Comparison of Productivity and Quality of Three Perennial Ryegrass Cultivars and Their Mixture in Response to Nitrogen Fertilization and Grass-Legume Mixtures
Abstract
1. Introduction
2. Results
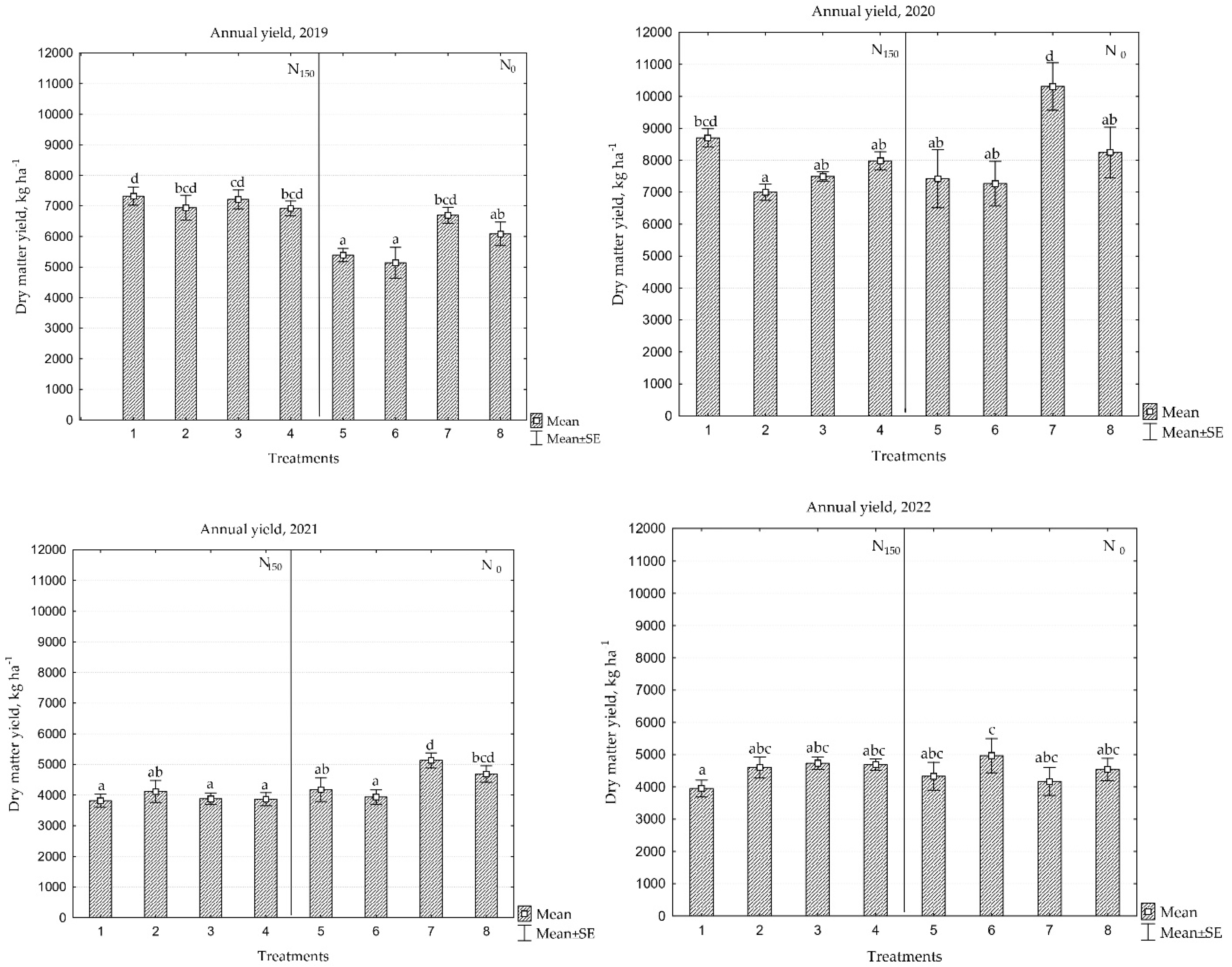
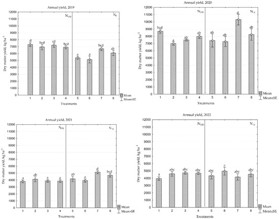
2.1. Annual Yield
2.2. Botanical Composition and Species Diversity
2.3. Variation in Forage Yield Across Experimental Cuts and Years
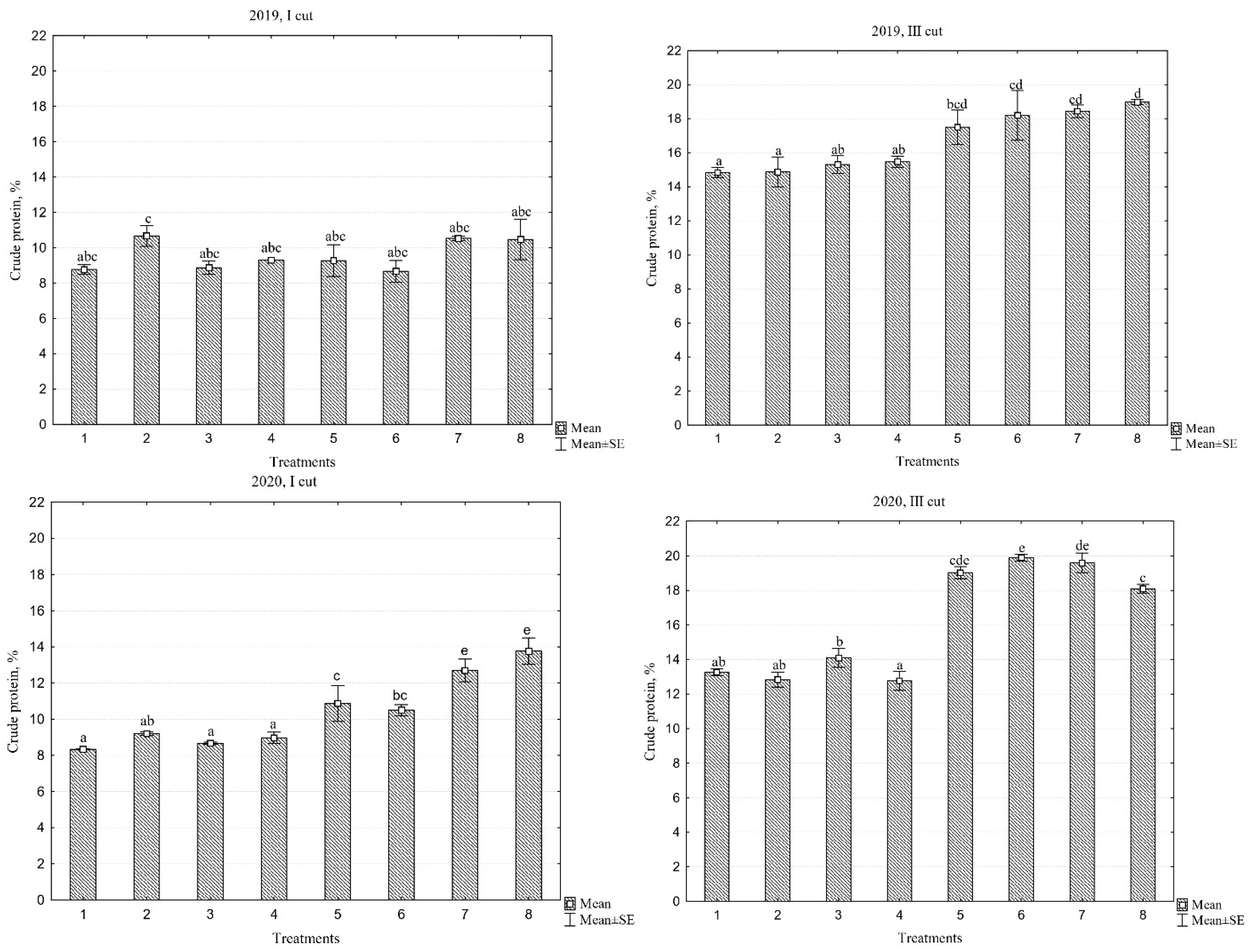
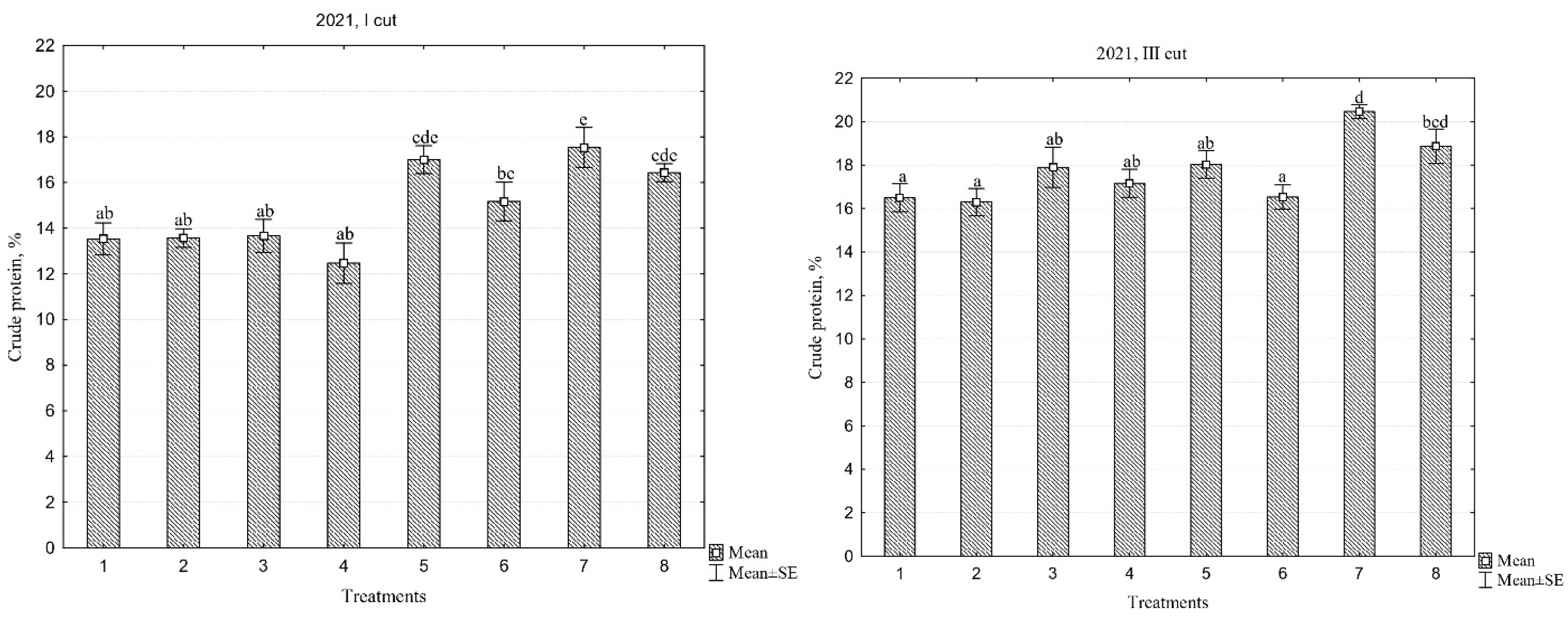
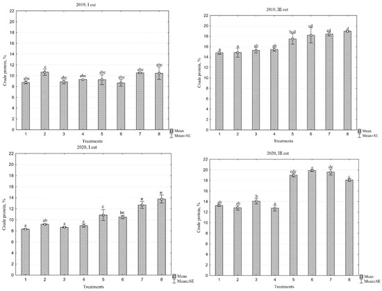
2.4. Crude Protein
2.5. Modified Acid Detergent Fiber
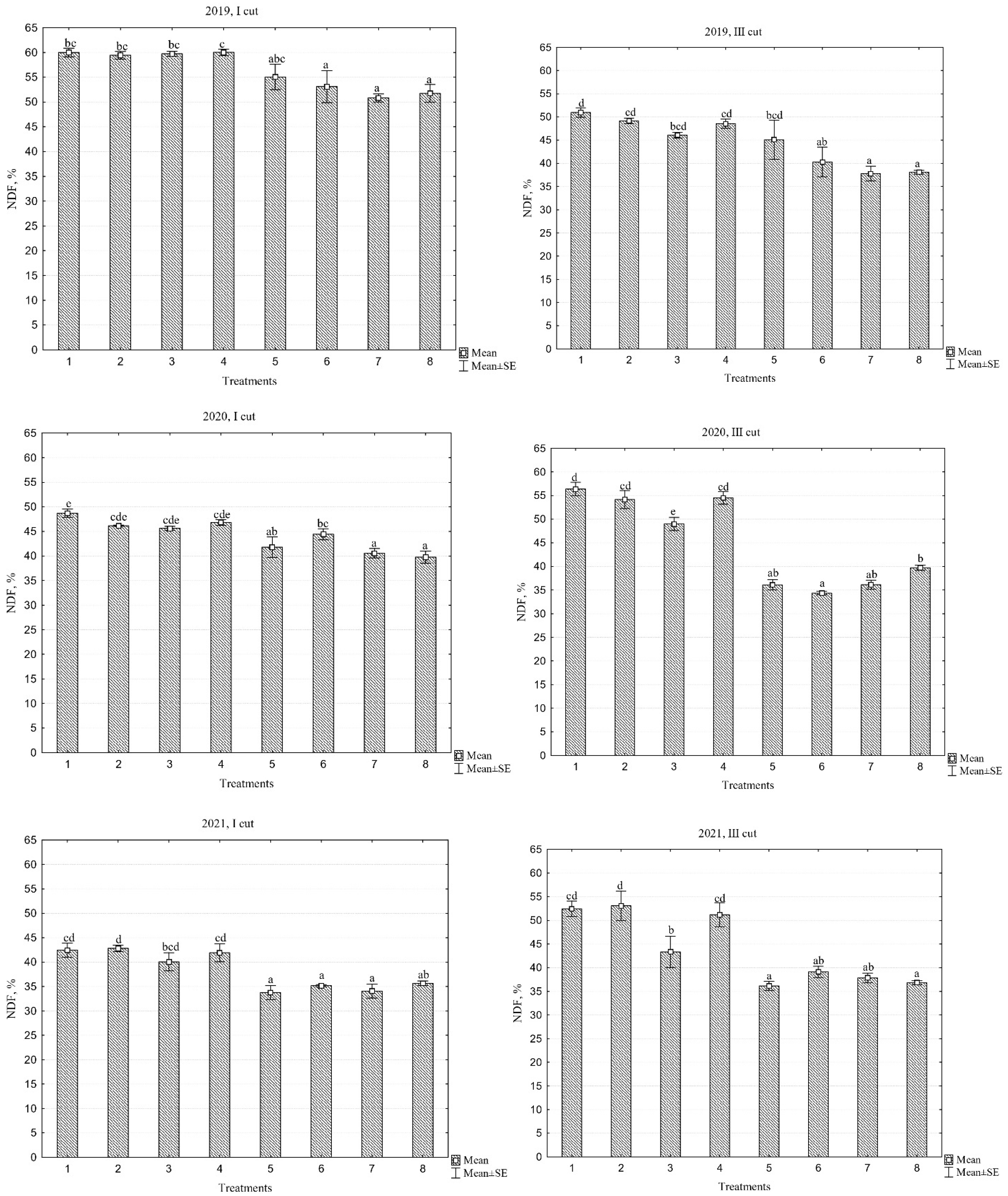
2.6. Neutral Acid Detergent Fiber
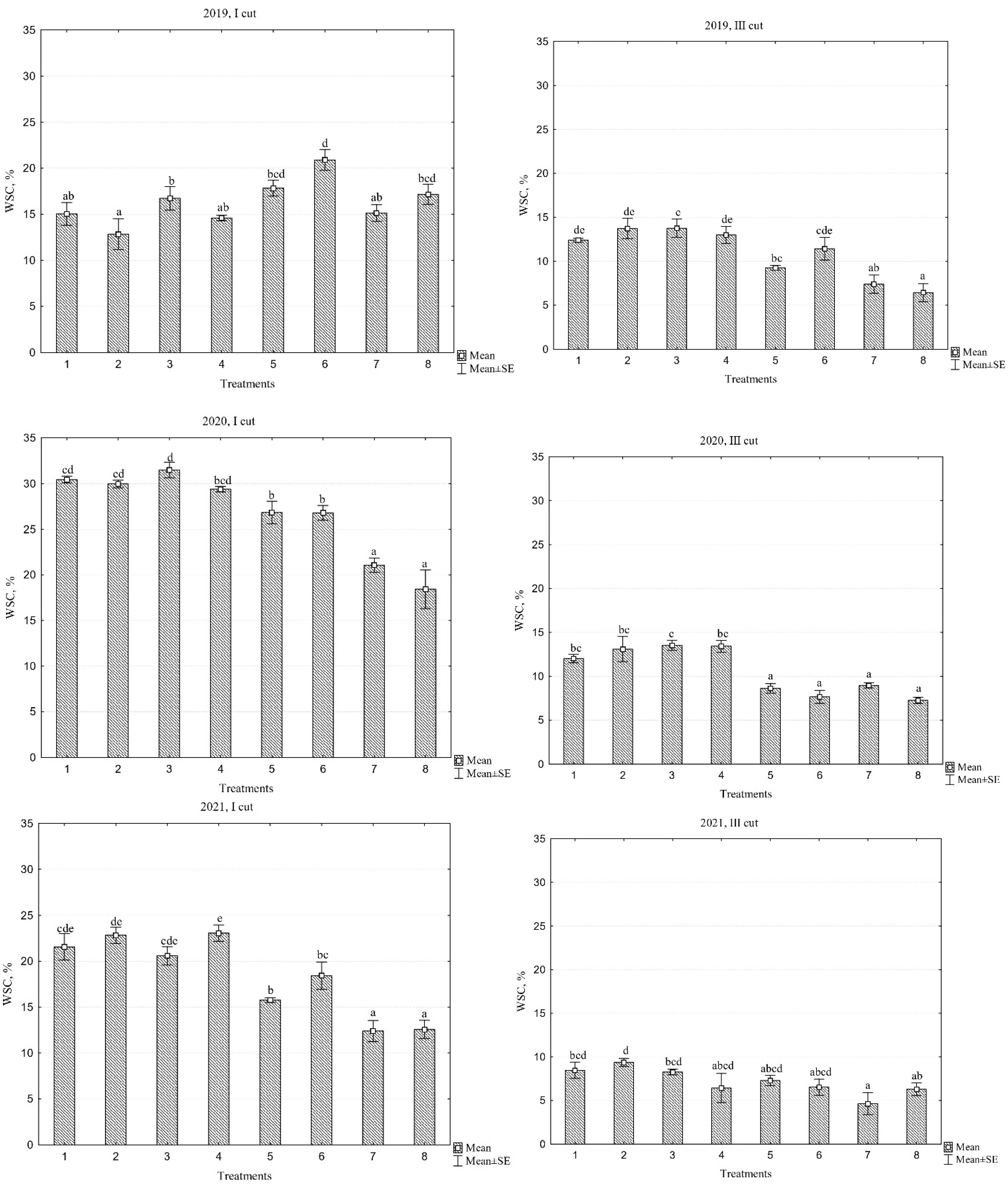
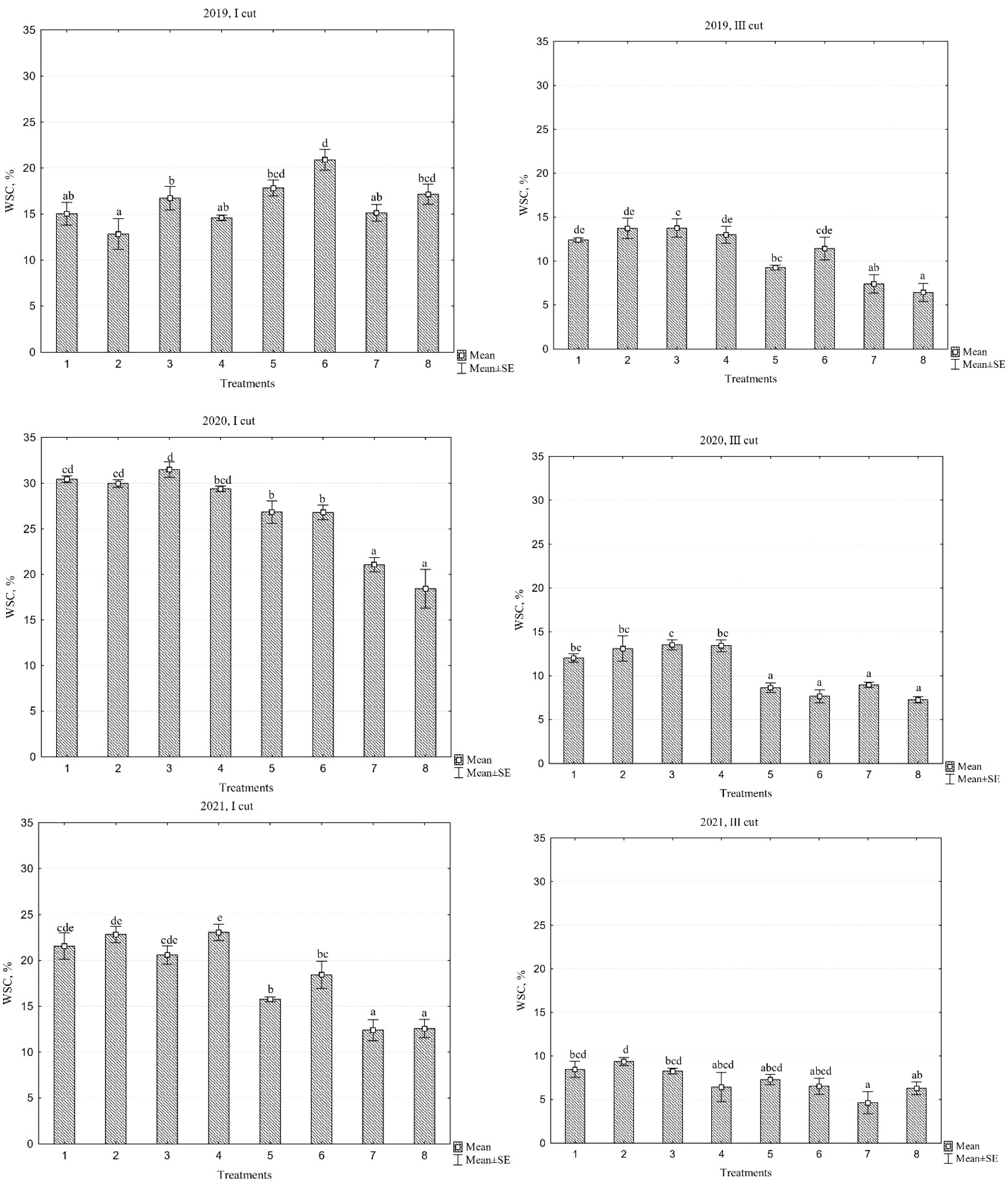
2.7. Water-Soluble Carbohydrates
2.8. Dry Matter Digestibility
3. Discussion
4. Materials and Methods
4.1. Experimental Site
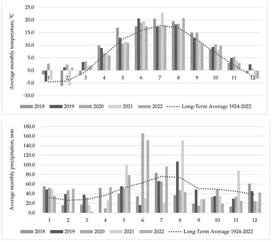
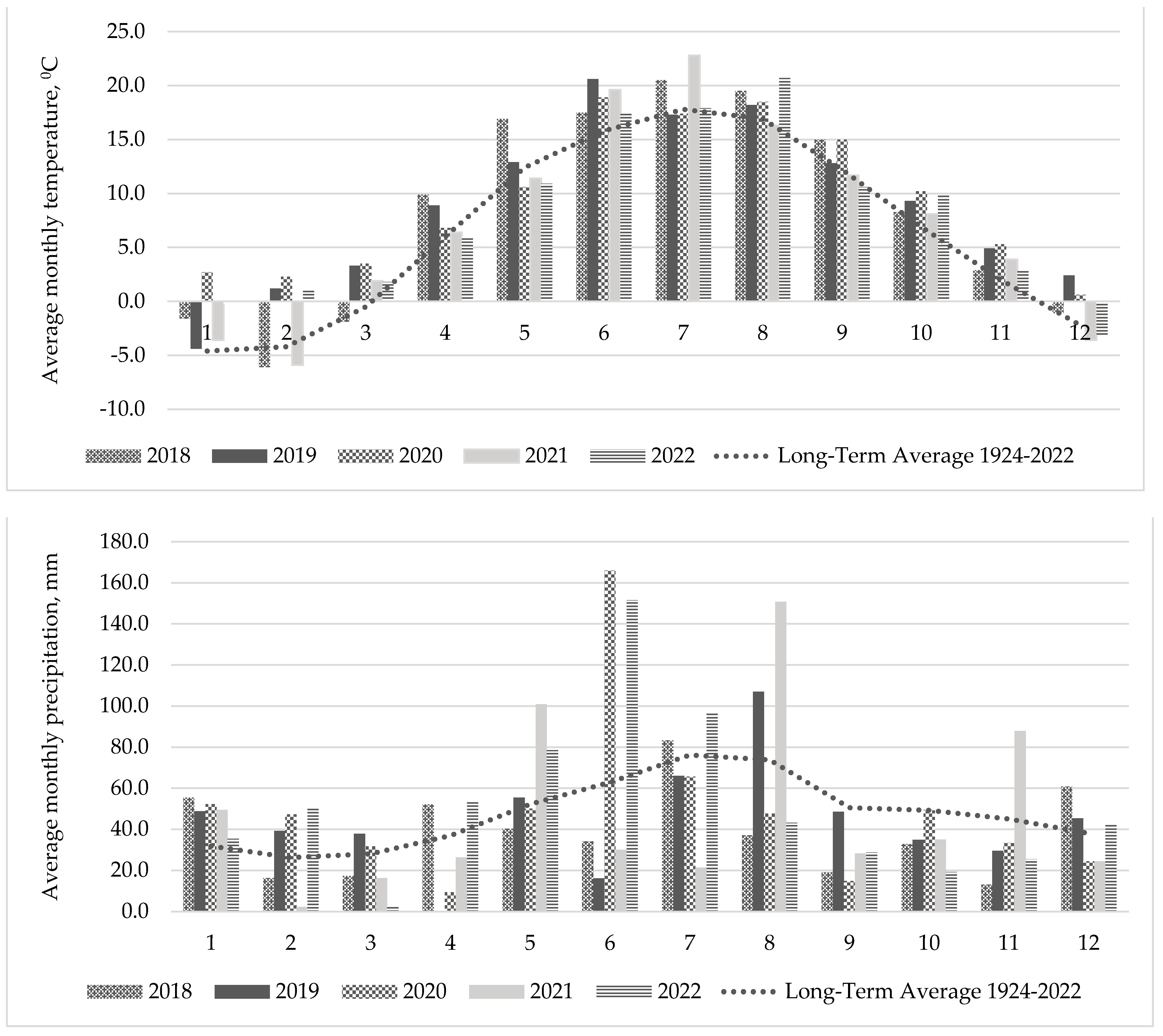
4.2. Weather Conditions
4.3. Experimental Design
4.4. Plant Sampling and Measurements
4.5. Statistical Analysis
Author Contributions
Funding
Data Availability Statement
Conflicts of Interest
References
- Puech, T.; Stark, F. Diversification of an integrated crop-livestock system: Agroecological and food production assessment at farm scale. Agric. Ecosyst. Environ. 2023, 344, 108300. [Google Scholar] [CrossRef]
- Bužinskienė, R. A comparative analysis of perennial grass–legume mixtures for biomethane production. Heliyon 2024, 10, e33401. [Google Scholar] [CrossRef] [PubMed]
- Okumu, O.; Otieno, H.M.O.; Okeyo, G.O. Production systems and contributions of grain legumes to soil health and sustainable agriculture: A review. Arch. Agric. Environ. Sci. 2023, 8, 259–267. [Google Scholar] [CrossRef]
- Siddique, I.A.; Grados, D.; Chen, J.; Lærke, P.E.; Jørgensen, U. Soil organic carbon stock change following perennialization: A meta-analysis. Agron. Sustain. Dev. 2023, 43, 58. [Google Scholar] [CrossRef]
- Crème, A.; Rumpel, C.; Le Roux, X.; Romian, A.; Lan, T.; Chabbi, A. Ley grassland under temperate climate had a legacy effect on soil organic matter quantity, biogeochemical signature and microbial activities. Soil Biol. Biochem. 2018, 122, 203–210. [Google Scholar] [CrossRef]
- Hoeffner, K.; Hotte, H.; Cluzeau, D.; Charrier, X.; Gastal, F.; Pérès, G. Effects of temporary grassland introduction into annual crop rotations and nitrogen fertilisation on earthworm communities and forage production. Appl. Soil Ecol. 2021, 162, 103893. [Google Scholar] [CrossRef]
- Asbjornsen, H.; Hernandez-Santana, V.; Liebman, M.; Bayala, J.; Chen, J.; Helmers, M.; Ong, C.K.; Schulte, L.A. Targeting perennial vegetation in agricultural landscapes for enhancing ecosystem services. Renew. Agric. Food Syst. 2014, 29, 101–125. [Google Scholar] [CrossRef]
- Guillaume, T.; Makowski, D.; Libohova, Z.; Elfouki, S.; Fontana, M.; Leifeld, J.; Bragazza, L.; Sinaj, S. Carbon storage in agricultural topsoils and subsoils is promoted by including temporary grasslands into the crop rotation. Geoderma 2022, 422, 115937. [Google Scholar] [CrossRef]
- Hoeffner, K.; Beylich, A.; Chabbi, A.; Cluzeau, D.; Dascalu, D.; Graefe, U.; Guzmán, G.; Hallaire, V.; Hanisch, J.; Landa, B.B.; et al. Legacy effects of temporary grassland in annual crop rotation on soil ecosystem services. Sci. Total Environ. 2021, 780, 146140. [Google Scholar] [CrossRef]
- Nyfeler, D.; Huguenin-Elie, O.; Frossard, E.; Lüscher, A. Effects of legumes and fertiliser on nitrogen balance and nitrate leaching from intact leys and after tilling for subsequent crop. Agric. Ecosyst. Environ. 2024, 360, 108776. [Google Scholar] [CrossRef]
- Andrews, M.; Scholefield, D.; Abberton, M.T.; McKenzie, B.A.; Hodge, S.; Raven, J.A. Use of white clover as an alternative to nitrogen fertiliser for dairy pastures in nitrate vulnerable zones in the UK: Productivity, environmental impact and economic considerations. Ann. Appl. Biol. 2007, 151, 11–23. [Google Scholar] [CrossRef]
- Dineen, M.; Delaby, L.; Gilliland, T.; McCarthy, B. Meta-analysis of the effect of white clover inclusion in perennial ryegrass swards on milk production. J. Dairy Sci. 2018, 101, 1804–1816. [Google Scholar] [CrossRef] [PubMed]
- Holohan, C.; Grace, C.; Bock, M.; Lynch, M.B. An assessment of herbage mass, ryegrass cultivar and red clover inclusion on sward productivity, quality and morphology under a cutting protocol. J. Agric. Sci. 2022, 160, 55–65. [Google Scholar] [CrossRef]
- Clavin, D.; Crosson, P.; Grant, J.; O’Kiely, P. Red clover for silage: Management impacts on herbage yield, nutritive value, ensilability and persistence, and relativity to perennial ryegrass. Grass Forage Sci. 2017, 72, 414–431. [Google Scholar] [CrossRef]
- Marshall, A.H.; Collins, R.P.; Vale, J.; Lowe, M. Improved persistence of red clover (Trifolium pratense L.) increases the protein supplied by red clover/grass swards grown over four harvest years. Eur. J. Agron. 2017, 89, 38–45. [Google Scholar] [CrossRef]
- Egan, M.; Galvin, N.; Hennessy, D. Incorporating white clover (Trifolium repens L.) into perennial ryegrass (Lolium perenne L.) swards receiving varying levels of nitrogen fertilizer: Effects on milk and herbage production. J. Dairy Sci. 2018, 101, 3412–3427. [Google Scholar] [CrossRef]
- Lowry, C.J.; Bosworth, S.C.; Goslee, S.C.; Kersbergen, R.J.; Pollnac, F.W.; Skinner, R.H.; Warren, N.D.; Smith, R.G. Effects of expanding functional trait diversity on productivity and stability in cultivar mixtures of perennial ryegrass. Agric. Ecosyst. Environ. 2020, 287, 106691. [Google Scholar] [CrossRef]
- Deru, J.; Schilder, H.; van der Schoot, J.R.; van Eekeren, N. Genetic differences in root mass of Lolium perenne varieties under field conditions. Euphytica 2014, 199, 223–232. [Google Scholar] [CrossRef]
- Tubritt, T.; Delaby, L.; Gilliland, T.J.; O’Donovan, M. The agronomic performance of perennial ryegrass varieties evaluated as monocultures and mixtures of varying complexity under animal grazing. Eur. J. Agron. 2021, 124, 126226. [Google Scholar] [CrossRef]
- Studer, B.; Jensen, L.B.; Hentrup, S.; Brazauskas, G.; Kölliker, R.; Lübberstedt, T. Genetic characterisation of seed yield and fertility traits in perennial ryegrass (Lolium perenne L.). Theor. Appl. Genet. 2008, 117, 781–791. [Google Scholar] [CrossRef]
- Ullmann, I.; Herrmann, A.; Hasler, M.; Taube, F. Influence of the critical phase of stem elongation on yield and forage quality of perennial ryegrass genotypes in the first reproductive growth. Field Crops Res. 2017, 205, 23–33. [Google Scholar] [CrossRef]
- McDonagh, J.; O’Donovan, M.; McEvoy, M.; Gilliland, T.J. Genetic gain in perennial ryegrass (Lolium perenne) varieties 1973 to 2013. Euphytica 2016, 212, 187–199. [Google Scholar] [CrossRef]
- Abel, S.; Gislum, R.; Boelt, B. Path and correlation analysis of perennial ryegrass (Lolium perenne L.) seed yield components. J. Agron. Crop Sci. 2017, 203, 338–344. [Google Scholar] [CrossRef]
- Jaškūnė, K.; Kemešytė, V.; Aleliūnas, A.; Statkevičiūtė, G. Genome-wide markers for seed yield and disease resistance in perennial ryegrass. Crop J. 2022, 10, 508–514. [Google Scholar] [CrossRef]
- Pashapu, A.R.; Statkevičiūtė, G.; Sustek-Sánchez, F.; Kovi, M.R.; Rognli, O.A.; Sarmiento, C.; Rostoks, N.; Jaškūnė, K. Transcriptome profiling reveals insight into the cold response of perennial ryegrass genotypes with contrasting freezing tolerance. Plant Stress 2024, 14, 100598. [Google Scholar] [CrossRef]
- Wei, H.; Wang, Z.; Wang, J.; Mao, X.; He, W.; Hu, W.; Tang, M.; Chen, H. Mycorrhizal and non-mycorrhizal perennial ryegrass roots exhibit differential regulation of lipid and Ca2+ signaling pathways in response to low and high temperature stresses. Plant Physiol. Biochem. 2024, 216, 109099. [Google Scholar] [CrossRef]
- Ferrante, M.; Kirsch, F.; Westphal, C. Stable pollinator communities in different white clover populations suggest potential win-win scenarios for crop yield and biodiversity. Agric. Ecosyst. Environ. 2025, 378, 109295. [Google Scholar] [CrossRef]
- Kearns, M.; Ponnampalam, E.N.; Jacquier, J.C.; Grasso, S.; Boland, T.M.; Sheridan, H.; Monahan, F.J. Can botanically-diverse pastures positively impact the nutritional and antioxidant composition of ruminant meat?—Invited review. Meat Sci. 2023, 197, 109055. [Google Scholar] [CrossRef]
- Šidlauskaitė, G.; Kemešytė, V.; Toleikienė, M.; Kadžiulienė, Ž. Plant Diversity, Functional Group Composition and Legumes Effects versus Fertilisation on the Yield and Forage Quality. Sustainability 2022, 14, 1182. [Google Scholar] [CrossRef]
- Sauvadet, M.; Trap, J.; Damour, G.; Plassard, C.; Meersche, K.V.D.; Achard, R.; Allinne, C.; Autfray, P.; Bertrand, I.; Blanchart, E.; et al. Agroecosystem diversification with legumes or non-legumes improves differently soil fertility according to soil type. Sci. Total Environ. 2021, 795, 148934. [Google Scholar] [CrossRef]
- Šidlauskaitė, G.; Kadžiulienė, Ž. The Effect of Inorganic Nitrogen Fertilizers on the Quality of Forage Composed of Various Species of Legumes in the Northern Part of a Temperate Climate Zone. Plants 2023, 12, 3676. [Google Scholar] [CrossRef]
- Wims, C.M.; McEvoy, M.; Delaby, L.; Boland, T.M.; O’Donovan, M. Effect of perennial ryegrass (Lolium perenne L.) cultivars on the milk yield of grazing dairy cows. Animal 2013, 7, 410–421. [Google Scholar] [CrossRef]
- Wilkins, P.W. Breeding perennial ryegrass for agriculture. Euphytica 1991, 52, 201–214. [Google Scholar] [CrossRef]
- Smit, H.J.; Tas, B.M.; Taweel, H.Z.; Tamminga, S.; Elgersma, A. Effects of perennial ryegrass (Lolium perenne L.) cultivars on herbage production, nutritional quality and herbage intake of grazing dairy cows. Grass Forage Sci. 2005, 60, 297–309. [Google Scholar] [CrossRef]
- Engels, C.; Kirkby, E.; White, P. Mineral Nutrition, Yield and Source–Sink Relationships. In Marschner’s Mineral Nutrition of Higher Plants, 3rd ed.; Academic Press: Cambridge, MA, USA, 2013; pp. 85–133. [Google Scholar] [CrossRef]
- Ordóñez-Fernández, R.; Repullo-Ruibérriz de Torres, M.A.; Márquez-García, J.; Moreno-García, M.; Carbonell-Bojollo, R.M. Legumes used as cover crops to reduce fertilisation problems improving soil nitrate in an organic orchard. Eur. J. Agron. 2018, 95, 1–13. [Google Scholar] [CrossRef]
- Meilhac, J.; Durand, J.L.; Beguier, V.; Litrico, I. Increasing the benefits of species diversity in multispecies temporary grasslands by increasing within-species diversity. Ann. Bot. 2019, 123, 891–900. [Google Scholar] [CrossRef]
- Errecart, P.M.; Marino, M.A.; Agnusdei, M.G.; Lattanzi, F.A.; Durand, J.L. The intensity of water stress dictates whether the N status of temperate-type perennial grass swards is affected by drought. Field Crops Res. 2020, 257, 107928. [Google Scholar] [CrossRef]
- Hoover, D.L.; Knapp, A.K.; Smith, M.D. Resistance and resilience of a grassland ecosystem to climate extremes. Ecology 2014, 95, 2646–2656. [Google Scholar] [CrossRef]
- FAO. World Reference Base for Soil Resources. In World Soil Resources Reports; FAO: Rome, Italy, 2014; Volume 106, pp. 187–189. [Google Scholar]











| Year | 2019 | 2020 | 2021 | |||
| Cuts | I | III | I | III | I | III |
| Factor A (grass–legume mixtures) | * | * | * | * | * | * |
| Factor B (years) | * | * | * | * | * | * |
| Interaction A × B | * | * | * | * | * | * |
| Year | 2019 | 2020 | 2021 | |||
| Cuts | I | III | I | III | I | III |
| Factor A (grass–legume mixtures) | * | * | * | * | * | * |
| Factor B (years) | * | * | * | * | * | * |
| Interaction A × B | * | * | * | * | * | * |
| Year | 2019 | 2020 | 2021 | |||
| Cuts | I | III | I | III | I | III |
| Factor A (grass–legume mixtures) | * | * | * | * | * | * |
| Factor B (years) | * | ns | * | ns | * | ns |
| Interaction A × B | ns | * | ns | * | ns | * |
| Year | 2019 | 2020 | 2021 | |||
| Cuts | I | III | I | III | I | III |
| Factor A (grass–legume mixtures) | * | * | * | * | * | * |
| Factor B (years) | * | * | * | * | * | * |
| Interaction A × B | * | * | * | * | * | * |
| Year | 2019 | 2020 | 2021 | |||
| Cuts | I | III | I | III | I | III |
| Factor A (grass–legume mixtures) | * | * | * | * | * | * |
| Factor B (years) | * | ns | * | ns | * | ns |
| Interaction A × B | * | * | * | * | * | * |
| Treatments | FG | SP-r | FG of Grasses | FG of Legumes | Perennial Ryegrass | Clover | ||||
|---|---|---|---|---|---|---|---|---|---|---|
| Elena DS G1 | Raminta G2 | Verseka G3 | Dotnuviai L1 | Sadūnai L2 | N-Level | |||||
| 1 | 1 | 1 | 1 | 1 | N150 | |||||
| 2 | 1 | 1 | 1 | 1 | N150 | |||||
| 3 | 1 | 1 | 1 | 1 | N150 | |||||
| 4 | 1 | 1 | 1 | 0.33 | 0.33 | 0.33 | N150 | |||
| 5 | 2 | 2 | 0.6 | 0.4 | 0.6 | 0.4 | N0 | |||
| 6 | 2 | 2 | 0.6 | 0.4 | 0.2 | 0.2 | 0.2 | 0.4 | N0 | |
| 7 | 2 | 3 | 0.6 | 0.4 | 0.6 | 0.2 | 0.2 | N0 | ||
| 8 | 2 | 3 | 0.6 | 0.4 | 0.2 | 0.2 | 0.2 | 0.2 | 0.2 | N0 |
Disclaimer/Publisher’s Note: The statements, opinions and data contained in all publications are solely those of the individual author(s) and contributor(s) and not of MDPI and/or the editor(s). MDPI and/or the editor(s) disclaim responsibility for any injury to people or property resulting from any ideas, methods, instructions or products referred to in the content. |
© 2024 by the authors. Licensee MDPI, Basel, Switzerland. This article is an open access article distributed under the terms and conditions of the Creative Commons Attribution (CC BY) license (https://creativecommons.org/licenses/by/4.0/).
Share and Cite
Šidlauskaitė, G.; Toleikienė, M.; Kadžiulienė, Ž. Comparison of Productivity and Quality of Three Perennial Ryegrass Cultivars and Their Mixture in Response to Nitrogen Fertilization and Grass-Legume Mixtures. Plants 2024, 13, 3130. https://doi.org/10.3390/plants13223130
Šidlauskaitė G, Toleikienė M, Kadžiulienė Ž. Comparison of Productivity and Quality of Three Perennial Ryegrass Cultivars and Their Mixture in Response to Nitrogen Fertilization and Grass-Legume Mixtures. Plants. 2024; 13(22):3130. https://doi.org/10.3390/plants13223130
Chicago/Turabian StyleŠidlauskaitė, Gintarė, Monika Toleikienė, and Žydrė Kadžiulienė. 2024. "Comparison of Productivity and Quality of Three Perennial Ryegrass Cultivars and Their Mixture in Response to Nitrogen Fertilization and Grass-Legume Mixtures" Plants 13, no. 22: 3130. https://doi.org/10.3390/plants13223130
APA StyleŠidlauskaitė, G., Toleikienė, M., & Kadžiulienė, Ž. (2024). Comparison of Productivity and Quality of Three Perennial Ryegrass Cultivars and Their Mixture in Response to Nitrogen Fertilization and Grass-Legume Mixtures. Plants, 13(22), 3130. https://doi.org/10.3390/plants13223130

