Comprehensive Physio-Biochemical Evaluation Reveals Promising Genotypes and Mechanisms for Cadmium Tolerance in Tibetan Hull-Less Barley
Abstract
1. Introduction
2. Results
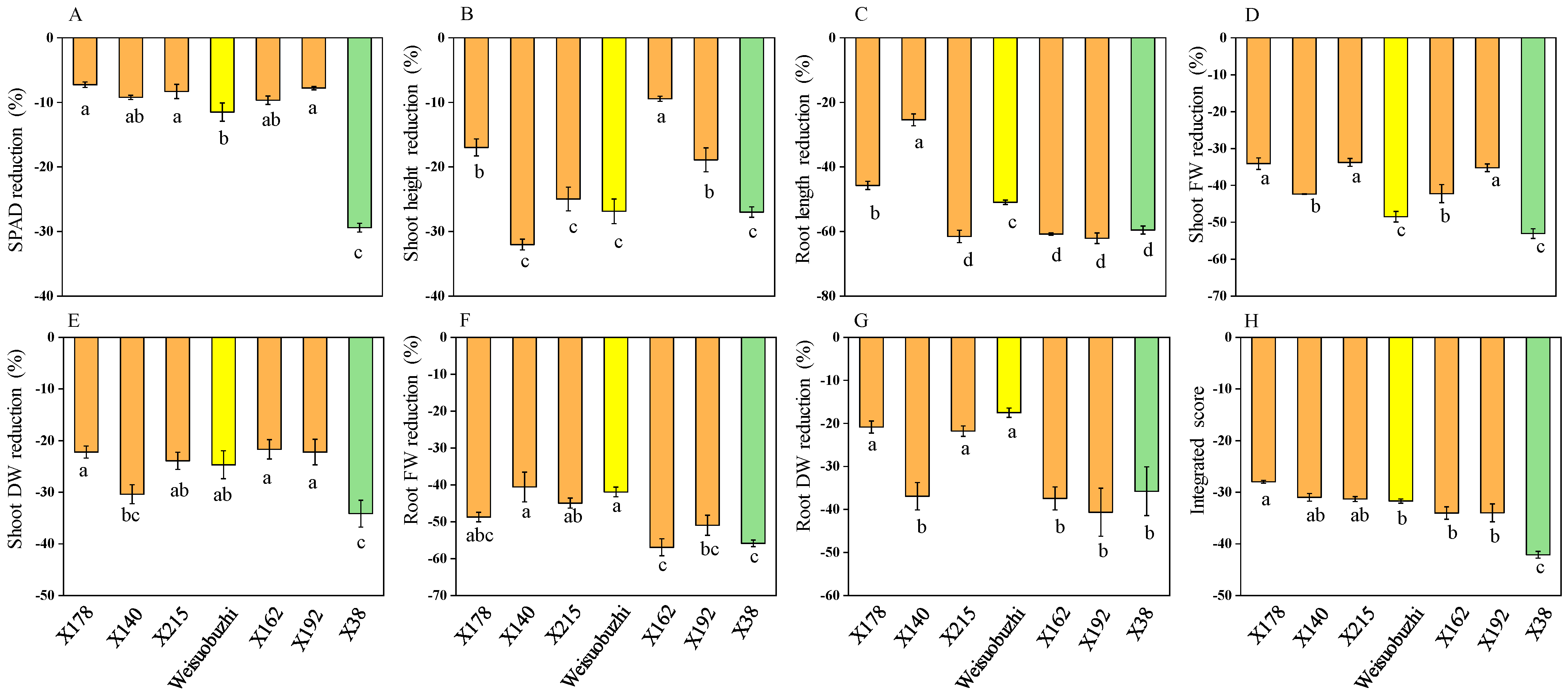
2.1. Difference in Morpho-Physiological Response to Cd Stress Among Tibetan Hull-Less Barley Genotypes
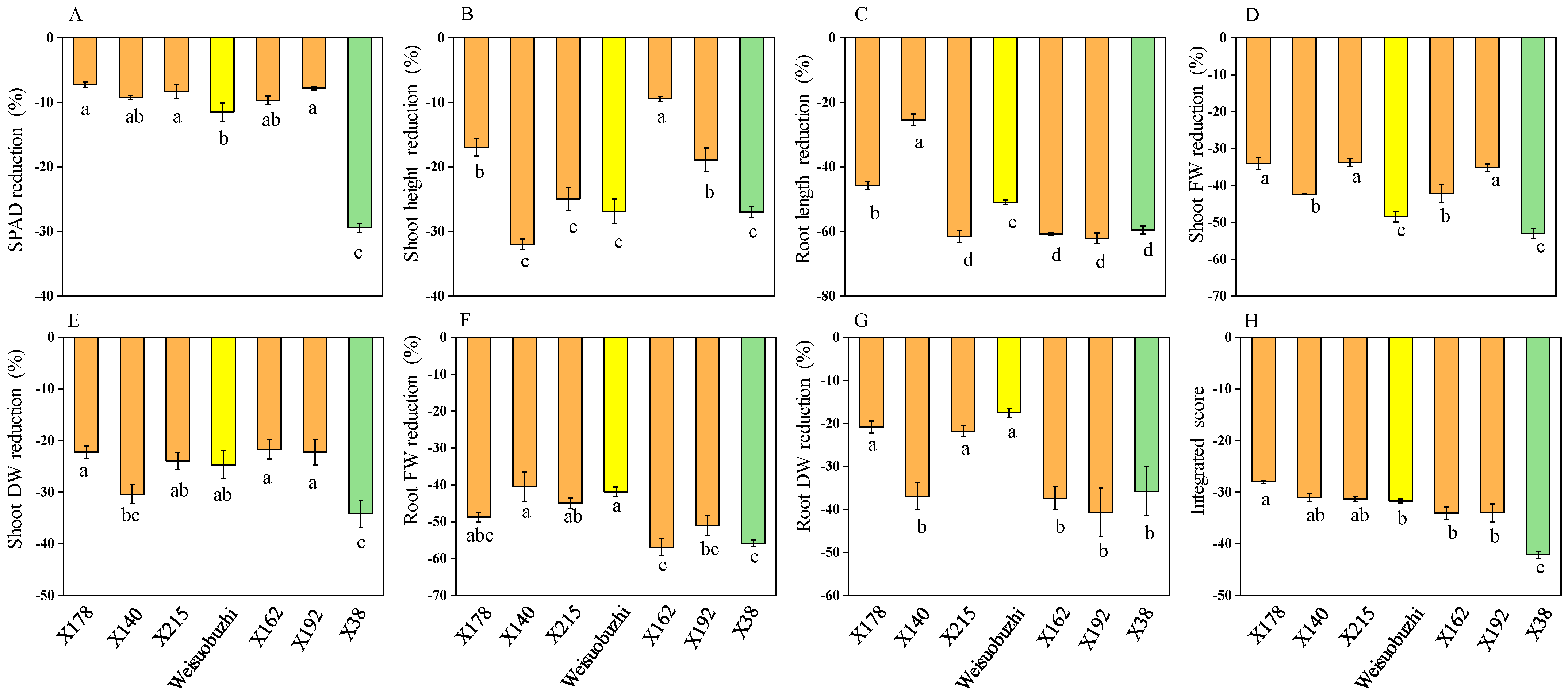
2.2. Identification of Cd-Tolerant and Sensitive Hull-Less Barley Genotypes
2.3. Principal Component Analysis (PCA)
2.4. Comparative Analysis Between Cd-Tolerant X178 and -Sensitive X38 Genotypes
2.5. Genotype X178 Exhibits Better Photosynthetic Capacity Than X38
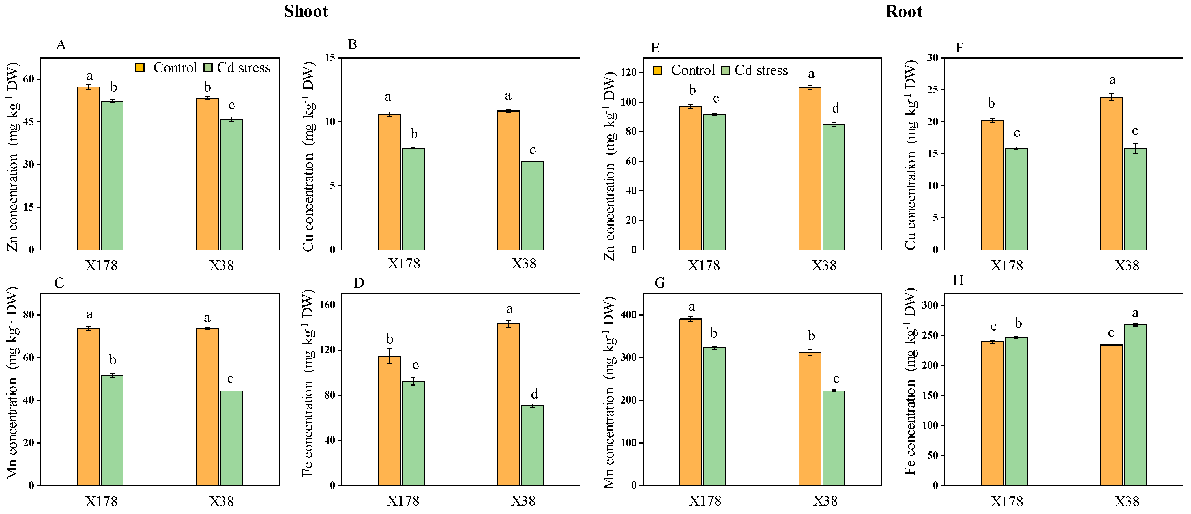
2.6. Genotype X178 Exhibits Better Nutrient Uptake than X38
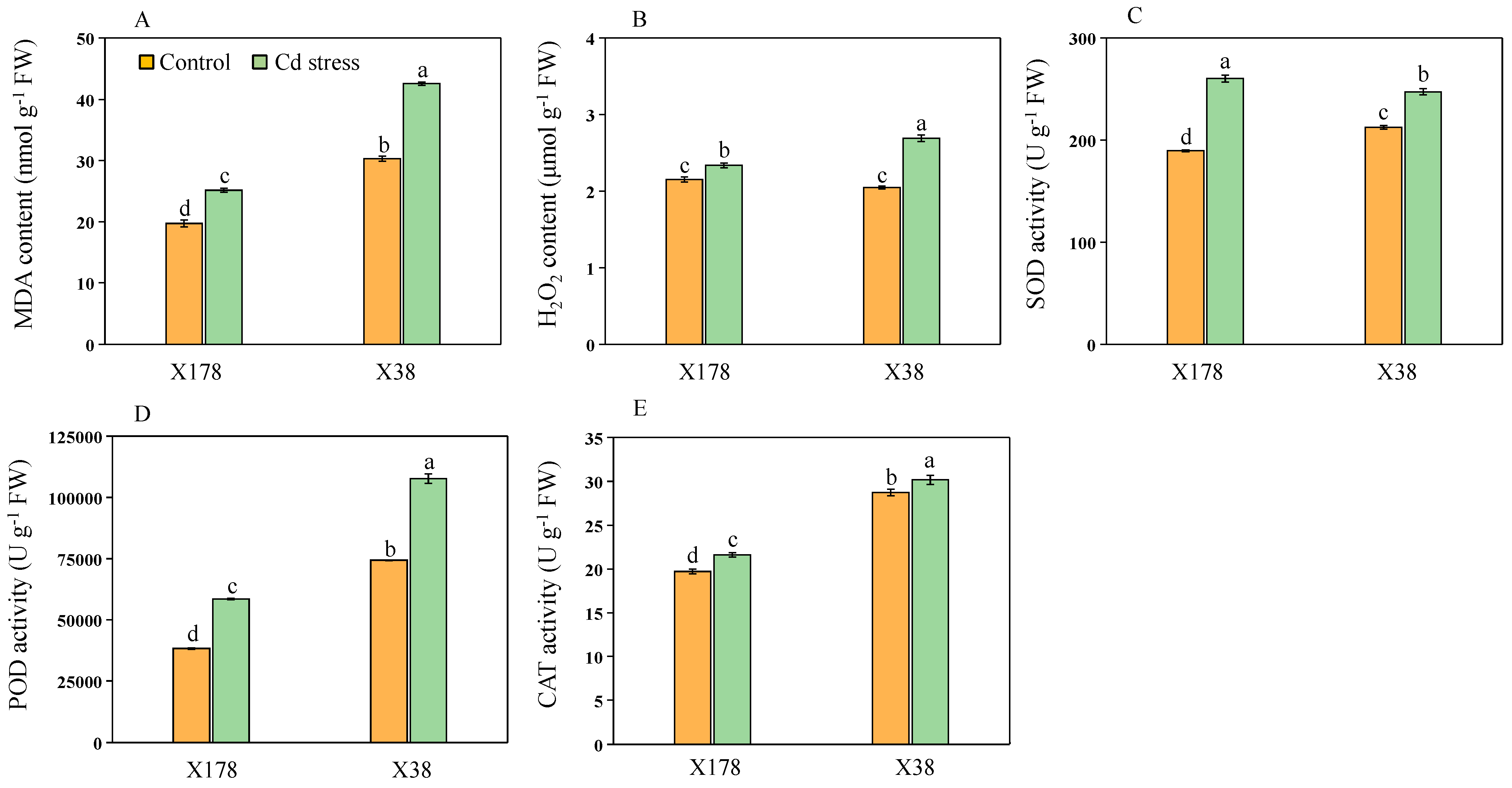
2.7. Genotype X178 Exhibits Better Oxidative Stress and Antioxidant Enzyme Activity Than X38
3. Discussion
4. Materials and Methods
4.1. Experimental Design and Cultural Condition
4.2. Growth Measurement
4.3. Photosynthetic and Gas-Exchange Feature Measurement
4.4. Element Concentration Measurement
4.5. Oxidative Stress and Antioxidant Enzyme Measurement
4.6. Statistical Analysis
5. Conclusions
Supplementary Materials
Author Contributions
Funding
Data Availability Statement
Conflicts of Interest
References
- Sikdar, A.; Jeyasundar, P.G.S.A.; Debnath, B.; Hossain, M.S.; Islam, M.A.; Ahammed, G.J. Cadmium Contamination in the Soil Environment: Impact on Plant Growth and Human Health. In Agrochemicals in Soil and Environment: Impacts and Remediation; Springer Nature: Singapore, 2022. [Google Scholar]
- Wu, F.; Zhang, G.; Dominy, P. Four Barley Genotypes Respond Differently to Cadmium: Lipid Peroxidation and Activities of Antioxidant Capacity. Environ. Exp. Bot. 2003, 50, 67–78. [Google Scholar] [CrossRef]
- Wang, N.H.; Zhou, X.Y.; Shi, S.H.; Zhang, S.; Chen, Z.H.; Ali, M.A.; Ahmed, I.M.; Wang, Y.; Wu, F. An MiR156-Regulated Nucleobase-Ascorbate Transporter 2 Confers Cadmium Tolerance via Enhanced Anti-Oxidative Capacity in Barley. J. Adv. Res. 2023, 44, 23–37. [Google Scholar] [CrossRef] [PubMed]
- Zhang, W.; Song, J.; Yue, S.; Duan, K.; Yang, H. MhMAPK4 from Malus Hupehensis Rehd. Decreases Cell Death in Tobacco Roots by Controlling Cd2+ Uptake. Ecotoxicol. Environ. Saf. 2019, 168, 230–240. [Google Scholar] [CrossRef]
- Ahmad, P.; Ahanger, M.A.; Alyemeni, M.N.; Wijaya, L.; Alam, P. Exogenous Application of Nitric Oxide Modulates Osmolyte Metabolism, Antioxidants, Enzymes of Ascorbate-Glutathione Cycle and Promotes Growth under Cadmium Stress in Tomato. Protoplasma 2018, 255, 79–93. [Google Scholar] [CrossRef] [PubMed]
- Soni, S.; Jha, A.B.; Dubey, R.S.; Sharma, P. Mitigating Cadmium Accumulation and Toxicity in Plants: The Promising Role of Nanoparticles. Sci. Total Environ. 2024, 912, 168826. [Google Scholar] [CrossRef]
- Yang, J.; Chen, X.; Lu, W.; Chen, R.; Liu, M.; Yao, H.; Li, J.; Hong, J.; Mao, X. Reducing Cd Accumulation in Rice Grain with Foliar Application of Glycerol and Its Mechanisms of Cd Transport Inhibition. Chemosphere 2020, 258, 127135. [Google Scholar] [CrossRef] [PubMed]
- El Rasafi, T.; Oukarroum, A.; Haddioui, A.; Song, H.; Kwon, E.E.; Bolan, N.; Tack, F.M.G.; Sebastian, A.; Prasad, M.N.V.; Rinklebe, J. Cadmium Stress in Plants: A Critical Review of the Effects, Mechanisms, and Tolerance Strategies. Crit. Rev. Environ. Sci. Technol. 2022, 52, 675–726. [Google Scholar] [CrossRef]
- Su, C.; Jiang, Y.; Li, F.; Yang, Y.; Lu, Q.; Zhang, T.; Hu, D.; Xu, Q. Investigation of Subcellular Distribution, Physiological, and Biochemical Changes in Spirodela Polyrhiza as a Function of Cadmium Exposure. Environ. Exp. Bot. 2017, 142, 24–33. [Google Scholar] [CrossRef]
- Saini, S.; Kaur, N.; Pati, P.K. Phytohormones: Key Players in the Modulation of Heavy Metal Stress Tolerance in Plants. Ecotoxicol. Environ. Saf. 2021, 223, 112578. [Google Scholar] [CrossRef]
- Wang, X.K.; Gong, X.; Cao, F.; Wang, Y.; Zhang, G.; Wu, F. HvPAA1 Encodes a P-Type ATPase, a Novel Gene for Cadmium Accumulation and Tolerance in Barley (Hordeum vulgare L.). Int. J. Mol. Sci. 2019, 20, 1732. [Google Scholar] [CrossRef] [PubMed]
- Wu, F.; Wu, H.; Zhang, G.; Bachir, D.M.L. Differences in Growth and Yield in Response to Cadmium Toxicity in Cotton Genotypes. J. Plant Nutr. Soil Sci. 2004, 167, 85–90. [Google Scholar] [CrossRef]
- Chen, Q.; Wu, F. Breeding for Low Cadmium Accumulation Cereals. J. Zhejiang Univ. Sci. B 2020, 21, 442–459. [Google Scholar] [CrossRef] [PubMed]
- Hayes, P.; Carrijo, D.; Meints, B. Towards Low Cadmium Accumulation in Barley. Nat. Food 2020, 1, 465. [Google Scholar] [CrossRef] [PubMed]
- Lei, G.J.; Fujii-Kashino, M.; Wu, D.Z.; Hisano, H.; Saisho, D.; Deng, F.; Yamaji, N.; Sato, K.; Zhao, F.J.; Ma, J.F. Breeding for Low Cadmium Barley by Introgression of a Sukkula-like Transposable Element. Nat. Food 2020, 1, 489–499. [Google Scholar] [CrossRef] [PubMed]
- Deng, P.; Yan, T.; Ji, W.; Zhang, G.; Wu, L.; Wu, D. Population-Level Transcriptomes Reveal Gene Expression and Splicing Underlying Cadmium Accumulation in Barley. Plant J. 2022, 112, 847–859. [Google Scholar] [CrossRef] [PubMed]
- Neyshabouri, F.A.; Ghotbi-Ravandi, A.A.; Shariatmadari, Z.; Tohidfar, M. Cadmium Toxicity Promotes Hormonal Imbalance and Induces the Expression of Genes Involved in Systemic Resistances in Barley. BioMetals 2024, 37, 1147–1160. [Google Scholar] [CrossRef] [PubMed]
- Ma, P.; Zang, J.; Shao, T.; Jiang, Q.; Li, Y.; Zhang, W.; Liu, M. Cadmium Distribution and Transformation in Leaf Cells Involved in Detoxification and Tolerance in Barley. Ecotoxicol. Environ. Saf. 2023, 249, 114391. [Google Scholar] [CrossRef]
- Wu, D.; Yamaji, N.; Yamane, M.; Kashino-Fujii, M.; Sato, K.; Ma, J.F. The HvNramp5 Transporter Mediates Uptake of Cadmium and Manganese, But Not Iron. Plant Physiol. 2016, 172, 1899–1910. [Google Scholar] [CrossRef] [PubMed]
- Kaznina, N.M.; Titov, A.F.; Topchieva, L.V.; Batova, Y.V.; Laidinen, G.F. The Content of HvHMA2 and HvHMA3 Transcripts in Barley Plants Treated with Cadmium. Russ. J. Plant Physiol. 2014, 61, 355–359. [Google Scholar] [CrossRef]
- Zhou, X.Y.; Wang, N.H.; Qiu, C.W.; Luo, L.; Zhang, M.; Zhang, S.; Gao, Z.F.; Ahmed, I.M.; Wu, F. Transcriptome Profiling Uncovers the LncRNA-Mediated Regulatory Networks Associated with Tolerance to Cadmium Stress in Barley. Environ. Exp. Bot. 2023, 206, 105156. [Google Scholar] [CrossRef]
- Chen, F.; Wang, F.; Zhang, G.; Wu, F. Identification of Barley Varieties Tolerant to Cadmium Toxicity. Biol. Trace Elem. Res. 2008, 121, 171–179. [Google Scholar] [CrossRef]
- Detterbeck, A.; Pongrac, P.; Rensch, S.; Reuscher, S.; Pečovnik, M.; Vavpetič, P.; Pelicon, P.; Holzheu, S.; Krämer, U.; Clemens, S. Spatially Resolved Analysis of Variation in Barley (Hordeum vulgare) Grain Micronutrient Accumulation. New Phytol. 2016, 211, 1241–1254. [Google Scholar] [CrossRef] [PubMed]
- Ayachi, I.; Ghabriche, R.; Kourouma, Y.; Ben Naceur, M.; Abdelly, C.; Thomine, S.; Ghnaya, T. Cd Tolerance and Accumulation in Barley: Screening of 36 North African Cultivars on Cd-Contaminated Soil. Environ. Sci. Pollut. Res. Int. 2021, 28, 42722–42736. [Google Scholar] [CrossRef]
- Tiryakioglu, M.; Eker, S.; Ozkutlu, F.; Husted, S.; Cakmak, I. Antioxidant Defense System and Cadmium Uptake in Barley Genotypes Differing in Cadmium Tolerance. J. Trace Elem. Med. Biol. 2006, 20, 181–189. [Google Scholar] [CrossRef]
- Kumar Yadav, K.; Gupta, N.; Kumar, A.; Reece, L.M.; Singh, N.; Rezania, S.; Ahmad Khan, S. Mechanistic Understanding and Holistic Approach of Phytoremediation: A Review on Application and Future Prospects. Ecol. Eng. 2018, 120, 274–298. [Google Scholar] [CrossRef]
- Gupta, N.; Yadav, K.K.; Kumar, V.; Kumar, S.; Chadd, R.P.; Kumar, A. Trace Elements in Soil-Vegetables Interface: Translocation, Bioaccumulation, Toxicity and Amelioration—A Review. Sci. Total Environ. 2019, 651, 2927–2942. [Google Scholar] [CrossRef] [PubMed]
- Manousaki, E.; Kalogerakis, N. Phytoextraction of Pb and Cd by the Mediterranean Saltbush (Atriplex halimus L.): Metal Uptake in Relation to Salinity. Environ. Sci. Pollut. Res. 2009, 16, 844–854. [Google Scholar] [CrossRef] [PubMed]
- Wang, M.; Zou, J.; Duan, X.; Jiang, W.; Liu, D. Cadmium Accumulation and Its Effects on Metal Uptake in Maize (Zea mays L.). Bioresour. Technol. 2007, 98, 82–88. [Google Scholar] [CrossRef]
- Maksimović, I.; Kastori, R.; Krstić, L.; Luković, J. Steady Presence of Cadmium and Nickel Affects Root Anatomy, Accumulation and Distribution of Essential Ions in Maize Seedlings. Biol. Plant. 2007, 51, 589–592. [Google Scholar] [CrossRef]
- Perveen, A.; Wahid, A.; Mahmood, S.; Hussain, I.; Rasheed, R. Possible Mechanism of Medium-Supplemented Thiourea in Improving Growth, Gas Exchange, and Photosynthetic Pigments in Cadmium-Stressed Maize (Zea mays). Rev. Bras. Bot. 2015, 38, 71–79. [Google Scholar] [CrossRef]
- Wu, F.; Zhang, G. Genotypic Differences in Effect of Cd on Growth and Mineral Concentrations in Barley Seedlings. Bull. Environ. Contam. Toxicol. 2002, 69, 219–227. [Google Scholar] [CrossRef] [PubMed]
- Qiu, L.; Wu, D.; Ali, S.; Cai, S.; Dai, F.; Jin, X.; Wu, F.; Zhang, G. Evaluation of Salinity Tolerance and Analysis of Allelic Function of HvHKT1 and HvHKT2 in Tibetan Wild Barley. Theor. Appl. Genet. 2011, 122, 695–703. [Google Scholar] [CrossRef]
- Quan, X.; Liang, X.; Li, H.; Xie, C.; He, W.; Qin, Y. Identification and Characterization of Wheat Germplasm for Salt Tolerance. Plants 2021, 10, 268. [Google Scholar] [CrossRef] [PubMed]
- Tanwir, K.; Akram, M.S.; Masood, S.; Chaudhary, H.J.; Lindberg, S.; Javed, M.T. Cadmium-Induced Rhizospheric PH Dynamics Modulated Nutrient Acquisition and Physiological Attributes of Maize (Zea mays L.). Environ. Sci. Pollut. Res. 2015, 22, 9193–9203. [Google Scholar] [CrossRef] [PubMed]
- Wang, F.; Chen, F.; Cai, Y.; Zhang, G.; Wu, F. Modulation of Exogenous Glutathione in Ultrastructure and Photosynthetic Performance against Cd Stress in the Two Barley Genotypes Differing in Cd Tolerance. Biol. Trace Elem. Res. 2011, 144, 1275–1288. [Google Scholar] [CrossRef] [PubMed]
- Qiu, C.W.; Richmond, M.; Ma, Y.; Zhang, S.; Liu, W.; Feng, X.; Ahmed, I.M.; Wu, F. Melatonin Enhances Cadmium Tolerance in Rice via Long Non-Coding RNA-Mediated Modulation of Cell Wall and Photosynthesis. J. Hazard. Mater. 2024, 465, 133251. [Google Scholar] [CrossRef] [PubMed]
- Pérez-Romero, J.A.; Redondo-Gómez, S.; Mateos-Naranjo, E. Growth and Photosynthetic Limitation Analysis of the Cd-Accumulator Salicornia Ramosissima under Excessive Cadmium Concentrations and Optimum Salinity Conditions. Plant Physiol. Biochem. 2016, 109, 103–113. [Google Scholar] [CrossRef] [PubMed]
- Pereira de Araújo, R.; Furtado de Almeida, A.A.; Silva Pereira, L.; Mangabeira, P.A.O.; Olimpio Souza, J.; Pirovani, C.P.; Ahnert, D.; Baligar, V.C. Photosynthetic, Antioxidative, Molecular and Ultrastructural Responses of Young Cacao Plants to Cd Toxicity in the Soil. Ecotoxicol. Environ. Saf. 2017, 144, 148–157. [Google Scholar] [CrossRef]
- Singh, S.K.; Kakani, V.G.; Brand, D.; Baldwin, B.; Reddy, K.R. Assessment of Cold and Heat Tolerance of Winter-Grown Canola (Brassica napus L.) Cultivars by Pollen-Based Parameters. J. Agron. Crop Sci. 2008, 194, 225–236. [Google Scholar] [CrossRef]
- Wijewardana, C.; Hock, M.; Henry, B.; Reddy, K.R. Screening Corn Hybrids for Cold Tolerance Using Morphological Traits for Early-Season Seeding. Crop Sci. 2015, 55, 851–867. [Google Scholar] [CrossRef]
- Khalili, M.; Pour-Aboughadareh, A.; Naghavi, M.R. Assessment of Drought Tolerance in Barley: Integrated Selection Criterion and Drought Tolerance Indices. Environ. Exp. Biol. 2016, 14, 33–41. [Google Scholar] [CrossRef]
- Rasel, M.; Tahjib-Ul-Arif, M.; Hossain, M.A.; Hassan, L.; Farzana, S.; Brestic, M. Screening of Salt-Tolerant Rice Landraces by Seedling Stage Phenotyping and Dissecting Biochemical Determinants of Tolerance Mechanism. J. Plant Growth Regul. 2021, 40, 1853–1868. [Google Scholar] [CrossRef]
- Kakar, N.; Jumaa, S.H.; Redoña, E.D.; Warburton, M.L.; Reddy, K.R. Evaluating Rice for Salinity Using Pot-Culture Provides a Systematic Tolerance Assessment at the Seedling Stage. Rice 2019, 12, 57. [Google Scholar] [CrossRef]
- Hédiji, H.; Djebali, W.; Belkadhi, A.; Cabasson, C.; Moing, A.; Rolin, D.; Brouquisse, R.; Gallusci, P.; Chaïbi, W. Impact of Long-Term Cadmium Exposure on Mineral Content of Solanum Lycopersicum Plants: Consequences on Fruit Production. S. Afr. J. Bot. 2015, 97, 176–181. [Google Scholar] [CrossRef]
- Zulfiqar, U.; Jiang, W.; Xiukang, W.; Hussain, S.; Ahmad, M.; Maqsood, M.F.; Ali, N.; Ishfaq, M.; Kaleem, M.; Haider, F.U.; et al. Cadmium Phytotoxicity, Tolerance, and Advanced Remediation Approaches in Agricultural Soils; A Comprehensive Review. Front. Plant Sci. 2022, 13, 773815. [Google Scholar] [CrossRef]
- García de la Torre, V.S.; Coba de la Peña, T.; Pueyo, J.J.; Lucas, M.M. Cadmium-Tolerant and -Sensitive Cultivars Identified by Screening of Medicago Truncatula Germplasm Display Contrasting Responses to Cadmium Stress. Front. Plant Sci. 2021, 12, 595001. [Google Scholar] [CrossRef]
- Verret, F.; Gravot, A.; Auroy, P.; Leonhardt, N.; David, P.; Nussaume, L.; Vavasseur, A.; Richaud, P. Overexpression of AtHMA4 Enhances Root-to-Shoot Translocation of Zinc and Cadmium and Plant Metal Tolerance. FEBS Lett. 2004, 576, 306–312. [Google Scholar] [CrossRef] [PubMed]
- Wong, C.K.E.; Cobbett, C.S. HMA P-Type ATPases Are the Major Mechanism for Root-to-Shoot Cd Translocation in Arabidopsis thaliana. New Phytol. 2009, 181, 71–78. [Google Scholar] [CrossRef] [PubMed]
- Zhang, J.; Zhang, M.; Shohag, M.J.I.; Tian, S.; Song, H.; Feng, Y.; Yang, X. Enhanced Expression of SaHMA3 Plays Critical Roles in Cd Hyperaccumulation and Hypertolerance in Cd Hyperaccumulator Sedum Alfredii Hance. Planta 2016, 243, 577–589. [Google Scholar] [CrossRef] [PubMed]
- Sasaki, A.; Yamaji, N.; Ma, J.F. Overexpression of OsHMA3 Enhances Cd Tolerance and Expression of Zn Transporter Genes in Rice. J. Exp. Bot. 2014, 65, 6013–6021. [Google Scholar] [CrossRef]
- Zhang, X.; Rui, H.; Zhang, F.; Hu, Z.; Xia, Y.; Shen, Z. Overexpression of a Functional Vicia sativa PCS1 Homolog Increases Cadmium Tolerance and Phytochelatins Synthesis in Arabidopsis. Front. Plant Sci. 2018, 9, 107. [Google Scholar] [CrossRef] [PubMed]
- Ullah, S.; Khan, J.; Hayat, K.; Elateeq, A.A.; Salam, U.; Yu, B.; Ma, Y.; Wang, H.; Tang, Z.H. Comparative Study of Growth, Cadmium Accumulation and Tolerance of Three Chickpea (Cicer arietinum L.) Cultivars. Plants 2020, 9, 310. [Google Scholar] [CrossRef] [PubMed]
- Villiers, F.; Jourdain, A.; Bastien, O.; Leonhardt, N.; Fujioka, S.; Tichtincky, G.; Parcy, F.; Bourguignon, J.; Hugouvieux, V. Evidence for Functional Interaction between Brassinosteroids and Cadmium Response in Arabidopsis thaliana. J. Exp. Bot. 2012, 63, 1185–1200. [Google Scholar] [CrossRef]
- Fontes, R.L.F.; Pereira, J.M.N.; Neves, J.C.L. Uptake and Translocation of Cd and Zn in Two Lettuce Cultivars. An Acad. Bras. Cienc. 2014, 86, 907–922. [Google Scholar] [CrossRef]
- Ismael, M.A.; Elyamine, A.M.; Moussa, M.G.; Cai, M.; Zhao, X.; Hu, C. Cadmium in Plants: Uptake, Toxicity, and Its Interactions with Selenium Fertilizers. Metallomics 2019, 11, 255–277. [Google Scholar] [CrossRef] [PubMed]
- Khan, A.; Khan, S.; Alam, M.; Khan, M.A.; Aamir, M.; Qamar, Z.; Rehman, Z.U.; Perveen, S. Toxic Metal Interactions Affect the Bioaccumulation and Dietary Intake of Macro- and Micro-Nutrients. Chemosphere 2016, 146, 121–128. [Google Scholar] [CrossRef]
- Jinadasa, N.; Collins, D.; Holford, P.; Milham, P.J.; Conroy, J.P. Reactions to Cadmium Stress in a Cadmium-Tolerant Variety of Cabbage (Brassica oleracea L.): Is Cadmium Tolerance Necessarily Desirable in Food Crops? Environ. Sci. Pollut. Res. 2016, 23, 5296–5306. [Google Scholar] [CrossRef]
- Pereira, T.S.; Pereira, T.S.; de Carvalho Souza, C.L.F.; Lima, E.J.A.; Batista, B.L.; da Silva Lobato, A.K. Silicon Deposition in Roots Minimizes the Cadmium Accumulation and Oxidative Stress in Leaves of Cowpea Plants. Physiol. Mol. Biol. Plants 2018, 24, 99–114. [Google Scholar] [CrossRef]
- Hou, L.; Ji, S.; Zhang, Y.; Wu, X.; Zhang, L.; Liu, P. The Mechanism of Silicon on Alleviating Cadmium Toxicity in Plants: A Review. Front. Plant Sci. 2023, 14, 1141138. [Google Scholar] [CrossRef]
- Tian, S.; Liang, S.; Qiao, K.; Wang, F.; Zhang, Y.; Chai, T. Co-Expression of Multiple Heavy Metal Transporters Changes the Translocation, Accumulation, and Potential Oxidative Stress of Cd and Zn in Rice (Oryza sativa). J. Hazard. Mater. 2019, 380, 120853. [Google Scholar] [CrossRef] [PubMed]
- He, L.; He, T.; Farrar, S.; Ji, L.; Liu, T.; Ma, X. Antioxidants Maintain Cellular Redox Homeostasis by Elimination of Reactive Oxygen Species. Cell. Physiol. Biochem. 2017, 44, 532–553. [Google Scholar] [CrossRef] [PubMed]
- Qiu, C.-W.; Zhang, C.; Wang, N.-H.; Mao, W.; Wu, F. Strigolactone GR24 Improves Cadmium Tolerance by Regulating Cadmium Uptake, Nitric Oxide Signaling and Antioxidant Metabolism in Barley (Hordeum vulgare L.). Environ. Pollut. 2021, 273, 116486. [Google Scholar] [CrossRef] [PubMed]
- Nazir, M.M.; Noman, M.; Ahmed, T.; Ali, S.; Ulhassan, Z.; Zeng, F.; Zhang, G. Exogenous Calcium Oxide Nanoparticles Alleviate Cadmium Toxicity by Reducing Cd Uptake and Enhancing Antioxidative Capacity in Barley Seedlings. J. Hazard. Mater. 2022, 438, 129498. [Google Scholar] [CrossRef] [PubMed]
- Moravčíková, D.; Žiarovská, J. The Effect of Cadmium on Plants in Terms of the Response of Gene Expression Level and Activity. Plants 2023, 12, 1848. [Google Scholar] [CrossRef] [PubMed]
- Luo, P.; Wu, J.; Li, T.T.; Shi, P.; Ma, Q.; Di, D.W. An Overview of the Mechanisms through Which Plants Regulate ROS Homeostasis under Cadmium Stress. Antioxidants 2024, 13, 1174. [Google Scholar] [CrossRef] [PubMed]
- Zhang, H.; Lu, L. Transcription Factors Involved in Plant Responses to Cadmium-Induced Oxidative Stress. Front. Plant Sci. 2024, 15, 1397289. [Google Scholar] [CrossRef] [PubMed]
- Gao, W.; Liu, B.; Phetmany, S.; Li, J.; Wang, D.; Liu, Z.; Gao, C. ThDIV2, an R-R-Type MYB Transcription Factor of Tamarix Hispida, Negatively Regulates Cadmium Stress by Modulating ROS Homeostasis. Environ. Exp. Bot. 2023, 214, 105453. [Google Scholar] [CrossRef]
- Yan, C.; Feng, B.; Zhao, Z.; Zhang, Y.; Yin, K.; Liu, Y.; Zhang, X.; Liu, J.; Li, J.; Zhao, R.; et al. Populus Euphratica R2R3-MYB Transcription Factor RAX2 Binds ANN1 Promoter to Increase Cadmium Enrichment in Arabidopsis. Plant Sci. 2024, 344, 112082. [Google Scholar] [CrossRef]
- Chen, X.; Wu, X.; Han, C.; Jia, Y.; Wan, X.; Liu, Q.; He, F.; Zhang, F. A WRKY Transcription Factor, PyWRKY71, Increased the Activities of Antioxidant Enzymes and Promoted the Accumulation of Cadmium in Poplar. Plant Physiol. Biochem. 2023, 205, 108163. [Google Scholar] [CrossRef] [PubMed]
- Guo, T.; Zhang, G.; Zhou, M.; Wu, F.; Chen, J. Effects of aluminum and cadmium toxicity on growth and antioxidant enzyme activities of two barley genotypes with different Al resistance. Plant Soil 2004, 258, 241–248. [Google Scholar] [CrossRef]
- Karalija, E.; Parić, A. Antioxidant Defense: A Key Mechanism of Cadmium Tolerance. In Cadmium Toxicity Mitigation; Springer: Cham, Switzerland, 2024; pp. 195–214. [Google Scholar]
- Shannon, C.E.; Weaver, W. The Mathematical Theory of Communication; University of Illinois Press: Champaign, IL, USA, 1949. [Google Scholar]
- Ahmed, I.M.; Dai, H.; Zheng, W.; Cao, F.; Zhang, G.; Sun, D.; Wu, F. Genotypic Differences in Physiological Characteristics in the Tolerance to Drought and Salinity Combined Stress between Tibetan Wild and Cultivated Barley. Plant Physiol. Biochem. 2013, 63, 49–60. [Google Scholar] [CrossRef] [PubMed]
- Dong, J.; Wu, F.; Huang, R.; Zang, G. A Chromium-Tolerant Plant Growing in Cr-Contaminated Land. Int. J. Phytoremediation 2007, 9, 167–179. [Google Scholar] [CrossRef] [PubMed]
- Ahmed, I.M.; Nadira, U.A.; Cao, F.; He, X.; Zhang, G.; Wu, F. Physiological and Molecular Analysis on Root Growth Associated with the Tolerance to Aluminum and Drought Individual and Combined in Tibetan Wild and Cultivated Barley. Planta 2016, 243, 973–985. [Google Scholar] [CrossRef]
- Ahmed, I.M.; Nadira, U.A.; Qiu, C.W.; Cao, F.; Zhang, G.; Holford, P.; Wu, F. Tolerance to Drought, Low PH and Al Combined Stress in Tibetan Wild Barley Is Associated with Improvement of ATPase and Modulation of Antioxidant Defense System. Int. J. Mol. Sci. 2018, 19, 3553. [Google Scholar] [CrossRef]
- Ibrahim, W.; Qiu, C.W.; Zhang, C.; Cao, F.; Shuijin, Z.; Wu, F. Comparative Physiological Analysis in the Tolerance to Salinity and Drought Individual and Combination in Two Cotton Genotypes with Contrasting Salt Tolerance. Physiol. Plant 2019, 165, 155–168. [Google Scholar] [CrossRef]









| Reduction Percentage | SPAD Value | Shoot Height | Root Length | Shoot Fresh Weight | Root Fresh Weight | Shoot Dry Weight | Root Dry Weight | Integrated Score |
|---|---|---|---|---|---|---|---|---|
| Mean | −11.74 | −39.69 | −48.09 | −52.88 | −58.39 | −40.59 | −40.52 | −41.7 |
| Min | 5.54 | −24.53 | −12.71 | −14.84 | −32.96 | −3.23 | −6.50 | −23.4 |
| Max | −27.47 | −54.97 | −66.97 | −74.38 | −81.56 | −67.87 | −72.07 | −60.9 |
| Diversity index | 2.04 | 2.07 | 1.86 | 2.02 | 2.03 | 2.03 | 2.04 | 2.05 |
| CV % | 57.60 | 17.07 | 29.55 | 24.36 | 20.26 | 34.64 | 39.17 | 21.5 |
| Between genotypes | ** | ** | ** | ** | ** | ** | ** | ** |
| Between treatments | ** | ** | ** | ** | ** | ** | ** | ** |
| Reduction Percentage | SPAD Value | Shoot Height | Root Length | Shoot Fresh Weight | Root Fresh Weight | Shoot Dry Weight | Root Dry Weight | Integrated Score |
|---|---|---|---|---|---|---|---|---|
| Mean | −11.9 | −22.3 | −52.3 | −41.3 | −48.6 | −25.6 | −30.1 | −33.2 |
| Min | −7.3 | −9.4 | −25.4 | −33.8 | −40.6 | −21.7 | −17.5 | −28.0 |
| Max | −29.4 | −32.0 | −62.1 | −53.1 | −56.9 | −34.1 | −40.6 | −42.1 |
| CV (%) | 66.2 | 34.2 | 25.6 | 18.1 | 13.3 | 18.7 | 32.0 | 13.4 |
| Between genotypes | ** | ** | ** | ** | ** | ** | ** | ** |
| Between treatments | ** | ** | ** | ** | ** | * | ** | ** |
Disclaimer/Publisher’s Note: The statements, opinions and data contained in all publications are solely those of the individual author(s) and contributor(s) and not of MDPI and/or the editor(s). MDPI and/or the editor(s) disclaim responsibility for any injury to people or property resulting from any ideas, methods, instructions or products referred to in the content. |
© 2024 by the authors. Licensee MDPI, Basel, Switzerland. This article is an open access article distributed under the terms and conditions of the Creative Commons Attribution (CC BY) license (https://creativecommons.org/licenses/by/4.0/).
Share and Cite
Foysal, M.R.A.; Qiu, C.-W.; Sreesaeng, J.; Elhabashy, S.; Akhter, D.; Zhang, S.; Shi, S.-H.; Wu, F. Comprehensive Physio-Biochemical Evaluation Reveals Promising Genotypes and Mechanisms for Cadmium Tolerance in Tibetan Hull-Less Barley. Plants 2024, 13, 3593. https://doi.org/10.3390/plants13243593
Foysal MRA, Qiu C-W, Sreesaeng J, Elhabashy S, Akhter D, Zhang S, Shi S-H, Wu F. Comprehensive Physio-Biochemical Evaluation Reveals Promising Genotypes and Mechanisms for Cadmium Tolerance in Tibetan Hull-Less Barley. Plants. 2024; 13(24):3593. https://doi.org/10.3390/plants13243593
Chicago/Turabian StyleFoysal, Md Rafat Al, Cheng-Wei Qiu, Jakkrit Sreesaeng, Saad Elhabashy, Delara Akhter, Shuo Zhang, Shou-Heng Shi, and Feibo Wu. 2024. "Comprehensive Physio-Biochemical Evaluation Reveals Promising Genotypes and Mechanisms for Cadmium Tolerance in Tibetan Hull-Less Barley" Plants 13, no. 24: 3593. https://doi.org/10.3390/plants13243593
APA StyleFoysal, M. R. A., Qiu, C.-W., Sreesaeng, J., Elhabashy, S., Akhter, D., Zhang, S., Shi, S.-H., & Wu, F. (2024). Comprehensive Physio-Biochemical Evaluation Reveals Promising Genotypes and Mechanisms for Cadmium Tolerance in Tibetan Hull-Less Barley. Plants, 13(24), 3593. https://doi.org/10.3390/plants13243593

