Impact of Cassava Cultivars on Stylet Penetration Behavior and Settling of Bemisia tabaci Gennadius (Hemiptera: Aleyrodidae)
Abstract
1. Introduction
2. Results
2.1. EPG Waveform Characteristics and Feeding Behavior of Bemisia Tabaci Whiteflies on Different Cassava Cultivars
2.1.1. EPG Waveform Characteristics
2.1.2. Feeding Behavior of Bemisia tabaci Whiteflies on Different Cassava Cultivars
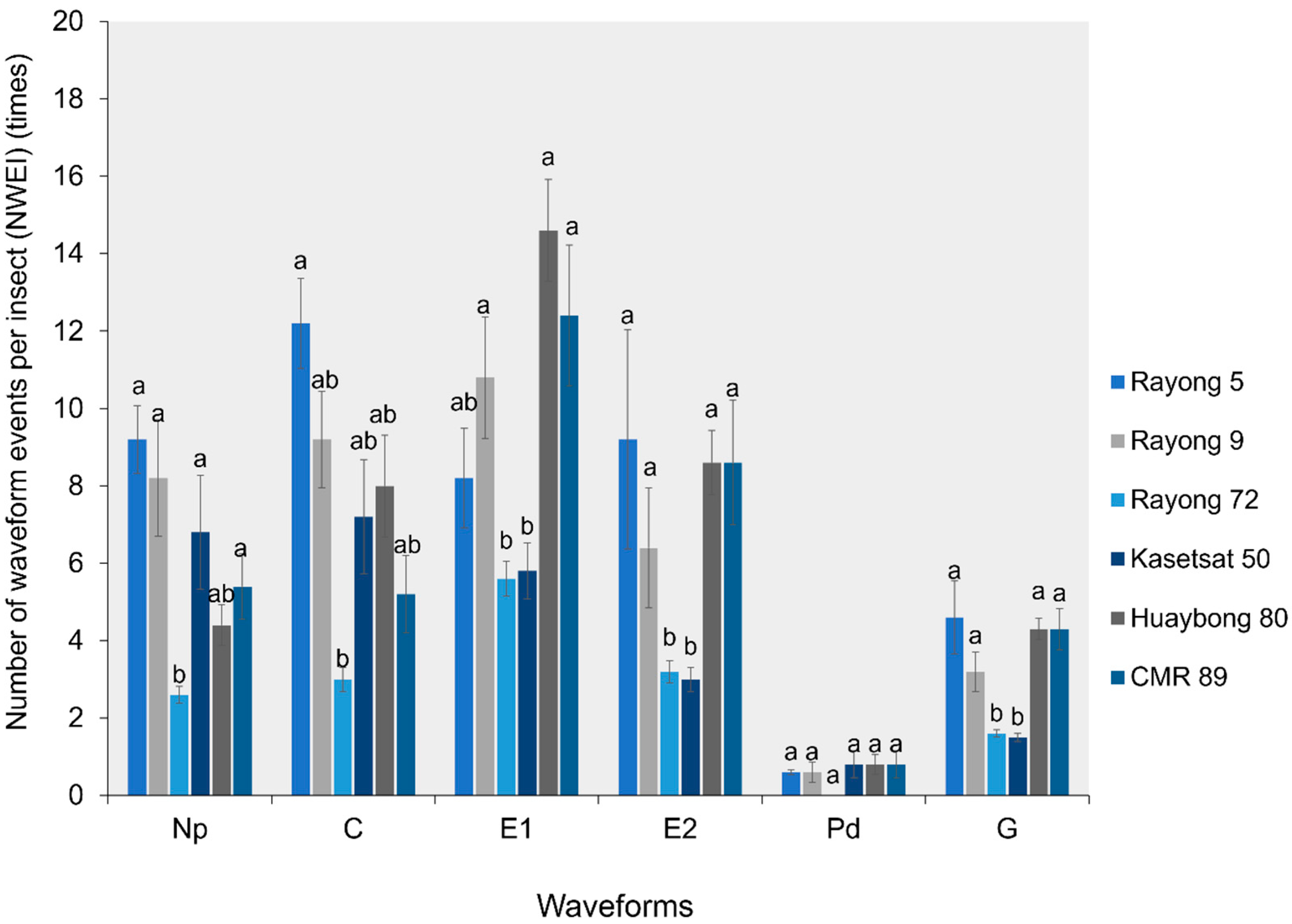
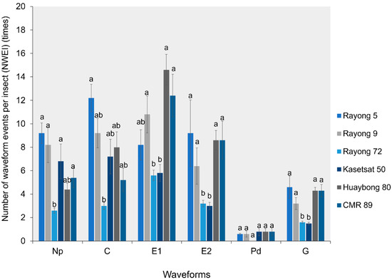
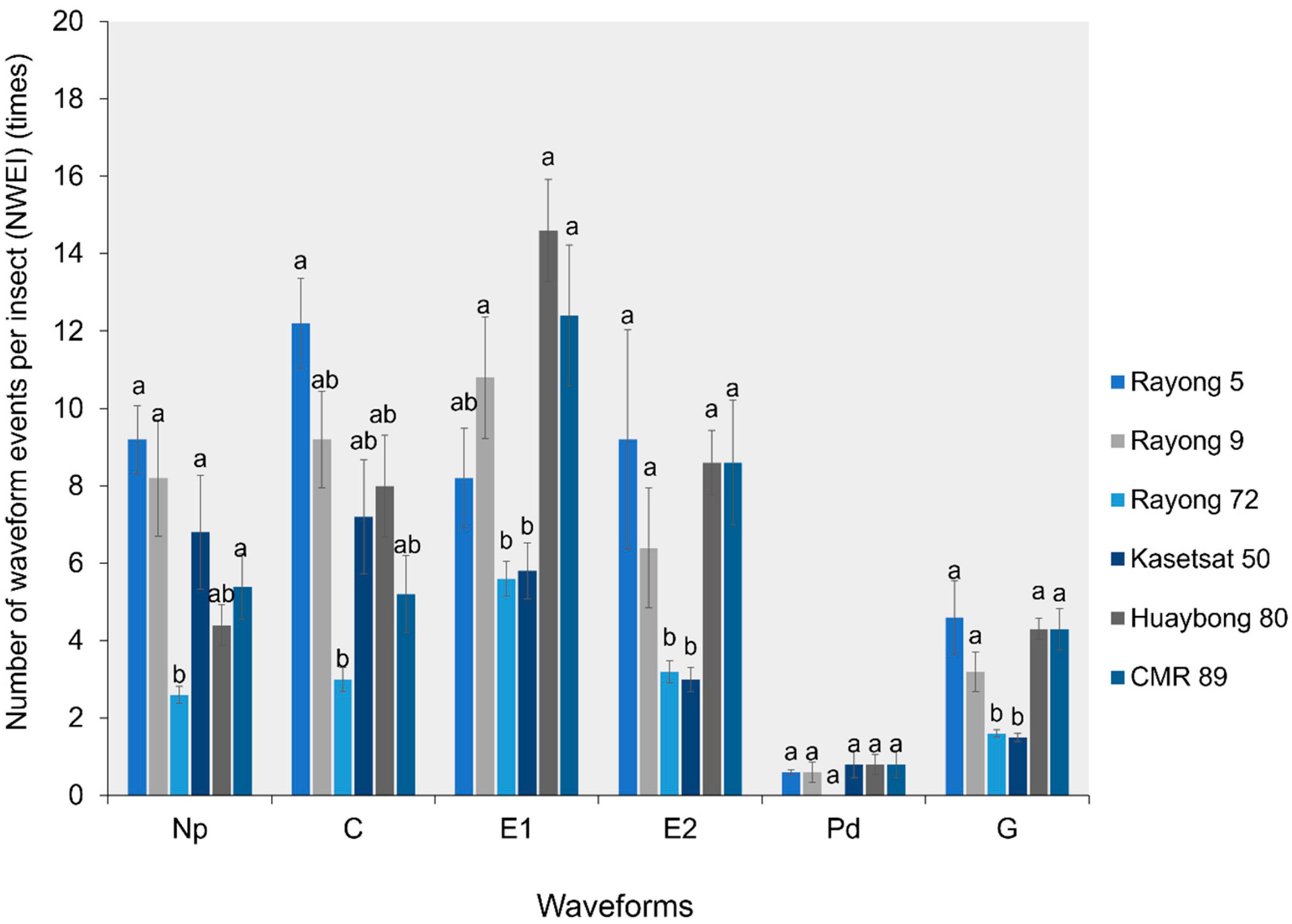
2.1.3. Number of Waveform Events per Insect (NWEI)
2.1.4. Waveform Duration per Event per Insect (WDEI)
2.1.5. Waveform Duration per Insect (WDI)
2.2. Adult Bemisia tabaci Whitefly Settling Under Free Choice
2.3. Trichome Density and Size
2.4. The Correlation Analysis Between the EPG Parameters, Settling Preference of Whitefly and Trichome Density and Size
3. Discussion
3.1. EPG Waveform Characteristics and Feeding Behavior of Bemisia tabaci Whiteflies on Different Cassava Cultivars
3.2. Adult Bemisia tabaci Whitefly Settling Under Free Choice Tested
3.3. Trichome Density and Size
3.4. The Correlation Analysis
4. Materials and Methods
4.1. Source of Planting Materials
4.2. Whitefly Materials
4.3. Electropenetrography Recording
4.4. Whitefly Bemisia tabaci Settling Under Free Choice in Field Condition
4.5. Trichome Size and Density
4.6. Statistical Analysis
5. Conclusions
Supplementary Materials
Author Contributions
Funding
Data Availability Statement
Acknowledgments
Conflicts of Interest
References
- Ceballos, H.; Sánchez, T.; Chávez, A.L.; Iglesias, C.; Debouck, D.; Mafla, G.; Tohme, J. Variation in crude protein content in cassava (Manihot esculenta Crantz) roots. J. Food Compos. Anal. 2006, 19, 589–593. [Google Scholar] [CrossRef]
- Legg, J.; Owor, B.; Sseruwagi, P.; Ndunguru, J. Cassava mosaic virus disease in East and Central Africa: Epidemiology and management of a regional pandemic. Adv. Virus Res. 2006, 67, 355–418. [Google Scholar] [CrossRef] [PubMed]
- Legg, J.P.; Kumar, P.L.; Makeshkumar, T.; Tripathi, L.; Ferguson, M.; Kanju, E.; Cuellar, W. Cassava virus diseases: Biology, epidemiology, and management. Adv. Virus Res. 2015, 91, 85–142. [Google Scholar] [CrossRef] [PubMed]
- Fargette, D.; Fauquet, C.; Thouvenel, J.C. Yield losses induced by African cassava mosaic virus in relation to the mode and date of infection. Trop. Pest. Manag. 1988, 34, 89–91. [Google Scholar] [CrossRef]
- Rybicki, E.P. A Top Ten list for economically important plant viruses. Arch. Virol. 2015, 160, 17–20. [Google Scholar] [CrossRef]
- Legg, J.P.; Fauquet, C.M. Cassava mosaic geminiviruses in Africa. Plant Mol. Biol. 2004, 56, 585–599. [Google Scholar] [CrossRef]
- Legg, J.P.; Jeremiah, S.C.; Obiero, H.M.; Maruthi, M.N.; Ndyetabula, I.; Okao-Okuja, G.; Bouwmeester, H.; Bigirimana, S.; Tata-Hangy, W.; Gashaka, G.; et al. Comparing the regional epidemiology of the cassava mosaic and cassava brown streak; virus pandemics in Africa. Virus Res. 2011, 159, 161–170. [Google Scholar] [CrossRef]
- Warburg, O. Die kulturpflanzen usambaras. Mitt. Dtsch. Schutzgeb. 1894, 7, 131. [Google Scholar]
- Saunders, K.; Salim, N.; Mali, V.R.; Malathi, V.G.; Briddon, R.; Markham, P.G.; Stanley, J. Characterization of Sri Lankan cassava mosaic virus and Indian cassava mosaic virus: Evidence for acquisition of a DNA B component by a monopartite begomovirus. Virology 2002, 293, 63–74. [Google Scholar] [CrossRef]
- Thresh, J.; Cooter, R. Strategies for controlling cassava mosaic virus disease in Africa. Plant Pathol. 2005, 54, 587–614. [Google Scholar] [CrossRef]
- Maruthi, M.N.; Hillocks, R.J.; Mtunda, K.; Raya, M.D.; Muhanna, M.; Kiozia, H.; Rekha, A.R.; Colvin, J.; Thresh, J.M. Transmission of Cassava brown streak virus by Bemisia tabaci (Gennadius). J. Phytopathol. 2005, 153, 307–312. [Google Scholar] [CrossRef]
- Kalyebi, A.; Macfadyen, S.; Parry, H.; Tay, W.T.; De Barro, P.; Colvin, J. African cassava whitefly, Bemisia tabaci, cassava colonization preferences and control implications. PLoS ONE 2018, 13, e0204862. [Google Scholar] [CrossRef] [PubMed]
- Mrisho, L.M.; Maeda, D.G.; Ortiz, Z.M.; Ghanavi, H.R.; Legg, J.P.; Stensmyr, M.C. Influence of olfaction in host-selection behavior of the cassava whitefly Bemisia tabaci. Front. Ecol. Evol. 2021, 9, 775–778. [Google Scholar] [CrossRef]
- Saokham, K.; Hemniam, N.; Roekwan, S.; Hunsawattanakul, S.; Thawinampan, J.; Siriwan, W. Survey and molecular detection of Sri Lankan cassava mosaic virus in Thailand. PLoS ONE 2021, 6, e0252846. [Google Scholar] [CrossRef]
- Fiallo-Olivé, E.; Pan, L.L.; Liu, S.S.; Navas-Castillo, J. Transmission of begomoviruses and other whitefly-borne viruses: Dependence on the vector species. Phytopathology 2020, 110, 10–17. [Google Scholar] [CrossRef]
- Horowitz, A.R. Population dynamics of Bemisia tabaci (Gennadius): With special emphasis on cotton fields. Agric. Ecosyst. Environ. 1986, 17, 37–47. [Google Scholar] [CrossRef]
- Legg, J.P.; Thresh, J.M. Cassava virus diseases in Africa. In Proceedings of the Conference on Plant Virology in Sub Saharan Africa, Ibadan, Nigeria, 4–8 June 2001; IITA: Ibadan, Nigeria, 2003; pp. 517–552. [Google Scholar]
- Ntui, V.O.; Kong, K.; Khan, R.S.; Igawa, T.; Janavi, G.J.; Rabindran, R. Resistance to Sri Lankan Cassava Mosaic Virus (SLCMV) in Genetically Engineered Cassava cv. KU50 through RNA Silencing. PLoS ONE 2015, 10, e0120551. [Google Scholar] [CrossRef]
- Bellotti, A.C.; Smith, L.; Lapointe, S.L. Recent advances in cassava pest management. Annu. Rev. Entomol. 1999, 44, 343–370. [Google Scholar] [CrossRef]
- Fereres, A.; Moreno, A. Integrated Control Measures against Viruses and their Vectors. In Recent Advances in Plant Virology; Caranta, C., Aranda, M.A., Tepfer, M., Lopez-Moya, J.J., Eds.; Caister Academic Press: Poole, UK, 2011; pp. 237–261. [Google Scholar]
- Klinner, C.; König, C.M.; Werckenthin, A.; Daly, K.; Bisch-Knaden, S. Functional olfactory sensory neurons housed in olfactory sensilla on the ovipositor of the hawkmoth Manduca sexta. Front. Ecol. Evol. 2016, 4, 130. [Google Scholar] [CrossRef]
- Rani, P.U.; Madhavendra, S.S. External morphology of antennal and rostral sensillae in four hemipteran insects and their possible role in host plant selection. Int. J. Trop. Insect Sci. 2005, 25, 198–207. [Google Scholar] [CrossRef]
- Yang, K.; Gong, X.L.; Li, G.C.; Huang, L.Q.; Ning, C.; Wang, C.Z. A gustatory receptor tuned to the steroid plant hormone brassinolide in Plutella xylostella (Lepidoptera: Plutellidae). eLife 2020, 9, e64114. [Google Scholar] [CrossRef] [PubMed]
- Avery, P.B.; Kumar, V.; Simmonds, M.S.; Faull, J. Influence of leaf trichome type and density on the host plant selection by the greenhouse whitefly, Trialeurodes vaporariorum (Hemiptera: Aleyrodidae). Appl. Entomol. Zool. 2015, 50, 79–87. [Google Scholar] [CrossRef]
- Heinz, K.M.; Parella, M.P. Poinsettia (Euphorbia pulcherrima Willd. ex Koltz.) cultivar-mediated differences in performance of five natural enemies of Bemisia argentifolii Bellows and Perring, n. sp (Homoptera:Aleyrodidae). Biol. Control 1994, 4, 305–318. [Google Scholar] [CrossRef]
- Mcauslane, H.J. Influence of leaf pubescence on ovipositional preference of Bemisia argentifolii (Homoptera: Aleyrodidae) on soybean. Environ. Entomol. 1996, 25, 834–841. [Google Scholar] [CrossRef]
- Fereres, A.; Moreno, A. Behavioural aspects influencing plant virus transmission by homopteran insects. Virus Res. 2009, 141, 158–168. [Google Scholar] [CrossRef] [PubMed]
- Calabrese, E.J.; Edwards, L.J. Light and gravity in leaf side selection by the green peach aphid, Myzus persicae. Ann. Entomol. Soc. Am. 1976, 69, 1145–1146. [Google Scholar] [CrossRef]
- Simmons, M.A. Settling of crawlers of Bemisia tabaci (Homoptera: Aleyrodidae) on five vegetable hosts. Ann. Entomol. Soc. Am. 2002, 95, 464–468. [Google Scholar] [CrossRef]
- McLean, D.L.; Kinsey, M.G. A technique for electronically recording aphid feeding and salivation. Nature 1964, 202, 1358–1359. [Google Scholar] [CrossRef]
- Tjallingii, W.F. Electronic recording of penetration behavior by aphids. Entomol. Exp. Appl. 1978, 24, 721–730. [Google Scholar] [CrossRef]
- Tjallingii, W.F. Continuous recording of stylet penetration activities by aphids. In Aphid-Plant Genotype Interactions; Campbell, R.K., Eikenbary, R.D., Eds.; Elsevier: Amsterdam, The Netherlands, 1990; pp. 89–99. [Google Scholar]
- Janssen, J.A.M.; Tjallingii, W.F.; van Lenteren, J.C. Electrical recording and ultrastructure of stylet penetration by the greenhouse whitefly. Entomol. Exp. Appl. 1989, 52, 69–81. [Google Scholar] [CrossRef]
- Lei, H.; Tjallingii, F.; van Lenteren, J.C. Probing and feeding characteristics of the greenhouse whitefly in association with host-plant acceptance and whitefly strains. Entomol. Exp. Appl. 1998, 88, 73–80. [Google Scholar] [CrossRef]
- Lei, H.; van Lenteren, J.C.; Tjallingii, F. Analysis of resistance in tomato and sweet pepper against the greenhouse whitefly using electrically monitored and visually observed probing and feeding behaviour. Entomol. Exp. Appl. 1999, 92, 299–309. [Google Scholar] [CrossRef]
- Johnson, D.D.; Waker, G.P. Intracellular punctures by the adult whitefly Bemisia argentifoliion DC and AC electronic feeding monitors. Entomol. Exp. Appl. 1999, 92, 257–270. [Google Scholar] [CrossRef]
- Jiang, Y.X.; Lei, H.; Collar, J.L.; Martin, B.; Muñiz, M.; Fereres, A. Probing and feeding behaviour of two distinct biotypes of Bemisia tabaci (Homoptera:Aleyr-odidae) on tomato plants. J. Econ. Entomol. 1999, 92, 357–366. [Google Scholar] [CrossRef]
- Jiang, Y.; De Blas, C.; Barrios, L.; Fereres, A. Correlation between whitefly (Homoptera: Aleyrodidae) feeding behavior and transmission of tomato yellow leaf curl virus. Ann. Entomol. Soc. Am. 2000, 93, 573–579. [Google Scholar] [CrossRef]
- Rodríguez-López, M.J.; Garzo, E.; Bonani, J.P.; Fernández-Muñoz, R.; Moriones, E.; Fereres, A. Acylsucrose-Producing Tomato Plants Forces Bemisia tabaci to Shift Its Preferred Settling and Feeding Site. PLoS ONE 2012, 7, e33064. [Google Scholar] [CrossRef]
- Milenovic, M.; Wosula, E.N.; Rapisarda, C.; Legg, J.P. Impact of host plant species and whitefly species on feeding behavior of Bemisia tabaci. Front. Plant Sci. 2019, 10, 1. [Google Scholar] [CrossRef]
- Tjallingii, W.F. Aphid-plant interactions: What goes on in the depth of the tissues? Proc. Exp. Appl. Entomol. 1995, 6, 163–169. [Google Scholar]
- Liu, B.; Yan, F.; Chu, D.; Pan, H.; Jiao, X.; Xie, W.; Wu, Q.; Wang, S.; Xu, B.; Zhou, X.; et al. Difference in feeding behaviors of two invasive whiteflies on host plants with different suitability: Implication for competitive displacement. Int. J. Biol. Sci. 2012, 8, 697–706. [Google Scholar] [CrossRef]
- Yin, H.D.; Wang, X.Y.; Xue, K.; Huang, C.H.; Wang, R.J.; Yan, F.M.; Xu, C.R. Impacts of transgenic Bt cotton on the stylet penetration behaviors of Bemisia tabaci biotype B: Evidence from laboratory experiments. Insect Sci. 2010, 17, 344–352. [Google Scholar] [CrossRef]
- Civolani, S.; Stefano, C.; Milvia, C.; Rison, J.L.; Andrea, B.; Juan, M.A.; Billy, I.A.; Giuseppe, P.; Massimo, G.; Elisa, A.F. An EPG study of the probing behavior of adult Bemisia tabaci biotype Q (Hemiptera: Aleyrodidae) following exposure to Cyantraniliprole. J. Econ. Entomol. 2013, 107, 910–919. [Google Scholar] [CrossRef] [PubMed]
- Prado, M.N.K.; Garzo, E.; Moreno, A.; Navas-Castillo, J.; Fiallo-Olivé, E.; Spotti Lopes, J.R.; Fereres, A. Stylet penetration activities of the whitefly Bemisia tabaci associated with inoculation of the crinivirus tomato chlorosis virus. J. Gen. Virol. 2017, 98, 1515–1520. [Google Scholar] [CrossRef] [PubMed]
- Jacobson, A.L.; Kennedy, G.G. Electrical penetration graph studies to investigate the effects of cyantraniliprole on feeding behavior of Myzus persicae (Hemiptera: Aphididae) on Capsicum annuum. Pest. Manag. Sci. 2014, 70, 836–840. [Google Scholar] [CrossRef] [PubMed]
- Luo, X.; Yen, A.L.; Powell, K.S.; Wu, F.; Wang, Y.; Zeng, L.; Yang, Y.; Cen, Y. Feeding behavior of Diaphorina citri (Hemiptera: Liviidae) and its acquisition of ‘Candidatus Liberibacter asiaticus’, on huanglongbing-infected Citrus reticulata leaves of several maturity stages. Fla. Entomol. 2015, 98, 186–192. [Google Scholar] [CrossRef]
- Wu, T.; Luo, X.; Xu, C.; Wu, F.; Qureshi, J.A.; Cen, Y. Feeding behavior of Diaphorina citri and its transmission of ‘Candidatus Liberibacter asiaticus’ to citrus. Entomol. Exp. Appl. 2016, 161, 104–111. [Google Scholar] [CrossRef]
- Roddee, J.; Kobori, Y.; Hanboonsong, Y. Characteristics of sugarcane white leaf phytoplasma transmission by the leafhopper Matsumuratettix hiroglyphicus (Matsumura). Entomol. Exp. Appl. 2019, 167, 108–117. [Google Scholar] [CrossRef]
- Van Lenteren, J.V.; Noldus, L. Whitefly-plant relationships: Behavioural and ecological aspects. Whiteflies Their Bionomics Pest Status Manag. 1990, 47, 49. [Google Scholar]
- Chaiareekitwat, S.; Latif, S.; Mahayothee, B.; Khuwijitjaru, P.; Nagle, M.; Amawan, S.; Müller, J. Protein composition, chlorophyll, carotenoids, and cyanide content of cassava leaves (Manihot esculenta Crantz) as influenced by cultivar, plant age, and leaf position. Food Chem. 2022, 372, 131173. [Google Scholar] [CrossRef]
- Huang, T.; Jander, G.; de Vos, M. Non-protein amino acids in plant defense against insect herbivores: Representative cases and opportunities for further functional analysis. Phytochemistry 2011, 72, 1531–1537. [Google Scholar] [CrossRef]
- Van-Ohlen, M.; Herfurth, A.M.; Kerbstadt, H.; Wittstock, U. Cyanide detoxification in an insect herbivore: Molecular identification of β-cyanoalanine synthases from Pieris rapae. Insect Biochem. Mol. Biol. 2016, 70, 99–110. [Google Scholar] [CrossRef]
- Heinz, K.M.; Zalom, F.G. Variation in trichome based resistance to Bemisia argentifolii (Homoptera: Aleyrodidae) oviposition on tomato. J. Econ. Entomol. 1995, 88, 1494–1502. [Google Scholar] [CrossRef]
- Taggar, G.; Gill, R. Preference of whitefly, Bemisia tabaci, towards black gram genotypes: Role of morphological leaf characteristics. Phytoparasitica 2012, 40, 461–474. [Google Scholar] [CrossRef]
- Xing, Z.; Liu, Y.; Cai, W.; Huang, X.; Wu, S.; Lei, Z. Efficiency of trichome-based plant defense in Phaseolus vulgaris depends on insect behavior, plant ontogeny, and structure. Front. Plant Sci. 2017, 8, 2006. [Google Scholar] [CrossRef] [PubMed]
- Roddee, J.; Wangkeeree, J.; Hanboonsong, Y. Identification and evaluation of sugarcane cultivars for antixenosis resistance to the leafhopper Yamatotettix flavovittatus Matsumura (Hemiptera: Cicadellidae). Plants 2024, 13, 2299. [Google Scholar] [CrossRef]
- Jindal, V.; Dhaliwal, G. Mechanisms of resistance in cotton to whitefly (Bemisia tabaci): Antixenosis. Phytoparasitica 2011, 39, 129–136. [Google Scholar] [CrossRef]
- Hasanuzzaman, A.T.M.; Islam, M.N.; Zhang, Y.; Zhang, C.Y.; Liu, T.X. Leaf morphological characters can be a factor for intra-varietal preference of whitefly Bemisia tabaci (Hemiptera: Aleyrodidae) among eggplant varieties. PLoS ONE 2016, 11, e0153880. [Google Scholar] [CrossRef]
- Andrade, M.C.; Da Silva, A.A.; Neiva, I.P.; Oliveira, I.R.C.; De Castro, E.M.; Francis, D.M.; Maluf, W.R. Inheritance of type IV glandular trichome density and its association with whitefly resistance from Solanum galapagense accession LA1401. Euphytica 2017, 213, 52. [Google Scholar] [CrossRef]
- Lutfi, M.; Hidayat, P.; Maryana, N. Correlation between epidermis thickness, leaf trichome length and density with the whitefly Bemisia tabaci population on five local soybean cultivars. J. Perlindungan Tanam. Indones. 2019, 23, 23–31. [Google Scholar] [CrossRef]
- Amini, S.N.; Golizadeh, A.; Tafaghodinia, B.; Razmjou, J.; Abbasipour, H. Interaction between host plant morphological characteristics with life history of the greenhouse whitefly Trialeurodes vaporariorum. Arthropod-Plant Interact. 2021, 15, 875–885. [Google Scholar] [CrossRef]
- Kariyat, R.R.; Raya, C.E.; Chavana, J.; Cantu, J.; Guzman, G.; Sasidharan, L. Feeding on glandular and non-glandular leaf trichomes negatively affect growth and development in tobacco hornworm (Manduca sexta) caterpillars. Arthropod-Plant Interact. 2019, 13, 321–333. [Google Scholar] [CrossRef]
- Hao, Z.P.; Zhan, H.X.; Gao, L.L.; Huang, F.; Zhu, L.N.; Hou, S.M. Possible effects of leaf tissue characteristics of oilseed rape Brassica napus on probing and feeding behaviors of cabbage aphids Brevicoryne brassicae. Arthropod-Plant Interact. 2020, 14, 733–744. [Google Scholar] [CrossRef]
- Tjallingii, W.F.; Garzo, E.; Fereres, A. New structure in cell puncture activities by aphid stylets: A dual-mode EPG study. Entomol. Exp. Appl. 2010, 135, 193–207. [Google Scholar] [CrossRef]
- Soundararajan, R.P.; Baskaran, P. Mechanisms of resistance in brinjal (Solanum melongena L.) to whitefly Bemisia tabaci (Gennadius). Madras Agric. J. 2001, 88, 657–659. [Google Scholar] [CrossRef]
- Singh, D.; Jaglan, R.S.; Singh, R. Leaf morphological characteristics of brinjal in relation to whitefly incidence. Haryana J. Hort. Sci. 2002, 31, 289–291. [Google Scholar]
- Ayyasamy, R.; Baskaran, P. Influence of certain leaf characters of brinjal accessions with incidence of Bemisia tabaci. J. Food Agric. Environ. 2005, 3, 333–334. [Google Scholar]
- Shibuya, T.; Hirai, N.; Sakamoto, Y.; Komuro, J. Effects of morphological characteristics of Cucumis sativus seedlings grown at different vapor pressure deficits on initial colonization of Bemisia tabaci (Hemiptera: Aleyrodidae). J. Econ. Entomol. 2009, 102, 2265–2267. [Google Scholar] [CrossRef]
- Oriani, G.M.A.; Vendramim, J.D.; Vasconcelos, C.J. Biology of Bemisia tabaci (Genn.) B biotype (Hemiptera: Aleyrodidae) on tomato genotypes. Sci. Agric. 2011, 68, 37–41. [Google Scholar] [CrossRef]
- Silva, G.F.D.; Paulo, J.; Baldin, L.; Luiz, E.; Souza, S.D.; Lourencao, E.Y.; Lourenção, A.L. Assessing Bemisia tabaci (Genn.) biotype b resistance in soybean genotypes: Antixenosis and antibiosis. Chilean J. Agric. Res. 2012, 72, 516–522. [Google Scholar] [CrossRef]
- Rustamani, M.A.; Khatri, I.; Leghari, M.H.; Sultana, R.; Mandokhail, A.S. Trichomes of cotton leaf as an aspect of resistance to sucking insect pests. Sindh. Univ. Res. J. Sci. Ser. 2014, 46, 351–356. [Google Scholar]
- Kollar, A.; Seemüller, E.; Bonnet, F.; Saillard, C.; Bove, J. Isolation of the DNA of various plant pathogenic mycoplasmalike organisms from infected plants. Phytopathology 1990, 80, 233–237. [Google Scholar] [CrossRef]
- Doyle, J.J.; Doyle, J.L. A rapid DNA isolation procedure for small quantities of fresh leaf tissue. Phytochem. Bull. 1987, 19, 11–15. [Google Scholar]
- Nakashima, K.; Kato, S.; Iwanami, S.; Murata, N. DNA probes reveal relatedness of rice yellow dwarf mycoplas malike organisms (MLOs) and distinguish them from other MLOs. Appl. Environ. Microbiol. 1993, 59, 1206–1212. [Google Scholar] [CrossRef] [PubMed]
- Sarria, E.; Cid, M.; Garzo, E.; Fereres, A. Excel workbook for automatic parameter calculation of EPG data. Comput. Electron. Agr. 2009, 67, 35–42. [Google Scholar] [CrossRef]
- Ebert, T.A.; Backus, E.A.; Cid, M.; Fereres, A.; Rogers, M.E. A new SAS program for behavioral analysis of electrical penetration graph data. Comput. Electron. Agric. 2015, 116, 80–87. [Google Scholar] [CrossRef]
- Roddee, J.; Backus, E.A.; Wangkeeree, J.; Hanboonsong, Y. Alteration in the Stylet Probing Behavior and Host Preference of the Vector Matsumuratettix hiroglyphicus (Hemiptera: Cicadellidae) After Infection with Sugarcane White Leaf Phytoplasma. J. Econ. Entomol. 2021, 14, 1081–1090. [Google Scholar] [CrossRef]
- Roddee, J.; Wangkeeree, J.; Backus, E.A.; Hanboonsong, Y. Probing behavior of the leafhopper analyzed through DC electropenetrography and microscopy. J. Insect Physiol. 2023, 151, 104584. [Google Scholar] [CrossRef]
- Backus, E.A.; Cline, A.R.; Ellerseick, M.R.; Serrano, M.S. Lygus hesperus (Hemiptera: Miridae) feeding on cotton: New methods and parameters for analysis of nonsequential electrical penetration graph data. Ann. Entomol. Soc. Am. 2007, 100, 296–310. [Google Scholar] [CrossRef]
- Moberly, J.G.; Bernards, M.T.; Waynant, K.V. Key features and updates for Origin 2018. J. Cheminform. 2018, 10, 5. [Google Scholar] [CrossRef]
- Ghaffer, A.B.M.B.; Pritchard, J.; Ford-Lloyd, B. Brow planthopper (N. lugens Stal) feeding behavior on rice germplasm as an indicator of resistance. PLoS ONE 2011, 6, e22137. [Google Scholar] [CrossRef]
- Liu, T.; Liu, H.; Wang, Y.; Yang, Y. Climate change impacts on the potential distribution pattern of Osphya (Coleoptera: Melandryidae), an old but small beetle group distributed in the Northern Hemisphere. Insects 2023, 14, 476. [Google Scholar] [CrossRef]







| Cassava Cultivars | Trichome Density per 100 µm2 | Trichome Density per 50 µm2 | Size of Trichome (µm) | |||||||||
|---|---|---|---|---|---|---|---|---|---|---|---|---|
| Rayong 5 | 187.33 | ± | 18.16 | b 1/ | 50.83 | ± | 3.46 | b | 9.76 | ± | 0.27 | c |
| Rayong 9 | 170.33 | ± | 12.19 | b | 48.67 | ± | 0.88 | b | 10.02 | ± | 0.20 | b |
| Rayong 72 | 180.67 | ± | 15.61 | b | 47.00 | ± | 3.06 | b | 9.80 | ± | 0.26 | c |
| Kasetsat 50 | 161.00 | ± | 25.01 | b | 46.50 | ± | 3.50 | b | 11.34 | ± | 0.29 | a |
| Huaybong 80 | 128.50 | ± | 14.19 | c | 33.25 | ± | 4.66 | c | 10.39 | ± | 0.25 | b |
| CMR 89 | 256.00 | ± | 12.08 | a | 75.00 | ± | 5.29 | a | 9.01 | ± | 0.17 | c |
| Parameters | Trichome per 100 µm | Trichome per 50 µm | Size of Trichome | Settling Preference of Adult Whiteflies on Cassava Cultivars After Different Infection Times | ||||||||
|---|---|---|---|---|---|---|---|---|---|---|---|---|
| Week1 | Week2 | Week3 | Week4 | Week5 | Week6 | Week7 | Week8 | Week9 | ||||
| Number of Np waveform events per insect | 0.04 | 0.11 | 0.10 | 0.23 | 0.21 | 0.55 | 0.33 | 0.24 | 0.67 | 0.32 | −0.05 | −0.35 |
| Number of C waveform events per insect | −0.27 | −0.23 | 0.15 | −0.16 | 0.02 | 0.37 | 0.24 | 0.06 | 0.60 | 0.07 | −0.20 | −0.57 |
| Number of E1 waveform events per insect | 0.00 | 0.04 | −0.33 | −0.38 | −0.37 | 0.31 | 0.22 | 0.13 | −0.05 | 0.23 | −0.04 | 0.12 |
| Number of E2 waveform events per insect | 0.23 | 0.22 | −0.55 | −0.04 | 0.10 | 0.64 | 0.68 | 0.52 | 0.45 | 0.46 | 0.35 | 0.10 |
| Number of Pd waveform events per insect | 0.01 | 0.13 | 0.22 | −0.05 | −0.54 | 0.22 | 0.03 | −0.07 | −0.16 | 0.02 | −0.16 | −0.33 |
| Number of G waveform events per insect | 0.23 | 0.22 | −0.55 | −0.04 | 0.10 | 0.64 | 0.68 | 0.52 | 0.45 | 0.46 | 0.35 | 0.10 |
| Waveform Np duration per event per insect | −0.50 | −0.39 | 0.64 | −0.55 | −0.95 ** | −0.50 | −0.72 | −0.73 | −0.74 | −0.53 | −0.72 | −0.44 |
| Waveform C duration per event per insect | −0.73 | −0.72 | 0.65 | −0.44 | −0.17 | −0.31 | −0.37 | −0.50 | 0.23 | −0.52 | −0.61 | −0.87 * |
| Waveform E1 duration per event per insect | 0.81 * | 0.71 | −0.86 * | 0.68 | 0.80 | 0.52 | 0.78 | 0.84 * | 0.37 | 0.65 | 0.95 ** | 0.81 |
| Waveform E2 duration per event per insect | 0.88 * | 0.81 * | −0.87 * | 0.64 | 0.55 | 0.56 | 0.76 | 0.83 * | 0.17 | 0.68 | 0.93 ** | 0.86 * |
| Waveform Pd duration per event per insect | 0.42 | 0.47 | −0.49 | 0.05 | −0.19 | 0.41 | 0.29 | 0.32 | −0.16 | 0.48 | 0.22 | 0.55 |
| Waveform G duration per event per insect | 0.88 * | 0.81 * | −0.87 * | 0.64 | 0.55 | 0.56 | 0.76 | 0.83 | 0.17 | 0.68 | 0.93 | 0.86 |
| Waveform Np duration per insect | −0.79 | −0.83 | 0.45 | −0.70 | −0.23 | −0.70 | −0.68 | −0.68 | −0.21 | −0.63 | −0.67 | −0.39 |
| Waveform C duration per insect | −0.34 | −0.34 | 0.16 | −0.18 | 0.14 | 0.25 | 0.22 | 0.04 | 0.64 | −0.03 | −0.16 | −0.60 |
| Waveform E1 duration per insect | 0.93 ** | 0.91 ** | −0.71 | 0.75 | 0.42 | 0.51 | 0.61 | 0.72 | 0.01 | 0.67 | 0.83 | 0.87 |
| Waveform E2 duration per insect | 0.88 * | 0.82 * | −0.78 | 0.84 | 0.80 | 0.74 | 0.91 ** | 0.94 ** | 0.55 | 0.75 | 0.97 ** | 0.64 |
| Waveform Pd duration per insect | 0.65 | 0.67 | −0.64 | 0.43 | 0.25 | 0.83 | 0.81 | 0.74 | 0.41 | 0.72 | 0.61 | 0.38 |
| Waveform G duration per insect | 0.88 * | 0.82 * | −0.78 | 0.84 * | 0.80 | 0.74 | 0.91 ** | 0.94 ** | 0.55 | 0.75 | 0.97 ** | 0.64 |
| Trichome density per 100 µm | 0.98 ** | −0.75 | 0.90 * | 0.65 | 0.73 | 0.78 | 0.88 * | 0.32 | 0.83 | 0.90 * | 0.83 | |
| Trichome density per 50 µm | −0.67 | 0.90 * | 0.57 | 0.73 | 0.73 | 0.83 | 0.29 | 0.83 | 0.83 | 0.78 | ||
| Size of trichome | −0.47 | −0.70 | −0.75 | −0.87 * | −0.90 * | −0.52 | −0.84 | −0.82 | −0.85 * | |||
Disclaimer/Publisher’s Note: The statements, opinions and data contained in all publications are solely those of the individual author(s) and contributor(s) and not of MDPI and/or the editor(s). MDPI and/or the editor(s) disclaim responsibility for any injury to people or property resulting from any ideas, methods, instructions or products referred to in the content. |
© 2024 by the authors. Licensee MDPI, Basel, Switzerland. This article is an open access article distributed under the terms and conditions of the Creative Commons Attribution (CC BY) license (https://creativecommons.org/licenses/by/4.0/).
Share and Cite
Pimkornburee, S.; Pombud, S.; Buensanteai, K.; Namanusart, W.; Aiamla-or, S.; Roddee, J. Impact of Cassava Cultivars on Stylet Penetration Behavior and Settling of Bemisia tabaci Gennadius (Hemiptera: Aleyrodidae). Plants 2024, 13, 3218. https://doi.org/10.3390/plants13223218
Pimkornburee S, Pombud S, Buensanteai K, Namanusart W, Aiamla-or S, Roddee J. Impact of Cassava Cultivars on Stylet Penetration Behavior and Settling of Bemisia tabaci Gennadius (Hemiptera: Aleyrodidae). Plants. 2024; 13(22):3218. https://doi.org/10.3390/plants13223218
Chicago/Turabian StylePimkornburee, Sudarat, Supawadee Pombud, Kumri Buensanteai, Weravart Namanusart, Sukanya Aiamla-or, and Jariya Roddee. 2024. "Impact of Cassava Cultivars on Stylet Penetration Behavior and Settling of Bemisia tabaci Gennadius (Hemiptera: Aleyrodidae)" Plants 13, no. 22: 3218. https://doi.org/10.3390/plants13223218
APA StylePimkornburee, S., Pombud, S., Buensanteai, K., Namanusart, W., Aiamla-or, S., & Roddee, J. (2024). Impact of Cassava Cultivars on Stylet Penetration Behavior and Settling of Bemisia tabaci Gennadius (Hemiptera: Aleyrodidae). Plants, 13(22), 3218. https://doi.org/10.3390/plants13223218

