Effects of Exogenous Spermidine on Seed Germination and Physiological Metabolism of Rice Under NaCl Stress
Abstract
1. Introduction
2. Results
2.1. Germination Characteristics
2.2. Effects of Spermidine Treatment on the Aboveground and Root Biomass of Rice Seedlings Under NaCl Stress
2.3. Exogenous Spermidine Treatment Enhanced the Content of Adenosine Triphosphate, Soluble Sugars, and Soluble Starch in Rice Seeds Under NaCl Stress
2.4. Effects of Exogenous Spermidine Seed Soaking on Amylase Activity in Rice Seeds Under NaCl Stress
2.5. Exogenous Spermidine Seed Soaking Mitigated the Effect of NaCl Stress on Rice Seed Oxidative Stress
2.6. Effects of Exogenous Spermidine Seed Soaking on Antioxidant Enzymes and Nonenzymatic Antioxidants in Rice Seeds Under NaCl Stress
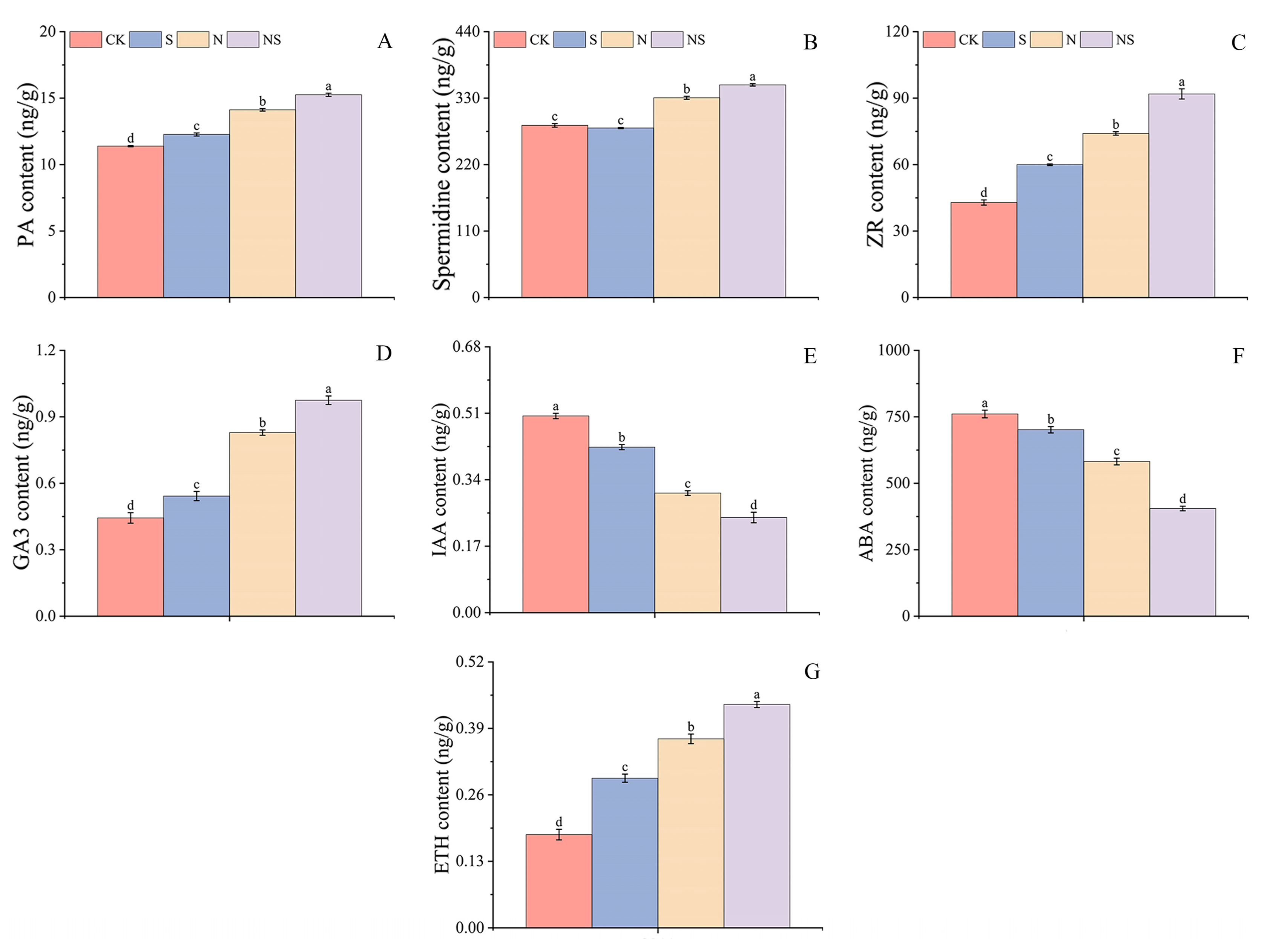
2.7. Effects of Exogenous Spd Seed Soaking on Hormone Content in Rice Seeds Under NaCl Stress
2.8. Effects of Exogenous Spermidine Seed Soaking on Morphological Indicators of Rice Seedlings Under NaCl Stress
2.9. Effects of Exogenous Spermidine Seed Soaking on Photosynthetic Pigment Content in Rice Seedlings Under NaCl Stress
2.10. Effects of Exogenous Spermidine Seed Soaking on Ion Content in Rice Seedlings Under NaCl Stress
3. Discussion
3.1. Exogenous Spermidine Promotes Seed Germination and Seedling Growth by Alleviating Ion Toxicity and Protecting Membranes from Damage
3.2. Exogenous Spermidine Modulates Amylase Activity to Promote Starch Hydrolysis, Providing Energy for Seed Germination
3.3. Exogenous Spermidine Mitigates NaCl Stress in Rice Seed Germination by Regulating Antioxidant Enzymes and Nonenzymatic Antioxidants
3.4. Exogenous Spermidine Promotes Rice Seed Germination by Regulating Endogenous Hormones
3.5. Exogenous Spermidine Enhances Chlorophyll Pigments in Rice Seedlings, Thereby Promoting Seedling Growth
4. Materials and Methods
4.1. Experimental Materials
4.2. Experimental Design
4.3. Measurement Indices and Methods
4.3.1. Measurement of Seed Germination Parameters
4.3.2. Determination of Malondialdehyde, Soluble Sugar, and Soluble Protein Content
4.3.3. Determination of Adenosine Triphosphate Content
4.3.4. Determination of Amylase Activity
4.3.5. Determination of Antioxidant Enzymes, Reduced Glutathione, and Reduced Ascorbic Acid Content
4.3.6. Determination of Endogenous Hormone Content
4.3.7. Determination of Seedling Growth Parameters
4.3.8. Measurement of Electrical Conductivity
4.3.9. Determination of Chlorophyll Content
4.3.10. Determination of Ion Content
4.4. Statistical Analyses
5. Conclusions
Supplementary Materials
Author Contributions
Funding
Data Availability Statement
Acknowledgments
Conflicts of Interest
References
- Chenyin, P.; Yu, W.; Fenghou, S.; Yongbao, S. Review of the current research progress of seed germination inhibitors. Horticulturae 2023, 9, 462. [Google Scholar] [CrossRef]
- Xie, J.; Li, Y.; Jiang, G.; Sun, H.; Liu, X.; Han, L. Seed color represents salt resistance of alfalfa seeds (Medicago sativa L.): Based on the analysis of germination characteristics, seedling growth and seed traits. Front. Plant Sci. 2023, 14, 1104948. [Google Scholar] [CrossRef] [PubMed]
- Rosińska, A.; Andrzejak, R.; Kakkerla, V. Effect of osmopriming with melatonin on germination, vigor and health of Daucus carota L. seeds. Agriculture 2023, 13, 749. [Google Scholar] [CrossRef]
- Reed, R.C.; Bradford, K.J.; Khanday, I. Seed germination and vigor: Ensuring crop sustainability in a changing climate. Heredity 2022, 128, 450. [Google Scholar] [CrossRef]
- Zhang, H.; Zhang, X.; Gao, G.; Ali, I.; Wu, X.; Tang, M.; Chen, L.; Jiang, L.; Liang, T. Effects of various seed priming on morphological, physiological, and biochemical traits of rice under chilling stress. Front. Plant Sci. 2023, 14, 1146285. [Google Scholar] [CrossRef]
- Gong, C.; Wang, L.; Li, X.; Wang, H.; Jiang, Y.; Wang, W. Responses of seed germination and shoot metabolic profiles of maize (Zea mays L.) to Y 2O3 nanoparticle stress. RSC Adv. 2019, 9, 27720–27731. [Google Scholar] [CrossRef]
- Zhang, K.; Khan, M.N.; Luo, T.; Bi, J.; Hu, L.; Luo, L. Seed priming with gibberellic acid and ethephon improved rice germination under drought stress via reducing oxidative and cellular damage. J. Soil Sci. Plant Nutr. 2024, 24, 2679–2693. [Google Scholar] [CrossRef]
- Jini, D.; Joseph, B. Physiological mechanism of salicylic acid for alleviation of salt stress in rice. Rice Sci. 2017, 24, 97–108. [Google Scholar] [CrossRef]
- Islam, M.M.; Rengel, Z.; Storer, P.; Siddique, K.H.; Solaiman, Z.M. Industrial Hemp (Cannabis sativa L.) varieties and seed pre-treatments affect seed germination and early growth of seedlings. Agronomy 2021, 12, 6. [Google Scholar] [CrossRef]
- Lu, H.; Wang, M.; Zhou, S.; Chen, K.; Wang, L.; Yi, Z.; Bai, L.; Zhang, Y. Chitosan oligosaccharides mitigate flooding stress damage in rice by affecting antioxidants, osmoregulation, and hormones. Antioxidants 2024, 13, 521. [Google Scholar] [CrossRef]
- Mu, Y.; Li, Y.; Zhang, Y.; Guo, X.; Song, S.; Huang, Z.; Li, L.; Ma, Q.; Khan, M.N.; Nie, L. A comparative study on the role of conventional, chemical and nanopriming for better salt tolerance during seed germination of direct seeding rice. J. Integr. Agric. 2023, 23, 3998–4017. [Google Scholar] [CrossRef]
- Zuo, G.; Huo, J.; Yang, X.; Mei, W.; Zhang, R.; Khan, A.; Feng, N.; Zheng, D. Photosynthetic mechanisms underlying NaCl-induced salinity tolerance in rice (Oryza sativa L.). BMC Plant Biol. 2024, 24, 41–52. [Google Scholar] [CrossRef] [PubMed]
- Borromeo, I.; Domenici, F.; Del Gallo, M.; Forni, C. Role of polyamines in the response to salt stress of tomato. Plants 2023, 12, 1855. [Google Scholar] [CrossRef] [PubMed]
- Hai, X.; Mi, J.; Zhao, B.; Zhang, B.; Zhao, Z.; Liu, J. Foliar application of spermidine reduced the negative effects of salt stress on oat seedlings. Front. Plant Sci. 2022, 13, 846280. [Google Scholar] [CrossRef]
- Tang, X.; Liu, Q.; Luo, L.; Yin, C. The endophyte bacillus amyloliquefaciens from picea asperata seeds promotes seed germination and its physiological mechanism. J. Soil Sci. Plant Nutr. 2024, 24, 421–434. [Google Scholar] [CrossRef]
- Yan, F.; Wei, H.; Li, W.; Liu, Z.; Tang, S.; Chen, L.; Ding, C.; Jiang, Y.; Ding, Y.; Li, G. Melatonin improves K+ and Na+ homeostasis in rice under salt stress by mediated nitric oxide. Ecotoxicol. Environ. Saf. 2020, 206, 111358. [Google Scholar] [CrossRef]
- Li, X.; Li, J.; Su, H.; Sun, P.; Zhang, Z.; Li, M.; Xing, H. Physiological and transcriptional responses of apocynum venetum to salt stress at the seed germination stage. Int. J. Mol. Sci. 2023, 24, 3623. [Google Scholar] [CrossRef]
- Wang, J.; Yan, D.; Liu, R.; Wang, T.; Lian, Y.; Lu, Z.; Hong, Y.; Wang, Y.; Li, R. The physiological and molecular mechanisms of exogenous melatonin promote the seed germination of maize (Zea mays L.) under salt stress. Plants 2024, 13, 2142. [Google Scholar] [CrossRef]
- Ji, J.; Wang, X.; Wang, G.; Zhang, J.; Song, W.; Wang, R.; Ma, B.; Li, T.; Guan, C. UV-B-Priming combined with the soil application of MWCNT enhances rice growth performance under salt stress. J. Plant Growth Regul. 2024, 43, 3846–3861. [Google Scholar] [CrossRef]
- Wang, Y.; Cao, H.; Wang, S.; Guo, J.; Dou, H.; Qiao, J.; Yang, Q.; Shao, R.; Wang, H. Exogenous γ-aminobutyric acid (GABA) improves salt-inhibited nitrogen metabolism and the anaplerotic reaction of the tricarboxylic acid cycle by regulating GABA-shunt metabolism in maize seedlings. Ecotoxicol. Environ. Saf. 2023, 254, 114756–114771. [Google Scholar] [CrossRef]
- Theerakulpisut, P.; Nounjan, N.; Kumon-Sa, N. Spermidine priming promotes germination of deteriorated seeds and reduced salt stressed damage in rice seedlings. Not. Bot. Horti Agrobot. 2021, 49, 12130. [Google Scholar] [CrossRef]
- Balasubramaniam, T.; Shen, G.; Esmaeili, N.; Zhang, H. Plants’ response mechanisms to salinity stress. Plants 2023, 12, 2253. [Google Scholar] [CrossRef] [PubMed]
- Lechowska, K.; Wojtyla, L.; Quinet, M.; Kubala, S.; Lutts, S.; Garnczarska, M. Endogenous polyamines and ethylene biosynthesis in relation to germination of osmoprimed brassica napus seeds under salt stress. Int. J. Mol. Sci. 2021, 23, 349. [Google Scholar] [CrossRef]
- Li, Y.; Chen, B.; Kurtenbach, R. Spermidine and spermine converted from putrescine improve the resistance of wheat seedlings to osmotic stress. Russ. J. Plant Physiol. 2023, 70, 48–59. [Google Scholar] [CrossRef]
- Zhang, M.; Li, B.; Wan, Z.; Chen, X.; Liu, C.; Liu, C.; Zhou, Y. Exogenous spermidine promotes germination of aged sorghum seeds by mediating sugar metabolism. Plants 2022, 11, 2853. [Google Scholar] [CrossRef]
- Talaat, N.B.; Hanafy, A.M. Spermine-salicylic acid interplay restrains salt toxicity in wheat (Triticum aestivum L.). Plants 2023, 12, 352. [Google Scholar] [CrossRef]
- Nandy, S.; Mandal, S.; Gupta, S.K.; Anand, U.; Ghorai, M.; Mundhra, A.; Rahman, H.; Ray, P.; Mitra, S.; Ray, D.; et al. Role of polyamines in molecular regulation and cross-talks against drought tolerance in plants. J. Plant Growth Regul. 2023, 42, 4901–4917. [Google Scholar] [CrossRef]
- Korbas, A.; Kubiś, J.; Rybus-Zając, M.; Chadzinikolau, T. Spermidine modify antioxidant activity in cucumber exposed to salinity stress. Agronomy 2022, 12, 1554. [Google Scholar] [CrossRef]
- Dong, L.; Li, L.; Meng, Y.; Liu, H.; Li, J.; Yu, Y.; Qian, C.; Wei, S.; Gu, W. Exogenous spermidine optimizes nitrogen metabolism and improves maize yield under drought stress conditions. Agriculture 2022, 12, 1270. [Google Scholar] [CrossRef]
- Recalde, L.; Cabrera, A.V.; Mansur, N.M.G.; Rossi, F.R.; Groppa, M.D.; Benavides, M.P. Seed priming with spermine improves early wheat growth under nitrogen deficiency. J. Plant Growth Regul. 2024, 43, 3761–3775. [Google Scholar] [CrossRef]
- Gholizadeh, F.; Janda, T.; Gondor, O.K.; Pál, M.; Szalai, G.; Sadeghi, A.; Turkoglu, A. Improvement of drought tolerance by exogenous spermidine in germinating wheat (Triticum aestivum L.) plants is accompanied with changes in metabolite composition. Int. J. Mol. Sci. 2022, 23, 9047. [Google Scholar] [CrossRef] [PubMed]
- Karwa, S.; Taunk, J.; Maurya, S.; Das, A.; Krishna, G.K.; Arya, S.S.; Kumar, A.; Kumar, S.; Kumar, P.; Chinnusamy, V.; et al. Spermidine exogenous application mollifies reproductive stage heat stress ramifications in rice. Front. Plant Sci. 2022, 13, 1027662. [Google Scholar] [CrossRef] [PubMed]
- Huang, S.; Huang, P.; Masood, S.; Iqbal, M.M.; Naz, T.; Danish, S.; Ansari, M.J.; Salmen, S.H. Enhancing maize growth through the synergistic impact of potassium enrich biochar and spermidine. BMC Plant Biol. 2024, 24, 36–54. [Google Scholar] [CrossRef] [PubMed]
- Hu, S.; Zhao, R.; Yang, J.; Wang, Z.; Hu, X. Spermidine mediated endogenous nitric oxide coordinately boosts stability through antioxidant capacity and Na+/K+ transporters in tomato under saline-alkaline stress. Sci. Hortic. 2024, 329, 112973. [Google Scholar] [CrossRef]
- Huang, T.T.; Zheng, D.F.; Feng, N.J.; Zhao, L.M.; Zhou, H.K.; Shen, X.F. Effects of Spermidine on Antioxidant Enzyme Activity and Na+ Homeostasis of Seedlings Roots of Huanghuazhan Rice under Salt Stress. China Rice 2023, 29, 43–47. [Google Scholar]
- Alhasnawi, A.N.; Zain, C.R.C.M.; Kadhimi, A.A.; Isahakb, A.; Mohamad, A.; Ashraf, M.F.; Yusoff, W.M.W. Applications of polysaccharides (β-glucan) for physiological and biochemical parameters for evaluation rice tolerance under salinity stress at seedling stage. J. Crop Sci. Biotechnol. 2016, 19, 353–362. [Google Scholar] [CrossRef]
- Du, C.; Li, J.; Guo, S.; Fan, H. Effects of Exogenous Spermdine on the Growth and Soluble Protein Expression in Cucumber Seedlings Under NaCl Stress. 2010. Available online: https://europepmc.org/article/cba/639336 (accessed on 22 November 2024).
- Jiang, D.X.; Chu, X.; Li, M.; Hou, J.J.; Tong, X.; Gao, Z.P.; Chen, G.X. Exogenous spermidine enhances salt-stressed rice photosynthetic performance by stabilizing structure and function of chloroplast and thylakoid membranes. Photosynthetica 2020, 58, 61–71. [Google Scholar] [CrossRef]
- Chen, T.; Shabala, S.; Niu, Y.; Chen, Z.-H.; Shabala, L.; Meinke, H.; Venkataraman, G.; Pareek, A.; Xu, J.; Zhou, M. Molecular mechanisms of salinity tolerance in rice. Crop J. 2021, 9, 506–520. [Google Scholar] [CrossRef]
- Zeng, H.; Liu, M.; Wang, X.; Liu, L.; Wu, H.; Chen, X.; Wang, H.; Shen, Q.; Chen, G.; Wang, Y. Seed-soaking with melatonin for the improvement of seed germination, seedling growth, and the antioxidant defense system under flooding stress. Agronomy 2022, 12, 1918. [Google Scholar] [CrossRef]
- Lakshmi, G.; Beena, R.; Soni, K.B.; Viji, M.M.; Jha, U.C. Exogenously applied plant growth regulator protects rice from heat-induced damage by modulating plant defense mechanism. J. Crop Sci. Biotechnol. 2023, 26, 63–75. [Google Scholar] [CrossRef]
- Huang, Y.; Mei, G.; Cao, D.; Qin, Y.; Yang, L.; Ruan, X. Spermidine enhances heat tolerance of rice seeds during mid-filling stage and promote subsequent seed germination. Front. Plant Sci. 2023, 14, 1230331. [Google Scholar] [CrossRef] [PubMed]
- Raziq, A.; Din, A.M.U.; Anwar, S.; Wang, Y.; Jahan, M.S.; He, M.; Ling, C.G.; Sun, J.; Shu, S.; Guo, S. Exogenous spermidine modulates polyamine metabolism and improves stress responsive mechanisms to protect tomato seedlings against salt stress. Plant Physiol. Biochem. 2022, 187, 1–10. [Google Scholar] [CrossRef] [PubMed]
- Hongna, C.; Junmei, S.; Leyuan, T.; Xiaori, H.; Guolin, L.; Xianguo, C. Exogenous spermidine priming mitigates the osmotic damage in germinating seeds of leymus chinensis under salt-alkali stress. Front. Plant Sci. 2021, 12, 701538. [Google Scholar] [CrossRef] [PubMed]
- Shi, W.; Zhao, S.-L.; Liu, K.; Sun, Y.-B.; Ni, Z.-B.; Zhang, G.-Y.; Tang, H.-S.; Zhu, J.-W.; Wan, B.-J.; Sun, H.-Q.; et al. Comparison of leaf transcriptome in response to Rhizoctonia solani infection between resistant and susceptible rice cultivars. BMC Genom. 2020, 21, 245. [Google Scholar] [CrossRef]
- Islam, M.D.; Price, A.H.; Hallett, P.D. Effects of root growth of deep and shallow rooting rice cultivars in compacted paddy soils on subsequent rice growth. Rice Sci. 2023, 30, 459–472. [Google Scholar] [CrossRef]
- Du, X.; Du, Y.; Feng, N.; Zheng, D.; Zhou, H.; Huo, J. Exogenous uniconazole promotes physiological metabolism and grain yield of rice under salt stress. Front. Plant Sci. 2024, 15, 1459121. [Google Scholar] [CrossRef]
- Li, J.; Li, Z.; Tang, Y.; Xiao, J.; Nangia, V.; Liu, Y. Arginine promotes seed energy metabolism, increasing wheat seed germination at low temperature. Crop J. 2024, 12, 1185–1195. [Google Scholar] [CrossRef]
- Couée, I.; Sulmon, C.; Gouesbet, G.; El Amrani, A. Involvement of soluble sugars in reactive oxygen species balance and responses to oxidative stress in plants. J. Exp. Bot. 2006, 57, 449–459. [Google Scholar] [CrossRef]
- Huang, Y.; Wu, S.; Xu, Q.; Chen, X.; Qi, X. Spermidine enhances parthenocarpic fruit formation in cucumber by promoting efficient distribution of soluble sugars and photosynthates. Sci. Hortic. 2024, 330, 113103. [Google Scholar] [CrossRef]
- Nie, M.; Ning, N.; Liang, D.; Zhang, H.; Li, S.; Li, S.; Fan, X.; Zhang, Y. Seed priming with selenite enhances germination and seedling growth of Sorghum [Sorghum bicolor (L.) moench] under salt stress. Acta Agric. Scand. Sect. B—Soil Plant Sci. 2023, 73, 42–53. [Google Scholar] [CrossRef]
- Zeng, F.; Zheng, C.; Ge, W.; Gao, Y.; Pan, X.; Ye, X.; Wu, X.; Sun, Y. Regulatory function of the endogenous hormone in the germination process of quinoa seeds. Front. Plant Sci. 2024, 14, 1322986. [Google Scholar] [CrossRef] [PubMed]
- Wang, H.; Zhang, Y.; Shi, Z.; Pang, H.; Jia, L.; Feng, H. Extracellular ATP is involved in regulating arabidopsis seed germination. Planta 2022, 255, 66–78. [Google Scholar] [CrossRef] [PubMed]
- Nie, L.; Liu, H.; Zhang, L.; Wang, W. Enhancement in rice seed germination via improved respiratory metabolism under chilling stress. Food Energy Secur. 2020, 9, e234. [Google Scholar] [CrossRef]
- Wang, Q.; Xu, W.; Ren, C.; Zhan, C.; Wang, C.; Li, J.; Ren, Q.; Liang, X.; Wei, L.; Xiang, D.; et al. Physiological and biochemical mechanisms of exogenous melatonin regulation of saline–alkali tolerance in oats. Agronomy 2023, 13, 1327. [Google Scholar] [CrossRef]
- Imran, M.; Hussain, S.; Rana, M.S.; Iqbal, A.; Rehman, N.U.; Chen, X.; Tang, X. Exogenously applied sodium nitroprusside alleviated cadmium toxicity in different aromatic rice cultivars by improving nitric oxide accumulation and modulating oxidative metabolism. Agronomy 2024, 14, 1857. [Google Scholar] [CrossRef]
- Ali, M.; Malik, Z.; Abbasi, G.H.; Irfan, M.; Ahmad, S.; Ameen, M.; Ali, A.; Sohaib, M.; Rizwan, M.; Ali, S. Potential of melatonin in enhancing antioxidant defense system and yield of maize (Zea mays L.) hybrids under saline condition. Sci. Hortic. 2024, 325, 112665. [Google Scholar] [CrossRef]
- Zhou, R.; Kong, L.; Yu, X.; Ottosen, C.-O.; Zhao, T.; Jiang, F.; Wu, Z. Oxidative damage and antioxidant mechanism in tomatoes responding to drought and heat stress. Acta Physiol. Plant. 2019, 41, 20. [Google Scholar] [CrossRef]
- Kawaguchi, R.; Suriyasak, C.; Matsumoto, R.; Sawada, Y.; Sakai, Y.; Hamaoka, N.; Sasaki, K.; Yamane, K.; Kato, Y.; Bailly, C.; et al. Regulation of reactive oxygen species and phytohormones in osmotic stress tolerance during seed germination in indica rice. Front. Plant Sci. 2023, 14, 1186960. [Google Scholar] [CrossRef]
- Feghhenabi, F.; Hadi, H.; Khodaverdiloo, H.; van Genuchten, M.T. Seed priming alleviated salinity stress during germination and emergence of wheat (Triticum aestivum L.). Agric. Water Manag. 2020, 231, 106022. [Google Scholar] [CrossRef]
- Yi, K.; Yue, J.; Yang, S.; Jiang, Y.; Hong, L.; Zeng, H.; Wei, K.; Mao, P.; Sun, Y.; Dou, L.; et al. Germination of aged oat seeds associated with changes in antioxidant enzyme activity and storage compounds mobilization. Physiol. Plant. 2023, 175, 14020. [Google Scholar] [CrossRef]
- Mu, D.W.; Feng, N.J.; Zheng, D.F.; Zhou, H.; Liu, L.; Chen, G.J.; Mu, B. Physiological mechanism of exogenous brassinolide alleviating salt stress injury in rice seedlings. Sci. Rep. 2022, 12, 20439. [Google Scholar] [CrossRef] [PubMed]
- Li, W.; Niu, Y.; Zheng, Y.; Wang, Z. Advances in the understanding of reactive oxygen species-dependent regulation on seed dormancy, germination, and deterioration in crops. Front. Plant Sci. 2022, 13, 826809. [Google Scholar] [CrossRef] [PubMed]
- Li, L.; Gu, W.; Li, J.; Li, C.; Xie, T.; Qu, D.; Meng, Y.; Li, C.; Wei, S. Exogenously applied spermidine alleviates photosynthetic inhibition under drought stress in maize (Zea mays L.) seedlings associated with changes in endogenous polyamines and phytohormones. Plant Physiol. Biochem. 2018, 129, 35–55. [Google Scholar] [CrossRef] [PubMed]
- Benkő, P.; Gémes, K.; Fehér, A. Polyamine oxidase-generated reactive oxygen species in plant development and adaptation: The polyamine oxidase—Nadph oxidase nexus. Antioxidants 2022, 11, 2488. [Google Scholar] [CrossRef]
- Liu, Y.; Jiang, Y.; Zhong, X.; Li, C.; Xu, Y.; Zhu, K.; Wang, W.; Gu, J.; Zhang, H.; Wang, Z.; et al. Exogenous spermidine and amino-ethoxyvinylglycine improve nutritional quality via increasing amino acids in rice grains. Plants 2024, 13, 316. [Google Scholar] [CrossRef]
- Bisbis, B.; Kevers, C.; Dommes, J.; Gaspar, T. Interactions between polyamine and ethylene metabolisms in a hormone autonomous sugarbeet callus. J. Plant Physiol. 2000, 157, 24–30. [Google Scholar] [CrossRef]
- Yu, Q.; Sun, W.; Han, Y.; Hao, J.; Qin, X.; Liu, C.; Fan, S. Exogenous spermidine improves the sucrose metabolism of lettuce to resist high-temperature stress. Plant Growth Regul. 2022, 96, 497–509. [Google Scholar] [CrossRef]
- Meng, F.; Feng, N.; Zheng, D.; Liu, M.; Zhang, R.; Huang, X.; Huang, A.; Chen, Z. Exogenous hemin alleviates NaCl stress by promoting photosynthesis and carbon metabolism in rice seedlings. Sci. Rep. 2023, 13, 3497. [Google Scholar] [CrossRef]
- Zhong, M.; Yue, L.; Cheng, Q.; Wang, H.; Lei, B.; Yang, X.; Kang, Y. Spermidine carbon dots enhance thermotolerance by modulating photosynthesis and cellular redox homeostasis in tomato. Environ. Sci. Nano 2023, 10, 595–610. [Google Scholar] [CrossRef]
- Yang, S.; Liu, M.; Chu, N.; Chen, G.; Wang, P.; Mo, J.; Guo, H.; Xu, J.; Zhou, H. Combined transcriptome and metabolome reveal glutathione metabolism plays a critical role in resistance to salinity in rice landraces HD961. Front. Plant Sci. 2022, 13, 952595. [Google Scholar] [CrossRef]
- Yi, J.; Feng, D.; Zhu, W.; Qi, N.; Teng, F.; Lu, X. Salt Tolerance of Rice Varieties at Germination Stage: A Comparative Study. Chin. Agric. Sci. Bull. 2022, 38, 10–14. [Google Scholar]
- Umair Hassan, M.; Chattha, M.U.; Khan, I.; Khan, T.A.; Nawaz, M.; Tang, H.; Noor, M.A.; Asseri, T.A.; Hashem, M.; Guoqin, H. Zinc seed priming alleviates salinity stress and enhances sorghum growth by regulating antioxidant activities, nutrient homeostasis, and osmolyte synthesis. Agronomy 2024, 14, 1815. [Google Scholar] [CrossRef]
- Zhang, S.; Khan, A.; Zhao, L.; Feng, N.; Zheng, D.; Shen, X. Effect of GABA on seed germination and seedling growth of rapeseed under salt stress. Res. Sq. 2023, preprint. [Google Scholar]
- Yin, G.; Xin, X.; Song, C.; Chen, X.; Zhang, J.; Wu, S.; Li, R.; Liu, X.; Lu, X. Activity levels and expression of antioxidant enzymes in the ascorbate–glutathione cycle in artificially aged rice seed. Plant Physiol. Biochem. 2014, 80, 1–9. [Google Scholar] [CrossRef] [PubMed]
- Li, J.; Hu, L.; Zhang, L.; Pan, X.; Hu, X. Exogenous spermidine is enhancing tomato tolerance to salinity–alkalinity stress by regulating chloroplast antioxidant system and chlorophyll metabolism. BMC Plant Biol. 2015, 15, 303. [Google Scholar] [CrossRef]












| Variety | Treatment | Plant Height (cm) | Root Length (cm) | Leaf Area (mm2) | Stem Base Width (mm) | Aboveground Fresh Weight (g) | Underground Fresh Weight (g) | Shoot Dry Weight (g) | Dry Weight of the Root (g) |
|---|---|---|---|---|---|---|---|---|---|
| HD961 | CK | 46.20 ± 0.53 b | 14.57 ± 0.47 ab | 272.30 ± 8.13 a | 2.70 ± 0.12 b | 500.33 ± 9.53 b | 202.33 ± 15.59 a | 121.67 ± 0.88 ab | 25.33 ± 2.33 ab |
| S | 51.23 ± 1.76 a | 16.23 ± 0.89 ab | 302.93 ± 37.00 a | 3.37 ± 0.19 a | 619.67 ± 49.83 a | 220.33 ± 12.72 a | 156.67 ± 22.64 ab | 30.67 ± 4.63 ab | |
| N | 40.30 ± 1.00 c | 13.00 ± 0.58 b | 306.63 ± 23.47 a | 2.63 ± 0.09 b | 448.67 ± 5.93 b | 129.67 ± 5.55 b | 101.33 ± 2.91 b | 18.00 ± 2.08 b | |
| NS | 46.97 ± 1.03 b | 18.23 ± 2.11 ab | 341.90 ± 19.63 a | 2.97 ± 0.03 b | 522.67 ± 16.19 b | 233.67 ± 4.63 c | 120.00 ± 11.50 a b | 33.33 ± 3.28 ab | |
| 9311 | CK | 30.80 ± 1.80 a | 14.37 ± 0.42 c | 766.50 ± 21.42 d | 3.23 ± 0.07 b | 450.00 ± 15.63 b | 213.67 ± 17.38 b | 93.67 ± 3.33 d | 24.00 ± 3.06 b |
| S | 34.33 ± 0.50 a | 23.53 ± 2.08 a | 853.27 ± 17.05 c | 4.00 ± 0.17 a | 591.67 ± 32.83 a | 271.67 ± 4.70 a | 129.00 ± 4.04 c | 35.67 ± 0.33 a | |
| N | 21.33 ± 0.44 b | 14.17 ± 1.09 c | 323.20 ± 24.30 | 2.17 ± 0.22 c | 240.67 ± 23.35 c | 142.33 ± 10.59 c | 41.00 ± 7.21 b | 16.33 ± 0.88 c | |
| NS | 31.73 ± 3.51 a | 19.47 ± 0.29 b | 660.27 ± 23.72 a | 3.33 ± 0.17 b | 379.67 ± 28.9 b | 295.00 ± 14.42 a | 73.67 ± 3.84 a | 29.33 ± 2.40 ab |
| Variety | Treatment | Na+ (μg/g) | Cl−(μg/g) | K+ (μg/g) | Ca2+ (μg/g) |
|---|---|---|---|---|---|
| 9311 | CK | 14.05 ± 0.75 b | 3638.16 ± 50.89 c | 6012.38 ± 9.17 a | 648.95 ± 7.06 b |
| leaf | S | 8.37 ± 0.35 c | 2402.62 ± 156.40 d | 5793.4 ± 176.00 a | 739.76 ± 26.24 a |
| N | 27.89 ± 0.68 a | 7544.33 ± 178.36 a | 2866.85 ± 88.62 c | 395.75 ± 26.41 d | |
| NS | 14.66 ± 0.30 b | 4299.97 ± 18.78 b | 4765.37 ± 50.21 b | 544.91 ± 9.16 c | |
| 9311 | CK | 93.45 ± 2.07 c | 1139.20 ± 44.77 b | 972.48 ± 6.89 b | 117.75 ± 1.67 d |
| root | S | 62.01 ± 0.37 d | 672.99 ± 34.41 c | 1049.38 ± 9 a | 163.42 ± 6.66 c |
| N | 428.96 ± 3.83 a | 1818.45 ± 7.67 a | 342.81 ± 2.75 d | 213.14 ± 2.37 b | |
| NS | 365.63 ± 1.63 b | 1131.17 ± 6.65 b | 372.19 ± 4.58 c | 505.92 ± 4.13 a |
Disclaimer/Publisher’s Note: The statements, opinions and data contained in all publications are solely those of the individual author(s) and contributor(s) and not of MDPI and/or the editor(s). MDPI and/or the editor(s) disclaim responsibility for any injury to people or property resulting from any ideas, methods, instructions or products referred to in the content. |
© 2024 by the authors. Licensee MDPI, Basel, Switzerland. This article is an open access article distributed under the terms and conditions of the Creative Commons Attribution (CC BY) license (https://creativecommons.org/licenses/by/4.0/).
Share and Cite
Yang, X.; Xiong, J.; Du, X.; Sun, M.; Ding, L.; Mei, W.; Sun, Z.; Feng, N.; Zheng, D.; Shen, X. Effects of Exogenous Spermidine on Seed Germination and Physiological Metabolism of Rice Under NaCl Stress. Plants 2024, 13, 3599. https://doi.org/10.3390/plants13243599
Yang X, Xiong J, Du X, Sun M, Ding L, Mei W, Sun Z, Feng N, Zheng D, Shen X. Effects of Exogenous Spermidine on Seed Germination and Physiological Metabolism of Rice Under NaCl Stress. Plants. 2024; 13(24):3599. https://doi.org/10.3390/plants13243599
Chicago/Turabian StyleYang, Xiaohui, Jian Xiong, Xiaole Du, Minmin Sun, Linchong Ding, Wanqi Mei, Zhiyuan Sun, Naijie Feng, Dianfeng Zheng, and Xuefeng Shen. 2024. "Effects of Exogenous Spermidine on Seed Germination and Physiological Metabolism of Rice Under NaCl Stress" Plants 13, no. 24: 3599. https://doi.org/10.3390/plants13243599
APA StyleYang, X., Xiong, J., Du, X., Sun, M., Ding, L., Mei, W., Sun, Z., Feng, N., Zheng, D., & Shen, X. (2024). Effects of Exogenous Spermidine on Seed Germination and Physiological Metabolism of Rice Under NaCl Stress. Plants, 13(24), 3599. https://doi.org/10.3390/plants13243599

