Abstract
N6-methyladenosine (m6A) is a widespread post-transcriptional modification of RNA in eukaryotes. The conserved YTH-domain-containing RNA binding protein has been widely reported to serve as a typical m6A reader in various species. However, no studies have reported the m6A readers in Ginkgo biloba (G. biloba). In this study, a systematic analysis of the m6A reader (YTH) gene family was performed on G. biloba, identifying 10 YTH genes in its genome. Phylogenetic analysis of protein-coding sequences revealed that YTH genes from G. biloba could be classified into two subgroups: GbDC1 and GbDC2 in GbDC and GbDF1-8 in GbDF, each with similar motifs and gene structures. In G. biloba, the predicated aromatic cage pocket of the YTH domains in the YTH gene family is uniformly composed of tryptophan residues (WWW). Subcellular localization experiments verified that GbDC1 is indeed localized in the nucleus, while GbDF1 is localized in both the nucleus and the cytoplasm. The expression patterns of the identified m6A reader genes showed a wide distribution but were tissue-specific. Most genes were highly expressed in leaves, followed by the stem, while the lowest expression tendency was found in the roots. Cis-regulatory element analysis predicted the possible functions of YTH genes in G. biloba, which were mainly responsive to plant hormones such as ABA and MeJA, as well as stress responses. Furthermore, the expression levels of YTH genes indeed changed significantly after ABA, MeJA, and NaCl treatments, suggesting that they can be affected by these abiotic factors. In addition, the PLAAC prediction results indicate that prion domains exist in GbDF1, GbDF2, GbDF3, GbDF4, GbDF6, GbDF7, GbDF8, and GbDC1, and phase separation is possible. This study provides a foundation for further investigation of the effects of m6A methylation on gene expression regulation in G. biloba and other forest trees.
1. Introduction
The regulation of gene expression is crucial for eukaryotes by affecting the growth, development, and other processes of organisms in varying degrees. Recently, chemical modifications in RNA as the rising epigenetic regulators have been increasingly reported to display an important impact on the regulation of gene expression. Among all RNA chemical modifications, m6A is the most common and widespread epigenetic modification in eukaryotic mRNAs, and it plays a vital role in many biological processes, including cell division in organ primordia, morphogenesis, flowering, as well as resistance to stresses in plants by disrupting the secondary structure of mRNA in the region where it is located and recognizably recruiting proteins such as YTH proteins to determine the fate of RNA [1]. What is more, in plants, m6A also influences their sex determination [2,3]. Currently, there are many studies proving the function of m6A, especially the m6A recognition proteins in plants, but there is still a need for further studies. Therefore, it is necessary to study plant YTH proteins to enrich our understanding of m6A regulatory functions in plant life.
The YTH (YT521-B homology) domain, characterized by 14 invariant residues within a helix/sheet structure, is related to the pseudouridine synthase and archaeosine transglycosylase (PUA) domain [4]. The conservation of aromatic residues in the β-sheets of the YTH domain is similar to that of the RNA recognition motif (RRM) domain [5]. In the RRM domain, conserved aromatic residues located in the β-sheet are crucial for RNA binding. These things considered, the YTH domain shows remarkable conservation across a wide species range, with 14 invariant and 19 highly conserved residues [5]. It has been shown in previous studies that YTH proteins, with the conversed YTH domain that has the ability to bind m6A, are important components of the m6A modification system. Furthermore, according to this study of the molecular recognition mechanism of m6A by YTH proteins, it was demonstrated that m6A modification sites varied among different tissues of plants. Due to the complexity of YTH proteins in plants, we hypothesized that YTH proteins in plants might bind to different m6A sites with selective preferences [6,7]. It has been found that YTH proteins in Arabidopsis thaliana and rice are required for organogenesis and flower timing as well as stress responses [8]. In tomatoes, the data suggest that YTH proteins result in the augmented production of aroma-associated volatiles [9] and have an important role in regulating tomato leaf senescence [10]. Also, YTH proteins are associated with powdery mildew resistance in apples [11]. As plants contain more YTH proteins than animals, many of their biological functions are still unknown, even in model plants. Therefore, it is worth revealing the functions of these YTH proteins in plants, especially those of forest trees which confer larger scales of distribution across our planet and make a huge contribution to the health of ecology.
G. biloba is one of the oldest tree species in China with high ornamental, timber, and medical value. Since the Song Dynasty, G. biloba has been used as a medicine in China and, currently, it is widely applied in the clinical therapy of cardiovascular diseases with good efficacy [12], which is one of the most successful cases of botanical medicine developed by modern science and technology in the world over the past 50 years. Due to the limited genetic diversity and low distribution of wild populations of G. biloba, it has been classified as an endangered and nationally protected plant. Hence, increasing studies have been devoted to investigating the genetic and developmental science of G. biloba in order to promote the breeding and protection of G. biloba. However, no studies related to m6A, the vital plant epigenetic regulatory module, have been reported yet. In this study, we focused on the study of m6A from the perspective of YTH proteins, the m6A recognition protein, aiming to shed new light on the molecular science and breeding of G. biloba. Here, a total of 10 G. biloba YTH genes were identified and their molecular properties as well as expression patterns across different tissues and under abiotic stresses were analyzed in detail. According to our results, it is obvious that YTH proteins have various impacts on the development of and stress responses in G. biloba, providing a theoretical basis for further understanding m6A’s influence on G. biloba’s growth, development, and stress resistance.
2. Materials and Methods
2.1. Identification of the G. biloba YTH Gene Family
In order to identify the G. biloba YTH gene family from the G. biloba genome database, we performed BLASTP [13] and HMMER [14] searches, and we then screened and filtered the redundant sequences as well as sequences without complete reading frames. Finally, 10 active protein sequences were identified and analyzed for their physicochemical properties. The molecular masses and isoelectric points of the GbYTH proteins were predicted using the web tool ExPASy [15] (https://web.expasy.org/compute_pi/, accessed on 11 October 2024). In addition, the subcellular localization of the YTH genes was predicted using WoLF PSORT [16] (https://wolfpsort.hgc.jp/, accessed on 11 October 2024).
2.2. Phylogenetic Analysis and Chromosome Localization
A maximum likelihood phylogenetic tree was constructed with 1000 bootstrap replications using MEGAX [17] (https://www.megasoftware.net/, accessed on 14 October 2024) and visualized by FigTree (http://tree.bio.ed.ac.uk/software/, accessed on 14 October 2024). The positional information of GbYTHs on chromosomes was extracted from the annotation files obtained from the G. biloba database, and the length of each chromosome was obtained from the NCBI website, and their distribution on chromosomes was obtained by mapping using MapChart [18] software (Version 2.32).
2.3. Gene Structure, Conserved Motif Analysis, and Multiple Sequence Alignments
The conserved motifs of GbYTHs were analyzed through the MEME online website (https://meme-suite.org/meme/doc/meme.html, accessed on 15 October 2024) [19], with a maximum motif retrieval value of 10 and default settings for other parameters. The motifs were visualized in TBtools (Version 2.142) [20] using the gff file of GbYTH genes with the MEME online prediction file mast.xml. Multiple sequence alignment of the obtained protein sequences of G. biloba YTH family was performed using ClustalW (https://www.genome.jp/tools-bin/clustalw, accessed on 15 October 2024), and the results were then visualized by using the ESPript 3.0 (https://espript.ibcp.fr/ESPript/cgi-bin/ESPript.cgi, accessed on 15 October 2024) online website.
2.4. Liquid–Liquid Phase Separation Prediction
Predictions of prion structural regions in the protein sequences of the G. biloba YTH gene family were made using the PLAAC online tool (PLAAC; http://plaac.wi.mit.edu/, accessed on 16 October 2024) [21], and the predictions were visualized using artificial intelligence.
2.5. Prediction of Cis-Regulatory Elements of the G. biloba YTH Genes
The 2000bp promoter sequences of the translation start site of the G. biloba YTH genes were extracted, and cis-acting elements were analyzed through the PlantCARE online website (https://bioinformatics.psb.ugent.be/webtools/plantcare/html/, accessed on 16 October 2024) to select cis-acting elements related to stress and hormone response. Their number was clustered and analyzed by using TBtools [20].
2.6. Subcellular Localization of GbDC1 Protein
The coding sequences of the GbDC1 and GbDF1 genes were amplified using the corresponding primers: GbDC1-F, GbDC1-R and GbECT2-F, GbECT2-R, respectively (Table S5). These amplified sequences were then inserted between the XbaI and SalI restriction sites of the 1305 vector, and eGFP was inserted at the C-terminus. Vectors carrying 35S::GbDC1-eGFP, 35S::GbECT2-eGFP, and 35S::eGFP were introduced into Agrobacterium cells GV3101. Healthy tobacco leaves (grown for 30 days) were infiltrated with Agrobacterium-mediated transient transformation [22]. Leaf samples (0.5 cm × 0.5 cm) were observed under a laser confocal microscope (LSM710, Zeiss, Jena, Germany).
2.7. Plant Materials and Treatments
Expression of YTH genes was analyzed in roots, stems, and leaves of six-month-old ginkgo seedlings cultivated in the Key Laboratory of Forest Tree Genetic Breeding, Nanjing Forestry University (32°04′43.05″ N, 118°49′1.70″ E). After spraying ABA and MeJA at concentrations of 100 μM and 100 μM [23], respectively, and salinity treatment with 100 mM NaCl for 6 h [24] on six-month-old G. biloba seedlings, leaf samples were collected at 0 h (untreated), 6 h, 12 h, 24 h, and 48 h and then immediately frozen in liquid nitrogen and stored at −80 °C. Three seedlings with uniform growth were selected as three biological replicates for each treatment.
2.8. RNA Extraction and RT-qPCR Analysis
RNA was extracted from G. biloba tissues using an RNA extraction kit (Vazyme, Nanjing, China). The extracted RNA was then analyzed by 1.2% agarose gel electrophoresis to confirm its quality and integrity. cDNA was diluted at a 1:20 concentration. Primers were designed using Primer 5 software (Version 5.0) based on the sequence of G. biloba in the CDS database. GbGAPDH was used as a reference control gene. Each PCR mixture (10 μL) consisted of 1 μL of diluted cDNA (20-fold dilution), 5 μL of SYBR Green Real-time PCR Master Mix (Yeasen, Shanghai, China), 0.4 μL of each primer (10 μM) (Table S6), and 3.2 μL of ddH2O. The RT-qPCR reactions were performed under the following conditions: 1 cycle at 98 °C for 3 min, followed by 40 cycles at 95 °C for 15 s, 60 °C for 30 s, and 72 °C for 30 s. Three biological and three technical replicates were analyzed for each sample. Finally, the relative expression of the genes was calculated using the 2−ΔΔCt method [25], analyzed for significance, and plotted using GraphPad software (Version 9.5).
3. Results
3.1. Identification of the G. biloba YTH Gene Family
Through HMMER and BLASTP search, we finally identified 10 YTH genes from G. biloba genome (Table 1 and Table S1). The proteins encoded by this gene family ranged in length from 393 amino acids (GbDC2) to 779 amino acids (GbDF6), with molecular weights ranging from 44.173 kDa (GbDC2) to 85.087 kDa (GbDF6) and theoretical isoelectric points ranging from 5.05 (GbDF8) to 9.24 (GbDC2). Among these, GbDF5 and GbDC2 have isoelectric points greater than 7, while the remaining eight genes have isoelectric points of less than 7. This shows that the G. biloba YTH proteins span a wide range of amino acid lengths and molecular weights, and most of them are acidic proteins.
Table 1.
Analysis of physical and chemical properties of G. biloba YTH gene family.
3.2. Phylogenetic Analysis of the G. biloba YTH Gene Family
We constructed a phylogenetic tree of the G. biloba YTH gene family using the sequences of 13 Arabidopsis thaliana YTH gene family proteins and 17 Populus trichocarpa YTH gene proteins (Figure 1 and Table S2). We categorized the G. biloba YTH gene family into DF and DC subgroups with reference to Arabidopsis thaliana [26] and previous studies of the YTH gene family. The results showed that G. biloba YTHDF proteins could be classified into three subgroups: DFA, DFB, and DFC, respectively. Among them, eight G. biloba YTH proteins belonged to the DF subgroup, one G. biloba YTH protein was located within the DCA subgroup and DCB subgroup, respectively. Furthermore, we found that there are some proximity groups between G. biloba and Populus trichocarpa, suggesting that they are straight homologous proteins, all of which exist in DC subgroups, such as GbDC1-PtDC1A and GbDC2-PtDC1B.
Figure 1.
Phylogenetic relationships among different YTH-domain-containing proteins from various species, including Ginkgo biloba, Arabidopsis thaliana, and Populus trichocarpa. YTH family members were clustered into two groups and further divided into two and three subgroups distinguished by different colors, respectively.
3.3. Localization of Chromosomes
Based on the genome annotation files of GbYTHs obtained in the Ginkgoaceae database, the physical localization of the G. biloba YTH gene family was organized and analyzed using TBtools software (Version 2.142). The results showed that the 10 members of the YTH gene family were distributed on eight chromosomes of G. biloba, with none present on chromosomes 02, 05, 11, and 12 (Figure 2). Specifically, GbDF2, GbDF4, GbDF5, GbDF6, GbDC1, and GbDC2 were each localized to individual chromosomes, exhibiting an uneven and random distribution pattern.
Figure 2.
Distribution of YTH genes on G. biloba chromosomes. The size of a chromosome is indicated by its relative length. The scale on the left represents chromosome length in megabases (Mb).
3.4. Structural Characterization of the G. biloba YTH Gene Family
Conserved motif analysis showed that the 10 G. biloba YTH genes included 10 conserved motifs (Figure 3A and Table S3). Different subfamilies in the GbYTH gene family showed distinct patterns of gene structure. Members in each subgroup of the GbYTH gene family shared similar gene structures and lengths. Notably, all G. biloba YTH genes contained motif 1, and there were significant differences among members of different subfamilies. For instance, motif 2 and motif 3 were exclusively present in the DF family, while motif 6 and motif 8 were unique to the DC family. Furthermore, the sequences of motif 2 and motif 3 were longer than those of motif 6 and motif 8. Additionally, there were variations in the gene structures among members of the same subfamily. For example, within the DFC subfamily, GbDF4, GbDF5, GbDF6, and GbDF8 contained motif 7, whereas GbDF7 did not. Only the GbDF8 gene lacked motif 4, while the remaining nine genes possessed motif 4 (Figure 3A).
Figure 3.
The domains, motif structures, and multiple sequence alignments of G. bilaba GbYTHs. (A) Conserved motifs in GbYTHs. Different motifs are distinguished by different colors. (B) Conserved domains of GbYTHs. Includes three different domains: YTH, SPT6 acidic, and PBP1 superfamily. YTH is a region that specifically binds to m6A-modified RNA. SPT6 is a transcriptional elongation factor involved in regulating RNA polymerase II activity, chromatin remodeling, and histone modification. PBP1 is a family of enzymes capable of peptidoglycan synthesis. (C) Multiple sequence alignments of YTH domain in G. bilaba YTH family proteins. Asterisks indicate the tryptophan position. The blue box indicates the conserved sequence, while the red highlight marks the identical sequence.
Analysis of G. biloba YTH proteins showed that the YTH domain, responsible for binding to m6A, was the sole recognizable module in the sequences of the proteins, with the exception of GbDC1. Each GbYTH protein has a typical functional YTH domain. The GbDC1 protein sequence contained not only the YTH domain but also an acidic N-terminal region akin to that of the SPT6 protein and a PBPI superfamily domain (Figure 3B).
In addition, we performed multiple sequence alignment comparisons of 10 protein sequences from the G. biloba YTH proteins. The comparison results indicated that many functional sites of G. biloba YTH family proteins were conserved and had conserved aromatic cages. It is worth noting that the aromatic cages of the YTH domain in G. biloba YTH family are composed of tryptophan residues (WWW) (Figure 3C).
3.5. Cis-Regulatory Elements Analysis of the G. bilaba YTH Gene Promoters
To better understand the response of members of the YTH gene family to various abiotic stresses and to infer the functions of these YTH proteins in biological growth and development, the online tool PlantCARE was used to analyze the promoter cis-regulatory elements of the upstream 2.0 kb sequence of the translation initiation site of the YTH gene family. The results showed that various core cis-regulatory elements could be found in the promoter region of YTH genes (Figure 4 and Table S4). Notably, most of these cis-regulatory elements were involved in light responsiveness, plant growth hormones such as gibberellins, and abscisic acid and stress responses as well as anaerobic induction. These findings indicated that the YTH genes family may play important roles in regulating the growth and development of G. biloba through its involvement in light response, hormone response, and response to environmental stresses.
Figure 4.
Promoter analysis of the G. biloba YTH family. (A) Putative cis-regulatory elements existed in the 2000 bp upstream region of GbYTH gene promoter. Each of the predicted cis-regulatory elements is represented by a different color. (B) Quantitative analysis of the number of light/stress modules present in the GbDF genes. Different colors and sizes represent different proportions.
3.6. Liquid–Liquid Separation of YTH Gene Family Proteins
Liquid–liquid phase separation (LLPS) is a phenomenon in which two solutions fail to dissolve into a homogeneous phase, resulting in phase separation, similar to oil floating on water in physics. In contrast to physics and chemistry, the occurrence of “liquid-liquid phase separation” in biological macromolecules has newly been discovered in recent years, resulting in the formation of a distinct working region and the exercise of specific biological function. Studies have demonstrated that YTHDF1 is able to degrade mRNA via LLPS [27] and that m6A enhances the phase separation of YTHDF proteins [28]. Therefore, in this study, we used the online tool PLAAC to predict whether the G. biloba YTH gene family protein sequence contains prion domains and, thus, analyze its phase transition potential. The results revealed the presence of one to four prion structural regions in the predicted sequences of GbDF1-4, GbDF6-8, and GbDC1 protein, respectively. This suggests a high probability that these genes undergo phase transition (Figure 5).
Figure 5.
Disordered regions predicted with prion-like amino acid combinations. The red line indicates the prediction of the structure region of the prion. If the red line is located in the non-baseline region, it indicates that phase transition is very likely to occur.
3.7. Subcellular Localization of GbDF1 and GbDC1 Protein
To better understand the cellular functions of these GbYTH proteins, it is necessary to confirm their subcellular localizations. Hence, we selected GbDF1 and GbDC1, homologs of Arabidopsis thaliana’s ECT2 and CPSF30-L, as representative to perform subcellular localization experiments. Agrobacterium tumefaciens strains containing 35S::GbDC1-eGFP plasmid, 35S::GbDF1-eGFP plasmid, and 35S::eGFP empty vector were injected into healthy tobacco leaves, respectively (Figure 6). Fluorescence confocal microscopy revealed expression of 35S::eGFP empty vector in cell membranes, nuclei, and the cytoplasm. The 35S::GbDC1-eGFP plasmid produced green fluorescent signals exclusively in the nucleus of tobacco cells, indicating that the protein encoded by the GbDC1 gene is mainly localized in the nucleus, similar to its homolog CPSF30-L in Arabidopsis. In contrast, the fluorescent signals derived from the 35S::GbDF1-eGFP plasmid were detected in both the nucleus and the cytoplasm of tobacco cells, suggesting that the GbDF1 is expressed in both the nucleus and cytoplasm, consistent with ECT2 in Arabidopsis.
Figure 6.
Analysis of subcellular localization of GbDC1 and GbDF1. 35S::GbDC1-eGFP and 35S::GbECT2-eGFP were transiently expressed in tobacco leaves by transformed Agrobacterium tumefaciens injections. The green fluorescence of the eGFPs (first from the left), 4′,6-diamidino-2-phenylindole (DAPI) staining (second from the left), bright field (third from the right), chloroplast autofluorescence (second from the right), and merged field (first from the right) were observed using laser confocal microscopy. The scale bar is 20 μm.
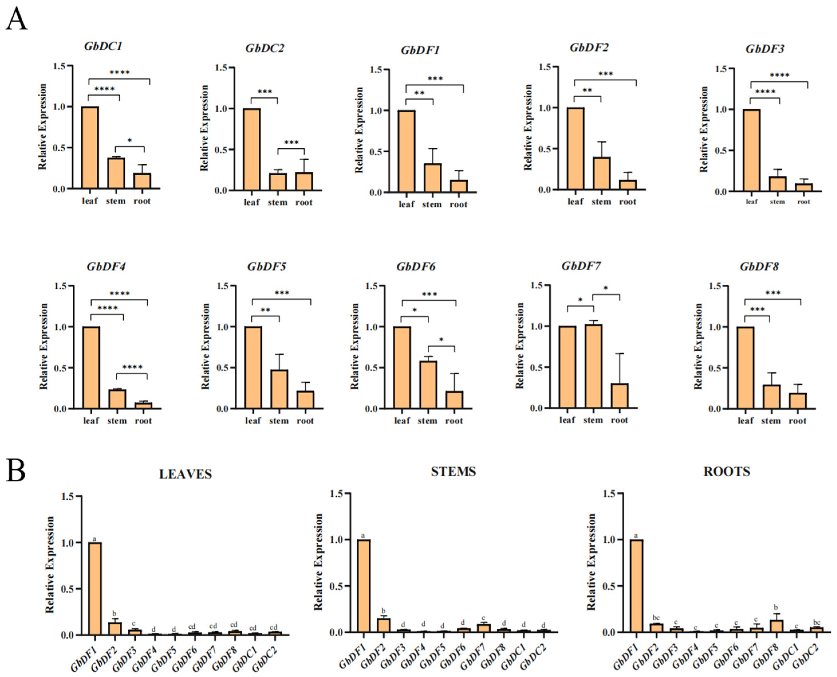
3.8. Expression of YTH Genes in Different Tissues of G. biloba
To better reveal the physiological functions of GbYTH genes in G. biloba, we analyzed the expression of 10 GbYTH genes in the roots, stems, and leaves of G. biloba. The results showed that the expression of GbYTH genes varied across different tissues, but most of the genes showed similar expression patterns, with the highest expression in leaves, followed by stems, and the lowest expression in roots (Figure 7A). The expression of GbDF4, GbDF5, and GbDC1 was low in all tissues, whereas GbDF1 exhibited the highest expression patterns in all tissues, followed by GbDF2, which was expressed significantly higher in different tissues compared to other genes (Figure 7B).
Figure 7.
Tissue-specific expression patterns of 10 G. biloba YTH genes. Expression of YTH genes were analyzed in roots, stems, and leaves of six-month-old ginkgo seedlings. (A) Expression of G. biloba YTH genes in different tissues of G. biloba. The relative expression level was normalized against the expression level in leaf as the control. (B) Comparison of expression levels of 10 G. biloba YTH genes in leaf, stem, and root. The relative expression level was normalized against the expression level of GbDF1. Different numbers of asterisks (*) indicate significant differences (* p < 0.05, ** p < 0.01, *** p < 0.001, and **** p < 0.0001). Data are shown as mean ± SE, with three biological replicates. Different letters represent different levels of significance. Different letters represent significant differences between two groups, while the same letter represents no significant differences between the two groups.
3.9. Stress-Responsive Expression of the G. biloba YTH Genes
By analyzing the cis-regulatory elements of the G. biloba YTH gene promoters, we found that the promoter region contains a significant number of plant hormone response elements, such as ABA and MeJA, as well as stress response cis-regulatory elements. Consequently, we subjected G. biloba to ABA, MeJA, and NaCl treatments to investigate the responses of the YTH genes to these stresses. After ABA treatment, the expressions of all genes except GbDF6 were significantly changed and most genes showed a trend of decreasing at approximately 6 h and then increasing at 24 h. Notably, the expression of GbDF7 dramatically decreased at 6 h without any increase (Figure 8A). After MeJA treatment, the expression of GbYTH genes showed more diverse patterns: GbDC2, GbDF1, and GbDF5 showed a trend of decreasing and then increasing; GbDF3, GbDF4, GbDF6, and GbDC1 exhibited a trend of continuous increasing; and GbDF2, GbDF7, and GbDF8 showed a trend of increasing, then decreasing, and finally increasing (Figure 8B). After NaCl treatment, the expressions of all genes except GbDF3 and GbDF5 were significantly changed; the expression of GbC1, GbDF1, and GbDF8 was elevated and the expression of GbDF6 and GbDF7 was decreased (Figure 8C). Obviously, most GbYTH genes have been proved to change due to the response to those abiotic stresses.
Figure 8.
RT-qPCR analysis of G. biloba YTH gene expression under 100 μM ABA, 100 μM MeJA, and 100 mM NaCl treatments. Expression of YTH genes was analyzed in roots, stems, and leaves of six-month-old ginkgo seedlings. (A) The expression patterns of G. biloba YTH genes under ABA treatment. (B) The expression patterns of G. biloba YTH genes under MeJA treatment. (C) The expression patterns of G. biloba YTH genes under NaCl treatment. The relative expression level was measured with the expression level of 0 h of treatment as the control. Different numbers of asterisks (*) indicate significant differences (* p < 0.05, ** p < 0.01, *** p < 0.001, and **** p < 0.0001). Data are shown as mean ± SE, with three biological replicates.
4. Discussion
The regulation of gene expression occurs at both transcriptional and post-transcriptional levels and affects various life processes in organisms. In recent years, studies on RNA epigenetics have demonstrated the important role of chemical modifications such as m6A, the first discovered RNA epigenetic mark, in gene expression regulation. RNA binding proteins containing the YTH domain play a crucial role in regulating the translation and stability of m6A-modified RNAs. With the development of plant RNA epigenetics, YTH proteins have been studied in various plants, including Arabidopsis thaliana [26], cucumber [29], tomato [30], common wheat [31], rice [32], etc. Nevertheless, to date, there have been no relevant reports on YTH proteins in G. biloba. Therefore, to better understand the role of m6A modification in G. biloba, the CbYTH genes were identified and analyzed using bioinformatics methods in this study.
A total of 10 G. biloba YTH gene family members were identified in this study and they were unevenly distributed on eight chromosomes. In mammals, YTH proteins are categorized as YTHDC1, YTHDC2, and YTHDF, with only one YTHDF subfamily homologous protein in most invertebrates and three YTHDF homologous proteins, YTHDF1, YTHDF2, and YTHDF3, in most vertebrates [33], which are strongly associated with cancers through their binding to the m6A site of RNA and affecting the RNA processing progress such as splicing, stability, or translation [34]. Compared to animals, the variation in YTH proteins in plants is more complex; apart from the absence of YTHDC2 homologous proteins in plants, YTHDC1 homologous proteins and YTHDF homologous proteins vary in homology and quantity across different plants. For example, most of dicotyledonous plants have more than two YTHDC1 proteins, whereas monocotyledonous plants only have one to two YTHDC1 proteins. The larger number of YTH genes identified in G. biloba is in line with previous findings that plants contain more YTH genes, such as the genomes of rice, tomato, and wheat harboring 12 [32], 9 [30], and 39 [31] YTH domain genes, respectively, potentially indicating more complex regulatory mechanisms or functional redundancy among m6A recognition proteins. Based on the structural similarity of the YTH gene family and the results of previous studies, we analyzed the evolutionary relationship between G. biloba and A. thaliana, as well as other species, and finally divided the G. biloba YTH gene family into DC subgroups and DF subgroups. The DC subgroups contain two subgroups, DCA and DCB, whereas the DF subgroup contains three subgroups, DFA, DFB, and DFC. Notably, the DF subgroup harbors more YTH genes, consistent with the findings in A. thaliana [26] and wheat [31], further suggesting significant variation in the homology and number of YTH family proteins. And our results show that the YTH proteins of Populus trichocarpa have higher homology with that of G. biloba than that of Arabidopsis thaliana; we found that there are some proximity groups between G. biloba and Populus trichocarpa, suggesting that they are straight homologous proteins, all of which exist in DC subgroups, such as GbDC1-PtDC1A and GbDC2-PtDC1B. As in most species, a typical functional YTH domain exists in each GbYTH protein. Previous studies have demonstrated that most of the aromatic cages responsible for binding and recognizing m6A sites in the YTH domain are composed of tryptophan residues (WWW) [35]. In our study, we performed multiple sequence alignment on the protein sequences of the G. biloba YTH gene family and found that all members of the YTH gene family in G. biloba possess aromatic cages composed of tryptophan residues (WWW), which is consistent with previous research findings [35,36]. Subsequently, to help us understand the functions of GbYTH proteins, we conducted subcellular localization experiments for the representative GbDC1 and GbECT2, the homologs of CPSF30-L and ECT2 that have been well studied in Arabidopsis thaliana. The experimental results revealed that GbDC1 was localized in the nucleus and GbECT2 was localized in both the nucleus and the cytoplasm, aligning with the prediction results.
Studies have shown that m6A recognition proteins can directly interact in the cytoplasm and exhibit redundant functions in regulating ABA responses during seed germination and post-germination growth in plants [37]. The cis-regulatory are involved in the regulation of downstream gene expression and intimately related to plant growth and development as well as plant responses to abiotic stresses. Therefore, the cis-regulatory elements in the promoters of GbYTH genes were analyzed to verify their functions in response to stresses. The results showed that these GbYTH genes play important roles in coping with abiotic stresses. We selected three of these abiotic stresses that are representative, ABA, MeJA, and NaCl. Therefore, we subjected G. biloba seedlings to ABA, MeJA, and NaCl stresses and investigated the expression patterns of the G. biloba YTH genes after short-term treatments. A substantial number of genes exhibited a decrease in expression, followed by an increase after ABA treatment, indicating that, although ABA stimulation inhibited gene expression in the short term, most genes have a certain resistance to ABA stimulation. Similarly, most GbYTH genes also eventually showed an increase in expression after MeJA treatment as well as NaCl stress. Since ABA and MeJA play important roles in plant adaptation to abiotic stresses, such as drought and freezing, and the present study showed that most of the GbYTH genes indeed respond to ABA, MeJA, and NaCl stresses, we hypothesized that the G. biloba YTH gene family has a significant role in resistance to abiotic stresses. In many plants, genes containing the YTH domain can also respond to various abiotic stresses, including high salinity, drought, heat, cold, and polyethylene glycol stresses. For example, in dicot species Arabidopsis thaliana, the YTHDFA subfamily members ECT2/3/4 are important for nitrate transport [26]. MhYTP1 and MhYTP2 participate in MeJA, SA, and ABA signaling, and overexpression of MhYTP1 or MhYTP2 makes plants more sensitive to NaCl [38]. CsYTHs expression levels were altered under various stresses such as salt, drought, cold, and abscisic acid (ABA) treatments [39]. Similar expression patterns were also observed in tomatoes [30] and other species [31]. In addition, diverse RNAs and RNA-binding proteins form phase-separated, membraneless granules in cells under stress conditions. The m6A-modified mRNAs are enriched in stress granule (SGs), and YTHDF proteins that bind to m6A are essential for SG formation. Depletion of YTHDF1/3 inhibits SG formation and recruitment of mRNAs to SGs [39]. We therefore hypothesized that the expression of YTH genes in response to hormone stress (ABA and MeJA) and salt stress (NaCl) might be conserved. Furthermore, we analyzed the expression of G. biloba YTH gene family in roots, stems, and leaves. The results showed that the expression of different G. biloba YTH genes varied greatly among different tissues of G. biloba YTH, with higher expression observed in leaves compared to other tissues. Notably, the expressions of GbDF4, GbDF5, and GbDC1 were low in all tissues, whereas GbDF1 had high expression in all tissues, suggesting that this gene might play an important role in the growth and development of G. biloba.
In the general study of proteins, it is widely believed that the structure of a protein determines its function. Proteins with a specific disordered domain have been discovered possessing the capacity to easily form droplet-like induced phase transitions. Studies have demonstrated that, in mammals, the cytoplasmic m6A-binding proteins YTHDF1, YTHDF2, and YTHDF3 are capable of forming liquid-droplet phase separation both in vitro and in vivo, and this phenomenon is significantly enhanced by mRNAs containing m6A residues [28]. Therefore, we performed a liquid–liquid separation prediction of the G. biloba YTH proteins, and the results showed the presence of one to four prion-like disordered regions in the predicted sequences of the GbDF1, GbDF2, GbDF3, GbDF4, GbDF6, GbDF7, GbDF8, and GbDC1 proteins, respectively. Prion-like disordered regions are precursors of proteins that have the ability to undergo phase transition, and this study found that the m6A-binding activity of CPSF30-L enhances the formation of liquid-like nuclear bodies, where CPSF30-L mainly recognizes m6A-modified far-upstream elements to control polyadenylation site choice [40]. Furthermore, this study has shown that m6A mRNA modification and its reader protein ECT8 act together as a key checkpoint for negative feedback regulation of abscisic acid (ABA) signaling by sequestering the m6A-modified ABA receptor gene PYL7 via phase-separated ECT8 condensates in stress granules in response to ABA [41], thus leading us to hypothesize that these YTH proteins are highly likely to undergo phase segregation in G. biloba to exercise certain functions regarding m6A.
In this study, a total of 10 G. biloba YTH genes were identified and subjected to a comprehensive analysis of their physicochemical properties, phylogenetic analysis, cis-regulatory elements, liquid–liquid phase separation prediction, and expression patterns. Our findings indicate that the YTH gene family plays an important role in the growth and development of G. biloba, as well as in response to abiotic stresses. Above all, the identification and analysis of the members of the G. biloba YTH gene family presented in this study provide a solid theoretical foundation for future research focusing on this gene family.
Supplementary Materials
The following supporting information can be downloaded at: https://www.mdpi.com/article/10.3390/plants13243589/s1, Table S1: Protein sequence of GbYTHs; Table S2: Amino acid sequence of YTH domain for evolutionary tree construction; Table S3: List of the motifs of GbYTH proteins; Table S4: Prediction of promoter cis-regulatory elements; Table S5: Primer sequences for gene cloning PCR; Table S6: Primer sequences for real-time PCR.
Author Contributions
Conceptualization, Q.Y.; methodology, H.W. and J.Z.; software, J.Z., X.C., S.Y. and K.J.; validation, H.W.; formal analysis, H.W.; data curation, H.W.; writing—original draft preparation, H.W.; writing—review and editing, H.W. and Q.Y. All authors have read and agreed to the published version of the manuscript.
Funding
This research was funded by the National Natural Science Foundation of China (grant numbers 32201583 to Q.Y.) and Beijing National Laboratory for Molecular Sciences (grant numbers BNLMS202202 to Q.Y.).
Data Availability Statement
Data are contained within the article.
Conflicts of Interest
The authors declare no conflicts of interest.
Correction Statement
This article has been republished with a minor correction to the Funding statement. This change does not affect the scientific content of the article.
References
- Arribas-Hernández, L.; Simonini, S.; Hansen, M.H.; Paredes, E.B.; Bressendorff, S.; Dong, Y.; Østergaard, L.; Brodersen, P. Recurrent requirement for the m6A-ECT2/ECT3/ECT4 axis in the control of cell proliferation during plant organogenesis. Development 2020, 147, dev189134. [Google Scholar] [CrossRef] [PubMed]
- Bodi, Z.; Zhong, S.; Mehra, S.; Song, J.; Li, H.; Graham, N.; May, S.; Fray, R.G. Adenosine Methylation in Arabidopsis mRNA is Associated with the 3′ End and Reduced Levels Cause Developmental Defects. Front. Plant Sci. 2012, 3, 48. [Google Scholar] [CrossRef] [PubMed]
- Zhong, S.; Li, H.; Bodi, Z.; Button, J.; Vespa, L.; Herzog, M.; Fray, R.G. MTA is an Arabidopsis messenger RNA adenosine methylase and interacts with a homolog of a sex-specific splicing factor. Plant Cell 2008, 20, 1278–1288. [Google Scholar] [CrossRef] [PubMed]
- Zhang, Z.; Theler, D.; Kaminska, K.H.; Hiller, M.; de la Grange, P.; Pudimat, R.; Rafalska, I.; Heinrich, B.; Bujnicki, J.M.; Allain, F.H.T.; et al. The YTH Domain Is a Novel RNA Binding Domain*. J. Biol. Chem. 2010, 285, 14701–14710. [Google Scholar] [CrossRef] [PubMed]
- Stoilov, P.; Rafalska, I.; Stamm, S. YTH: A new domain in nuclear proteins. Trends Biochem. Sci. 2002, 27, 495–497. [Google Scholar] [CrossRef] [PubMed]
- Reichel, M.; Köster, T.; Staiger, D. Marking RNA: m6A writers, readers, and functions in Arabidopsis. J. Mol. Cell Biol. 2019, 11, 899–910. [Google Scholar] [CrossRef]
- Li, Y.; Wang, X.; Li, C.; Hu, S.; Yu, J.; Song, S. Transcriptome-wide N6-methyladenosine profiling of rice callus and leaf reveals the presence of tissue-specific competitors involved in selective mRNA modification. RNA Biol. 2014, 11, 1180–1188. [Google Scholar] [CrossRef]
- Arribas-Hernández, L.; Bressendorff, S.; Hansen, M.H.; Poulsen, C.; Erdmann, S.; Brodersen, P. An m6A-YTH Module Controls Developmental Timing and Morphogenesis in Arabidopsis. Plant Cell 2018, 30, 952–967. [Google Scholar] [CrossRef] [PubMed]
- Bian, H.; Song, P.; Gao, Y.; Deng, Z.; Huang, C.; Yu, L.; Wang, H.; Ye, B.; Cai, Z.; Pan, Y.; et al. The m(6)A reader SlYTH2 negatively regulates tomato fruit aroma by impeding the translation process. Proc. Natl. Acad. Sci. USA 2024, 121, e2405100121. [Google Scholar] [CrossRef] [PubMed]
- Chen, X.; Gao, Z.; Li, Y.; Nie, X.; Xie, Q.; Chen, G.; Hu, Z. Knockdown of SlYTHDF2 Accelerates Dark–Induced Tomato Leaf Senescence by Affecting the ABA Pathway. Plants 2024, 13, 2800. [Google Scholar] [CrossRef]
- Guo, T.; Liu, C.; Meng, F.; Hu, L.; Fu, X.; Yang, Z.; Wang, N.; Jiang, Q.; Zhang, X.; Ma, F. The m(6) A reader MhYTP2 regulates MdMLO19 mRNA stability and antioxidant genes translation efficiency conferring powdery mildew resistance in apple. Plant Biotechnol. J. 2022, 20, 511–525. [Google Scholar] [CrossRef]
- Guo, M.; Xu, L.; Chen, K.; Liu, Y.; Fu, C. Cardiovascular Pharmacological Effects of Traditional Chinese Medicine Ginkgo: Mechanisms and Prospects. Sci. Sin. Vitae 2014, 44, 543–550. [Google Scholar] [CrossRef]
- Buchfink, B.; Reuter, K.; Drost, H.-G. Sensitive protein alignments at tree-of-life scale using DIAMOND. Nat. Methods 2021, 18, 366–368. [Google Scholar] [CrossRef]
- Potter, S.C.; Luciani, A.; Eddy, S.R.; Park, Y.; Lopez, R.; Finn, R.D. HMMER web server: 2018 update. Nucleic Acids Res. 2018, 46, W200–W204. [Google Scholar] [CrossRef] [PubMed]
- Duvaud, S.; Gabella, C.; Lisacek, F.; Stockinger, H.; Ioannidis, V.; Durinx, C. Expasy, the Swiss Bioinformatics Resource Portal, as designed by its users. Nucleic Acids Res. 2021, 49, W216–W227. [Google Scholar] [CrossRef] [PubMed]
- Horton, P.; Park, K.-J.; Obayashi, T.; Fujita, N.; Harada, H.; Adams-Collier, C.J.; Nakai, K. WoLF PSORT: Protein localization predictor. Nucleic Acids Res. 2007, 35, W585–W587. [Google Scholar] [CrossRef]
- Kumar, S.; Stecher, G.; Tamura, K. MEGA7: Molecular Evolutionary Genetics Analysis Version 7.0 for Bigger Datasets. Mol. Biol. Evol. 2016, 33, 1870–1874. [Google Scholar] [CrossRef] [PubMed]
- Voorrips, R.E. MapChart: Software for the Graphical Presentation of Linkage Maps and QTLs. J. Hered. 2002, 93, 77–78. [Google Scholar] [CrossRef]
- Bailey, T.L.; Boden, M.; Buske, F.A.; Frith, M.; Grant, C.E.; Clementi, L.; Ren, J.; Li, W.W.; Noble, W.S. MEME Suite: Tools for motif discovery and searching. Nucleic Acids Res. 2009, 37, W202–W208. [Google Scholar] [CrossRef]
- Chen, C.; Chen, H.; Zhang, Y.; He, Y.; Hannah, T.R.; Frank, M.H.; Xia, R. TBtools—An integrative toolkit developed for interactive analyses of big biological data. Mol. Plant 2020, 13, 1194–1202. [Google Scholar] [CrossRef] [PubMed]
- Lancaster, A.K.; Nutter-Upham, A.; Lindquist, S.; King, O.D. PLAAC: A web and command-line application to identify proteins with prion-like amino acid composition. Bioinformatics 2014, 30, 2501–2502. [Google Scholar] [CrossRef]
- Zhang, M.; Agassin, R.H.; Huang, Z.; Wang, D.; Yao, S.; Ji, K. Transcriptome-Wide Identification of TCP Transcription Factor Family Members in Pinus massoniana and Their Expression in Regulation of Development and in Response to Stress. Int. J. Mol. Sci. 2023, 24, 15938. [Google Scholar] [CrossRef]
- Guo, W.L.; Chen, R.G.; Gong, Z.H.; Yin, Y.X.; Li, D.W. Suppression Subtractive Hybridization Analysis of Genes Regulated by Application of Exogenous Abscisic Acid in Pepper Plant (Capsicum annuum L.) Leaves under Chilling Stress. PLoS ONE 2013, 8, e66667. [Google Scholar] [CrossRef] [PubMed]
- Fan, S.; Xu, X.; Chen, J.; Yin, Y.; Zhao, Y. Genome-wide identification, characterization, and expression analysis of m6A readers-YTH domain-containing genes in alfalfa. BMC Genom. 2024, 25, 18. [Google Scholar] [CrossRef] [PubMed]
- Livak, K.J.; Schmittgen, T.D. Analysis of Relative Gene Expression Data Using Real-Time Quantitative PCR and the 2−ΔΔCT Method. Methods 2001, 25, 402–408. [Google Scholar] [CrossRef] [PubMed]
- Scutenaire, J.; Deragon, J.-M.; Jean, V.; Benhamed, M.; Raynaud, C.; Favory, J.-J.; Merret, R.; Bousquet-Antonelli, C. The YTH Domain Protein ECT2 Is an m6A Reader Required for Normal Trichome Branching in Arabidopsis. Plant Cell 2018, 30, 986–1005. [Google Scholar] [CrossRef]
- Li, J.; Chen, K.; Dong, X.; Xu, Y.; Sun, Q.; Wang, H.; Chen, Z.; Liu, C.; Liu, R.; Yang, Z.; et al. YTHDF1 promotes mRNA degradation via YTHDF1-AGO2 interaction and phase separation. Cell Prolif. 2022, 55, e13157. [Google Scholar] [CrossRef]
- Ries, R.J.; Zaccara, S.; Klein, P.; Olarerin-George, A.; Namkoong, S.; Pickering, B.F.; Patil, D.P.; Kwak, H.; Lee, J.H.; Jaffrey, S.R. m6A enhances the phase separation potential of mRNA. Nature 2019, 571, 424–428. [Google Scholar] [CrossRef]
- Zhou, Y.; Hu, L.; Jiang, L.; Liu, S.h.o.o. Genome-wide identification and expression analysis of YTH domain-containing RNA-binding protein family in cucumber (Cucumis sativus). Genes Genom. 2018, 40, 579–589. [Google Scholar] [CrossRef]
- Yin, S.; Ao, Q.; Tan, C.; Yang, Y. Genome-wide identification and characterization of YTH domain-containing genes, encoding the m6A readers, and their expression in tomato. Plant Cell Rep. 2021, 40, 1229–1245. [Google Scholar] [CrossRef]
- Sun, J.; Bie, X.M.; Wang, N.; Zhang, X.S.; Gao, X.-Q. Genome-wide identification and expression analysis of YTH domain-containing RNA-binding protein family in common wheat. BMC Plant Biol. 2020, 20, 351. [Google Scholar] [CrossRef]
- Li, D.; Zhang, H.; Hong, Y.; Huang, L.; Li, X.; Zhang, Y.; Ouyang, Z.; Song, F. Genome-Wide Identification, Biochemical Characterization, and Expression Analyses of the YTH Domain-Containing RNA-Binding Protein Family in Arabidopsis and Rice. Plant Mol. Biol. Rep. 2014, 32, 1169–1186. [Google Scholar] [CrossRef]
- Wang, X.; Ma, R.; Lu, Z.; Ma, W. Advances in the study of m6A reader YTH proteins. Zhejiang Agric. Sci. 2021, 62, 401–411+414. [Google Scholar]
- Petri, B.J.; Klinge, C.M. m6A readers, writers, erasers, and the m6A epitranscriptome in breast cancer. J. Mol. Endocrinol. 2023, 70, e220110. [Google Scholar] [CrossRef]
- Ma, W.; Cui, S.; Lu, Z.; Yan, X.; Cai, L.; Lu, Y.; Cai, K.; Zhou, H.; Ma, R.; Zhou, S.; et al. YTH Domain Proteins Play an Essential Role in Rice Growth and Stress Response. Plants 2022, 11, 2206. [Google Scholar] [CrossRef] [PubMed]
- Patil, D.P.; Pickering, B.F.; Jaffrey, S.R. Reading m6A in the Transcriptome: m6A-Binding Proteins. Trends Cell Biol. 2018, 28, 113–127. [Google Scholar] [CrossRef] [PubMed]
- Song, P.; Lianhuan, W.; Chen, Z.; Cai, Z.; Lu, Q.; Wang, C.; Tian, E.; Jia, G. m6A readers ECT2/ECT3/ECT4 enhance mRNA stability through direct recruitment of the poly(A) binding proteins in Arabidopsis. Genome Biol. 2023, 24, 103. [Google Scholar] [CrossRef]
- Wang, N.; Guo, T.; Sun, X.; Jia, X.; Wang, P.; Shao, Y.; Liang, B.; Gong, X.; Ma, F. Functions of two Malus hupehensis (Pamp.) Rehd. YTPs (MhYTP1 and MhYTP2) in biotic- and abiotic-stress responses. Plant Sci. Int. J. Exp. Plant Biol. 2017, 261, 18–27. [Google Scholar] [CrossRef]
- Fu, Y.; Zhuang, X. m6A-binding YTHDF proteins promote stress granule formation. Nat. Chem. Biol. 2020, 16, 955–963. [Google Scholar] [CrossRef] [PubMed]
- Song, P.; Yang, J.; Wang, C.; Lu, Q.; Shi, L.; Tayier, S.; Jia, G. Arabidopsis N6-methyladenosine reader CPSF30-L recognizes FUE signals to control polyadenylation site choice in liquid-like nuclear bodies. Mol. Plant 2021, 14, 571–587. [Google Scholar] [CrossRef]
- Cai, Z.; Tang, Q.; Song, P.; Tian, E.; Yang, J.; Jia, G. The m6A reader ECT8 is an abiotic stress sensor that accelerates mRNA decay in Arabidopsis. Plant Cell 2024, 36, 2908–2926. [Google Scholar] [CrossRef] [PubMed]
Disclaimer/Publisher’s Note: The statements, opinions and data contained in all publications are solely those of the individual author(s) and contributor(s) and not of MDPI and/or the editor(s). MDPI and/or the editor(s) disclaim responsibility for any injury to people or property resulting from any ideas, methods, instructions or products referred to in the content. |
© 2024 by the authors. Licensee MDPI, Basel, Switzerland. This article is an open access article distributed under the terms and conditions of the Creative Commons Attribution (CC BY) license (https://creativecommons.org/licenses/by/4.0/).







