Responses of Yield and Photosynthetic Characteristics of Rice to Climate Resources under Different Crop Rotation Patterns and Planting Methods
Abstract
1. Introduction
2. Results
2.1. Rice Growth Process
2.2. Effective Accumulated Temperature, Average Daily Temperature, and Rain Fall
2.3. Leaf Area Index, Relative Chlorophyll Content, and Net Photosynthesis
2.4. Tillering Dynamics
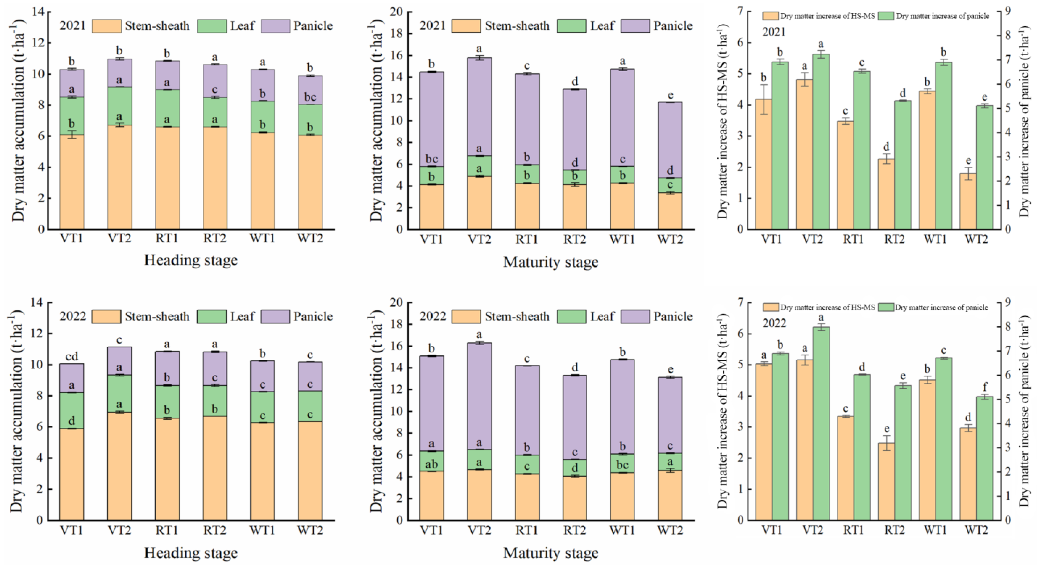
2.5. Dry Matter Accumulation
2.6. Yield and Yield Components
2.7. Principal Component Analysis
2.8. Structural Equation Model
3. Discussion
3.1. Responses of Effective Accumulated Temperature, Daily Average Temperature, and Rain Fall to Crop Rotation Patterns and Planting Methods
3.2. Effects of Different Crop Rotation Patterns and Planting Methods on Rice Yield
4. Materials and Methods
4.1. Experimental Site
4.2. Experimental Design
4.3. Measurements and Methods
4.3.1. Growth Period and Climate Data
4.3.2. Yield and Yield Components
4.3.3. Tillering Dynamics and Dry Matter Accumulation
4.3.4. Relative Chlorophyll Content, Net Photosynthetic Rate, and Leaf Area Index
4.4. Statistical Analysis
5. Conclusions
Author Contributions
Funding
Data Availability Statement
Acknowledgments
Conflicts of Interest
References
- Khaki, S.; Wang, L.-Z.; Archontoulis, S.V. A CNN-RNN framework for crop yield prediction. Front. Plant Sci. 2020, 10, 1750. [Google Scholar] [CrossRef]
- Ren, W.-J. The research progress and prospects of high yield and high efficiency nitrogen application for hybrid rice. Plant Nutr. Fertil. Sci. 2017, 23, 1505–1513. [Google Scholar]
- Su, L.-J.; Liu, Y.-H.; Wang, Q.-J. Rice growth model in China on growing degree days. Trans. Chin. Soc. Agric. Eng. 2020, 36, 162–174. [Google Scholar]
- Qian, Y.-L.; Mao, L.-X.; Zhou, G.-S. Changes in global main crop yields and its meteorological risk assessment. Trans. Chin. Soc. Agric. Eng. 2016, 32, 226–235. [Google Scholar]
- Cheng, G.; Zhang, L.; Wei, H.; Wang, H.; Lu, J.; Yu, S. Transcriptome analysis reveals a gene expression pattern associated with fuzz fiber initiation induced by high temperature in Gossypium barbadense. Genes 2020, 11, 1066. [Google Scholar] [CrossRef]
- Sun, J.-J.; Zhang, H.-C.; Yin, H.-Q.; Chen, B.; Guo, B.-W.; Wei, H.-Y.; Dai, Q.-G.; Wang, S.-X.; Chen, X.-G.; Jiang, Y.-H.; et al. Effects of seeding date on yield, growth period and utilization of temperature and sunshine of mechanical transplanting rice in different ecological regions. Trans. Chin. Soc. Agric. Eng. 2015, 31, 113–121. [Google Scholar]
- Chen, C.-C.; Li, M.-S.; Chen, K.-T.; Lin, Y.-H.; Ko, S.-S. Photosynthetic and morphological responses of Sacha Inchi (Plukenetia volubilis L.) to waterlogging stress. Plants 2022, 11, 249. [Google Scholar] [CrossRef] [PubMed]
- Zhai, H.-Q.; Cao, S.-Q.; Wan, J.-M.; Lu, W.; Zhang, R.-X.; Li, L.-B.; Kuang, T.-Y.; Min, S.-K.; Zhu, D.-F.; Chen, S.-H. Relationship between photosynthetic function and yield of super high yield hybrid rice at filling stage. Sci. China Ser. C 2002, 32, 211–217. [Google Scholar]
- Shen, J. Effects of Different Rice Planting Methods on the Utilization of Nitrogen, Temperature and Light Resources and Rice Quality under Cabbage/Rape-Paddy Cropping System. Master’s Thesis, Sichuan Agriculture University, Chengdu, China, 2021. [Google Scholar]
- Liu, X.; Zhou, Y.; Xiao, J.; Bao, F. Effects of chilling on the structure, function and development of chloroplasts. Front. Plant Sci. 2018, 9, 1715. [Google Scholar] [CrossRef] [PubMed]
- Zhou, Y.-J. Effects of Temperature and Nitrogen on Growth and Grain Yield of Rice and Its Physiological Mechanism. Ph.D. Dissertation, Huazhong Agriculture University, Wuhan, China, 2018. [Google Scholar]
- Zhang, H.-C.; Gong, J.-L. Research status and development discussion on high-yielding agronomy of mechanized planting rice in China. Chin. J. Rice Sci. 2014, 47, 1273–1289. [Google Scholar]
- Chen, J.-P.; Luo, X.-W.; Fan, Q.-Z.; Zhang, J.-W.; Wu, J.-P.; Wang, Z.-M.; Zang, Y. Influence of different planting methods on growth and development characteristics and yield of rice. J. Huazhong Agric. Univ. 2010, 29, 1–5. [Google Scholar]
- Xu, M.-G.; Guo, H.-L.; Pan, J.-F.; Gao, J.-B.; Jiang, Q.-S.; Li, J.-X. Planting performance and application prospect of different light and simple rice cultivation methods. Agric. Technol. Ser. 2007, 24, 1–2. [Google Scholar]
- Shen, J.; Lv, T.-F.; Wang, Z.-Q.; Wang, Z.-L.; Lin, D.; Li, Y.; Yang, Z.-Y.; Sun, Y.-J.; Ma, J. Effects of planting methods on the utilization of temperature and sunshine resources and yield of rice under cabbage/rape-paddy cropping system. Chin. J. Appl. Ecol. 2022, 33, 405–414. [Google Scholar]
- Ni, X.-C. Studies on Productivity of Super Rice Nanjing44 under Different Light Simple Cultivation Methods. Master’s Thesis, Yangzhou Agriculture University, Yangzhou, China, 2012. [Google Scholar]
- San-Oh, Y.; Mano, Y.; Ookawa, T.; Hirasawa, T. Comparation of dry matter production and associated characteristics between direct-sown and transplanted rice plants in a submerged paddy field and relationships to planting patterns. Field Crops Res. 2004, 87, 43–58. [Google Scholar] [CrossRef]
- Teng, Z.-Y.; Zhou, F.-M.; Zhang, A.-C.; Chen, S.-F.; Tu, C.-Y.; Chen, Y.; Qiao, H.-M. Effects of different planting methods on agronomic, economic characters and economic benefits of japonica rice Huajing 5. Jiangsu Agric. Sci. 2015, 12, 86–89. [Google Scholar]
- Huang, G.-Q.; Sun, D.-P. Development situation and research progress of multiple cropping in China. Chin. Agric. Sci. Bull. 2017, 33, 35–43. [Google Scholar]
- Chen, T.-H.; Yuan, J.-Q.; Liu, Y.-Y.; Xu, K.; Guo, B.-W.; Dai, Q.-G.; Huo, Z.-Y.; Zhang, H.-C.; Li, G.-H.; Wei, H.-Y. Effects of different sowing dates on crop yield, quality, and annual light-temperature resources utilization for rice-wheat double cropping system in the lower reaches of the Yangtze-Huaihe River valley. Acta Agron. Sin. 2020, 46, 1566–1578. [Google Scholar]
- Xu, L. Physiological Mechanism and Crop Management for High Grain Yield in Direct-Seeded, Double-Season Rice System. Ph.D. Dissertation, Huazhong Agriculture University, Wuhan, China, 2020. [Google Scholar]
- Zhou, N.-B.; Zhang, J.; Fang, S.-L.; Wei, H.; Zhang, H.-C. Effects of temperature and solar radiation on yield of good eating-quality rice in the lower reaches of the Huai River Basin, China. J. Integr. Agric. 2021, 20, 1762–1774. [Google Scholar] [CrossRef]
- Bai, H.-Z.; Xiao, D.-P.; Zhang, H.; Tao, F.-L.; Hu, Y.-H. Impact of warming climate, sowing date, and cultivar shift on rice phenology across China during 1981–2010. Int. J. Biometeorol. 2019, 63, 1077–1089. [Google Scholar] [CrossRef]
- Siddik, M.-A.; Zhang, J.; Chen, J.; Qian, H.-Y.; Jiang, Y.; Raheem, A.-K.; Deng, A.-X.; Song, Z.-W.; Zheng, C.-Y.; Zhang, W.-J. Responses of indica rice yield and quality to extreme high and low temperatures during the reproductive period. Eur. J. Agron. 2019, 106, 30–38. [Google Scholar] [CrossRef]
- Ren, Y.-F.; Gao, P.; Wang, C.-Y. High temperature damage to paddy rice in Jiangsu province and its cause analysis. J. Nat. Disasters 2010, 19, 101–107. [Google Scholar]
- Dai, J.-Y.; Sun, Y.-B.; Liu, C.-H.; Shi, W.; Zhu, J.-W.; Zhao, S.-L.; Zhang, G.-Y.; Hu, L.; Chen, D.-Y.; Wang, A.-M. Effects of sowing date on growth and yield of rice in coastal area of Jiangsu province. Jiangsu Agric. Sci. 2020, 48, 81–84. [Google Scholar]
- Fatima, Z.; Ahmed, M.; Hussain, M.; Abbas, G.; Ul-Allah, S.; Ahmad, S.; Ahmed, N.; Ali, M.-A.; Sarwar, G.; Haque, E.-U.; et al. The fingerprints of climate warming on cereal crops phenology and adaptation options. Sci. Rep. 2020, 10, 18013. [Google Scholar] [CrossRef] [PubMed]
- Xiao, R.-Y.; Liu, B.-Y.; Fang, L.-K.; Liu, L.; Liu, W.; Yi, J.; Zeng, Z.-H. Effects of sowing date on yield and quality of direct seeding rice in Chongqing. South Chin. Agric. 2020, 14, 10–14. [Google Scholar]
- Jin, C.-Q. Effects of Different Planting Methods on the Growth and Development of Rice and Its Subsequent Wheat. Master’s Thesis, Huazhong Agriculture University, Wuhan, China, 2020. [Google Scholar]
- Xing, Z.-P. Effect of Mechanized Planting Methods on Production of Rice and Annual Grain Production. Ph.D. Dissertation, Yangzhou Agriculture University, Yangzhou, China, 2017. [Google Scholar]
- Song, H.; Jiang, Y.-L.; Xu, Z.-Z.; Zhou, G.-S. Response of photosynthetic physiological parameters of maize to drought during the whole growth period and after the jointing stage. Acta Ecol. Sin. 2019, 39, 2405–2415. [Google Scholar]
- Deng, N.-Y.; Ling, X.-X.; Sun, Y.; Zhang, C.-D.; Fahad, S.; Peng, S.-B.; Cui, K.-H.; Nie, L.-X.; Huang, J.-L. Influence of temperature and solar radiation on grain yield and quality in irrigated rice system. Eur. J. Agron. 2015, 64, 37–46. [Google Scholar] [CrossRef]
- Li, J.; Zhang, H.-C.; Dong, Y.-Y.; Ni, X.-C.; Yang, B.; Gong, J.-L.; Chang, Y.; Dai, Q.-G.; Huo, Z.-Y.; Xu, K.; et al. Effects of cultivation methods on yield, growth stage and utilization of temperature and illumination of rice in different ecological regions. Sci. Agric. Sin. 2011, 44, 2661–2672. [Google Scholar]
- Gong, J.-L.; Xing, Z.-P.; Hu, Y.-J.; Zhang, H.-C.; Dai, Q.-G.; Huo, Z.-Y.; Xu, K.; Wei, H.-Y.; Gao, H. Difference in growth duration and utilization of temperature and solar radiation between indica and japonica super rice in the lower Yangtze and Huaihe River vally. Chin. J. Rice Sci. 2014, 28, 267–276. [Google Scholar]
- Lischeid, G.; Natkhin, M.; Steidl, J.; Dietrich, O.; Dannowski, R.; Merz, C. Assessing coupling between lakes and layered aquifers in a complex pleistocene landscape based on water level dynamics. Adv. Water Resour. 2010, 33, 1331–1339. [Google Scholar] [CrossRef]
- Thuithaisong, C.; Parkpian, P.; Shipin, O.-V.; Shrestha, R.-P.; Naklang, K.; DeLaune, R.-D.; Jugsujinda, A. Soil-Quality Indicators for Predicting Sustainable Organic Rice Production. Commun. Soil Sci. Plant Anal. 2011, 42, 548–568. [Google Scholar] [CrossRef]
- Martynova, E.; West, S.-G.; Liu, Y. Review of principles and practice of structural equation modeling. Struct. Equ. Model. A Multidiscip. J. 2018, 25, 325–329. [Google Scholar] [CrossRef]
- Bao, S.-D. Soil Agro-Chemistrical Analysis, 3rd ed.; China Agriculture Press Co., Ltd.: Beijing, China, 2000. [Google Scholar]
- Chen, G.-Q.; Chen, Y.; Yu, H.; Zhou, L.; Zhuang, X.-X. Accumulated temperature requirements of echinochloa crus-galli seed-setting: A case study with populations collected from rice fields. Weed Biol. Manag. 2022, 22, 47–55. [Google Scholar] [CrossRef]
- Chen, K.; Wu, W.-F.; Lan, Y.-K.; Liu, Z.; Han, F.; Xu, Y. Assessment and prediction of free fatty acids changes in maize based on effective accumulated temperature in large granaries. Int. J. Food Prop. 2022, 25, 1156–1170. [Google Scholar] [CrossRef]






| Year | Treatment | Sowing–Heading (Days) | Heading–Maturity (Days) | Whole Growth Period (Days) |
|---|---|---|---|---|
| 2021 | VT1 | 124 a | 34 a | 158 a |
| VT2 | 103 c | 30 b | 133 c | |
| RT1 | 111 b | 34 a | 145 b | |
| RT2 | 91 e | 31 b | 122 e | |
| WT1 | 101 d | 31 b | 132 d | |
| WT2 | 85 f | 29 c | 114 f | |
| 2022 | VT1 | 121 a | 34 b | 155 a |
| VT2 | 100 c | 34 b | 134 c | |
| RT1 | 107 b | 36 a | 143 b | |
| RT2 | 89 e | 29 c | 118 e | |
| WT1 | 99 d | 30 b | 129 d | |
| WT2 | 81 f | 30 c | 111 f | |
| F value | Y | 470.32 ** | 3.45 ns | 480.22 ** |
| C | 7374.35 ** | 83.31 ** | 13,008.48 ** | |
| P | 18,865.16 ** | 169.08 ** | 33,235.00 ** | |
| Y × C | 0.48 ns | 9.37 ** | 28.91 ** | |
| Y × P | 0.00 ns | 3.45 ns | 10.65 ** | |
| C × P | 88.55 ** | 39.37 ** | 251.96 ** | |
| Y × C × P | 12.10 ** | 24.58 ** | 36.74 ** |
| Year | Treatment | Sowing to Heading | Heading to Maturity | Whole Growth Period | ||||||
|---|---|---|---|---|---|---|---|---|---|---|
| EAT (°C) | ADT (°C) | RF (mm) | EAT (°C) | ADT (°C) | RF (mm) | EAT (°C) | ADT (°C) | RF (mm) | ||
| 2021 | VT1 | 1331.40 bc | 20.64 e | 382.80 a | 581.00 a | 27.26 a | 262.07 de | 1912.40 a | 22.00 f | 644.87 c |
| VT2 | 1336.23 b | 22.89 c | 334.60 c | 509.07 b | 26.78 b | 282.60 c | 1845.30 c | 23.77 d | 617.20 d | |
| RT1 | 1353.50 a | 22.12 d | 369.17 b | 522.40 b | 26.38 c | 301.43 b | 1875.90 b | 23.12 e | 670.60 b | |
| RT2 | 1325.00 cd | 24.40 b | 340.60 c | 456.70 c | 24.89 d | 256.90 e | 1781.70 d | 24.52 b | 597.50 f | |
| WT1 | 1317.87 d | 24.53 b | 342.10 c | 445.80 c | 24.95 d | 269.70 d | 1763.67 d | 24.24 c | 611.80 e | |
| WT2 | 1335.90 b | 25.53 a | 384.20 a | 392.03 d | 23.68 e | 503.97 a | 1727.93 e | 25.06 a | 888.17 a | |
| 2022 | VT1 | 1356.10 b | 21.12 f | 351.40 a | 598.57 c | 27.78 d | 12.40 c | 1954.67 b | 22.56 f | 363.80 a |
| VT2 | 1317.63 d | 23.09 d | 265.67 c | 637.73 b | 28.94 a | 49.73 b | 1955.37 b | 24.56 d | 315.40 c | |
| RT1 | 1361.10 b | 22.60 e | 294.80 b | 663.63 a | 28.71 b | 45.90 b | 2024.73 a | 24.09 e | 340.70 b | |
| RT2 | 1323.90 d | 24.71 b | 212.60 e | 532.97 d | 28.59 b | 68.37 a | 1856.87 c | 25.65 b | 280.97 e | |
| WT1 | 1410.17 a | 24.15 c | 241.30 d | 546.30 d | 28.42 c | 68.73 a | 1956.47 b | 25.13 c | 310.03 d | |
| WT2 | 1345.60 c | 26.41 a | 65.00 f | 460.50 e | 25.52 e | 70.40 a | 1806.10 d | 26.17 a | 135.40 f | |
| F value | Y | 112.77 ** | 17.00 ** | 3004.23 ** | 520.39 ** | 6475.27 ** | 12,665.75 ** | 906.42 ** | 7120.35 ** | 265.19 ** |
| C | 31.15 ** | 549.64 ** | 399.61 ** | 334.10 ** | 1781.79 ** | 404.49 ** | 290.75 ** | 1086.65 ** | 146.78 ** | |
| P | 182.70 ** | 620.80 ** | 825.78 ** | 249.29 ** | 845.68 ** | 383.74 ** | 572.80 ** | 1780.11 ** | 584.89 ** | |
| Y × C | 78.64 ** | 0.28 ns | 460.05 ** | 7.29 ** | 305.98 ** | 158.15 ** | 23.16 ** | 124.15 ** | 1000.66 ** | |
| Y × P | 155.57 ** | 2.94 ns | 551.22 ** | 0.36 ns | 63.34 ** | 115.07 ** | 31.41 ** | 89.64 ** | 1069.86 ** | |
| C × P | 6.71 ** | 4.92 * | 3.12 ns | 37.96 ** | 581.80 ** | 271.96 ** | 63.15 ** | 662.00 ** | 2288.09 ** | |
| Y × C × P | 35.22 ** | 9.79 ** | 172.90 ** | 48.20 ** | 323.12 ** | 401.42 ** | 59.46 ** | 1.57 | 1023.60 ** | |
| Year | Treatment | Jointing Stage | Heading Stage | Maturity Stage | Ratio of Productive Tillers (%) |
|---|---|---|---|---|---|
| 2021 | VT1 | 407.22 ± 10.84 b | 300.56 ± 15.12 a | 271.67 ± 3.89 c | 66.75 ± 2.40 d |
| VT2 | 332.22 ± 6.94 c | 300.00 ± 5.77 a | 291.48 ± 4.63 a | 87.74 ± 0.44 a | |
| RT1 | 400.56 ± 3.47 b | 288.33 ± 13.02 b | 281.11 ± 4.81 b | 70.18 ± 1.18 d | |
| RT2 | 307.78 ± 1.92 d | 257.78 ± 5.85 c | 247.22 ± 4.19 de | 80.32 ± 0.92 b | |
| WT1 | 421.67 ± 6.01 a | 283.52 ± 4.73 b | 254.17 ± 3.00 d | 60.28 ± 1.14 e | |
| WT2 | 313.89 ± 2.55 d | 257.41 ± 7.06 c | 238.89 ± 10.18 e | 76.12 ± 3.61 c | |
| 2022 | VT1 | 409.44 ± 1.92 b | 297.78 ± 1.92 ab | 273.89 ± 2.55 b | 66.90 ± 0.88 d |
| VT2 | 332.22 ± 6.94 c | 301.11 ± 10.72 a | 290.00 ± 3.33 a | 87.31 ± 1.31 a | |
| RT1 | 402.78 ± 1.92 b | 288.89 ± 2.55 b | 282.78 ± 2.55 a | 70.21 ± 0.44 d | |
| RT2 | 308.89 ± 8.39 d | 252.22 ± 1.92 c | 245.56 ± 7.70 c | 79.57 ± 4.40 b | |
| WT1 | 423.33 ± 4.41 a | 289.44 ± 4.19 b | 253.33 ± 1.67 c | 59.84 ± 0.80 e | |
| WT2 | 314.44 ± 5.09 d | 258.89 ± 5.09 c | 234.44 ± 5.09 d | 74.59 ± 2.77 c | |
| F value | Y | 0.44 ns | 0.00 ns | 0.20 ns | 0.54 ns |
| C | 24.21 ** | 67.53 ** | 154.90 ** | 71.42 ** | |
| P | 2251.36 ** | 80.08 ** | 46.44 ** | 503.98 ** | |
| Y × C | 0.01 ns | 0.67 ns | 0.31 ns | 0.14 ns | |
| Y × P | 0.14 ns | 0.24 ns | 1.10 ns | 0.36 ns | |
| C × P | 22.76 ** | 23.33 ** | 85.62 ** | 21.66 ** | |
| Y × C × P | 0.01 ns | 0.47 ns | 0.00 ns | 0.01 ns |
| Year | Treatment | Effective Panicles (×104 ha−1) | Spikelet per Panicle | Seed-Setting Rate (%) | 1000-Grain Weight (g) | Grain Yield (t ha−1) |
|---|---|---|---|---|---|---|
| 2021 | VT1 | 269.72 ± 1.94 b | 177.92 ± 1.70 a | 81.81 ± 0.00 c | 23.13 ± 0.07 b | 9.60 ± 0.08 b |
| VT2 | 287.78 ± 1.92 a | 169.51 ± 0.93 b | 82.62 ± 0.01 bc | 23.10 ± 0.02 b | 9.92 ± 0.02 a | |
| RT1 | 270.56 ± 14.17 b | 171.00 ± 1.33 b | 80.73 ± 0.01 d | 23.01 ± 0.04 b | 8.32 ± 0.10 c | |
| RT2 | 251.11 ± 10.72 c | 159.45 ± 3.29 cd | 83.33 ± 0.01 ab | 23.33 ± 0.03 a | 7.68 ± 0.14 e | |
| WT1 | 249.44 ± 4.81 c | 163.25 ± 0.81 c | 83.67 ± 0.01 a | 22.36 ± 0.03 d | 8.02 ± 0.09 d | |
| WT2 | 245.56 ± 1.92 c | 158.35 ± 4.25 d | 83.33 ± 0.01 ab | 22.63 ± 0.12 c | 7.67 ± 0.07 e | |
| 2022 | VT1 | 273.89 ± 2.55 c | 178.72 ± 1.12 a | 81.06 ± 0.01 cd | 23.26 ± 0.05 ab | 8.92 ± 0.09 a |
| VT2 | 290.00 ± 3.33 a | 169.60 ± 5.09 b | 82.08 ± 0.01 bc | 23.14 ± 0.08 ab | 9.00 ± 0.37 a | |
| RT1 | 279.63 ± 1.60 b | 171.27 ± 0.94 b | 80.22 ± 0.01 d | 23.08 ± 0.11 bc | 8.45 ± 0.12 b | |
| RT2 | 246.67 ± 3.33 e | 152.66 ± 5.07 d | 83.40 ± 0.01 ab | 23.34 ± 0.31 a | 7.81 ± 0.04 d | |
| WT1 | 253.33 ± 1.67 d | 163.10 ± 1.77 c | 84.15 ± 0.01 a | 22.35 ± 0.03 d | 8.09 ± 0.04 c | |
| WT2 | 245.56 ± 1.92 e | 155.67 ± 2.22 d | 83.38 ± 0.01 ab | 22.84 ± 0.01 c | 7.63 ± 0.07 d | |
| F value | Y | 1.77 ns | 2.20 ns | 0.96 ns | 4.28 ns | 22.01 ** |
| C | 97.59 ** | 76.13 ** | 16.96 ** | 129.29 ** | 399.26 ** | |
| P | 7.11 * | 110.33 ** | 13.88 ** | 28.75 ** | 36.50 ** | |
| Y × C | 0.04 ns | 1.25 ns | 0.73 ns | 0.30 ns | 38.72 ** | |
| Y × P | 2.98 ns | 3.25 ns | 0.35 ns | 0.12 ns | 1.49 ns | |
| C × P | 44.71 ** | 7.71 ** | 13.19 ** | 14.72 ** | 28.14 ** | |
| Y × C × P | 0.92 ns | 0.98 ns | 0.35 ns | 1.83 ns | 0.51 |
| Treatment | PC1 Score | Ranking | PC2 Score | Ranking | Comprehensive Scores | Ranking |
|---|---|---|---|---|---|---|
| VT1 | 2.54 | 1 | −1.55 | 6 | 1.32 | 2 |
| VT2 | 2.41 | 2 | 1.74 | 1 | 1.91 | 1 |
| RT1 | 2.18 | 3 | −0.55 | 5 | 1.30 | 3 |
| RT2 | −2.65 | 5 | −0.11 | 4 | −1.73 | 5 |
| WT1 | −1.21 | 4 | 0.16 | 3 | −0.75 | 4 |
| WT2 | −3.28 | 6 | 0.39 | 2 | −2.03 | 6 |
| Year | Preceding Crop | Total N (g kg−1) | Total P (mg kg−1) | Organic Matter (g kg−1) | Available N (mg kg−1) | Available P (mg kg−1) | Available K (mg kg−1) | pH |
|---|---|---|---|---|---|---|---|---|
| 2021 | Vegetable | 1.60 | 325.12 | 29.12 | 118.46 | 9.11 | 130.44 | 6.04 |
| Rape | 1.64 | 427.43 | 31.35 | 114.40 | 10.83 | 140.48 | 6.26 | |
| Wheat | 1.64 | 398.95 | 30.19 | 112.39 | 10.35 | 157.08 | 6.41 | |
| 2022 | Vegetable | 1.59 | 333.65 | 30.32 | 116.45 | 9.37 | 131.55 | 5.93 |
| Rape | 1.65 | 427.45 | 30.71 | 113.49 | 10.73 | 140.07 | 6.31 | |
| Wheat | 1.61 | 400.56 | 31.88 | 112.54 | 10.79 | 154.31 | 6.41 |
Disclaimer/Publisher’s Note: The statements, opinions and data contained in all publications are solely those of the individual author(s) and contributor(s) and not of MDPI and/or the editor(s). MDPI and/or the editor(s) disclaim responsibility for any injury to people or property resulting from any ideas, methods, instructions or products referred to in the content. |
© 2024 by the authors. Licensee MDPI, Basel, Switzerland. This article is an open access article distributed under the terms and conditions of the Creative Commons Attribution (CC BY) license (https://creativecommons.org/licenses/by/4.0/).
Share and Cite
Yang, H.; Chen, G.; Li, Z.; Li, W.; Zhang, Y.; Li, C.; Hu, M.; He, X.; Zhang, Q.; Zhu, C.; et al. Responses of Yield and Photosynthetic Characteristics of Rice to Climate Resources under Different Crop Rotation Patterns and Planting Methods. Plants 2024, 13, 526. https://doi.org/10.3390/plants13040526
Yang H, Chen G, Li Z, Li W, Zhang Y, Li C, Hu M, He X, Zhang Q, Zhu C, et al. Responses of Yield and Photosynthetic Characteristics of Rice to Climate Resources under Different Crop Rotation Patterns and Planting Methods. Plants. 2024; 13(4):526. https://doi.org/10.3390/plants13040526
Chicago/Turabian StyleYang, Hong, Guangyi Chen, Ziyu Li, Wei Li, Yao Zhang, Congmei Li, Mingming Hu, Xingmei He, Qiuqiu Zhang, Conghua Zhu, and et al. 2024. "Responses of Yield and Photosynthetic Characteristics of Rice to Climate Resources under Different Crop Rotation Patterns and Planting Methods" Plants 13, no. 4: 526. https://doi.org/10.3390/plants13040526
APA StyleYang, H., Chen, G., Li, Z., Li, W., Zhang, Y., Li, C., Hu, M., He, X., Zhang, Q., Zhu, C., Qing, F., Wei, X., Li, T., Li, X., & Ouyang, Y. (2024). Responses of Yield and Photosynthetic Characteristics of Rice to Climate Resources under Different Crop Rotation Patterns and Planting Methods. Plants, 13(4), 526. https://doi.org/10.3390/plants13040526
