Improving Saline–Alkaline Soil and Ryegrass Growth with Coal Gangue Treatments
Abstract
1. Introduction
2. Results
2.1. The Impact of Coal Gangue Cover on Soil Physical Characteristics
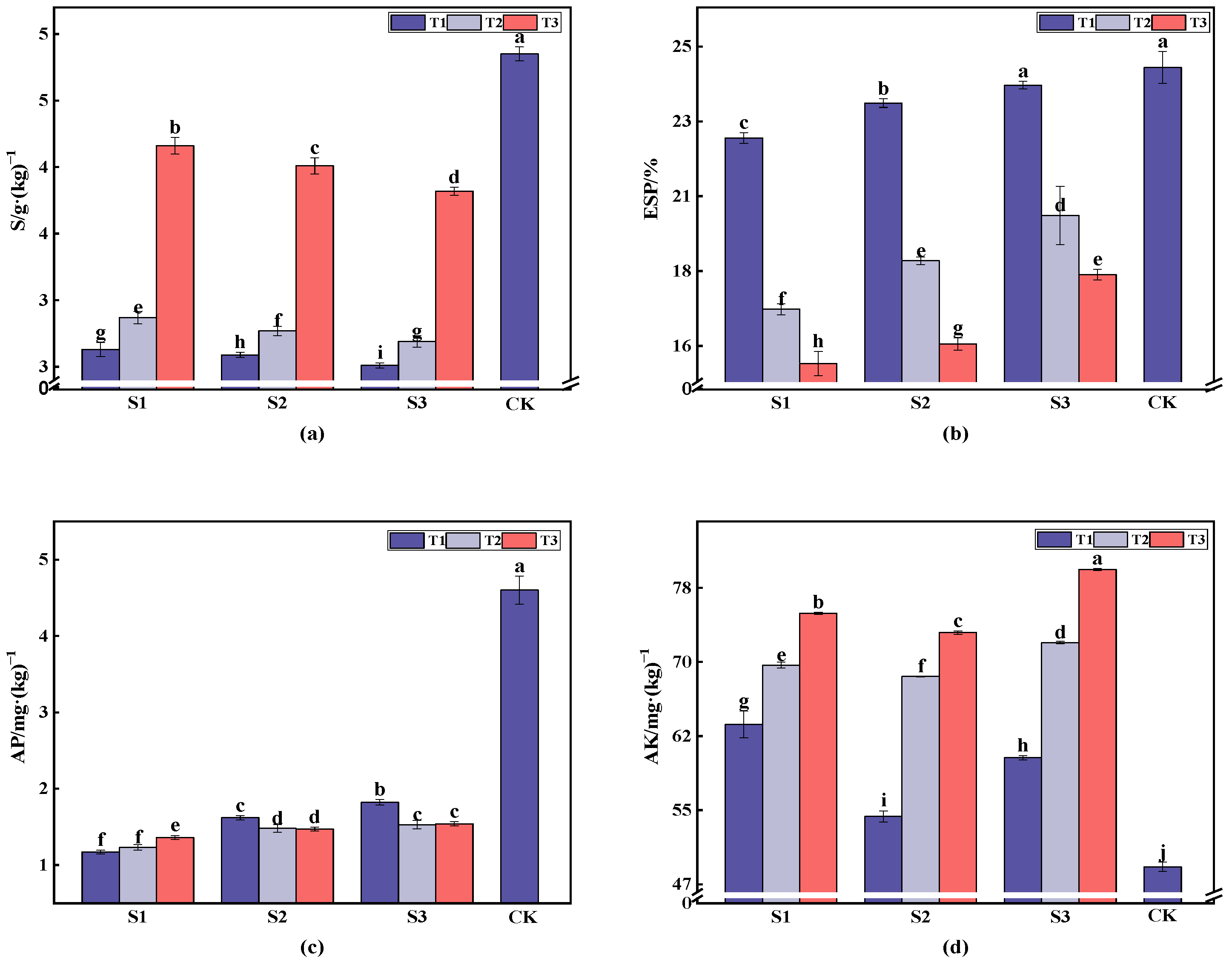
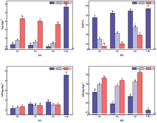
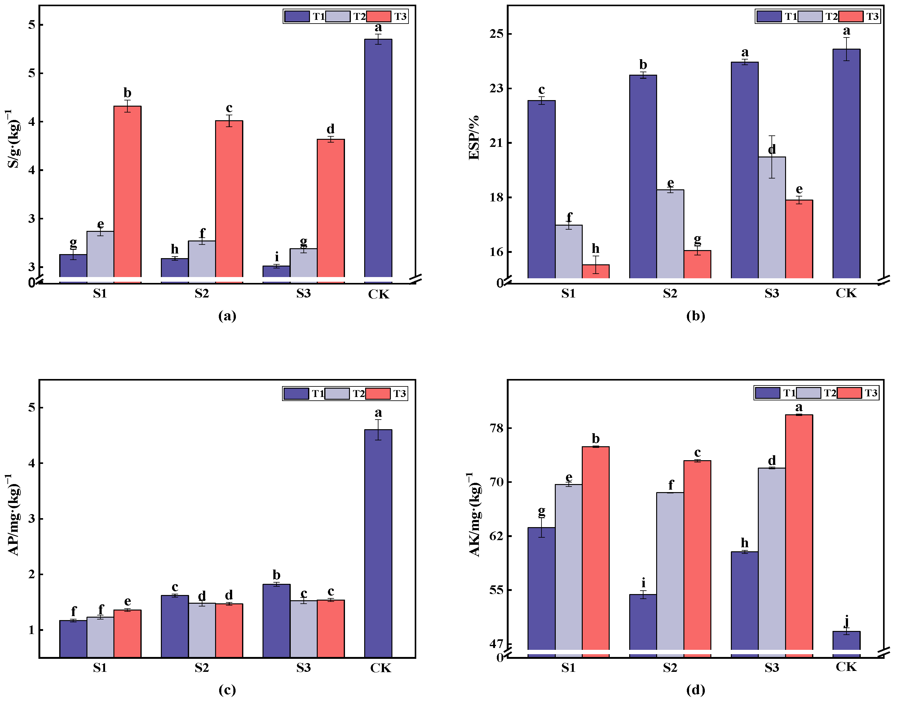
2.2. The Impact of Coal Gangue Cover on Soil Chemical Properties
2.3. The Impact of Coal Gangue Cover on Soil Enzyme Activity
2.4. The Impact of Coal Gangue Cover on Ryegrass Plant Height and Biomass
2.5. Effects of Different Coal Gangue Coverages on Soil pH and Ryegrass Plant Height
2.6. Correlation Analysis
2.7. Principal Component Analysis
3. Discussion
3.1. The Impact of Different Coal Gangue Covering Treatments on Soil Moisture Conditions
3.2. Effects of Different Coal Gangue Coverings on Soil Nutrient Element Content
4. Material and Methods
4.1. Experimental Materials
4.2. Experimental Methods
4.3. Data Processing
- (1)
- The formula for calculating each principal component score is as follows:
- (2)
- The data for the calculation of the combined score are as follows:where is the composite score; , , , and are the variance contribution rates; and , , , are the scores of each principal component.
5. Conclusions
Author Contributions
Funding
Data Availability Statement
Conflicts of Interest
References
- Jian, S.L.; Li, S.X.; Liu, S.Q.; Li, X.N. Research advances of cover crops and their important roles. Acta Agron. Sin. 2022, 48, 1–14. [Google Scholar] [CrossRef]
- Yu, G.; Zhao, S.L.; Sun, Y.B.; Luo, Y.L.; Chen, F. Effects of mulching materials on soil physio-chemical properties, bacterial community characteristics, and citrus quality in orange orchards on the Yunnan-Guizhou Plateau. Acta Ecol. Sin. 2024, 44, 3408–3422. [Google Scholar] [CrossRef]
- Wang, D.L.; Feng, H.; Li, Y. Effects of gravel mulch on soil hydro-thermal process and rain-fed wheat-maize yields. Trans. Chin. Soc. Agric. Eng. 2017, 33, 132–139. [Google Scholar]
- Li, W.C.; Ma, D.X.; Jia, Z.J.; Gao, S.S.; Luan, W.J.; Zhang, Y.F.; Chen, J.H.; Su, Q.K. Soil environmental effects of gravel-sand mulched field:research grogress and prospects. Acta Agric. Univ. Jiangxiensis 2024, 46, 278–288. [Google Scholar]
- Xu, P.J.; Zhu, Y.F.; Cao, Y.D.; Cao, Z.; Xin, X.M. Research progress of high-value utilization of coal gangue resources. Chin. J. Environ. Eng. 2023, 17, 3137–3147. [Google Scholar]
- Zhu, T.; Wu, X.J.; Xing, C.; Ju, Q.G.; Su, S.Y. Current situation and progress of coal gangue resource utilization. Int. J. Coal. Sci. Technol. 2024, 52, 380–390. [Google Scholar]
- Jia, J.H.; Ma, N.; Dong, Y.; Li, Q.; Zhang, D. Review on the comprehensive utilization of coal gangue. Clean Coal Technol. 2024, 30, 36–45. [Google Scholar] [CrossRef]
- Li, H.; Yang, C. Research Progress in Comprehensive Utilization ofBulk Industrial Solid Waste Coal Gangue. J. Nat. Sci. Hunan Norm. Univ. 2024, 47, 1–9. [Google Scholar]
- Li, Q.H. Research progress on properties and comprehensive utilization of coal gangue. Appl. Chem. J. 2023, 52, 1576–1581. [Google Scholar] [CrossRef]
- Li, C.; Xu, R.X.; Wang, L.P.; Wang, Y.; Zhao, Y.H.; Cui, Y.J.; Li, X.Y. Research progress on development and utilization of coal gangue. Appl. Chem. J. 2021, 50, 209–214. [Google Scholar] [CrossRef]
- Han, X.N.; Dong, Y.; Geng, Y.Q.; Li, N.; Zhang, C.Y. Influence of coal gangue mulching with various thicknesses and particle sizes on soil water characteristics. Sci Rep. 2021, 11, 15368. [Google Scholar] [CrossRef] [PubMed]
- Liu, F.Y.; Song, H.P.; Wu, H.B.; Feng, Z.J.; Chai, C.J.; Zhang, J.J.; Zhou, J.J. Research Progress on the Utilization of Coal Gangue for Soil Remediation and as Soil Amendment Agents. Conserv. Util. Miner. Resour. 2023, 43, 14–26. [Google Scholar] [CrossRef]
- Han, X.N.; Dong, Y.; Geng, Y.Q.; Na, L.; Ying, Z.C. Influence of Coal gangue Mulching on Chemical Characteristics of Soil in the Mining Area. Ecol. Environ. Conserv. 2021, 30, 2251–2256. [Google Scholar] [CrossRef]
- Zhang, Y.H.; Song, Z.L.; Kong, T.; Zhao, D.Y.; Wang, L.; Wang, Y.X. Amelioration Effect of Coal Gangue on Physical and Chemical Properties of Saline-alkaline Soil. Ecol. Environ. Conserv. 2021, 30, 195–204. [Google Scholar] [CrossRef]
- Liu, X.H. Review of Coal Gangue Consumption and Utilization in Soil. J. Eng. Sci. Technol. 2023, 23, 1345–1356. [Google Scholar]
- Wei, Y.; Jiao, L.; Zhang, P.; Liu, F.D.; Xiao, H.; Dong, Y.C.; Sun, H.W. Research and Application Progress of Biochar in Amelioration of Saline-Alkali Soil. Environ. Sci. 2024, 45, 940–951. [Google Scholar] [CrossRef]
- Huang, J.; Kong, Y.L.; Xu, Q.S.; Zhu, C.Q.; Zhu, L.F.; Cao, X.M.; Hong, X.Z.; Zhang, J.H. Progresses for Characteristics and Amelioration Measures of Saline Soil. Soils 2022, 54, 18–23. [Google Scholar] [CrossRef]
- Zhao, Y.G.; Wang, S.J.; Li, Y.; Liu, J.; Zhuo, Y.Q. Prospects of using flue gas desulfurization gypsum to ameliorate saline-alkaline soils. Tsinghua Sci. Technol. 2022, 62, 735–745. [Google Scholar] [CrossRef]
- Chen, Y.N.; Li, Z.Q.; Xu, J.H.; Shen, Y.J.; Xing, X.X.; Xie, T.; Li, Z.; Yang, L.S.; Xi, H.Y.; Zhu, C.G.; et al. Changes and Protection Suggestions in Water Resources and Ecological Environment in Arid Region of Northwest China. Bull. Chin. Acad. Sci. 2023, 38, 385–393. [Google Scholar] [CrossRef]
- Zhao, K.F.; Li, F.Z.; Fan, S.J.; Feng, L.T. Halophytes in China. Chin. Bull. Bot. 1999, 10–16, 201. [Google Scholar]
- Summerton, L.; Greener, M.; Patterson, D.; Brown, C.D. Effects of soil redistribution by tillage on subsequent transport of pesticide to subsurface drains. Pest Manag. Sci. 2023, 79, 616–626. [Google Scholar] [CrossRef] [PubMed]
- Zhu, Y.Z.; Li, Y.Y.; Han, J.G.; Yao, H.Y. Effects of changes in water status on soil microbes and their response mechanism: A review. Chin. J. Appl. Ecol. 2019, 30, 4323–4332. [Google Scholar] [CrossRef]
- Wang, X. Water Contension Variational Properties and Environmental Effects of Reconstructed Soil Filled with Coal Gangue. Ph.D. Thesis, AnHui University of Science and Technology, Anhui, China, 2014. [Google Scholar]
- Zhang, L.; Liu, Y.X.; Peng, H.W.; Zhang, Y.H.; Zhuang, S.Y.; Wang, M.Y.; Shi, X.Z. Spatial Characteristics of Bulk Density and Related Influencing Factors of Bijie Tobacco-Planting Soils. Soils 2022, 54, 145–151. [Google Scholar] [CrossRef]
- Chai, H.; He, N.P. Evaluation of soil bulk density in Chinese terrestrial ecosystems for determination of soil carbon storage on a regional scale. Acta Ecol. Sin. 2016, 36, 3903–3910. [Google Scholar]
- Liu, X.T.; Zheng, C.L.; Cao, W.; Dang, H.K.; Cao, C.Y.; Li, X.S.; Li, K.J.; Ma, J.Y. Effects of Long-Term Located Fertilization on Soil Organic Matter, Nitrogen Forms and Crop Yields. Crops 2021, 37, 130–135. [Google Scholar] [CrossRef]
- Nan, Y.C.; Yang, Y.G.; Wang, Z.Q.; Zhou, Y.; Su, Q.M. Effects of coal gangue on soil property and plant growth in mining area. Chin. J. Appl. Ecol. 2023, 34, 1253–1262. [Google Scholar] [CrossRef]
- Cao, H.; Sun, H.; Yang, H.; Sun, B.; Zhao, Q.G. A Review Soil Enzyme Activity and its Indication for Soil Quality. Chin. J. Appl. Environ. Biol. 2003, 9, 105–109. [Google Scholar]
- Tang, T.; Wang, Z.; Chen, L.; Wu, S.; Liu, Y. Opportunities, challenges and modification methods of coal gangue as a sustainable soil conditioner-a review. Environ. Sci. Pollut. Res. 2024, 31, 58231–58251. [Google Scholar] [CrossRef] [PubMed]
- Liu, J.B.; Chen, G.S.; Guo, J.F.; Liu, Z.J.; Li, Y.Q.; Lin, C.F.; Yang, Y.S. Advances in research on the responses of forest soil enzymes to environmental change. Acta Ecol. Sin. 2017, 37, 110–117. [Google Scholar]
- Wang, J.M.; Song, H.Y.; Chen, J.Y.; Zhang, J.; Li, S.H.; Tao, J.P.; Liu, J.C. Response strategies of Lolium perenne L. to karst heterogeneous habitats under drought stress. Acta Ecol. Sin. 2020, 40, 4566–4572. [Google Scholar]
- Javaid, M.M.; Mahmood, A.; Alshaya, D.S.; AlKahtani, M.; Waheed, H.; Wasaya, A.; Khan, S.A.; Naqve, M.; Haider, I.; Shahid, M.A.; et al. Influence of environmental factors on seed germination and seedling characteristics of perennial ryegrass (Lolium perenne L.). Sci. Rep. 2022, 12, 9522. [Google Scholar] [CrossRef] [PubMed]
- Fan, X.P.; Liu, J.; Kang, Z.; Dong, X.G. Strategic Thinking of Comprehensive Utilization of Coal Gangue and Ecological Restoration of Mines. Environ. Sanit. Eng. 2023, 31, 8–15. [Google Scholar] [CrossRef]
- Wang, S.L. Effects of Coal Gasification Slag Conditioner on Growth, Quality, and Soil Nutrients of Ryegrass. Master’s Thesis, YuLin University, Yulin, China, 2023. [Google Scholar]
- Wang, Q.; Zhang, Q.; Wang, B.; Huang, G.J.; Yan, G.H. Improving effect of high-sulfur coal gangue on soda-saline soil. Chin. Agric. Sci. Bull. 2017, 33, 119–123. [Google Scholar]
- Sun, H.R.; Zhao, A.D. Discussion on the Soil Improvement Using High Sulfur Coal Refuse. Coal Pro. Compre. Utili. 1999, 3, 13–15. [Google Scholar]
- Cui, H.; Zhang, J.D.; Bao, L.; Han, J.R.; Che, Z.X.; Bao, X.G.; Yang, R.J. Effects of different amounts of organic acid soil conditioners on soil nutrients and crop growth. Chin. J. Appl. Ecol. 2021, 32, 4411–4418. [Google Scholar] [CrossRef]
- Tian, S.H. Effects of Planting Patterns and Manure Amount on the Production Characteristics of Organic Forages. Master’s Thesis, Guizhou University, Guizhou, China, 2019. [Google Scholar]
- Li, J.W.; Xu, J.; Yu, H.; Luo, H.; Shen, J.P.; Chen, C.; Bai, X.; Yue, Z.H. Response of the soil urease enzymatic reaction to the application of three organic nitrogen fertilizers. Chin. J. Eco-Agric. 2024, 32, 1033–1042. [Google Scholar]
- Li, H.Y.; Yao, T.; Gao, Y.M.; Zhang, J.H.; Ma, Y.C.; Lu, X.W.; Yang, X.L.; Zhang, H.R.; Xia, D.H. Relationship between soil fungal community and soil environmental factors in degraded alpine grassland. Acta Microbiol. Sin. 2019, 59, 678–688. [Google Scholar] [CrossRef]
- Maurel, C.; Nacry, P. Root architecture and hydraulics converge for acclimation to changing water availability. Nat. Plants 2020, 6, 744–749. [Google Scholar] [CrossRef] [PubMed]
- Zhang, K.; Xu, L.; Huang, G.; Meng, X.; Yao, J.; Jiang, B. Coupled variations of soil temperature and moisture in reclaimed fields filled with coal gangue of different grain size distributions. J. Soil. Sediment 2020, 20, 2248–2259. [Google Scholar] [CrossRef]
- Vanderborght, J.; Fetzer, T.; Mosthaf, K.; Smits, K.M.; Helmig, R. Heat and water transport in soils and across the soil-atmosphere interface: 1. Theory and different model concepts. Water Resour. Res. 2017, 53, 1057–1079. [Google Scholar] [CrossRef]
- Zhou, B.; Shao, M.; Wen, M.; Wang, Q. Robert Horton. Effects of coal gangue content on water movement and solute transport in a China Loess Plateau soil. Water 2010, 38, 1031–1038. [Google Scholar]
- Fang, L.; Xinju, L.; Le, H.; Anran, S. A long-term study on the soil reconstruction process of reclaimed land by coal gangue filling. Catena 2020, 195, 104874. [Google Scholar] [CrossRef]
- Nciizah, A.D.; Wakindiki, I.I. Soil sealing and crusting effects on infiltration rate: A critical review of shortfalls in prediction models and solutions. Arch. Agron. Soil Sci 2015, 61, 1211–1230. [Google Scholar] [CrossRef]
- Liu, B.; Gu, X.; Li, Z.; Yang, B.; Wang, H.; Liu, J.; Nehdi, M.L.; Zhang, Y. Exploring microwave activation as a novel method for activating coal gangue: Focus on microwave activation mechanisms and hydration characteristics of cementitious supplementary materials. Constr. Build. Mater. 2024, 450, 138482. [Google Scholar] [CrossRef]
- Xu, L.J.; Zhu, X.M.; Liu, S.G.; Huang, C. Temporal and spatial response characteristics of reconstructed soil moisture under different particle size coal gangue temperature field. J. Chin. Coal Soc. 2018, 43, 2304–2310. [Google Scholar] [CrossRef]
- Fan, Q.Y.; Zhang, C.Y.; Geng, Y.Q.; Han, X.N.; Chen, L. Effects of fly ash application on the properties of coal gangue matrix and plant growth. J. Soil. Water. Conserv. 2022, 20, 85–92. [Google Scholar] [CrossRef]
- He, M.; Xu, Q.Y.; Xia, Y.; Yang, L.M.; Fan, Y.X.; Yang, Y.S. Plant phosphorus acquisition mechanisms and their response to global climate changes. Chin. J. Plant Ecol. 2023, 47, 291–305. [Google Scholar] [CrossRef]
- Zeng, P.; Xie, H.Y.; Jin, Y.L.; Zhang, P.; Liu, Y.H.; Chen, J.L. A Review on Characteristics and Alumina Extraction of Coal Gangue in China. Conser. Util. Miner. Resour. 2022, 42, 21–29. [Google Scholar] [CrossRef]
- Yan, M.F.; Wang, L.; Hao, C.Z.; Liu, Y.; Cui, F.F.; Ren, H.R.; Zhang, J.B. Effects of ecological restoration on soil organic carbon in post-mining lands. Acta Ecol. Sin. 2019, 39, 1838–1845. [Google Scholar]
- Luo, H.F.; Qiao, Y.D.; Ning, Z.X.; Yang, D.; Cheng, H.M.; Hu, J.G. Study on leaching characteristics of polycyclic aromatic hydrocarbons after filling soil of coal gangue. Min. Mag. 2021, 30, 151–156. [Google Scholar]
- Zhao, L.; Zhang, P.Q.; Liu, T.; Sun, Y.F.; Zhang, Q.; Meng, X.X.; Li, J.J. Release of inorganic and organic nitrogen from coal gangue. J. Arid. Land. 2020, 34, 130–135. [Google Scholar] [CrossRef]
- Zhang, F.E.; Zhang, K. Study on modified coal gangue adsorbing phosphate in wastewater. J. Saf. Environ. 2021, 21, 2774–2780. [Google Scholar] [CrossRef]
- Kang, D.J.; Zhang, F.; Lv, J.T.; Gong, Y.P.; Zhao, Y.; Tuo, X.Y. Research on Release Law and Characteristics of Heavy Metals in Coal Gangue under Soaking and Leaching. Res. Environ. 2023, 36, 54–62. [Google Scholar] [CrossRef]
- Du, J.X.; Liu, K.L.; Huang, J.; Han, T.F.; Wang, Y.P.; Li, D.C.; Li, Y.Z.; Ma, C.B.; Xue, Y.D.; Zhang, H.M. Spatio-temporal Evolution Characteristics of Soil Available Phosphorus and Its Response to Phosphorus Balance in Paddy Soil in China. Acta Pedol. Sin. 2021, 58, 476–486. [Google Scholar]
- Wang, Y.Z.; Chen, X.; Shi, Y. Phosphorus availability in cropland soils of China and related affecting factors. Chin. J. Appl. Ecol. 2013, 24, 260–268. [Google Scholar] [CrossRef]
- Wang, Z.; Sun, Z.J.; Sameh, E.; Wang, Z.; He, J.; Han, L.; Zou, B.T. Effects of Enteromorpha prolifera Biochar and Wood Vinegar Co-application on Takyric Solonetz Improvement and Yield of Oil Sunflower. Environ. Sci. 2021, 42, 6078–6090. [Google Scholar] [CrossRef]
- Chen, Y.X.; Deng, J.J.; Zhou, Y.B.; Yin, Y.; Wei, Y.W.; Bai, X.J.; Zhu, W.X. Characteristics of Soil Microbial Community and Its Relationship with Soil Physical and Chemical Properties in Natural Secondary Forests of Quercus mongolica. J. Shenyang Agric. Univ. 2018, 49, 409–416. [Google Scholar]
- Bin, J.Z.; Tong, Y.T.; Kui, Z.S.; Peng, K.Y.; Liang, X.G. Pot experiment of geochemical engineering for improving barren loess with solid waste. North Chin. Geol. 2023, 46, 55–60. [Google Scholar] [CrossRef]
- Van Schuylenborgh, J. The effect of air-drying of soil samples upon some physical soil properties. J. Agric. Sci. 1954, 2, 50–57. [Google Scholar] [CrossRef]
- Whitmore, A.P.; Whalley, W.R. Physical effects of soil drying on roots and crop growth. J. Exp. Bot. 2009, 60, 2845–2857. [Google Scholar] [CrossRef]
- Fan, Y.; Jia, H.; Pino, V.; Wu, H.; Cheng, F. A Si-K-Based Amendment Prepared by Coal Gangue and Plant Ash Could Improve the Growth of Maize Plants in Saline Soils. J. Soil Sci. Plant Nut 2024, 24, 761–774. [Google Scholar] [CrossRef]
- He, X.; Qiao, J.; Li, Z.; Bai, X.; Zhang, X.; Zhao, J.; Xing, B. Effects of improved saline-alkaline soil with coal gangue on potato growth. Trans. Chin. Soc. Agric. Eng. 2023, 39, 145–154. [Google Scholar]
- Yin, N.; Zhang, Z.; Wang, L.; Qian, K. Variations in organic carbon, aggregation, and enzyme activities of gangue-fly ash-reconstructed soils with sludge and arbuscular mycorrhizal fungi during 6-year reclamation. Environ. Sci. Pollut. Res. 2016, 23, 17840–17849. [Google Scholar] [CrossRef] [PubMed]
- Mead, R. Statistical Methods in Agriculture and Experimental Biology; Chapman and Hall/CRC: Boca Raton, FL, USA, 2017; ISBN 0203738551. [Google Scholar]
- Criscione, K.S.; Fields, J.S.; Owen, J.S.; Fultz, L.; Bush, E. Evaluating stratified substrates effect on containerized crop growth under varied irrigation strategies. HortScience 2022, 57, 400–413. [Google Scholar] [CrossRef]
- Fernandez, R.T.; Pershey, N.A.; Andresen, J.A.; Cregg, B.M. Water conserving irrigation practices, plant growth, seasonal crop coefficients, and nutrition of container-grown woody ornamentals. Water 2019, 11, 2070. [Google Scholar] [CrossRef]
- Shidan, B. Soil and Agricultural Chemistry Analysis; Chinese Agriculture Publishing House: Beijing, China, 2000. [Google Scholar]
- Erbach, D.C. Measurement of soil bulk density and moisture. Trans. ASAE 1987, 30, 922–931. [Google Scholar] [CrossRef]
- Cassel, D.K.; Nielsen, D.R. Field capacity and available water capacity. In Methods of Soil Analysis: Part 1 Physical and Mineralogical Methods; Amer Society of Agronomy: Madison, WI, USA, 1986; Volume 5, pp. 901–926. [Google Scholar]
- Thomas, G.W. Soil pH and soil acidity. In Methods of Soil Analysis: Part 3 Chemical Methods; John Wiley & Sons: New York, NY, USA, 1996; Volume 5, pp. 475–490. [Google Scholar]
- Schollenberger, C.J. Determination of soil organic matter. Soil Sci. 1931, 31, 483–486. [Google Scholar] [CrossRef]
- Kirk, P.L. Kjeldahl method for total nitrogen. Anal. Chem. 1950, 22, 354–358. [Google Scholar] [CrossRef]
- Turner, B.L.; Cade-Menun, B.J.; Condron, L.M.; Newman, S. Extraction of soil organic phosphorus. Talanta 2005, 66, 294–306. [Google Scholar] [CrossRef]
- Brodowska, S.; Kurzyna-Szklarek, M. Evaluation of phosphorous and potassium content in plant organs as a result of differentiated fertilizer ratios. J. Elem. 2019, 24, 1229–1240. [Google Scholar] [CrossRef]
- Rhoades, J.D.; Chanduvi, F.; Lesch, S.M. Soil Salinity Assessment: Methods and Interpretation of Electrical Conductivity Measurements; FAO: Rome, Italy, 1999; ISBN 9251042810. [Google Scholar]
- Schollenberger, C.J.; Simon, R.H. Determination of exchange capacity and exchangeable bases in soil—Ammonium acetate method. Soil Sci. 1945, 59, 13–24. [Google Scholar] [CrossRef]
- Thomas, G.W. Exchangeable cations. In Methods of Soil Analysis: Part 2 Chemical and Microbiological Properties; Soil Science Society of America: Madison, WI, USA, 1982; Volume 9, pp. 159–165. [Google Scholar]
- Songyin, G.; Guiqin, S.; Zhaopeng, M.; Zaohua, Y.; Jiukang, M. Enzyme Activities in Main Soils in China. Acta. Pedol. Sin. 1984, 4, 368–381. [Google Scholar]
- Lloyd, A.B.; Sheaffe, M.J. Urease activity in soils. Plant Soil 1973, 39, 71–80. [Google Scholar] [CrossRef]
- Morton, R.K. The kinetics of hydrolysis of phenyl phosphate by alkaline phosphatases. Biochem. J. 1957, 65, 674. [Google Scholar] [CrossRef] [PubMed]
- Sengupta, S.; Jana, M.L.; Sengupta, D.; Naskar, A.K. A note on the estimation of microbial glycosidase activities by dinitrosalicylic acid reagent. Appl. Microbiol. Biot. 2000, 53, 732–735. [Google Scholar] [CrossRef]
- Olszewska, M. Effects of cultivar, nitrogen rate and biostimulant application on the chemical composition of perennial ryegrass (Lolium perenne L.) biomass. Agron. J. 2022, 12, 826. [Google Scholar] [CrossRef]
- Pan, L.D.; Li, R.; Zhang, Y.S.; Ni, Q.G.; Gao, J.Y.; Yuan, J. Effects of straw mulching on soil ecological stoichiometry characteristics and yield on sloping farmland in karst area, Southwestern China. Acta Ecol. Sin. 2022, 42, 4428–4438. [Google Scholar]









| Treatment | pH | SOM/(mg/kg) | TN/(mg/kg) |
|---|---|---|---|
| S1T1 | 8.73 b | 11.25 g | 0.17 d |
| S1T2 | 8.61 d | 13.46 d | 0.19 c |
| S1T3 | 8.49 a | 21.54 a | 0.22 a |
| S2T1 | 8.76 b | 10.87 g | 0.16 e |
| S2T2 | 8.64 c | 12.89 e | 0.20 b |
| S2T3 | 8.61 d | 19.57 b | 0.24 a |
| S3T1 | 8.82 b | 8.94 h | 0.15 e |
| S3T2 | 8.66 c | 11.81 f | 0.17 d |
| S3T3 | 8.63 d | 15.34 c | 0.21 b |
| CK | 9.00 a | 7.90 i | 0.12 f |
| Analyzed Item | Load Factor | Communality | Principal Component 1 (85.79%) | Comprehensive Score Coefficient | Weight |
|---|---|---|---|---|---|
| WFPS | 0.879 | 0.772 | 0.3585 | 0.3585 | 13.56% |
| WHC | 0.938 | 0.880 | 0.3829 | 0.3829 | 14.48% |
| pH | −0.878 | 0.771 | 0.3584 | −0.3584 | 13.56% |
| SOM | 0.938 | 0.879 | 0.3826 | 0.3826 | 14.47% |
| TN | 0.912 | 0.832 | 0.3722 | 0.3722 | 14.08% |
| ESP | −0.971 | 0.943 | 0.3963 | −0.3963 | 14.99% |
| URE | 0.963 | 0.927 | 0.3930 | 0.3930 | 14.86% |
| Data Source | Initial Soil Moisture Content (%) | Bulk Density (g/cm3) | pH | Soil Alkalinity (%) | Soil Salt Content (g/kg) | Organic Matter (g/kg) |
|---|---|---|---|---|---|---|
| Soil sample | 3.44 | 1.59 | 9.29 | 25.94 | 2.10 | 396.00 |
| Reference value for saline soils * | - | >7.00 | >5.00 | >0.20 | - |
| Available Nitrogen (mg/kg) | Available Phosphorus (mg/kg) | Available Potassium (mg/kg) | Soil Urease μg/(d·g) | Soil Alkaline Phosphatase μmol/(d·g) | Soil Saccharase mg/(d·g) |
|---|---|---|---|---|---|
| 39.46 | 4.03 | 94.71 | 83.12 | 0.56 | 0.42 |
| Data Source | pH | Initial Soil Moisture Content (%) | Bulk Density (g/cm3) |
|---|---|---|---|
| Coal gangue | 9.70 | 1.43 | 1.61 |
| Data Source | Cd/(mg/kg) | Pb/(mg/kg) | Cr/(mg/kg) | Hg/(mg/kg) | As/(mg/kg) | Cu/(mg/kg) | Zn/(mg/kg) | Ni/(mg/kg) |
|---|---|---|---|---|---|---|---|---|
| Coal gangue | 0.274 | 69.1 | 64.6 | 0.199 | 1.35 | 38.1 | 108 | 48.3 |
| Screening value | <0.6 | 170 | 250 | 3.4 | 25 | 100 | 190 | 300 |
Disclaimer/Publisher’s Note: The statements, opinions and data contained in all publications are solely those of the individual author(s) and contributor(s) and not of MDPI and/or the editor(s). MDPI and/or the editor(s) disclaim responsibility for any injury to people or property resulting from any ideas, methods, instructions or products referred to in the content. |
© 2024 by the authors. Licensee MDPI, Basel, Switzerland. This article is an open access article distributed under the terms and conditions of the Creative Commons Attribution (CC BY) license (https://creativecommons.org/licenses/by/4.0/).
Share and Cite
Li, S.; Li, X.; Qiang, X.; Yu, Z.; Li, H.; Sun, Z.; Li, Q.; He, J.; Han, L.; Zhao, N. Improving Saline–Alkaline Soil and Ryegrass Growth with Coal Gangue Treatments. Plants 2024, 13, 3419. https://doi.org/10.3390/plants13233419
Li S, Li X, Qiang X, Yu Z, Li H, Sun Z, Li Q, He J, Han L, Zhao N. Improving Saline–Alkaline Soil and Ryegrass Growth with Coal Gangue Treatments. Plants. 2024; 13(23):3419. https://doi.org/10.3390/plants13233419
Chicago/Turabian StyleLi, Siqi, Xingqiang Li, Xiaolin Qiang, Zhao Yu, Hongyuan Li, Zhaojun Sun, Qian Li, Jun He, Lei Han, and Ningxin Zhao. 2024. "Improving Saline–Alkaline Soil and Ryegrass Growth with Coal Gangue Treatments" Plants 13, no. 23: 3419. https://doi.org/10.3390/plants13233419
APA StyleLi, S., Li, X., Qiang, X., Yu, Z., Li, H., Sun, Z., Li, Q., He, J., Han, L., & Zhao, N. (2024). Improving Saline–Alkaline Soil and Ryegrass Growth with Coal Gangue Treatments. Plants, 13(23), 3419. https://doi.org/10.3390/plants13233419

