Monitoring the Dynamics of Aquatic Vegetation in a Typical Shallow Lake Using the Water Bloom Index Algorithm—A Case Study in Bao’ an Lake in the Middle Reaches of the Yangtze River
Abstract
1. Introduction
2. Materials and Methods
2.1. Study Area
2.2. Data Source
2.2.1. Water Sampling and Quality Assessment
2.2.2. Satellite Data
2.3. Research Methods
2.3.1. Classification Model Based on VBI Algorithm
2.3.2. Vegetation Sensitivity Index
2.3.3. Classification Steps
2.4. Data Analysis
3. Results
3.1. Accuracy Verification
3.2. Interannual Variation of Aquatic Vegetation Coverage in Bao’ an Lake from 2000 to 2023
3.3. Spatial Distribution of AV in Bao’ an Lake
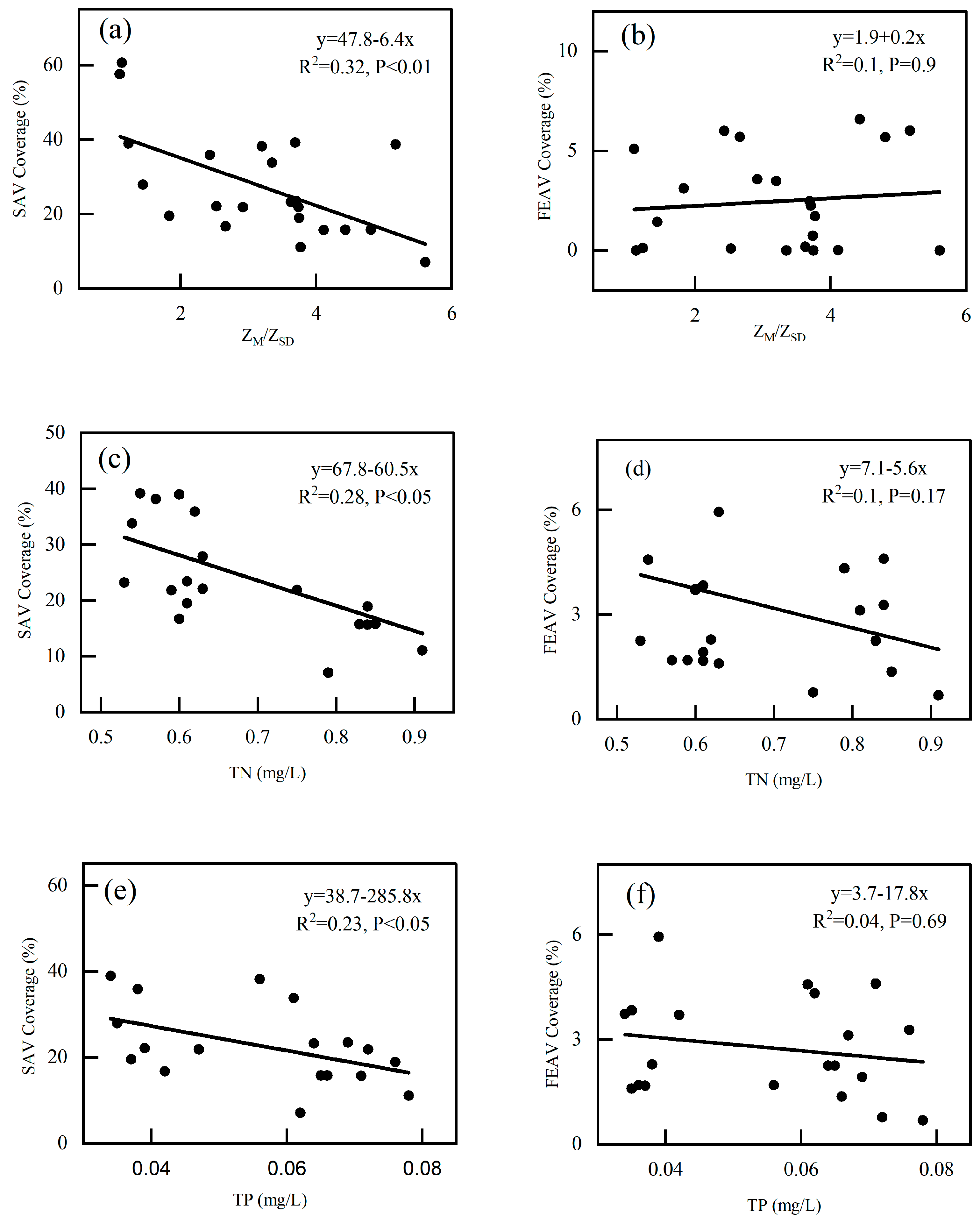
3.4. Relationship Between AV and Environmental Factors
4. Discussion
4.1. The Impact Factors of AV in Bao’ an Lake
4.1.1. Water Level and ZM/ZSD
4.1.2. Fishery Production
4.1.3. Sediment Nutrients
4.2. Implications for AV Restoration in Bao’ an Lake
5. Conclusions
- (1)
- It was found that the VBI algorithm can be applied to the classification of AV in Bao’ an Lake because the classification accuracies for FEAV, AB, and SAV can reach 93%.
- (2)
- The AV coverage in Bao’ an Lake in spring was dominated by SAV, and the overall trend declined. In summer, the AV coverage is dominated by FEAV, and summer SAV species were missing.
- (3)
- The coverage of SAV in Bao’ an Lake is negatively correlated with TP and TN and seems to be affected by the combined effect of water level and transparency. When the ratio ZM/ZSD exceeded 5.2, the SAV growth was inhibited.
- (4)
- SAV species richness experienced three phases: the species-rich first period, the period during which only one species existed, and finally all species disappeared. SAV disappeared under the influence of a high-water level and low transparency.
- (5)
- The sediments of Bao’ an Lake are mainly resuspended under the influence of fish disturbances and wind waves, which aggravate the eutrophication of the water body and affect aquatic plants. In the early stages of purse seine aquaculture in Bao’ an Lake, fish disturbance had the strongest effect on sediment resuspension. To date, the impact of aquaculture on Bao’ an Lake has been minimized.
Author Contributions
Funding
Data Availability Statement
Conflicts of Interest
References
- Kolada, A. The use of aquatic vegetation in lake assessment: Testing the sensitivity of macrophyte metrics to anthropogenic pressures and water quality. Hydrobiologia 2010, 656, 133–147. [Google Scholar] [CrossRef]
- Kreiling, R.M.; Richardson, W.B.; Cavanaugh, J.C.; Bartsch, L.A. Summer nitrate uptake and denitrification in an upper Mississippi River backwater lake: The role of rooted aquatic vegetation. Biogeochemistry 2011, 104, 309–324. [Google Scholar] [CrossRef]
- Zhang, Q.; Dong, X.; Yang, X.; Liu, E.; Lin, Q.; Cheng, L.; Liu, L.; Jeppesen, E. Aquatic macrophyte fluctuations since the 1900s in the third largest Chinese freshwater lake (Lake Taihu): Evidences, drivers and management implications. Cantena 2022, 213, 106153. [Google Scholar] [CrossRef]
- Brisson, J.; Chazarenc, F. Maximizing pollutant removal in constructed wetlands: Should we pay more attention to macrophyte species selection? Sci. Total Environ. 2009, 407, 3923–3930. [Google Scholar] [CrossRef] [PubMed]
- Tanner, C.C. Plants as ecosystem engineers in subsurface-flow treatment wetlands. Water Sci. Technol. 2001, 44, 9–17. [Google Scholar] [CrossRef]
- Zhao, D.; Lv, M.; Jiang, H.; Cai, Y.; Xu, D.; An, S. Spatio-Temporal Variability of Aquatic Vegetation in Taihu Lake over the Past 30 Years. PLoS ONE 2013, 8, e66365. [Google Scholar] [CrossRef]
- Luo, J.; Yang, J.; Duan, H.; Lu, L.; Sun, Z.; Xin, Y. Research progress of aquatic vegetation remote sensing in shallow lakes. Natl. Remote Sens. Bull. 2022, 26, 68–76. [Google Scholar] [CrossRef]
- Luo, J.; Li, X.; Ma, R.; Li, F.; Duan, H.; Hu, W.; Qin, B.; Huang, W. Applying remote sensing techniques to monitoring seasonal and interannual changes of aquatic vegetation in Taihu Lake, China. Ecol. Indic. 2016, 60, 503–513. [Google Scholar] [CrossRef]
- Li, Y.; Wang, C.; Li, B.; Du, J.; Huang, Y. Surveying the composition, coverage, and biomass of aquatic vegetation by unmanned aerial vehicle and sampling survey: Lake dapokou of lake Dianchi as an example. Ecol. Environ. 2020, 29, 1625–1633. [Google Scholar] [CrossRef]
- Fan, X.; Liu, Y.; Tao, J.; Wang, Y.; Zhou, H. MODIS detection of vegetation changes and investigation of causal factors in Poyang Lake basin, China for 2001–2015. Ecol. Indic. 2018, 91, 511–522. [Google Scholar] [CrossRef]
- Villa, P.; Pinardi, M.; Tóth, V.R.; Hunter, P.D.; Bolpagni, R. Remote sensing of macrophyte morphological traits: Implications for the management of shallow lakes. J. Limnol. 2017, 76, 109–126. [Google Scholar] [CrossRef]
- Tao, C.; Yin, Z.; Zhu, Q.; Li, H. Remote sensing image intelligent interpretation: From supervised learning to self-supervised learning. Acta Geod. Cartogr. Sin. 2021, 50, 1122–1134. [Google Scholar] [CrossRef]
- Dai, Y.; Feng, L.; Hou, X.; Tang, J. An automatic classification algorithm for submerged aquatic vegetation in shallow lakes using Landsat imagery. Remote Sens. Environ. 2021, 260, 112459. [Google Scholar] [CrossRef]
- Guo, K.; Zhang, X.; Liu, P.; Lei, G.; Lv, C.; Zeng, X.; Zeng, W. The response of submerged plants to different environmental factors and hydrologic regime in West Lake Dongting. J. Lake Sci. 2020, 32, 1736–1748. [Google Scholar] [CrossRef]
- Yu, Q.; Mickler, R.A.; Liu, Y.; Sun, L.; Zhou, L.; Zhang, B.; Deng, H.; Liang, L. Remote Sensing of Potamogeton crispus L. in Dongping Lake in the North China Plain Based on Vegetation Phenology. J. Indian Soc. Remote Sens. 2020, 48, 563–573. [Google Scholar] [CrossRef]
- Abbas, A.; Minallh, N.; Ahmad, N.; Abdur Rehman Abid, S.; Khan, M. K-Means and ISODATA Clustering Algorithms for Landcover Classification Using Remote Sensing. Sindh Univ. Res. J. Indian Soc. Remote Sens. 2016, 48, 315–318. [Google Scholar]
- Wang, S.; Hu, Q.; Wang, S.; Ai, M.; Zhao, P. Archaeological site segmentation of ancient city walls based on deep learning and LiDAR remote sensing. J. Cult. Herit. 2024, 66, 117–131. [Google Scholar] [CrossRef]
- Kong, J.; Zhang, Z.; Zhang, J. Classification and identification of plant species based on multi-source remote sensing data: Research progress and prospect. Biodivers. Sci. 2019, 27, 796. [Google Scholar]
- Luo, J.; Ni, G.; Zhang, Y.; Wang, K.; Shen, M.; Cao, Z.; Qi, T.; Xiao, Q.; Qiu, Y.; Cai, Y.; et al. A new technique for quantifying algal bloom, floating/emergent and submerged vegetation in eutrophic shallow lakes using Landsat imagery. Remote Sens. Environ. 2023, 287, 113480. [Google Scholar] [CrossRef]
- Cheng, C.; Chen, J.; Su, H.; Chen, J.; Rao, Q.; Yang, J.; Chou, Q.; Wang, L.; Deng, X.; Xie, P. Eutrophication decreases ecological resilience by reducing species diversity and altering functional traits of submerged macrophytes. Glob. Chang. Biol. 2023, 29, 5000–5013. [Google Scholar] [CrossRef]
- Liu, M.; Qiao, R.; Liu, J.; Yu, Y.; Zhang, M.; Li, Y.; Wang, H. Spatial and temporal distribution and environmental effects of Potamogeton crispus population in Bao’ an lake. Acta Hydrobiol. Sin. 2022, 46, 1730–1740. [Google Scholar] [CrossRef]
- Liu, M.; Li, Y.; Li, W.; Qu, X.; Shen, D.; Liu, J.; Qiao, R.; Zhao, Y.; Xiong, F.; Wang, H. Impacts of eutrophication and fishery production on thesuccession of submerged macrophytes in Bao’ an lake. Acta Hydrobiol. Sin. 2023, 47, 1769–1779. [Google Scholar] [CrossRef]
- Ma, K.; Cai, Q.; Xie, Z. GIS simulation on the distribution of submerged macrophytes in Baoan Lake. Acta Ecol. Sin. 2003, 23, 2217–2277. [Google Scholar]
- The State Environmental Protection Administration. Water and Wastewater Monitoring and Analysis Method, 4th ed.; China Environmental Science Press: Beijing, China, 2002. [Google Scholar]
- Hu, C. A novel ocean color index to detect floating algae in the global oceans. Remote Sens. Environ. 2009, 113, 2118–2129. [Google Scholar] [CrossRef]
- Gao, B.-C. NDWI: A normalized difference water index for remote sensing of vegetation liquid water from space. Remote Sens. Environ. 1996, 58, 257–266. [Google Scholar] [CrossRef]
- Hu, Y.; Zhang, Y.; Yang, B.; Zhang, Y. Short-term dynamics and driving factors of total suspended matter concentration in Lake Taihu using high frequent geostationary ocean color imager data. J. Lake Sci. 2018, 30, 992–1003. [Google Scholar] [CrossRef]
- Liu, Z.; Ye, X.; Wang, S. Ecosystem stability and its relationship with biodiversit. Chin. J. Plant Ecol. 2021, 45, 1127–1139. [Google Scholar] [CrossRef]
- Wilcox, D.; Meeker, J.; Hudson, P.; Armitage, B.; Black, M.; Uzarski, D. Hydrologic variability and the application of Index of Biotic Integrity metrics to wetlands: A great lakes evaluation. Wetlands 2002, 22, 588–615. [Google Scholar] [CrossRef]
- O’Farrell, I.; Izaguirre, I.; Chaparro, G.; Unrein, F.; Sinistro, R.; Pizarro, H.; Rodríguez, P.; de Tezanos Pinto, P.; Lombardo, R.; Tell, G. Water level as the main driver of the alternation between a free-floating plant and a phytoplankton dominated state: A long-term study in a floodplain lake. Aquat. Sci. 2011, 73, 275–287. [Google Scholar] [CrossRef]
- Yuan, S.; Yang, Z.; Liu, X.; Wang, H. Water level requirements of a Carex hygrophyte in Yangtze floodplain lakes. Ecol. Eng. 2019, 129, 29–37. [Google Scholar] [CrossRef]
- Chen, Z.; Lei, Z.; Zhou, J.; Wen, F.; Chen, J. Monthly quantitative and biomass dynamics of six submerged macrophytes populations in Liangzi lake. Acta Hydrobiol. Sin. 2000, 24, 582–588. [Google Scholar] [CrossRef]
- Xie, P.; Chen, J.; Liu, J. A regime shift from cyanobacterial steady state to non-cyanobacterial one by using nontraditional biomanipulation—A whole lake testing experiment in Lake Donghu, Wuhan. J. Lake Sci. 2023, 35, 1–13. [Google Scholar] [CrossRef]
- Huang, W.; Chen, K.; Bai, X. Effects of substrate nitrogen and phosphorus contents on Potamogeton crispus growth and reproduction. J. Appl. Ecol. 2010, 21, 2865–2870. [Google Scholar]
- Liu, J. Advanced Hydrobiology; Science Press: Beijing, China, 1999; pp. 237–238. [Google Scholar]
- Liu, J.; Li, Y.; Shen, D.; Ma, S.; Qiao, R.; Mao, H. Evaluation of pollution statues and the influencing factors in sediment in Bao’ an Lake, Hubei Province. J. Dalian Ocean Univ. 2023, 38, 680–688. [Google Scholar] [CrossRef]
- Wang, H.J.; Wang, H.Z.; Liang, X.M.; Wu, S.K. Total phosphorus thresholds for regime shifts are nearly equal in subtropical and temperate shallow lakes with moderate depths and areas. Freshw. Biol. 2014, 59, 1659–1671. [Google Scholar] [CrossRef]








| FEAV | SAV | AB | OW | |
|---|---|---|---|---|
| FEAV | 10 | 0 | 0 | 0 |
| SAV | 88 | 775 | 17 | 0 |
| AB | 0 | 0 | 160 | 0 |
| OW | 11 | 88 | 6 | 2036 |
| Kappa Index | 0.87 | |||
| Overall accuracy | 93.42% | |||
Disclaimer/Publisher’s Note: The statements, opinions and data contained in all publications are solely those of the individual author(s) and contributor(s) and not of MDPI and/or the editor(s). MDPI and/or the editor(s) disclaim responsibility for any injury to people or property resulting from any ideas, methods, instructions or products referred to in the content. |
© 2024 by the authors. Licensee MDPI, Basel, Switzerland. This article is an open access article distributed under the terms and conditions of the Creative Commons Attribution (CC BY) license (https://creativecommons.org/licenses/by/4.0/).
Share and Cite
Song, S.; Wu, X.; Hou, J.; Peng, S.; Lin, X.; Ge, X.; Yan, D.; Lin, G. Monitoring the Dynamics of Aquatic Vegetation in a Typical Shallow Lake Using the Water Bloom Index Algorithm—A Case Study in Bao’ an Lake in the Middle Reaches of the Yangtze River. Plants 2024, 13, 3090. https://doi.org/10.3390/plants13213090
Song S, Wu X, Hou J, Peng S, Lin X, Ge X, Yan D, Lin G. Monitoring the Dynamics of Aquatic Vegetation in a Typical Shallow Lake Using the Water Bloom Index Algorithm—A Case Study in Bao’ an Lake in the Middle Reaches of the Yangtze River. Plants. 2024; 13(21):3090. https://doi.org/10.3390/plants13213090
Chicago/Turabian StyleSong, Shixing, Xiaodong Wu, Jianjun Hou, Shuang Peng, Xiaowen Lin, Xuguang Ge, Dongming Yan, and Guiying Lin. 2024. "Monitoring the Dynamics of Aquatic Vegetation in a Typical Shallow Lake Using the Water Bloom Index Algorithm—A Case Study in Bao’ an Lake in the Middle Reaches of the Yangtze River" Plants 13, no. 21: 3090. https://doi.org/10.3390/plants13213090
APA StyleSong, S., Wu, X., Hou, J., Peng, S., Lin, X., Ge, X., Yan, D., & Lin, G. (2024). Monitoring the Dynamics of Aquatic Vegetation in a Typical Shallow Lake Using the Water Bloom Index Algorithm—A Case Study in Bao’ an Lake in the Middle Reaches of the Yangtze River. Plants, 13(21), 3090. https://doi.org/10.3390/plants13213090

