Antioxidant System Activity in Roots and Shoots of Bean Cultivars in Response to Seed Treatment with Auxin as a Potential Model of Interaction with Endophytic Bacteria
Abstract
1. Introduction
2. Results
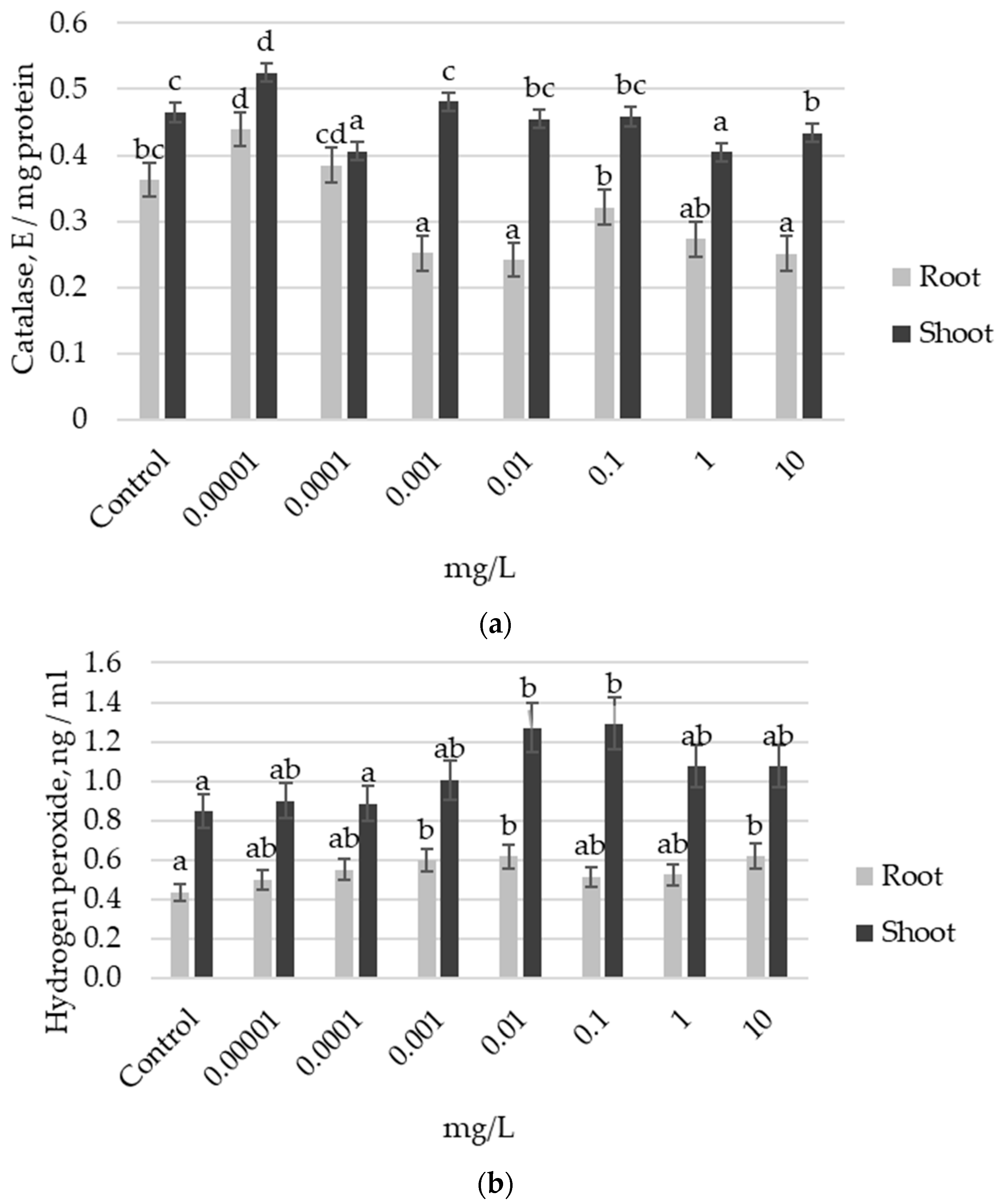
2.1. The Effect of Treating Ufimskaya Cultivar Seeds with a Gradient of Exogenous Auxin Concentrations on Growth Parameters, Antioxidant System Indicators, and the Correlation Relationships Between Them
2.2. Effect of Treating Elsa Cultivar Seeds with a Gradient of Exogenous Auxin Concentrations on Growth Parameters, Antioxidant System Indicators, and Correlation Relationships Between Them
2.3. Effect of Treating Zolotistaya Cultivar Seeds with a Gradient of Auxin Concentrations on Growth Parameters, Antioxidant System Indicators and Correlation Relationships Between Them
3. Discussion
4. Materials and Methods
4.1. Plant Material and Exogenous Auxin
4.2. Preparation of the IAA Concentration Gradient
4.3. Seed Treatment
4.4. Determination of Seedlings Growth
4.5. Determination of Malondialdehyde (MDA) Content
4.6. Determination of Hydrogen Peroxide (H2O2) Content
4.7. Determination of Catalase (CAT) Activity
4.8. Statistical Analysis
5. Conclusions
Author Contributions
Funding
Data Availability Statement
Acknowledgments
Conflicts of Interest
References
- Uebersax, M.A.; Cichy, K.A.; Gomez, F.E.; Porch, T.G.; Heitholt, J.; Osorno, J.M.; Kamfwa, K.; Snapp, S.S.; Bales, S. Dry Beans (Phaseolus vulgaris L.) As A Vital Component of Sustainable Agriculture and Food Security—A Review. Legume Sci. 2023, 5, e155. [Google Scholar] [CrossRef]
- Lisciani, S.; Marconi, S.; Le Donne, C.; Camilli, E.; Aguzzi, A.; Gabrielli, P.; Gambelli, L.; Kunert, K.; Marais, D.; Vorster, B.J. Legumes and Common Beans in Sustainable Diets: Nutritional Quality, Environmental Benefits, Spread and Use in Food Preparations. Front. Nutr. 2024, 11, 1385232. [Google Scholar] [CrossRef] [PubMed]
- Rosales, M.A.; Ocampo, E.; Rodríguez-Valentín, R.; Olvera-Carrillo, Y.; Acosta-Gallegos, J.; Covarrubias, A.A. Physiological Analysis of Common Bean (Phaseolus vulgaris L.) Cultivars Uncovers Characteristics Related to Terminal Drought Resistance. Plant Physiol. Biochem. 2012, 56, 24–34. [Google Scholar] [CrossRef]
- Assefa, T.; Assibi Mahama, A.; Brown, A.V. A Review of Breeding Objectives, Genomic Resources, And Marker-Assisted Methods in Common Bean (Phaseolus vulgaris L.). Mol. Breed. 2019, 39, 20. [Google Scholar] [CrossRef]
- Rubiales, D. Plant Breeding Is Needed to Meet Agroecological Requirements: Legume Crops as A Case Study. Outlook Agric. 2023, 52, 294–302. [Google Scholar] [CrossRef]
- Arriagada, O.; Arévalo, B.; Cabeza, R.; Carrasco, B.; Schwember, A. Meta-QTL Analysis for Yield Components in Common Bean (Phaseolus vulgaris L.). Plants 2022, 12, 117. [Google Scholar] [CrossRef]
- Vishnyakova, M.A.; Aleksandrova, T.G.; Buravtseva, T.V.; Burlyaeva, M.O.; Egorova, G.P.; Semenova, E.V.; Seferova, I.V.; Suvorova, G.N. Species Diversity of The VIR Collection of Grain Legume Genetic Resources and Its Use in Domestic Breeding. Proceed. Appl. Bot. Genet. Breed. 2019, 180, 109–123. [Google Scholar] [CrossRef]
- Markova, O.V.; Garipova, S.R. Adaptive potential of Bean (Phaseolus vulgaris L.) Varieties Cultivated in The Conditions of Southern Urals. Agrochem. Ecol. Probl. 2020, 4, 40–43. [Google Scholar]
- Rani, S.; Kumar, P.; Dahiya, P.; Maheshwari, R.; Dang, A.S.; Suneja, P. Endophytism: A Multidimensional Approach to Plant–Prokaryotic Microbe Interaction. Front. Microbiol. 2022, 13, 861235. [Google Scholar] [CrossRef] [PubMed]
- Adeleke, B.S.; Fadiji, A.E.; Ayilara, M.S.; Igiehon, O.N.; Nwachukwu, B.C.; Babalola, O.O. Strategies to Enhance the Use of Endophytes as Bioinoculants in Agriculture. Horticulturae 2022, 8, 498. [Google Scholar] [CrossRef]
- Kaur, G.; Patel, A.; Dwibedi, V. Harnessing the Action Mechanisms of Microbial Endophytes for Enhancing Plant Performance and Stress Tolerance: Current Understanding and Future Perspectives. Arch. Microbiol. 2023, 205, 303. [Google Scholar] [CrossRef] [PubMed]
- Anand, U.; Pal, T.; Yadav, N.; Singh, V.K.; Tripathi, V.; Choudhary, K.K.; Shukla, A.K.; Sunita, K.; Kumar, A.; Bontempi, E.; et al. Current Scenario and Future Prospects of Endophytic Microbes: Promising Candidates for Abiotic and Biotic Stress Management for Agricultural and Environmental Sustainability. Microb. Ecol. 2023, 86, 1455–1486. [Google Scholar] [CrossRef] [PubMed]
- Orozco-Mosqueda, M.d.C.; Santoyo, G.; Glick, B.R. Recent Advances in the Bacterial Phytohormone Modulation of Plant Growth. Plants 2023, 12, 606. [Google Scholar] [CrossRef] [PubMed]
- Keswani, C.; Singh, S.P.; Cueto, L.; García-Estrada, C.; Mezaache-Aichour, S.; Glare, T.R.; Borriss, R.; Singh, S.P.; Blázquez, M.A.; Sansinenea, E. Auxins of Microbial Origin and Their Use in Agriculture. Appl. Microbiol. Biotechnol. 2020, 104, 8549–8565. [Google Scholar] [CrossRef]
- Pappalettere, L.; Bartolini, S.; Toffanin, A. Auxin-Producing Bacteria Used as Microbial Biostimulants Improve the Growth of Tomato (Solanum lycopersicum L.) Seedlings in Hydroponic Systems. BioTech 2024, 13, 32. [Google Scholar] [CrossRef]
- Pantoja-Guerra, M.; Valero-Valero, N.; Ramirez, C.A. Total Auxin Level in The Soil–Plant System as A Modulating Factor for The Effectiveness of PGPR Inocula: A Review. Chem. Biol. Technol. Agric. 2023, 10, 6. [Google Scholar] [CrossRef]
- Matyunina, V.D.; Chistoedova, A.V.; Markova, O.V.; Garipova, S.R. Influence of Seed Treatment with Different Doses of Heteroauxin on The Growth Parameters of Two Bean Varieties. Ecoboitech 2023, 6, 175–184. [Google Scholar] [CrossRef]
- Duca, D.R.; Glick, B.R. Indole-3-Acetic Acid Biosynthesis and Its Regulation in Plant-Associated Bacteria. Appl. Microbiol. Biotechnol. 2020, 104, 8607–8619. [Google Scholar] [CrossRef] [PubMed]
- Etesami, H.; Glick, B.R. Bacterial Indole-3-Acetic Acid: A Key Regulator for Plant Growth, Plant-Microbe Interactions, And Agricultural Adaptive Resilience. Microbiol. Res. 2024, 281, 127602. [Google Scholar] [CrossRef]
- Ivanchina, N.V.; Garipova, S.R.; Khairullin, R.M. Effect of Cell Doses of Bacillus Subtilis Endophytic Strains Producing Indolyl-3-Acetic Acid on Growth and Productivity of Pea (Pisum sativum L.). Agrochimia 2018, 4, 39–44. [Google Scholar]
- Spaepen, S.; Vanderleyden, J. Auxin and Plant-Microbe Interactions. Cold Spring Harb. Perspect. Biol. 2011, 3, a001438. [Google Scholar] [CrossRef] [PubMed]
- van der Meij, A. Feeling Hormonal? Insights into Bacterial Auxin Sensing and Its Physiological Effects. mSystems 2024, 9, e00611-24. [Google Scholar] [CrossRef]
- Kunkel, B.N.; Harper, C.P. The Roles of Auxin During Interactions Between Bacterial Plant Pathogens and Their Hosts. J. Exp. Bot. 2018, 69, 245–254. [Google Scholar] [CrossRef] [PubMed]
- Tzipilevich, E.; Russ, D.; Dangl, J.L.; Benfey, P.N. Plant Immune System Activation Is Necessary for Efficient Root Colonization by Auxin-Secreting Beneficial Bacteria. Cell Host Microbe 2021, 29, 1507–1520. [Google Scholar] [CrossRef] [PubMed]
- Deng, C.; Zeng, N.; Li, C.; Pang, J.; Zhang, N.; Li, B. Mechanisms of ROS-Mediated Interactions Between Bacillus aryabhattai LAD and Maize Roots to Promote Plant Growth. BMC Microbiol. 2024, 24, 327. [Google Scholar] [CrossRef] [PubMed]
- Oukala, N.; Aissat, K.; Pastor, V. Bacterial Endophytes: The Hidden Actor in Plant Immune Responses against Biotic Stress. Plants 2021, 10, 1012. [Google Scholar] [CrossRef] [PubMed]
- Sahu, P.K.; Jayalakshmi, K.; Tilgam, J.; Gupta, A.; Nagaraju, Y.; Kumar, A.; Hamid, S.; Singh, H.V.; Minkina, T.; Rajput, V.D.; et al. ROS Generated from Biotic Stress: Effects on Plants and Alleviation by Endophytic Microbes. Front. Plant Sci. 2022, 13, 1042936. [Google Scholar] [CrossRef]
- Garipova, S.R.; Markova, O.V.; Fedorova, K.A.; Dedova, M.A.; Kamaletdinova, A.A.; Lastochkina, O.V.; Pusenkova, L.I. Malondialdehyde and Proline Content in Bean Cultivars Following the Inoculation with Endophytic Bacteria. Acta Physiol. Plant. 2022, 44, 89. [Google Scholar] [CrossRef]
- Markova, O.; Garipova, S.; Chistoedova, A.; Matyunina, V.; Lubyanova, A.; Lastochkina, O.; Garipov, A.; Shpirnaya, I.; Pusenkova, L. Predicting Field Effectiveness of Endophytic Bacillus subtilis Inoculants for Common Bean Using Morphometric and Biochemical Markers. Plants 2024, 13, 1769. [Google Scholar] [CrossRef] [PubMed]
- Markova, O.V.; Garipova, S.R.; Pusenkova, L.I. Variety-Strain Interaction Specificity of Bacillus subtilis with Salt-Stressed Phaseolus vulgaris L. Plants. Proc. Univ. Appl. Chem. Biotechnol. 2023, 13, 350–358. [Google Scholar] [CrossRef]
- Garipova, S.R.; Shayakhmetova, A.S.; Lastochkina, O.V.; Fedorova, K.A.; Pusenkova, L.I. Influence of Bean Plants Inoculation by Endophyte Bacteria Bacillus subtilis on Seedlings Growth in Model Experiment and It’s Yield in Conditions of The Southern Pre-Ural Territory. Agrochem. Her. 2020, 6, 48–63. [Google Scholar]
- Iksanova, M.A.; Garipova, S.R. Analysis of The Phenology, Growth and Productivity of Ufimskaya and Zolotistaya Bean Cultivars Upon Inoculation with Endophytic Bacteria Bacillus subtilis Under the Conditions of The Urals. Dokl. Bashkirskogo Univ. 2021, 6, 152–157. [Google Scholar]
- Timofeeva, A.M.; Galyamova, M.R.; Sedykh, S.E. How Do Plant Growth-Promoting Bacteria Use Plant Hormones to Regulate Stress Reactions? Plants 2024, 13, 2371. [Google Scholar] [CrossRef]
- Makarova, L.E.; Akimova, G.P.; Ischenko, A.A.; Bizikov, P.A.; Kopyrtina, T.V. Effect of Exogenous IAA and BAP on the Metabolism in the Adhesion Zone Cells of the Pea Seegling Roots (Pisum sativum L.) in the Initial Periods of Interaction with Rhizobium leguminosarum bv. Viceae. Prikladn. Biohim. Mikrobiol. 2023, 59, 65–73. [Google Scholar] [CrossRef]
- Korshunova, T.Y.; Kuzina, E.V.; Rafikova, G.F.; Timergalin, M.D.; Rameev, T.V.; Chetverikova, D.V.; Feoktistova, A.V.; Nizaeva, A.A.; Chetverikov, S.P. Bacterization of Forage Grass Seeds: Effect on Plant Germination and Growth. Biomika 2021, 13, 159–165. [Google Scholar] [CrossRef]
- Utami, D.; Kawahata, A.; Sugawara, M.; Jog, R.N.; Miwa, K.; Morikawa, M. Effect of Exogenous General Plant Growth Regulators on the Growth of the Duckweed Lemna Minor. Front. Chem. 2018, 6, 251. [Google Scholar] [CrossRef] [PubMed]
- Zhao, T.; Deng, X.; Xiao, Q.; Han, Y. IAA Priming Improves the Germination and Seedling Growth in Cotton (Gossypium hirsutum L.) Via Regulating the Endogenous Phytohormones and Enhancing the Sucrose Metabolism. Ind. Crops Prod. 2020, 155, 112788. [Google Scholar] [CrossRef]
- Salih, E.G.I.; Zhou, G.; Muddathir, A.M.; Ibrahim, M.E.H. Effects of Seeds Priming with Plant Growth Regulators on Germination and Seedling Growth of Hargel (Solenostemma argel (Del.) Hayne) Under Salinity Stress. Pak. J. Bot. 2022, 54, 1579–1587. [Google Scholar] [CrossRef] [PubMed]
- Morales, M.; Munné-Bosch, S. Malondialdehyde: Facts and Artifacts. Plant Physiol. 2019, 180, 1246–1250. [Google Scholar] [CrossRef] [PubMed]
- Heath, R.L.; Packer, L. Photoperoxidation in isolated chloroplasts. Kinetics and stoichiometry of fatty acid peroxidation. Arch. Biochem. Biophys. 1968, 125, 189–198. [Google Scholar] [CrossRef]
- Jiang, Z.Y.; Woollard, A.C.S.; Wolff, S.P. Hydrogen peroxide production during experimental protein glycation. FEBS Lett. 1990, 268, 69–71. [Google Scholar] [CrossRef] [PubMed]
- Aebi, H. Catalase in vitro. Methods Enzymol. 1984, 105, 121–126. [Google Scholar] [PubMed]
- Bradford, M.M. A Rapid and Sensitive Method for the Quantitation of Microgram Quantities of Protein Utilizing the Principle of Protein-Dye Binding. Anal. Biochem. 1976, 72, 248–254. [Google Scholar] [CrossRef] [PubMed]








| Main Root | Shoot | Number of Roots | Total Root Length | CAT Root | CAT Shoot | H2O2 Root | H2O2 Shoot | MDA Root | MDA Shoot | |
|---|---|---|---|---|---|---|---|---|---|---|
| Main root | 1.00 | |||||||||
| Shoot | 0.76 | 1.00 | ||||||||
| Number of roots | 0.35 | 0.25 | 1.00 | |||||||
| Total root length | 0.76 | 0.94 | 0.37 | 1.00 | ||||||
| CAT root | −0.51 | −0.61 | −0.23 | −0.67 | 1.00 | |||||
| CAT shoot | 0.22 | 0.67 | 0.01 | 0.51 | −0.09 | 1.00 | ||||
| H2O2 root | 0.02 | −0.15 | −0.06 | −0.08 | 0.06 | −0.36 | 1.00 | |||
| H2O2 shoot | −0.18 | 0.09 | −0.06 | 0.14 | −0.07 | 0.19 | 0.13 | 1.00 | ||
| MDA root | −0.38 | −0.13 | −0.17 | −0.31 | 0.06 | 0.01 | −0.15 | 0.46 | 1.00 | |
| MDA shoot | −0.40 | −0.22 | −0.09 | −0.26 | 0.05 | 0.28 | −0.13 | −0.29 | −0.29 | 1.00 |
| Main Root | Shoot | Number of Roots | Total Root Length | CAT Root | CAT Shoot | H2O2 Root | H2O2 Shoot | MDA Root | MDA Shoot | |
|---|---|---|---|---|---|---|---|---|---|---|
| Main root | 1.00 | |||||||||
| Shoot | 0.46 | 1.00 | ||||||||
| Number of roots | 0.44 | 0.60 | 1.00 | |||||||
| Total root length | 0.79 | 0.87 | 0.62 | 1.00 | ||||||
| CAT root | −0.14 | 0.21 | −0.10 | 0.17 | 1.00 | |||||
| CAT shoot | 0.30 | 0.58 | 0.23 | 0.60 | 0.57 | 1.00 | ||||
| H2O2 root | −0.32 | −0.34 | −0.18 | −0.40 | −0.72 | −0.33 | 1.00 | |||
| H2O2 shoot | 0.33 | −0.19 | 0.00 | −0.02 | −0.59 | −0.16 | 0.47 | 1.00 | ||
| MDA root | 0.45 | 0.38 | 0.38 | 0.60 | 0.33 | 0.64 | −0.40 | −0.23 | 1.00 | |
| MDA shoot | 0.09 | 0.17 | −0.06 | 0.01 | 0.20 | 0.07 | −0.56 | 0.06 | −0.12 | 1.00 |
| Main Root | Shoot | Number of Roots | Total Root Length | CAT Root | CAT Shoot | H2O2 Root | H2O2 Shoot | MDA Root | MDA Shoot | |
|---|---|---|---|---|---|---|---|---|---|---|
| Main root | 1.00 | |||||||||
| Shoot | 0.41 | 1.00 | ||||||||
| Number of roots | −0.39 | 0.44 | 1.00 | |||||||
| Total root length | 0.74 | 0.87 | 0.04 | 1.00 | ||||||
| CAT root | 0.50 | 0.15 | −0.04 | 0.44 | 1.00 | |||||
| CAT shoot | 0.29 | −0.44 | −0.15 | −0.29 | 0.14 | 1.00 | ||||
| H2O2 root | 0.47 | −0.28 | −0.56 | 0.05 | 0.01 | 0.33 | 1.00 | |||
| H2O2 shoot | −0.26 | −0.42 | −0.13 | −0.45 | −0.46 | 0.05 | 0.33 | 1.00 | ||
| MDA root | −0.24 | −0.11 | 0.01 | −0.29 | −0.57 | 0.11 | 0.12 | −0.26 | 1.00 | |
| MDA shoot | −0.21 | 0.06 | −0.28 | −0.01 | −0.11 | −0.65 | −0.44 | 0.00 | −0.16 | 1.00 |
Disclaimer/Publisher’s Note: The statements, opinions and data contained in all publications are solely those of the individual author(s) and contributor(s) and not of MDPI and/or the editor(s). MDPI and/or the editor(s) disclaim responsibility for any injury to people or property resulting from any ideas, methods, instructions or products referred to in the content. |
© 2024 by the authors. Licensee MDPI, Basel, Switzerland. This article is an open access article distributed under the terms and conditions of the Creative Commons Attribution (CC BY) license (https://creativecommons.org/licenses/by/4.0/).
Share and Cite
Garipova, S.; Matyunina, V.; Chistoedova, A.; Markova, O.; Lubyanova, A.; Lastochkina, O.; Pedash, E.; Avalbaev, A.; Pusenkova, L. Antioxidant System Activity in Roots and Shoots of Bean Cultivars in Response to Seed Treatment with Auxin as a Potential Model of Interaction with Endophytic Bacteria. Plants 2024, 13, 3365. https://doi.org/10.3390/plants13233365
Garipova S, Matyunina V, Chistoedova A, Markova O, Lubyanova A, Lastochkina O, Pedash E, Avalbaev A, Pusenkova L. Antioxidant System Activity in Roots and Shoots of Bean Cultivars in Response to Seed Treatment with Auxin as a Potential Model of Interaction with Endophytic Bacteria. Plants. 2024; 13(23):3365. https://doi.org/10.3390/plants13233365
Chicago/Turabian StyleGaripova, Svetlana, Viktoriia Matyunina, Aelita Chistoedova, Oksana Markova, Alsu Lubyanova, Oksana Lastochkina, Ekaterina Pedash, Azamat Avalbaev, and Lyudmila Pusenkova. 2024. "Antioxidant System Activity in Roots and Shoots of Bean Cultivars in Response to Seed Treatment with Auxin as a Potential Model of Interaction with Endophytic Bacteria" Plants 13, no. 23: 3365. https://doi.org/10.3390/plants13233365
APA StyleGaripova, S., Matyunina, V., Chistoedova, A., Markova, O., Lubyanova, A., Lastochkina, O., Pedash, E., Avalbaev, A., & Pusenkova, L. (2024). Antioxidant System Activity in Roots and Shoots of Bean Cultivars in Response to Seed Treatment with Auxin as a Potential Model of Interaction with Endophytic Bacteria. Plants, 13(23), 3365. https://doi.org/10.3390/plants13233365

