Modeling the Effect of Milk Vetch–Rice Rotation on N Runoff Loss in the Middle and Lower Reaches of the Yangtze River
Abstract
1. Introduction
2. Materials and Methods
2.1. Site Description
2.2. Experimental Design
2.3. Observations and Measurement Methods
2.4. WHCNS-Rice Model
2.5. Calibration and Validation
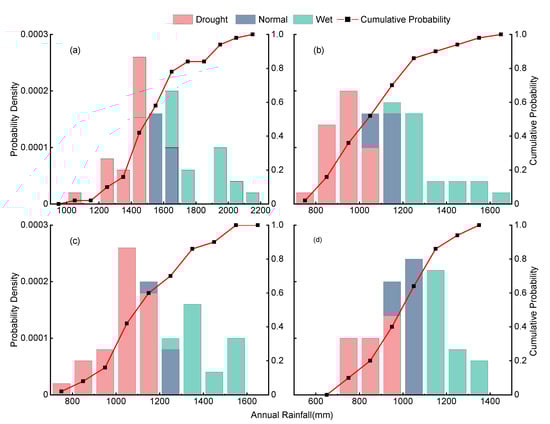
2.6. Scenario Analysis
3. Results
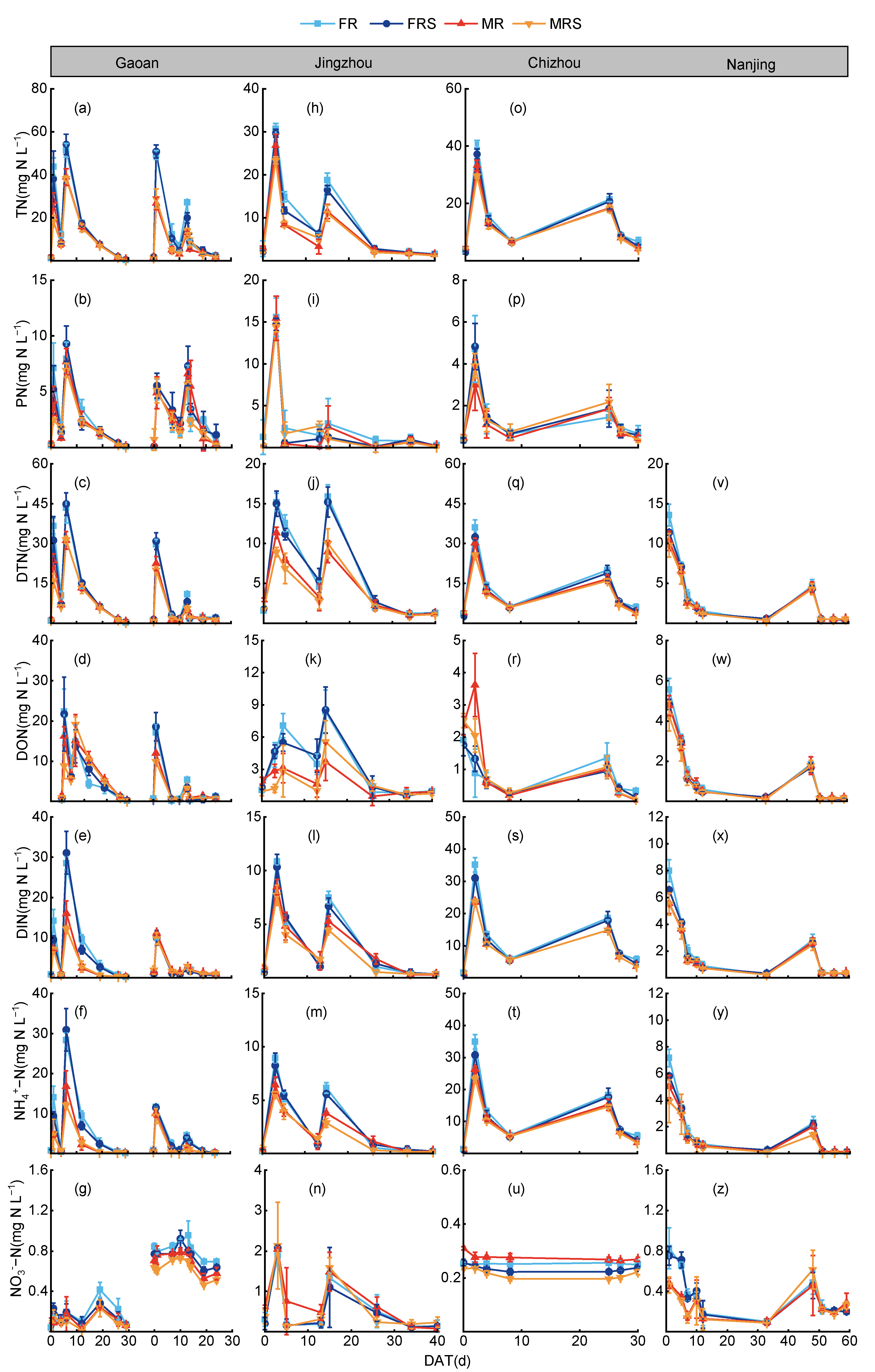
3.1. Dynamics of Different Forms of N in Field Water
3.2. Ponding Water Depth, Runoff and Nitrogen Concentrations
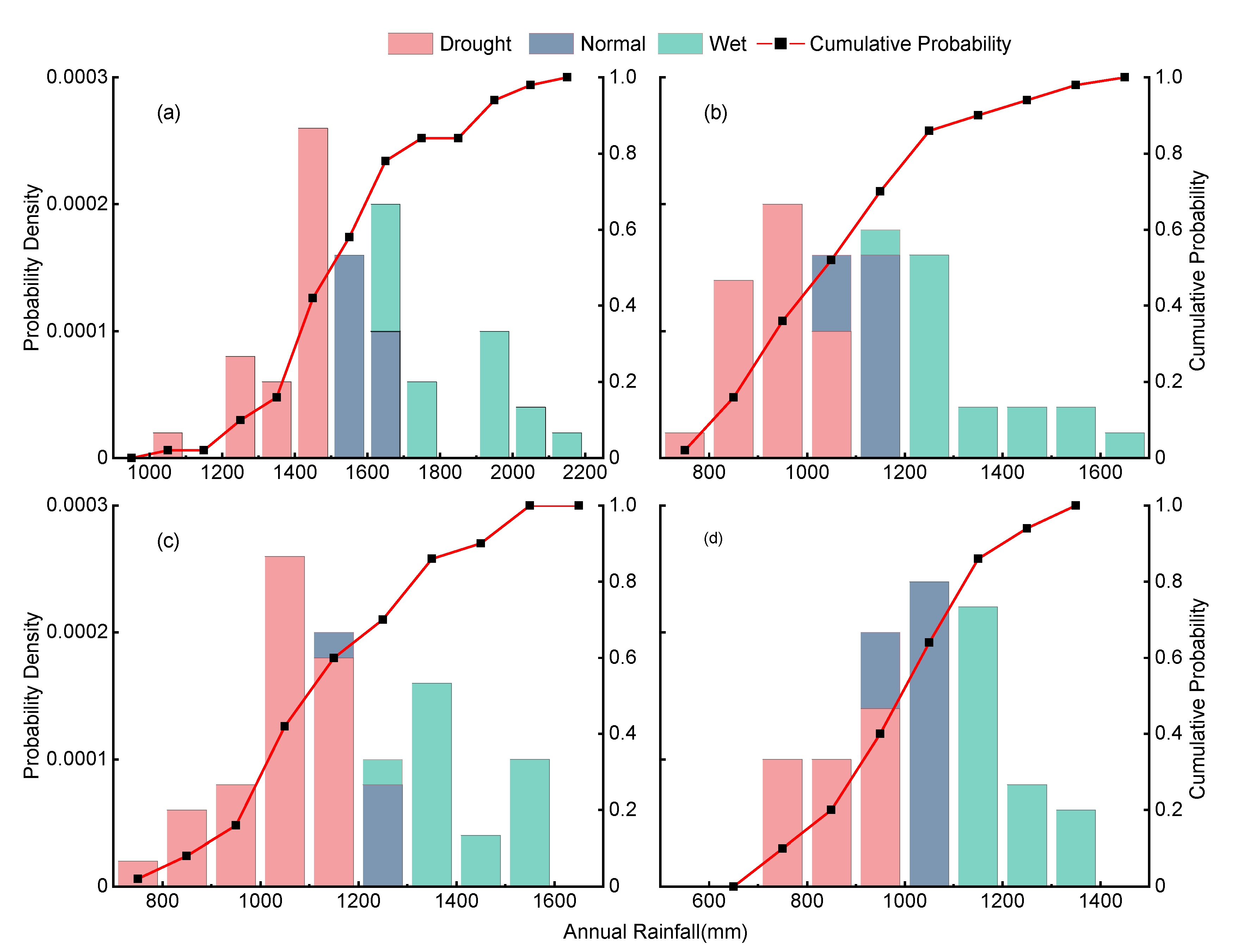
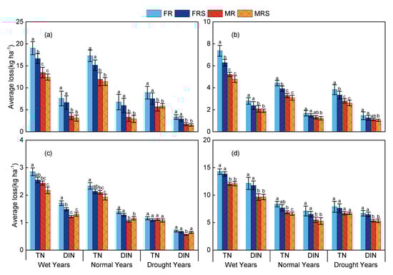
3.3. Nitrogen Loss in Different Rainfall Years
4. Discussion
4.1. Model Performance
4.2. Effects of GM Substitution on N Losses
4.3. Effect of GM on N Runoff Loss Under Different Rainfall Years
5. Conclusions
Author Contributions
Funding
Data Availability Statement
Conflicts of Interest
References
- FAO. FAOSTAT Statistical Database; Food & Agriculture Organization of the United Nations: Rome, Italy, 2022. [Google Scholar]
- Duan, J.; Liu, H.; Zhang, X.; Ren, C.; Wang, C.; Cheng, L.; Xu, J.; Gu, B. Agricultural Management Practices in China Enhance Nitrogen Sustainability and Benefit Human Health. Nat. Food 2024, 5, 378–389. [Google Scholar] [CrossRef] [PubMed]
- Ciceri, D.; Allanore, A. Local Fertilizers to Achieve Food Self-Sufficiency in Africa. Sci. Total Environ. 2019, 648, 669–680. [Google Scholar] [CrossRef] [PubMed]
- Gu, B.; Zhang, X.; Lam, S.K.; Yu, Y.; van Grinsven, H.J.M.; Zhang, S.; Wang, X.; Bodirsky, B.L.; Wang, S.; Duan, J.; et al. Cost-Effective Mitigation of Nitrogen Pollution from Global Croplands. Nature 2023, 613, 77–84. [Google Scholar] [CrossRef] [PubMed]
- Xu, Y.; Su, B.; Wang, H. Development of a Runoff Pollution Empirical Model and Pollution Machine Learning Models of the Paddy Field in the Taihu Lake Basin Based on the Paddy In Situ Observation Method. Water 2022, 14, 3277. [Google Scholar] [CrossRef]
- Zhang, Y.F.; Pan, Z.Q.; Chen, D.J. Estimation of Cropland Nitrogen Runoff Loss Loads in the Yangtze River Basin Based on the Machine Learning Approaches. Environ. Sci. (Huanjing Kexue) 2023, 44, 3913–3922. [Google Scholar] [CrossRef]
- Wang, L.; Zhao, X.; Gao, J.; Butterly, C.R.; Chen, Q.; Liu, M.; Yang, Y.; Xi, Y.; Xiao, X. Characteristics of Drainage and Nitrogen Losses from Rice-Wheat Rotation Fields in Plain River Network Area of Eastern China. Trans. Chin. Soc. Agric. Mach. 2024, 55, 321–330. [Google Scholar] [CrossRef]
- Gao, S.J.; Zhou, G.P.; Cao, W.D. Effects of Milk Vetch (Astragalus sinicus) as Winter Green Manure on Rice Yield and Rate of Fertilizer Application in Rice Paddies in South China. J. Plant Nutr. Fertil. 2020, 26, 2115–2126. [Google Scholar] [CrossRef]
- Zhou, G.; Xie, Z.; Cao, W.; Xu, C.; Bai, J.; Zeng, N.; Gao, S.; Yang, L. Co-Incorporation of High Rice Stubble and Chinese Milk Vetch Improving Soil Fertility and Yield of Rice. Trans. Chin. Soc. Agric. Eng. 2017, 33, 157–163. [Google Scholar] [CrossRef]
- Chang, D.; Wang, H.; Zhou, G.; Gao, S.; Liu, J.; Xu, C.; Cao, W. Yield and Nitrogen Uptake of Rice and Soil Nitrogen Supply Capacity under Fertilizer Reduction in a Rice-Rice-Chinese Milk Vetch Rotation System, Northern Jiangxi Province, China. J. Plant Nutr. Fertil. 2023, 29, 1449–1460. [Google Scholar]
- Cao, W.D.; Bao, X.-G.; Xu, C.X.; Nie, J.; Gao, Y.-J.; Geng, M.J. Reviews and Prospects on Science and Technology of Green Manure in China. J. Plant Nutr. Fertil. 2017, 23, 1450–1461. [Google Scholar] [CrossRef]
- Liang, H.; Li, S.; Zhang, L.; Xu, C.; Lv, Y.; Gao, S.; Cao, W. Long-Term Green Manuring Enhances Crop N Uptake and Reduces N Losses in Rice Production System. Soil Tillage Res. 2022, 220, 105369. [Google Scholar] [CrossRef]
- Fan, Q.; Xu, C.; Zhang, L.; Xie, J.; Zhou, G.; Liu, J.; Hu, F.; Gao, S.; Cao, W. Application of Milk Vetch (Astragalus sinicus L.) with Reduced Chemical Fertilizer Improves Rice Yield and Nitrogen, Phosphorus, and Potassium Use Efficiency in Southern China. Eur. J. Agron. 2023, 144, 126762. [Google Scholar] [CrossRef]
- Ding, W.; Xu, X.; He, P.; Ullah, S.; Zhang, J.; Cui, Z.; Zhou, W. Improving Yield and Nitrogen Use Efficiency through Alternative Fertilization Options for Rice in China: A Meta-Analysis. Field Crops Res. 2018, 227, 11–18. [Google Scholar] [CrossRef]
- Zhou, X.; Liao, Y.; Lu, Y.; Rees, R.M.; Cao, W.; Nie, J.; Li, M. Management of Rice Straw with Relay Cropping of Chinese Milk Vetch Improved Double-Rice Cropping System Production in Southern China. J. Integr. Agric. 2020, 19, 2–14. [Google Scholar] [CrossRef]
- Lu, Y.; Zhou, X.; Liao, Y.; Lu, Y.; Nie, J.; Cao, W. Co-Incorporation of Rice Straw and Green Manure Benefits Rice Yield and Nutrient Uptake. Crop Sci. 2019, 59, 749–759. [Google Scholar] [CrossRef]
- Qaswar, M.; Huang, J.; Ahmed, W.; Liu, S.; Li, D.; Zhang, L.; Liu, L.; Xu, Y.; Han, T.; Du, J.; et al. Substitution of Inorganic Nitrogen Fertilizer with Green Manure (GM) Increased Yield Stability by Improving C Input and Nitrogen Recovery Efficiency in Rice-Based Cropping System. Agron. J. 2019, 9, 609. [Google Scholar] [CrossRef]
- Lv, Y.Q.; Zheng, M.J.; Wu, J.S.; Wu, P.; Lao, J.; Fu, W. Effects of Different Nitrogen Reduction Fertilizer Combined with Milk Vetch (Astragalus sinicus L.) on the Loss of Nitrogen and Phosphorus in Field Water and Rice Growth. J. Soil Water Conserv. 2022, 36, 148–155. [Google Scholar] [CrossRef]
- Niu, J.J. Reducing Nitrogen Leaching Loss in Paddy Fields with the Application of Chinese Milk Vetch and Chemical Fertilizer. Anhui Agric. Sci. Bull. 2021, 27, 96–99. [Google Scholar] [CrossRef]
- Zhao, X.; Wang, S.Q.; Xing, G.X. Maintaining Rice Yield and Reducing N Pollution by Substituting Winter Legume for Wheat in a Heavily-Fertilized Rice-Based Cropping System of Southeast China. Agric. Ecosyst. Environ. 2015, 202, 79–89. [Google Scholar] [CrossRef]
- Yao, Y.L.; Zhang, M.; Tian, Y.H.; Zhao, M.; Zhang, B.; Zhao, M.; Zeng, K.; Yin, B. Duckweed (Spirodela polyrhiza) as Green Manure for Increasing Yield and Reducing Nitrogen Loss in Rice Production. Field Crops Res. 2017, 214, 273–282. [Google Scholar] [CrossRef]
- Zhang, Y.; Zhu, D.; Zhang, Y.; Xiang, J.; Wang, Y.; Zhu, D.; Wang, L.; Chen, H. Effects of Climate Change on the Yield Potentials and Resource Use Efficiencies of Mid-Season Indica Rice Cultivars in Eastern China. Field Crops Res. 2021, 262, 108039. [Google Scholar] [CrossRef]
- Keating, B.A.; Carberry, P.S.; Hammer, G.L.; Probert, M.E.; Robertson, M.J.; Holzworth, D.; Huth, N.I.; Hargreaves, J.N.G.; Meinke, H.; Hochman, Z.; et al. An Overview of APSIM, a Model Designed for Farming Systems Simulation. Eur. J. Agron. 2003, 18, 267–288. [Google Scholar] [CrossRef]
- Jones, P.G.; Thornton, P.K. The Potential Impacts of Climate Change on Maize Production in Africa and Latin America in 2055. Glob. Environ. Change 2003, 13, 51–59. [Google Scholar] [CrossRef]
- Giltrap, D.L.; Li, C.; Saggar, S. DNDC: A Process-Based Model of Greenhouse Gas Fluxes from Agricultural Soils. Agric. Ecosyst. Environ. 2010, 136, 292–300. [Google Scholar] [CrossRef]
- Liang, H.; Hu, K.; Li, B.; Liu, H. Coupled Simulation of Soil Water-Heat-Carbon-Nitrogen Process and Crop Growth at Soil-Plant-Atmosphere Continuum System. Trans. Chin. Soc. Agric. Eng. 2014, 30, 54–66. [Google Scholar] [CrossRef]
- Constantin, J.; Beaudoin, N.; Laurent, F.; Cohan, J.P.; Duyme, F.; Mary, B. Cumulative Effects of Catch Crops on Nitrogen Uptake, Leaching and Net Mineralization. Plant Soil 2011, 341, 137–154. [Google Scholar] [CrossRef]
- Singh, J.; Ale, S.; DeLaune, P.B.; Himanshu, S.K.; Barnes, E.M. Modeling the Impacts of Cover Crops and No-Tillage on Soil Health and Cotton Yield in an Irrigated Cropping System of the Texas Rolling Plains. Field Crops Res. 2022, 287, 108661. [Google Scholar] [CrossRef]
- Hung, C.Y.; Whalen, J.K. Plausible Impacts of Fall Manuring on Cover Crop Production and Spring Nitrous Oxide Emissions under Climate Change in Southern Quebec, Canada. Agric. Ecosyst. Environ. 2021, 321, 107620. [Google Scholar] [CrossRef]
- Yin, X.; Beaudoin, N.; Ferchaud, F.; Mary, B.; Strullu, L.; Chlébowski, F.; Clivot, H.; Herre, C.; Duval, J.; Louarn, G.; et al. Long-Term Modelling of Soil N Mineralization and N Fate Using STICS in a 34-Year Crop Rotation Experiment. Geoderma 2020, 357, 113956. [Google Scholar] [CrossRef]
- Liang, H.; Hu, K.; Batchelor, W.D.; Qi, Z.; Li, B. An Integrated Soil-Crop System Model for Water and Nitrogen Management in North China. Sci. Rep. 2016, 6, 25755. [Google Scholar] [CrossRef]
- Mei, F.Q.; Wu, X.Z.; Yao, C.X.; Li, L.; Wang, L.; Chen, Q. Rice Cropping Regionalization in China. Chin. J. Rice Sci. 1988, 2, 97–110. [Google Scholar]
- Li, X.; Zhang, W.; Wu, J.; Li, H.; Zhao, T.; Zhao, C.; Shi, R.; Li, Z.; Wang, C.; Li, C.; et al. Loss of Nitrogen and Phosphorus from Farmland Runoff and the Interception Effect of an Ecological Drainage Ditch in the North China Plain—A Field Study in a Modern Agricultural Park. Ecol. Eng. 2021, 169, 106310. [Google Scholar] [CrossRef]
- Ren, J.G.; Jia, H.B.; Jiao, L.X.; Wang, Y.R.; Yang, S.W.; Wu, Q.Q.; Gao, Q.S.; Cui, Z.D.; Hao, Z.F. Characteristics of Nitrogen and Phosphorus Formation in Atmospheric Deposition in Dianchi Lake and Their Contributions to Lake Loading. Environ. Sci. 2019, 40, 582–589. [Google Scholar] [CrossRef]
- Liang, H.; Yang, S.; Xu, J.; Hu, K. Modeling Water Consumption, N Fates, and Rice Yield for Water-Saving and Conventional Rice Production Systems. Soil Tillage Res. 2021, 209, 104944. [Google Scholar] [CrossRef]
- Shi, X.; Liang, H.; Zhou, F.; Hu, K. Sensitivity Analysis and Parameter Estimation for Soil-Rice System Model. Trans. Chin. Soc. Agric. Mach. 2020, 51, 252–262. [Google Scholar] [CrossRef]
- Allen, R.G.; Pereira, L.S.; Raes, D.; Smith, M. Crop Evapotranspiration: Guidelines for Computing Crop Water Requirements—FAO Irrigation and Drainage Paper No. 56; FAO: Rome, Italy, 1998. [Google Scholar]
- Hachum, A.Y.; Alfaro, J.F. Rain Infiltration into Layered Soils: Prediction. J. Irrig. Drain. Div. 1980, 106, 311–319. [Google Scholar] [CrossRef]
- Liao, Y.; Zhang, Q.; Chen, D. Stochastic Modeling of Daily Precipitation in China. J. Geogr. Sci. 2004, 14, 417–426. [Google Scholar]
- Guo, S.; Zhu, H.; Dang, T.; Wu, J.; Liu, W.; Hao, M.; Li, Y.; Syers, J.K. Winter Wheat Grain Yield Associated with Precipitation Distribution under Long-Term Nitrogen Fertilization in the Semiarid Loess Plateau in China. Geoderma 2012, 189–190, 442–450. [Google Scholar] [CrossRef]
- Wang, J.; Ghimire, R.; Fu, X.; Sainju, U.M.; Liu, W. Straw Mulching Increases Precipitation Storage Rather than Water Use Efficiency and Dryland Winter Wheat Yield. Agric. Water Manag. 2018, 206, 95–101. [Google Scholar] [CrossRef]
- Liu, J.; Chu, Q.; Wang, G.; Chen, F.; Zhang, Y. Simulating Yield Gap of Winter Wheat in Response to Nitrogen Management in North China Plain Based on DSSAT Model. Trans. Chin. Soc. Agric. Eng. (Trans. CSAE) 2013, 29, 124–129. [Google Scholar]
- He, W.; Grant, B.B.; Smith, W.N.; VanderZaag, A.C.; Piquette, S.; Qian, B.; Jing, Q.; Rennie, T.J.; Bélanger, G.; Jégo, G.; et al. Assessing Alfalfa Production under Historical and Future Climate in Eastern Canada: DNDC Model Development and Application. Environ. Model. Softw. 2019, 122, 104540. [Google Scholar] [CrossRef]
- Nan, Z.; Wang, X.; Du, Y.; Melching, C.S.; Shang, X. Critical Period and Pathways of Water Borne Nitrogen Loss from a Rice Paddy in Northeast China. Sci. Total Environ. 2021, 753, 142116. [Google Scholar] [CrossRef] [PubMed]
- Smith, W.; Grant, B.; Qi, Z.; He, W.; VanderZaag, A.; Drury, C.F.; Helmers, M. Development of the DNDC Model to Improve Soil Hydrology and Incorporate Mechanistic Tile Drainage: A Comparative Analysis with RZWQM2. Environ. Model. Softw. 2020, 123, 104577. [Google Scholar] [CrossRef]
- Gao, Y.; Sun, C.; Ramos, T.B.; Huo, Z.; Huang, G.; Xu, X. Modeling Nitrogen Dynamics and Biomass Production in Rice Paddy Fields of Cold Regions with the ORYZA-N Model. Ecol. Model. 2023, 475, 110184. [Google Scholar] [CrossRef]
- Yuan, H.L.; Huang, S.Y.; Kong, X.L.; Zhu, Z.; Ou, Z.; Xie, G. Effects of Different Fertilization Models on Runoff Loss of Nitrogen and Phosphorus in Early Rice Paddy Fields. Res. Agric. Mod. 2021, 42, 776–784. [Google Scholar] [CrossRef]
- Zhang, F.L.; Wu, M.Q.; Xia, Y.; Zhai, L.; Duan, X.; Fan, X.; Xiong, G.; Liu, D.; Gao, L. Changes in Nitrogen and Phosphorus in Surface Water of Paddy Field in Jianghan Plain. Acta Pedol. Sin. 2019, 56, 1190–1200. [Google Scholar] [CrossRef]
- Miao, J.J.; Liu, Y.F.; Hu, H.X.; Tu, R.; Zhan, L.; Xue, Z.; Xu, Q. Effects of Different Fertilization Modes on Nitrogen and Phosphorus Loss and Yield in Paddy Fields. J. Soil Water Conserv. 2020, 34, 86–93. [Google Scholar] [CrossRef]
- He, S.Q.; Rui, M.A.; Wang, N.N.; Wang, S.; Li, T.; Zheng, Z. Comparison of Nitrogen Losses by Runoff from Two Different Cultivating Patterns in Sloping Farmland with Yellow Soil During Maize Growth in Southwest China. J. Integr. Agric. 2022, 21, 222–234. [Google Scholar] [CrossRef]
- Lv, Y.M.; Wu, Y.H.; Li, H.D.; Lei, T.; Lü, J. Effects of Dynamic Changes of Nitrogen and Phosphorus Concentrations in Surface Water of Paddy Field Under Different Fertilizer Rates. J. Ecol. Rural Environ. 2018, 34, 349–355. [Google Scholar] [CrossRef]
- Huang, J.; Gao, J.S.; Liu, S.J.; Cao, W.; Zhang, Y. Effect of Chinese Milk Vetch in Winter on Rice Yield and Its Nutrient Uptake. Soil Fert. Sci. China 2013, 1, 88–92. [Google Scholar]
- Zhu, B.; Yi, L.; Hu, Y.; Zeng, Z.; Lin, C.; Tang, H.; Yang, G.; Xiao, X. Nitrogen Release from Incorporated 15N Labelled Chinese Milk Vetch (Astragalus sinicus L.) Residue and Its Dynamics in a Double Rice Cropping System. Plant Soil 2014, 374, 331–344. [Google Scholar] [CrossRef]
- Sofo, A.; Ricciuti, P.; Fausto, C.; Mininni, A.N.; Crecchio, C.; Scagliola, M.; Malerba, A.D.; Xiloyannis, C.; Dichio, B. The Metabolic and Genetic Diversity of Soil Bacterial Communities Depends on the Soil Management System and C/N Dynamics: The Case of Sustainable and Conventional Olive Groves. Appl. Soil Ecol. 2019, 137, 21–28. [Google Scholar] [CrossRef]
- Zhang, L.; Huang, J.; Gao, J.S.; Cao, W.; Gao, P.; Yang, Z. Effects of Long-Term Green Manure and Reducing Nitrogen Applications on Rice Yield and Soil Nutrient Content. Trans. Chin. Soc. Agric. Eng. 2020, 36, 106–112. [Google Scholar] [CrossRef]
- Jiang, L.; Tan, L.; Tian, C.; Liu, Q.; Zhang, Y.; Yang, L.; Xie, G. Effects of Fertilizer Applications on Runoff Nitrogen and Phosphorus Loss in Double Cropping Paddy Field. J. Soil Water Conserv. 2017, 22, 33–38. [Google Scholar] [CrossRef]
- Xu, C.X.; Xie, Z.J.; Cao, W.D.; Xu, Z.; Su, Q.; Li, S.; Wang, Y.; Qin, W. Effects of Different Fertilizing Methods on Absorption and Utilization of Nutrients of Rice Plants Under Reducing the Amount of Mineral Fertilizer After Turning Under Chinese Milk Vetch. Soil Fertil. Sci. China 2011, 3, 35–39. [Google Scholar]
- Cui, Z.; Chen, C.; Chen, Q.; Huang, J. Difference in the Contribution of Driving Factors to Nitrogen Loss with Surface Runoff between Hill and Plain Agricultural Watersheds. J. Geophys. Res. Biogeosci. 2024, 129, e2023JG007931. [Google Scholar] [CrossRef]
- Takeda, I.; Fukushima, A. Long-Term Changes in Pollutant Load Outflows and Purification Function in a Paddy Field Watershed Using a Circular Irrigation System. Water Res. 2006, 40, 569–578. [Google Scholar] [CrossRef]
- Fu, J.; Wu, Y.; Wang, Q.; Hu, K.; Wang, S.; Zhou, M.; Hayashi, K.; Wang, H.; Zhan, X.; Jian, Y.; et al. Importance of Subsurface Fluxes of Water, Nitrogen, and Phosphorus from Rice Paddy Fields Relative to Surface Runoff. Agric. Water Manag. 2019, 213, 627–635. [Google Scholar] [CrossRef]
- Xie, Y.; Xiong, Z.; Xing, G.; Yan, X.; Shi, S.; Sun, G.; Zhu, Z. Source of Nitrogen in Wet Deposition to a Rice Agroecosystem at Taihu Lake Region. Atmos. Environ. 2008, 42, 5182–5192. [Google Scholar] [CrossRef]
- Ren, J.; Hu, K.; Feng, P.; Batchelor, W.D.; Liu, H.; Lü, S. Simulating the Responses of Rice Yield and Nitrogen Fates to the Ground Cover Rice Production System under Different Precipitation Year Types. Rice Sci. [CrossRef]
- Yan, L.; Deng, X.; Xue, L.; Hou, P.; Xu, D.; Yang, L. Effects of Different Rain Intensity and Vegetation Cover on Paddy Field Runoff and Nitrogen Loss. J. Agric. Environ. Sci. 2021, 40, 2761–2769. [Google Scholar] [CrossRef]





| Experimental Stations | Longitude (°) | Latitude (°) | Transplanting Date | Harvest Date | Conventional N Application (kg ha−1) | Basic Soil Properties | Texture (USDA) | ||||
|---|---|---|---|---|---|---|---|---|---|---|---|
| PH | SOC (g kg−1) | TN (g kg−1) | AP (mg kg−1) | AK (mg kg−1) | |||||||
| Gaoan | 115.38 | 28.42 | 4.26(7.24) | 7.17(10.20) | 150(180) | 5.82 | 23.49 | 0.99 | 12.51 | 49.78 | Silty clay |
| Jingzhou | 112.23 | 30.33 | 5.20 | 9.06 | 165 | 7.06 | 22.00 | 2.00 | 10.60 | 167.00 | Silty clay |
| Nanjing | 119.02 | 31.65 | 6.11 | 10.01 | 200 | 6.23 | 24.44 | 1.47 | 20.44 | 107.25 | Silty clay loam |
| Chizhou | 117.30 | 30.65 | 6.06 | 9.26 | 192 | 6.27 | 27.64 | 1.30 | 13.14 | 62.39 | Clay |
| Indicator | Reduction in MR vs. FR (%) | Reduction in MR vs. FRS (%) | Reduction in MRS vs. FR (%) | Reduction in MRS vs. FRS (%) |
|---|---|---|---|---|
| DTN | 20.3 | 15.8 | 26.1 | 21.4 |
| DON | 10.3 | 7.4 | 22.2 | 19.8 |
| DIN | 26.5 | 18.9 | 31.8 | 24.5 |
| Index | Gaoan | Jingzhou | Nanjing | Chizhou | |
| Ponding water depth (mm) | RMSE | 5.260 | 12.160 | 1.530 | 7.010 |
| d | 0.933 | 0.796 | 0.961 | 0.738 | |
| E | 0.932 | 0.795 | 0.961 | 0.737 | |
| Runoff (mm) | RMSE | 4.680 | 2.180 | 1.550 | 0.119 |
| d | 0.949 | 0.977 | 0.961 | 0.985 | |
| E | 0.951 | 0.977 | 0.963 | 0.986 | |
| Yield (kg ha−1) | RMSE | 191.03 | 202.01 | 236.46 | 160.93 |
| d | 0.993 | 0.972 | 0.995 | 0.986 | |
| E | 0.992 | 0.956 | 0.984 | 0.967 |
Disclaimer/Publisher’s Note: The statements, opinions and data contained in all publications are solely those of the individual author(s) and contributor(s) and not of MDPI and/or the editor(s). MDPI and/or the editor(s) disclaim responsibility for any injury to people or property resulting from any ideas, methods, instructions or products referred to in the content. |
© 2024 by the authors. Licensee MDPI, Basel, Switzerland. This article is an open access article distributed under the terms and conditions of the Creative Commons Attribution (CC BY) license (https://creativecommons.org/licenses/by/4.0/).
Share and Cite
Zhou, G.; Wei, C.; Li, P.; Liang, H. Modeling the Effect of Milk Vetch–Rice Rotation on N Runoff Loss in the Middle and Lower Reaches of the Yangtze River. Plants 2024, 13, 3160. https://doi.org/10.3390/plants13223160
Zhou G, Wei C, Li P, Liang H. Modeling the Effect of Milk Vetch–Rice Rotation on N Runoff Loss in the Middle and Lower Reaches of the Yangtze River. Plants. 2024; 13(22):3160. https://doi.org/10.3390/plants13223160
Chicago/Turabian StyleZhou, Guodong, Cuilan Wei, Penghui Li, and Hao Liang. 2024. "Modeling the Effect of Milk Vetch–Rice Rotation on N Runoff Loss in the Middle and Lower Reaches of the Yangtze River" Plants 13, no. 22: 3160. https://doi.org/10.3390/plants13223160
APA StyleZhou, G., Wei, C., Li, P., & Liang, H. (2024). Modeling the Effect of Milk Vetch–Rice Rotation on N Runoff Loss in the Middle and Lower Reaches of the Yangtze River. Plants, 13(22), 3160. https://doi.org/10.3390/plants13223160

