; Kong, Q.; Zhang, Q.; Wang, H.; Wang, L.; Luo, T. Spent Mushroom Substrates Affect Soil Humus Composition, Microbial Biomass and Functional Diversity in Paddy Fields. Appl. Soil Ecol. 2020, 149, 103489. [Google Scholar] [CrossRef]
- Herrero-Hernández, E.; Andrades, M.S.; Villalba Eguren, G.; Sánchez-Martín, M.J.; Rodríguez-Cruz, M.S.; Marín-Benito, J.M. Organic Amendment for the Recovery of Vineyard Soils: Effects of a Single Application on Soil Properties over Two Years. Processes 2022, 10, 317. [Google Scholar] [CrossRef]
- Chen, L.; Zhou, W.; Luo, L.; Li, Y.; Chen, Z.; Gu, Y.; Chen, Q.; Deng, O.; Xu, X.; Lan, T.; et al. Short-Term Responses of Soil Nutrients, Heavy Metals and Microbial Community to Partial Substitution of Chemical Fertilizer with Spent Mushroom Substrates (SMS). Sci. Total Environ. 2022, 844, 157064. [Google Scholar] [CrossRef] [PubMed]
- Wu, Y.; Li, X.; Yu, L.; Wang, T.; Wang, J.; Liu, T. Review of Soil Heavy Metal Pollution in China: Spatial Distribution, Primary Sources, and Remediation Alternatives. Resour. Conserv. Recycl. 2022, 181, 106261. [Google Scholar] [CrossRef]
- Zwolak, A.; Sarzyńska, M.; Szpyrka, E.; Stawarczyk, K. Sources of Soil Pollution by Heavy Metals and Their Accumulation in Vegetables: A Review. Water Air Soil Pollut. 2019, 230, 164. [Google Scholar] [CrossRef]
- Hu, B.; Shao, S.; Ni, H.; Fu, Z.; Hu, L.; Zhou, Y.; Min, X.; She, S.; Chen, S.; Huang, M.; et al. Current Status, Spatial Features, Health Risks, and Potential Driving Factors of Soil Heavy Metal Pollution in China at Province Level. Environ. Pollut. 2020, 266, 114961. [Google Scholar] [CrossRef]
- Wen, M.; Ma, Z.; Gingerich, D.B.; Zhao, X.; Zhao, D. Heavy Metals in Agricultural Soil in China: A Systematic Review and Meta-Analysis. Eco-Environ. Health 2022, 1, 219–228. [Google Scholar] [CrossRef]
- Li, C.; Lan, W.; Jin, Z.; Lu, S.; Du, J.; Wang, X.; Chen, Y.; Hu, X. Risk of Heavy Metal Contamination in Vegetables Fertilized with Mushroom Residues and Swine Manure. Sustainability 2023, 15, 10984. [Google Scholar] [CrossRef]
- Wei, Y.; Jin, Z.; Zhang, M.; Li, Y.; Huang, S.; Liu, X.; Jin, Y.; Wang, H.; Qu, J. Impact of Spent Mushroom Substrate on Cd Immobilization and Soil Property. Environ. Sci. Pollut. Res. 2020, 27, 3007–3022. [Google Scholar] [CrossRef]
- Yu, H.; Liu, P.; Shan, W.; Teng, Y.; Rao, D.; Zou, L. Remediation Potential of Spent Mushroom Substrate on Cd Pollution in a Paddy Soil. Environ. Sci. Pollut. Res. 2021, 28, 36850–36860. [Google Scholar] [CrossRef]
- Salem, M.A.; Bedade, D.K.; Al-Ethawi, L.; Al-waleed, S.M. Assessment of Physiochemical Properties and Concentration of Heavy Metals in Agricultural Soils Fertilized with Chemical Fertilizers. Heliyon 2020, 6, e05224. [Google Scholar] [CrossRef]
- Chen, X.-X.; Liu, Y.-M.; Zhao, Q.-Y.; Cao, W.-Q.; Chen, X.-P.; Zou, C.-Q. Health Risk Assessment Associated with Heavy Metal Accumulation in Wheat after Long-Term Phosphorus Fertilizer Application. Environ. Pollut. 2020, 262, 114348. [Google Scholar] [CrossRef]
- Wei, B.; Yu, J.; Cao, Z.; Meng, M.; Yang, L.; Chen, Q. The Availability and Accumulation of Heavy Metals in Greenhouse Soils Associated with Intensive Fertilizer Application. Int. J. Environ. Res. Public Health 2020, 17, 5359. [Google Scholar] [CrossRef] [PubMed]
- Shi, T.; Ma, J.; Wu, X.; Ju, T.; Lin, X.; Zhang, Y.; Li, X.; Gong, Y.; Hou, H.; Zhao, L.; et al. Inventories of Heavy Metal Inputs and Outputs to and from Agricultural Soils: A Review. Ecotox. Environ. Saf. 2018, 164, 118–124. [Google Scholar] [CrossRef] [PubMed]
- Medina, E.; Paredes, C.; Bustamante, M.A.; Moral, R.; Moreno-Caselles, J. Relationships between Soil Physico-Chemical, Chemical and Biological Properties in a Soil Amended with Spent Mushroom Substrate. Geoderma 2012, 173–174, 152–161. [Google Scholar] [CrossRef]
- Kwiatkowski, C.A.; Harasim, E. The Effect of Fertilization with Spent Mushroom Substrate and Traditional Methods of Fertilization of Common Thyme (Thymus vulgaris L.) on Yield Quality and Antioxidant Properties of Herbal Material. Agronomy 2021, 11, 329. [Google Scholar] [CrossRef]
- Ma, Z.; Zhang, Y.-Q.; Wang, L.-J.; Hu, G.-L.; Gong, X.-Q.; Bai, Q.; Su, S.-C.; Qi, J.-X. Short-Term Effects of Spent Mushroom Substrate Mulching Thickness on the Soil Environment, Weed Suppression, Leaf Nutrients, and Nut Characteristics in a Hazelnut Orchard. Agronomy 2021, 11, 1122. [Google Scholar] [CrossRef]
- Paredes, C.; Medina, E.; Bustamante, M.A.; Moral, R. Effects of Spent Mushroom Substrates and Inorganic Fertilizer on the Characteristics of a Calcareous Clayey-loam Soil and Lettuce Production. Soil Use Manag. 2016, 32, 487–494. [Google Scholar] [CrossRef]
- Joniec, J.; Kwiatkowska, E.; Kwiatkowski, C.A. Assessment of the Effects of Soil Fertilization with Spent Mushroom Substrate in the Context of Microbial Nitrogen Transformations and the Potential Risk of Exacerbating the Greenhouse Effect. Agriculture 2022, 12, 1190. [Google Scholar] [CrossRef]
- Udom, B.E.; Nuga, B.O.; Adesodun, J.K. Water-Stable Aggregates and Aggregate-Associated Organic Carbon and Nitrogen after Three Annual Applications of Poultry Manure and Spent Mushroom Wastes. Appl. Soil Ecol. 2016, 101, 5–10. [Google Scholar] [CrossRef]
- Frąc, M.; Pertile, G.; Panek, J.; Gryta, A.; Oszust, K.; Lipiec, J.; Usowicz, B. Mycobiome Composition and Diversity under the Long-Term Application of Spent Mushroom Substrate and Chicken Manure. Agronomy 2021, 11, 410. [Google Scholar] [CrossRef]
- Liu, X.; Hou, R.; Wang, D.; Mai, M.; Wu, X.; Zheng, M.; Fu, J. Comprehensive Utilization of Edible Mushroom Auricularia Auricula Waste Residue—Extraction, Physicochemical Properties of Melanin and Its Antioxidant Activity. Food Sci. Nutr. 2019, 7, 3774–3783. [Google Scholar] [CrossRef] [PubMed]
- Meng, X.; Liu, B.; Zhang, H.; Wu, J.; Yuan, X.; Cui, Z. Co-Composting of the Biogas Residues and Spent Mushroom Substrate: Physicochemical Properties and Maturity Assessment. Bioresour. Technol. 2019, 276, 281–287. [Google Scholar] [CrossRef] [PubMed]
- Dowlati, M.; Sobhi, H.R.; Esrafili, A.; FarzadKia, M.; Yeganeh, M. Heavy Metals Content in Edible Mushrooms: A Systematic Review, Meta-Analysis and Health Risk Assessment. Trends Food Sci. Technol. 2021, 109, 527–535. [Google Scholar] [CrossRef]
- Rajavat, A.S.; Mageshwaran, V.; Bharadwaj, A.; Tripathi, S.; Pandiyan, K. Spent mushroom waste: An emerging bio-fertilizer for improving soil health and plant productivity. In New and Future Developments in Microbial Biotechnology and Bioengineering; Elsevier: Amsterdam, The Netherlands, 2022; pp. 345–354. [Google Scholar] [CrossRef]
- Wu, C.Y.; Liang, C.H.; Liang, Z.C. Evaluation of using spent mushroom sawdust wastes for cultivation of Auricularia polytricha. Agronomy 2020, 10, 1892. [Google Scholar] [CrossRef]
- Rezaeian, S.; Pourianfar, H.R.; Attaran Dowom, S. Quantitative changes in the biochemical and mineral composition of the substrate in solid-state cultivation of Enoki mushroom. Waste Biomass Valorization 2021, 12, 4463–4474. [Google Scholar] [CrossRef]
- Carter, M.R.; Gregorich, E.G. (Eds.) Soil Sampling and Methods of Analysis, 2nd ed.; Canadian Society of Soil Science; CRC Press: Pinawa, MB, Canada; Boca Raton, FL, USA, 2008; ISBN 978-0-8493-3586-0. [Google Scholar]
- Sun, Y.; Li, H.; Guo, G.; Semple, K.T.; Jones, K.C. Soil Contamination in China: Current Priorities, Defining Background Levels and Standards for Heavy Metals. J. Environ. Manag. 2019, 251, 109512. [Google Scholar] [CrossRef]
- Liu, H.; Wang, H.; Zhang, Y.; Yuan, J.; Peng, Y.; Li, X.; Shi, Y.; He, K.; Zhang, Q. Risk Assessment, Spatial Distribution, and Source Apportionment of Heavy Metals in Chinese Surface Soils from a Typically Tobacco Cultivated Area. Environ. Sci. Pollut. Res. 2018, 25, 16852–16863. [Google Scholar] [CrossRef]
Disclaimer/Publisher’s Note: The statements, opinions and data contained in all publications are solely those of the individual author(s) and contributor(s) and not of MDPI and/or the editor(s). MDPI and/or the editor(s) disclaim responsibility for any injury to people or property resulting from any ideas, methods, instructions or products referred to in the content. |
© 2024 by the authors. Licensee MDPI, Basel, Switzerland. This article is an open access article distributed under the terms and conditions of the Creative Commons Attribution (CC BY) license (https://creativecommons.org/licenses/by/4.0/).



