Effects of Culture Medium Enrichment with Zinc on Astaxanthin Accumulation in a New Strain of the Microalga Dysmorphococcus globosus
Abstract
1. Introduction
2. Results and Discussion
2.1. Morphological and Ultrastructural Observation and Identification
2.2. Comparison of Zn-Enriched Microalgal Cultures
2.2.1. Effects of Zn Stress on Strain ZY24 Grown in Darkness
2.2.2. Chlorophyll Fluorescence of Strain ZY24 Under High Zn2+-Induced Stress in the Dark
2.2.3. Zn Accumulation in Dysmorphococcus globosus Strain ZY24 Grown in the Dark
2.3. Zn Endurance Test of Strain ZY24 Under White Light Conditions
2.3.1. Morphological Changes in Zn2+-Treated Cells
2.3.2. Effects of Zn Stress on Microalgal Growth
2.3.3. Chlorophyll Fluorescence Analysis
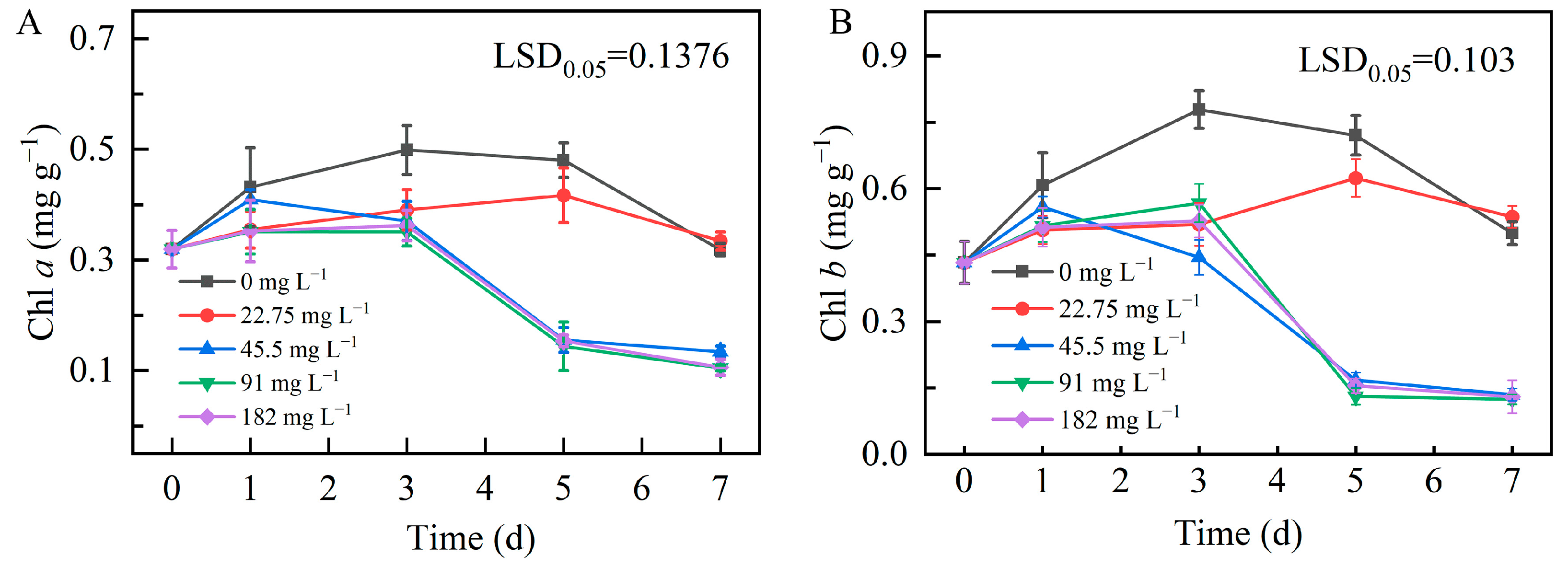
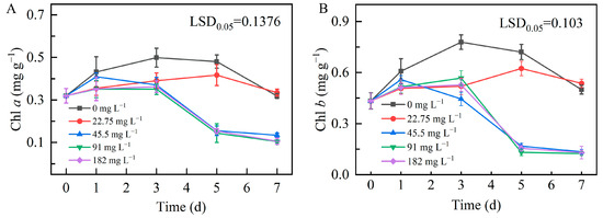
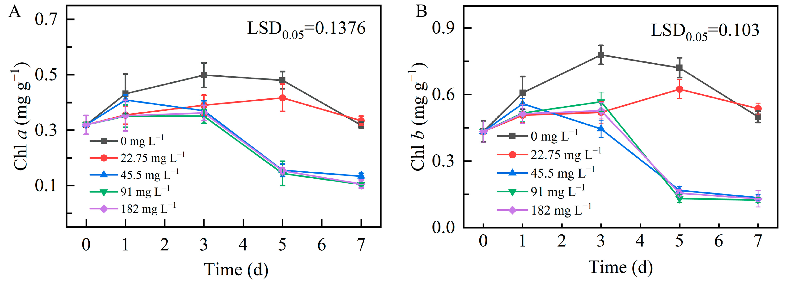
2.3.4. Chlorophyll Content
2.3.5. Pigment Content
2.3.6. Zn Accumulation in Microalgae
3. Materials and Methods
3.1. Sample Collection, Isolation, and Growth Conditions
3.2. Morphological Characterisation Using Light Microscopy and TEM
3.3. Molecular Identification and Phylogenetic Analysis
3.4. Zn2+ Tolerance Test
3.4.1. Cultivation Methods
3.4.2. Microalgal Growth Curve Determination
3.4.3. Chlorophyll Fluorescence Measurements
3.4.4. Zn Accumulation in Microalgae
3.5. Synergistic Effects of Zinc and Astaxanthin
3.5.1. Culturing Method
3.5.2. Measurement of Chlorophylls a and b
3.5.3. High-Performance Liquid Chromatography (HPLC) Analysis of Astaxanthin and Other Carotenoids
3.6. Statistical Analysis
4. Conclusions
Supplementary Materials
Author Contributions
Funding
Data Availability Statement
Conflicts of Interest
Abbreviations
References
- Siddik, M.A.B.; Sørensen, M.; Islam, S.M.M.; Saha, N.; Rahman, M.A.; Francis, D.S. Expanded utilisation of microalgae in global aquafeeds. Rev. Aquac. 2024, 16, 6–33. [Google Scholar] [CrossRef]
- Sutili, F.J.; Gatlin, D.M.; Heinzmann, B.M.; Baldisserotto, B. Plant essential oils as fish diet additives: Benefits on fish health and stability in feed. Rev. Aquac. 2018, 10, 716–726. [Google Scholar] [CrossRef]
- Zhou, Y.; Zhang, Y.; Liang, J.; Hong, H.; Luo, Y.; Li, B.; Tan, Y. From formation to solutions: Off-flavors and innovative removal strategies for farmed freshwater fish. Trends Food Sci. Technol. 2024, 144, 104318. [Google Scholar] [CrossRef]
- Nagarajan, D.; Varjani, S.; Lee, D.-J.; Chang, J.-S. Sustainable aquaculture and animal feed from microalgae—Nutritive value and techno-functional components. Renew. Sustain. Energy Rev. 2021, 150, 111549. [Google Scholar] [CrossRef]
- Hossain, M.S.; Small, B.C.; Kumar, V.; Hardy, R. Utilization of functional feed additives to produce cost-effective, ecofriendly aquafeeds high in plant-based ingredients. Rev. Aquac. 2024, 16, 121–153. [Google Scholar] [CrossRef]
- Ma, M.; Hu, Q. Microalgae as feed sources and feed additives for sustainable aquaculture: Prospects and challenges. Rev. Aquac. 2024, 16, 818–835. [Google Scholar] [CrossRef]
- Zeng, X.; Song, Z.X.; Zhou, X.Q.; Jiang, W.D.; Wu, P.; Liu, Y.; Tang, L.; Li, S.W.; Yang, J.; Feng, L. The emerging role of zinc on alleviating inflammatory responses and enhancing immunity in grass carp (ctenopharyngodon idella). Aquaculture 2024, 584, 740645. [Google Scholar] [CrossRef]
- Fasil, D.M.; Hamdi, H.; Al-Barty, A.; Zaid, A.A.; Parashar, S.K.S.; Das, B. Selenium and Zinc oxide multinutrient supplementation enhanced growth performance in zebra fish by modulating oxidative stress and growth-related gene expression. Front. Bioeng. Biotechnol. 2021, 9, 721717. [Google Scholar] [CrossRef]
- Barbosa, M.J.; Janssen, M.; Südfeld, C.; D’Adamo, S.; Wijffels, R.H. Hypes, hopes, and the way forward for microalgal biotechnology. Trends Biotechnol. 2023, 41, 452–471. [Google Scholar] [CrossRef]
- Guiry, M.D. How many species of algae are there? A reprise. Four kingdoms, 14 phyla, 63 classes and still growing. J. Phycol. 2023, 60, 214–228. [Google Scholar] [CrossRef]
- Williamson, E.; Ross, I.L.; Wall, B.T.; Hankamer, B. Microalgae: Potential novel protein for sustainable human nutrition. Trends Plant Sci. 2024, 29, 370–382. [Google Scholar] [CrossRef] [PubMed]
- Daneshvar, E.; Sik Ok, Y.; Tavakoli, S.; Sarkar, B.; Shaheen, S.M.; Hong, H.; Luo, Y.; Rinklebe, J.; Song, H.; Bhatnagar, A. Insights into upstream processing of microalgae: A review. Bioresour. Technol. 2021, 329, 124870. [Google Scholar] [CrossRef] [PubMed]
- Nobre, M.L.F.; Tavares, D.; Fraga, C.; Oliveira, B.; Dias, M.; Mesquita, S.; Oliveira, C.M.; Pires, J.C.M. Techno-economic analysis of a circular microalgal approach for enhanced wastewater treatment and resource recovery in Northern Portugal. J. Clean. Prod. 2024, 434, 140389. [Google Scholar] [CrossRef]
- Li, K.; Liu, Q.; Fang, F.; Luo, R.; Lu, Q.; Zhou, W.; Huo, S.; Cheng, P.; Liu, J.; Addy, M.; et al. Microalgae-based wastewater treatment for nutrients recovery: A review. Bioresour. Technol. 2019, 291, 121934. [Google Scholar] [CrossRef] [PubMed]
- Deng, X.Y.; Gao, K.; Addy, M.; Li, D.; Zhang, R.C.; Lu, Q.; Ma, Y.W.; Cheng, Y.L.; Chen, P.; Liu, Y.H.; et al. Cultivation of Chlorella vulgaris on anaerobically digested swine manure with daily recycling of the post-harvest culture broth. Bioresour. Technol. 2018, 247, 716–723. [Google Scholar] [CrossRef] [PubMed]
- Parsy, A.; Monlau, F.; Guyoneaud, R.; Sambusiti, C. Nutrient recovery in effluents from the energy sectors for microalgae and cyanobacteria biomass production: A review. Renew. Sustain. Energy Rev. 2024, 191, 114207. [Google Scholar] [CrossRef]
- Zhou, T.; Wang, J.; Zheng, H.; Wu, X.; Wang, Y.; Liu, M.; Xiang, S.; Cao, L.; Ruan, R.; Liu, Y. Characterization of additional zinc ions on the growth, biochemical composition and photosynthetic performance from Spirulina platensis. Bioresour. Technol. 2018, 269, 285–291. [Google Scholar] [CrossRef]
- Liu, X.-Y.; Hong, Y.; Liang, M.; Zhai, Q.-Y. Bioremediation of zinc and manganese in swine wastewater by living microalgae: Performance, mechanism, and algal biomass utilization. Bioresour. Technol. 2023, 385, 129382. [Google Scholar] [CrossRef]
- Maciel, F.; Madureira, L.; Geada, P.; Teixeira, J.A.; Silva, J.; Vicente, A.A. The potential of pavlovophyceae species as a source of valuable carotenoids and polyunsaturated fatty acids for human consumption. Biotechnol. Adv. 2024, 74, 108381. [Google Scholar] [CrossRef]
- Patel, A.K.; Albarico, F.P.J.B.; Perumal, P.K.; Vadrale, A.P.; Nian, C.T.; Chau, H.T.B.; Anwar, C.; Wani, H.M.U.D.; Pal, A.; Saini, R.; et al. Algae as an emerging source of bioactive pigments. Bioresour. Technol. 2022, 351, 126910. [Google Scholar] [CrossRef]
- Peng, X.; Li, D.; Liu, Y. Construction of efficient carotenoid delivery vehicles based on the intestinal epithelial transport pathway: Current applications and future trends. Trends Food Sci. Technol. 2024, 147, 104473. [Google Scholar] [CrossRef]
- Chen, F.; Xu, N.; Liu, K.; Lv, R.; Shi, J.; Liu, J.; Sun, X.; Hu, C. Increasing production and bio-accessibility of natural astaxanthin in Haematococcus pluvialis by screening and culturing red motile cells under high light condition. Bioresour. Technol. 2022, 364, 128067. [Google Scholar] [CrossRef]
- Patel, A.K.; Tambat, V.S.; Chen, C.-W.; Chauhan, A.S.; Kumar, P.; Vadrale, A.P.; Huang, C.-Y.; Dong, C.-D.; Singhania, R.R. Recent advancements in astaxanthin production from microalgae: A review. Bioresour. Technol. 2022, 364, 128030. [Google Scholar] [CrossRef] [PubMed]
- Xie, X.; Zhong, M.; Huang, X.; Yuan, X.; Mahna, N.; Mussagy, C.U.; Ren, M. Astaxanthin biosynthesis for functional food development and space missions. Crit. Rev. Biotechnol. 2024, 1–15. [Google Scholar] [CrossRef] [PubMed]
- Chekanov, K. Diversity and distribution of carotenogenic algae in Europe: A review. Mar. Drugs 2023, 21, 108. [Google Scholar] [CrossRef]
- Nasri, N.; Keyhanfar, M.; Behbahani, M.; Dini, G. Enhancement of astaxanthin production in Haematococcus pluvialis using zinc oxide nanoparticles. J. Biotechnol. 2021, 342, 72–78. [Google Scholar] [CrossRef]
- Lafarga, T.; Sánchez-Zurano, A.; Morillas-España, A.; Acién-Fernández, F.G. Extremophile microalgae as feedstock for high-value carotenoids: A review. Int. J. Food Sci. Technol. 2021, 56, 4934–4941. [Google Scholar] [CrossRef]
- Aneesh, P.A.; Ajeeshkumar, K.K.; Lekshmi, R.G.K.; Anandan, R.; Ravishankar, C.N.; Mathew, S. Bioactivities of astaxanthin from natural sources, augmenting its biomedical potential: A review. Trends Food Sci. Technol. 2022, 125, 81–90. [Google Scholar] [CrossRef]
- Cunha, S.A.; Borges, S.; Baptista-Silva, S.; Ribeiro, T.; Oliveira-Silva, P.; Pintado, M.; Batista, P. Astaxanthin impact on brain: Health potential and market perspective. Crit. Rev. Food Sci. Nutr. 2024, 64, 11067–11090. [Google Scholar] [CrossRef]
- Wang, J.; Hu, X.; Chen, J.; Wang, T.; Huang, X.; Chen, G. The Extraction of β-Carotene from Microalgae for Testing Their Health Benefits. Foods 2022, 11, 502. [Google Scholar] [CrossRef]
- Zheng, H.; Wang, Y.; Li, S.; Nagarajan, D.; Varjani, S.; Lee, D.-J.; Chang, J.-S. Recent advances in lutein production from microalgae. Renew. Sustain. Energy Rev. 2022, 153, 111795. [Google Scholar] [CrossRef]
- Wang, S.; Wu, S.; Yang, G.; Pan, K.; Wang, L.; Hu, Z. A review on the progress, challenges and prospects in commercializing microalgal fucoxanthin. Biotechnol. Adv. 2021, 53, 107865. [Google Scholar] [CrossRef]
- Abu-Ghosh, S.; Dubinsky, Z.; Verdelho, V.; Iluz, D. Unconventional high-value products from microalgae: A review. Bioresour. Technol. 2021, 329, 124895. [Google Scholar] [CrossRef] [PubMed]
- Bouyahya, A.; El Omari, N.; Hakkur, M.; El Hachlafi, N.; Charfi, S.; Balahbib, A.; Guaouguaou, F.-E.; Rebezov, M.; Maksimiuk, N.; Shariati, M.A.; et al. Sources, health benefits, and biological properties of zeaxanthin. Trends Food Sci. Technol. 2021, 118, 519–538. [Google Scholar] [CrossRef]
- Dawson, J.T.; Harris, D.O. Notes on the life history of the planktonic alga, Dysmorphococcus globosus (Volvocales). J. Plankton Res. 1987, 9, 291–295. [Google Scholar] [CrossRef]
- Zohir, W.F.; Kapase, V.U.; Kumar, S. Identification and characterization of a new microalga Dysmorphococcus globosus-HI from the Himalayan region as a potential source of natural astaxanthin. Biology 2022, 11, 884. [Google Scholar] [CrossRef] [PubMed]
- Bai, X.; Jiang, Y.; Jiang, Z.; Zhu, L.; Feng, J. Nutrient potentiate the responses of plankton community structure and metabolites to cadmium: A microcosm study. J. Hazard. Mater. 2022, 430, 128506. [Google Scholar] [CrossRef]
- Lahive, E.; O’Halloran, J.; Jansen, M.A.K. Frond development gradients are a determinant of the impact of zinc on photosynthesis in three species of Lemnaceae. Aquat. Bot. 2012, 101, 55–63. [Google Scholar] [CrossRef]
- Santos, F.M.; Mazur, L.P.; Mayer, D.A.; Vilar, V.J.P.; Pires, J.C.M. Inhibition effect of zinc, cadmium, and nickel ions in microalgal growth and nutrient uptake from water: An experimental approach. Chem. Eng. J. 2019, 366, 358–367. [Google Scholar] [CrossRef]
- Liu, D.; Wang, H.; Teng, Y.; Wu, Q.; Tang, C.; Gao, X.; Chen, C.; Zhu, L. Biochemical responses of freshwater microalgae Chlorella sorokiniana to combined exposure of Zn(Ⅱ) and estrone with simultaneous pollutants removal. J. Environ. Manag. 2023, 348, 119392. [Google Scholar] [CrossRef]
- Li, N.; Liu, Z.; Wang, P.; Suman, K.; Zhang, J.; Song, Y. Effects of sodium hypochlorite treatment on the chlorophyll fluorescence in photosystem II of microalgae. Sci. Total Environ. 2022, 833, 155192. [Google Scholar] [CrossRef]
- Kalaji, H.M.; Schansker, G.; Ladle, R.J.; Goltsev, V.; Bosa, K.; Allakhverdiev, S.I.; Brestic, M.; Bussotti, F.; Calatayud, A.; Dąbrowski, P.; et al. Frequently asked questions about in vivo chlorophyll fluorescence: Practical issues. Photosynth. Res. 2014, 122, 121–158. [Google Scholar] [CrossRef]
- Sun, D.; Wu, S.; Li, X.; Ge, B.; Zhou, C.; Yan, X.; Ruan, R.; Cheng, P. The structure, functions and potential medicinal effects of chlorophylls derived from microalgae. Mar. Drugs 2024, 22, 65. [Google Scholar] [CrossRef]
- Rajput, A.; Singh, D.P.; Khattar, J.S.; Swatch, G.K.; Singh, Y. Evaluation of growth and carotenoid production by a green microalga Scenedesmus quadricauda PUMCC 4.1.40. under optimized culture conditions. J. Basic Microbiol. 2022, 62, 1156–1166. [Google Scholar] [CrossRef] [PubMed]
- Ren, Y.; Sun, H.; Deng, J.; Huang, J.; Chen, F. Carotenoid production from microalgae: Biosynthesis, salinity responses and novel biotechnologies. Mar. Drugs 2021, 19, 713. [Google Scholar] [CrossRef] [PubMed]
- Chekanov, K.; Litvinov, D.; Fedorenko, T.; Chivkunova, O.; Lobakova, E. Combined production of astaxanthin and β-carotene in a new strain of the microalga Bracteacoccus aggregatus BM5/15 (IPPAS C-2045) cultivated in photobioreactor. Biology 2021, 10, 643. [Google Scholar] [CrossRef] [PubMed]
- Farag, M.R.; Alagawany, M.; Alsulami, L.S.; Di Cerbo, A.; Attia, Y. Ameliorative effects of Dunaliella salina microalgae on nanoparticle (ZnO NPs)-induced toxicity in fish. Environ. Sci. Pollut. Res. 2023, 30, 121915–121928. [Google Scholar] [CrossRef]
- Zinicovscaia, I. Effect of zinc-containing systems on Spirulina platensis bioaccumulation capacity and biochemical composition. Environ. Sci. Pollut. Res. 2021, 28, 52216–52224. [Google Scholar] [CrossRef]
- Yang, J. Lipid production combined with biosorption and bioaccumulation of cadmium, copper, manganese and zinc by oleaginous microalgae Chlorella minutissima UTEX2341. Bioresour. Technol. 2015, 175, 537–544. [Google Scholar] [CrossRef]
- Solovchenko, A.; Lukyanov, A.; Vasilieva, S.; Lobakova, E. Chlorophyll fluorescence as a valuable multitool for microalgal biotechnology. Biophys. Rev. 2022, 14, 973–983. [Google Scholar] [CrossRef] [PubMed]
- Price, G.A.V. The influence of hardness at varying pH on zinc toxicity and lability to a freshwater microalga, Chlorella sp. Environ. Sci. Pollut. Res. 2022, 24, 783–793. [Google Scholar] [CrossRef] [PubMed]
- Stanier, R.Y.; Kunisawa, R.; Mandel, M.; Cohen-Bazire, G. Purification and properties of unicellular blue-green algae (order Chroococcales). Bacteriol. Rev. 1971, 35, 171–205. [Google Scholar] [CrossRef]
- Reynolds, E.S. The use of lead citrate at high ph as an electron-opaque stain in electron microscopy. J. Cell Biol. 1963, 17, 208–212. [Google Scholar] [CrossRef]
- Hadziavdic, K.; Lekang, K.; Lanzen, A.; Jonassen, I.; Thompson, E.M.; Troedsson, C. Characterization of the 18s rRNA gene for designing universal eukaryote specific primers. PLoS ONE 2014, 9, e87624. [Google Scholar] [CrossRef]
- Sanger, F.; Nicklen, S.; Coulson, A.R. DNA sequencing with chain-terminating inhibitors. Proc. Natl. Acad. Sci. USA 1977, 74, 5463–5467. [Google Scholar] [CrossRef]
- Altschul, S.F.; Madden, T.L.; Schäffer, A.A.; Zhang, J.; Zhang, Z.; Miller, W.; Lipman, D.J. Gapped BLAST and PSI-BLAST: A new generation of protein database search programs. Nucleic Acids Res. 1997, 25, 3389–3402. [Google Scholar] [CrossRef]
- Saitou, N.; Nei, M. The Neighbor-joining Method: A new method for reconstructing phylogenetic trees. Mol. Biol. Evol. 1987, 4, 406–425. [Google Scholar] [CrossRef]
- Felsenstein, J. Confidence limits on phylogenies: An approach using the bootstrap. Evolution 1985, 39, 783–791. [Google Scholar] [CrossRef]
- Tamura, K.; Peterson, D.; Peterson, N.; Stecher, G.; Nei, M.; Kumar, S. Mega5: Molecular evolutionary genetics analysis using maximum likelihood, evolutionary distance, and maximum parsimony methods. Mol. Biol. Evol. 2011, 28, 2731–2739. [Google Scholar] [CrossRef]
- Lichtenthaler, H.K. [34]Chlorophylls and carotenoids: Pigments of photosynthetic biomembranes. In Methods in Enzymology; Plant Cell Membranes; Academic Press: Cambridge, MA, USA, 1987; Volume 148, pp. 350–382. [Google Scholar] [CrossRef]
- Babadi, F.E. Identification of carotenoids and chlorophylls from green algae Chlorococcum humicola and extraction by liquefied dimethyl ether. Food Bioprod. Process. 2020, 123, 296–303. [Google Scholar] [CrossRef]








Disclaimer/Publisher’s Note: The statements, opinions and data contained in all publications are solely those of the individual author(s) and contributor(s) and not of MDPI and/or the editor(s). MDPI and/or the editor(s) disclaim responsibility for any injury to people or property resulting from any ideas, methods, instructions or products referred to in the content. |
© 2024 by the authors. Licensee MDPI, Basel, Switzerland. This article is an open access article distributed under the terms and conditions of the Creative Commons Attribution (CC BY) license (https://creativecommons.org/licenses/by/4.0/).
Share and Cite
Zan, Z.; Huang, X.; Hussain, Z.; Zhong, M.; Hou, C.; Ren, M.; Xie, X. Effects of Culture Medium Enrichment with Zinc on Astaxanthin Accumulation in a New Strain of the Microalga Dysmorphococcus globosus. Plants 2024, 13, 3338. https://doi.org/10.3390/plants13233338
Zan Z, Huang X, Hussain Z, Zhong M, Hou C, Ren M, Xie X. Effects of Culture Medium Enrichment with Zinc on Astaxanthin Accumulation in a New Strain of the Microalga Dysmorphococcus globosus. Plants. 2024; 13(23):3338. https://doi.org/10.3390/plants13233338
Chicago/Turabian StyleZan, Zhaohui, Xinxin Huang, Zahid Hussain, Moyu Zhong, Chenyang Hou, Maozhi Ren, and Xiulan Xie. 2024. "Effects of Culture Medium Enrichment with Zinc on Astaxanthin Accumulation in a New Strain of the Microalga Dysmorphococcus globosus" Plants 13, no. 23: 3338. https://doi.org/10.3390/plants13233338
APA StyleZan, Z., Huang, X., Hussain, Z., Zhong, M., Hou, C., Ren, M., & Xie, X. (2024). Effects of Culture Medium Enrichment with Zinc on Astaxanthin Accumulation in a New Strain of the Microalga Dysmorphococcus globosus. Plants, 13(23), 3338. https://doi.org/10.3390/plants13233338

