Extracellular DNA as a Strategy to Manage Vascular Wilt Caused by Fusarium oxysporum in Tomato (Solanum lycopersicum L.) Based on Its Action as a Damage-Associated Molecular Pattern (DAMP) or Pathogen-Associated Molecular Pattern (PAMP)
Abstract
1. Introduction
2. Results
2.1. F. oxysporum Inhibition Assay in Soil Using Self-eDNA
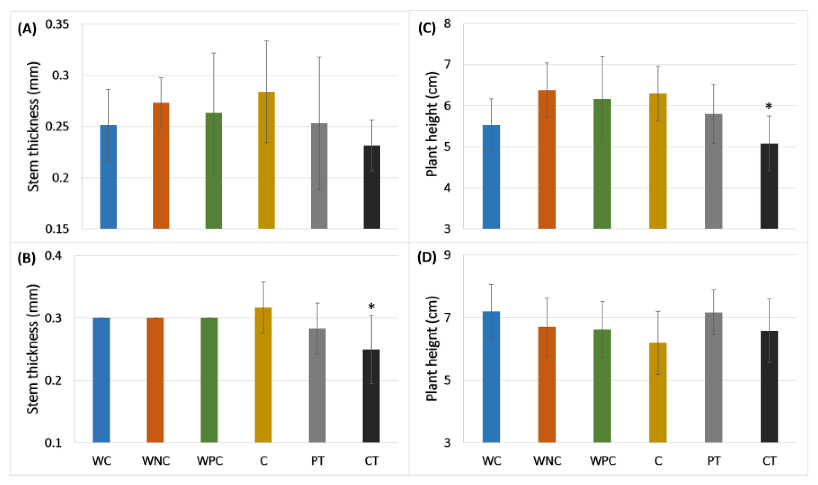
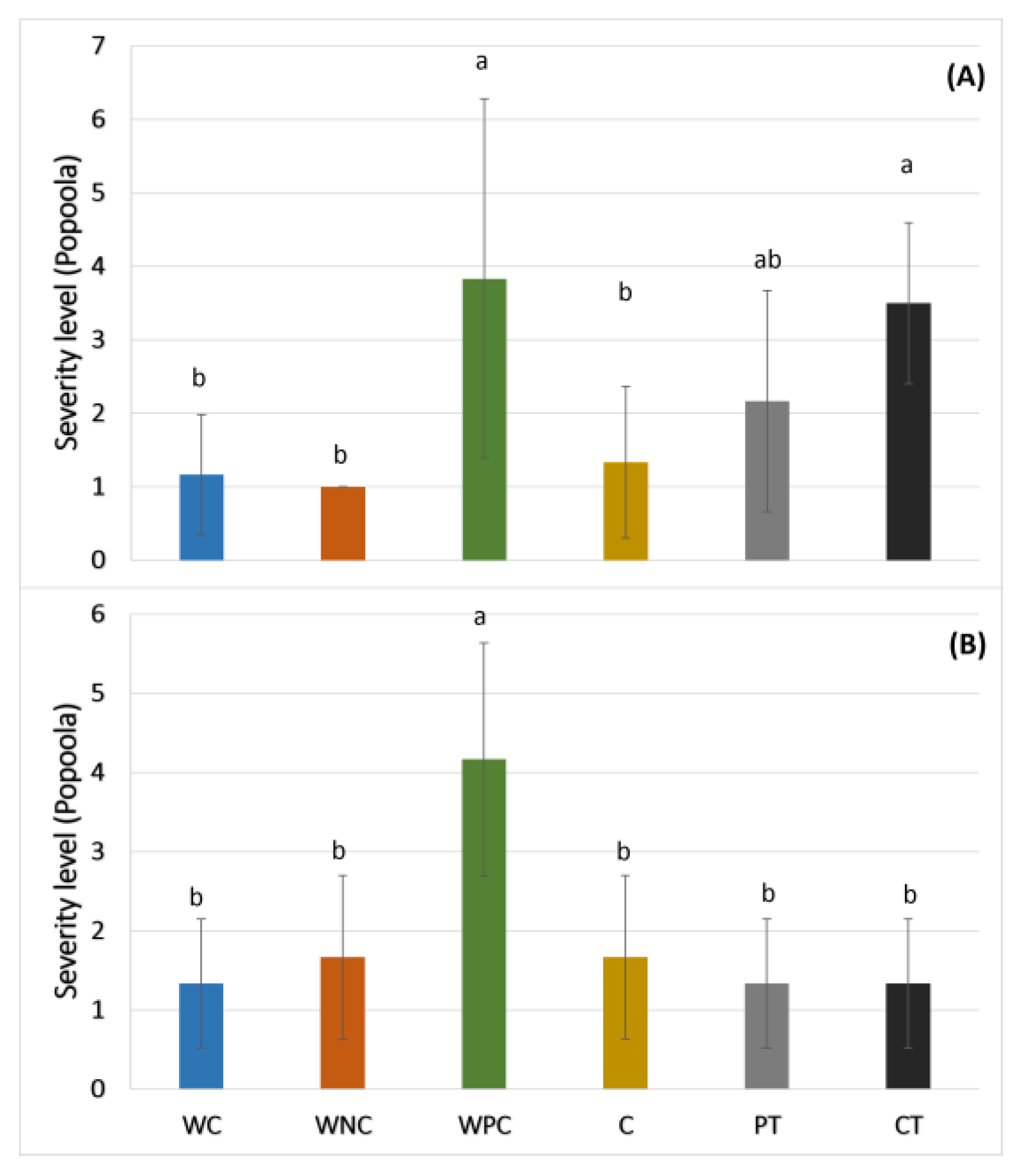
2.2. Morphological Changes and Vascular Wilt Evaluation in Tomato Treated with eDNA of F. oxysporum and S. lycopersicum

2.3. Biochemical and Molecular Changes in Tomato Treated with eDNA of F. oxysporum and S. lycopersicum
3. Discussion
4. Materials and Methods
4.1. Biological Material
4.2. DNA Extraction
4.3. Biological Assays
4.3.1. Fungus Inhibition Assay in Soil (Self-eDNA as a DAMP)
4.3.2. Disease Control with F.o eDNA (Self-eDNA as Pathogen DAMP and Plant PAMP) and with S.l eDNA (Self-eDNA as Plant DAMP)
4.4. Growth Variables
4.5. Severity Level Assessment
4.6. Total Phenolics and Flavonoids Determination
4.7. Gene Expression Analysis
4.8. Statistical Analysis
5. Conclusions
Author Contributions
Funding
Data Availability Statement
Acknowledgments
Conflicts of Interest
References
- Bawa, I. Management strategies of fusarium wilt disease of tomato incited by Fusarium oxysporum f. sp. lycopersici (Sacc.): A review. Int. J. Adv. Acad. Res.|Sci. Technol. Eng. 2016, 2, 2488–9849. [Google Scholar]
- Retana, K.; Ramírez-Coché, J.A.; Castro, O.; Blanco-Meneses, M. Caracterización morfológica y molecular de Fusarium oxysporum F. sp. Apii asociado a la marchitez del apio en Costa Rica. Agron. Costarric. 2018, 42, 115–126. [Google Scholar] [CrossRef]
- Srinivas, C.; Devi, D.N.; Murthy, K.N.; Mohan, C.D.; Lakshmeesha, T.R.; Singh, B.; Kalagatur, N.K.; Niranjana, S.R.; Hashem, A.; Alqarawi, A.A.; et al. Fusarium oxysporum f. sp. lycopersici causal agent of vascular wilt disease of tomato: Biology to diversity–A review. Saudi. J. Biol. Sci. 2019, 26, 1315–1324. [Google Scholar] [CrossRef] [PubMed]
- Carmona, S.L.; Burbano-David, D.; Gómez, M.R.; Lopez, W.; Ceballos, N.; Castaño-Zapata, J.; Simbaqueba, J.; Soto-Suárez, M. Characterization of pathogenic and nonpathogenic Fusarium oxysporum isolates associated with commercial tomato crops in the Andean Region of Colombia. Pathogens 2020, 9, 70. [Google Scholar] [CrossRef] [PubMed]
- Olivain, C.; Alabouvette, C. Process of tomato root colonization by a pathogenic strain of Fusarium oxysporum f. sp. lycopersici in comparison with a non-pathogenic strain. New Phytol. 1999, 141, 497–510. [Google Scholar] [CrossRef]
- Ajilogba, C.F.; Babalola, O.O. Integrated management strategies for tomato fusarium wilt. Biocontrol Sci. 2013, 18, 117–127. [Google Scholar] [CrossRef]
- Ascencio-álvarez, A.; López-Benítez, A.; Borrego-Escalante, F.; Rodríguez-Herrera, S.; Flores-Olivas, A.; Jiménez-Díaz, F.; Gámez-Vázquez, A.J. Marchitez Vascular del Tomate: I. Presencia de Razas de Fusarium oxysporum f. sp. lycopersici (Sacc.) Snyder y Hansen en Culiacán, Sinaloa, México. Rev. Mex. Fitopatol. 2008, 26, 114–120. [Google Scholar]
- Nirmaladevi, D.; Venkataramana, M.; Srivastava, R.K.; Uppalapati, S.R.; Gupta, V.K.; Yli-Mattila, T.; Tsui, K.M.C.; Srinivas, C.; Niranjana, S.R.; Chandra, N.S. Molecular phylogeny, pathogenicity and toxigenicity of Fusarium oxysporum f. sp. lycopersici. Sci. Rep. 2016, 6, 21367. [Google Scholar] [CrossRef]
- Amini, J.; Dzhalilov, F.S. The effects of fungicides on Fusarium oxysporum f. sp. lycopersici associated with fusarium wilt of tomato. J. Plant Prot. Res. 2010, 50, 172–178. [Google Scholar] [CrossRef]
- Song, W.; Zhou, L.; Yang, C.; Cao, X.; Zhang, L.; Liu, X. Tomato Fusarium wilt and its chemical control strategies in a hydroponic system. Crop Prot. 2004, 23, 243–247. [Google Scholar] [CrossRef]
- García-Mier, L.; Guevara-González, R.G.; Mondragón-Olguín, V.M.; Verduzco-Cuellar, B.d.R.; Torres-Pacheco, I. Agriculture and bioactives: Achieving both crop yield and phytochemicals. Int. J. Mol. Sci. 2013, 14, 4203–4222. [Google Scholar] [CrossRef] [PubMed]
- Vargas-Hernandez, M.; Macias-Bobadilla, I.; Guevara-Gonzalez, R.G.; Romero-Gomez, S.d.J.; Rico-Garcia, E.; Ocampo-Velazquez, R.V.; Alvarez-Arquieta, L.d.L.; Torres-Pacheco, I. Plant hormesis management with biostimulants of biotic origin in agriculture. Front. Plant Sci. 2017, 8, 1762. [Google Scholar] [CrossRef] [PubMed]
- Vázquez-Hernández, M.C.; Parola-Contreras, I.; Montoya-Gómez, L.M.; Torres-Pacheco, I.; Schwarz, D.; Guevara-González, R.G. Eustressors: Chemical and physical stress factors used to enhance vegetables production. Sci. Hortic. 2019, 250, 223–229. [Google Scholar] [CrossRef]
- Godínez-Mendoza, P.L.; Rico-Chávez, A.K.; Ferrusquía-Jimenez, N.I.; Carbajal-Valenzuela, I.A.; Villagómez-Aranda, A.L.; Torres-Pacheco, I.; Guevara-González, R.G. Science of the Total Environment Plant hormesis: Revising of the concepts of biostimulation, elicitation and their application in a sustainable agricultural production. Sci. Total Environ. 2023, 894, 164883. [Google Scholar] [CrossRef] [PubMed]
- Mouden, S.; Bac-Molenaar, J.A.; Kappers, I.F.; Beerling, E.A.M.; Leiss, K.A. Elicitor Application in Strawberry Results in Long-Term Increase of Plant Resilience Without Yield Loss. Front. Plant Sci. 2021, 12, 695908. [Google Scholar] [CrossRef]
- García Enciso, E.L.; Robledo Olivo, A.; Benavides Mendoza, A.; Solís Gaona, S.; González Morales, S. Efecto de elicitores de origen natural sobre plantas de tomate sometidas a estrés biótico. Rev. Mex. Cienc. Agrícolas 2018, 20, 4211–4221. [Google Scholar] [CrossRef]
- Patel, A.; Kumar, A.; Sheoran, N.; Kumar, M.; Prasad, K. Antifungal and defense elicitor activities of pyrazines identified in endophytic Pseudomonas putida BP25 against fungal blast incited by Magnaporthe oryzae in rice. J. Plant Dis. Prot. 2020, 128, 261–272. [Google Scholar] [CrossRef]
- Parada, R.Y.; Egusa, M.; Aklog, Y.F.; Miura, C.; Ifuku, S.; Kaminaka, H. Optimization of nano fi brillation degree of chitin for induction of plant disease resistance: Elicitor activity and systemic resistance induced by chitin nano fiber in cabbage and strawberry. Int. J. Biol. Macromol. 2018, 118, 2185–2192. [Google Scholar] [CrossRef]
- Mazzoleni, S.; Cartenì, F.; Bonanomi, G.; Senatore, M.; Termolino, P.; Giannino, F.; Incerti, G.; Rietkerk, M.; Lanzotti, V.; Chiusano, M.L. Inhibitory effects of extracellular self-DNA: A general biological process? New Phytol. 2015, 206, 127–132. [Google Scholar] [CrossRef]
- Ferrusquía-Jiménez, N.I.; Chandrakasan, G.; Torres-Pacheco, I.; Rico-Garcia, E.; Feregrino-Perez, A.A.; Guevara-González, R.G. Extracellular DNA: A Relevant Plant Damage-Associated Molecular Pattern (DAMP) for Crop Protection Against Pests—A Review. J. Plant Growth Regul. 2020, 40, 451–463. [Google Scholar] [CrossRef]
- Chiusano, M.L.; Incerti, G.; Colantuono, C.; Termolino, P.; Palomba, E.; Monticolo, F.; Benvenuto, G.; Foscari, A.; Esposito, A.; Marti, L.; et al. Arabidopsis thaliana Response to Extracellular DNA: Self Versus Nonself Exposure. Plants 2021, 10, 1744. [Google Scholar] [CrossRef] [PubMed]
- Barbero, F.; Guglielmotto, M.; Capuzzo, A.; Maffei, M.E. Extracellular self-DNA (esDNA), but not heterologous plant or insect DNA (etDNA), induces plasma membrane depolarization and calcium signaling in lima bean (Phaseolus lunatus) and maize (Zea mays). Int. J. Mol. Sci. 2016, 17, 1659. [Google Scholar] [CrossRef] [PubMed]
- Duran-Flores, D.; Heil, M. Extracellular self-DNA as a damage-associated molecular pattern (DAMP) that triggers self-specific immunity induction in plants. Brain Behav. Immun. 2018, 72, 78–88. [Google Scholar] [CrossRef] [PubMed]
- Barbero, F.; Guglielmotto, M.; Islam, M.; Maffei, M.E. Extracellular Fragmented Self-DNA Is Involved in Plant Responses to Biotic Stress. Front. Plant Sci. 2021, 12, 686121. [Google Scholar] [CrossRef] [PubMed]
- Rassizadeh, L.; Cervero, R.; Flors, V.; Gamir, J. Plant Science Extracellular DNA as an elicitor of broad-spectrum resistance in Arabidopsis thaliana. Plant Sci 2021, 312, 111036. [Google Scholar] [CrossRef]
- Carbajal-Valenzuela, I.A.; Guzmán-Cruz, R.; González-Chavira, M.M.; Medina-Ramos, G.; Serrano-Jamaica, L.M.; Torres-Pacheco, I.; Vázquez, L.; Feregrino-Pérez, A.A.; Rico-García, E.; Guevara-González, R.G. Response of Plant Immunity Markers to Early and Late Application of Extracellular DNA from Different Sources in Tomato (Solanum lycopersicum). Agriculture 2022, 12, 1587. [Google Scholar] [CrossRef]
- Yakushiji, S.; Ishiga, Y.; Inagaki, Y.; Toyoda, K.; Shiraishi, T.; Ichinose, Y. Bacterial DNA activates immunity in Arabidopsis thaliana. J. Gen. Plant Pathol. 2009, 75, 227–234. [Google Scholar] [CrossRef]
- Serrano-Jamaica, L.M.; Villordo-Pineda, E.; González-Chavira, M.M.; Guevara-González, R.G.; Medina-Ramos, G. Effect of Fragmented DNA from Plant Pathogens on the Protection Against Wilt and Root Rot of Capsicum annuum L. Plants Front. Plant Sci. 2021, 11, 581891. [Google Scholar] [CrossRef]
- Ferrusquía-Jiménez, N.I.; Serrano-Jamaica, L.M.; Martínez-Camacho, J.E.; de la, O.D.S.; Villagomez-Aranda, A.L.; González-Chavira, M.M.; Guerrero-Aguilar, B.Z.; Torres-Pacheco, I.; Feregrino-Pérez, A.A.; Medina-Ramos, G.; et al. Extracellular self-DNA plays a role as a damage-associated molecular pattern (DAMP) delaying zoospore germination rate and inducing stress-related responses in Phytophthora capsici. Plant Pathol. 2022, 71, 1066–1075. [Google Scholar] [CrossRef]
- Vega-Muñoz, I.; Feregrino-Pérez, A.A.; Torres-Pacheco, I.; Guevara-González, R.G. Exogenous fragmented DNA acts as a damage-Associated molecular pattern (DAMP) inducing changes in CpG DNA methylation and defence-related responses in Lactuca sativa. Funct. Plant Biol. 2018, 45, 1065–1072. [Google Scholar] [CrossRef]
- Meitha, K.; Esyanti, R.R.; Hanisia, R.H. Green pesticide: Tapping to the promising roles of plant secreted small RNAs and responses towards extracellular DNA. Non-Coding RNA Res. 2021, 6, 42–50. [Google Scholar] [CrossRef] [PubMed]
- Kurian, S.M.; Di Pietro, A.; Read, N.D. Live-cell imaging of conidial anastomosis tube fusion during colony initiation in fusarium oxysporum. PLoS ONE 2018, 13, e0195634. [Google Scholar] [CrossRef] [PubMed]
- Popoola, A.R.; Durosomo, A.H.; Afolabi, C.G.; Idehen, E.O. Regeneration of somaclonal variants of tomato (Solanum lycopersicum L.) for resistance to Fusarium wilt. J. Crop Improv. 2015, 29, 636–649. [Google Scholar] [CrossRef]
- Khazaei, Z.; Estaji, A. Plants under drought stress Effect of foliar application of ascorbic acid on sweet pepper (Capsicum annuum) plants under drought stress. Acta Physiol. Plant 2021, 42, 118. [Google Scholar] [CrossRef]
- Cota-Ungson, D.; González-García, Y.; Cadenas-Pliego, G.; Alpuche-Solís, Á.G.; Benavides-Mendoza, A.; Juárez-Maldonado, A. Graphene–Cu Nanocomposites Induce Tolerance Against Fusarium oxysporum, Increase Antioxidant Activity, and Decrease Stress in Tomato Plants. Plants 2023, 12, 2270. [Google Scholar] [CrossRef]
- Raja, M.; Pandian Prakasa, T.R.; Sharma, M.; Jambhulkar, P.; Sharma, P. Study of induced systemic resistance in tomato against Fusarium oxysporum f. sp. lycopersici causing wilt of tomato. Indian Phytopath. 2016, 64, 539–542. [Google Scholar]
- Zhou, X.; Gao, H.; Zhang, X.; Rahman, M.K.U.; Mazzoleni, S.; Du, M.; Wu, F. Plant extracellular self-DNA inhibits growth and induces immunity via the jasmonate signaling pathway. Plant Physiol 2023, 192, 2475–2491. [Google Scholar] [CrossRef] [PubMed]
- Mercado-meza, D.Y.; Carbajal-valenzuela, I.; Esquivel, K.; Avila-quezada, G.D.; Guevara-Gonzalez, R.G. Green silver nanoparticles display protection against Clavibacter michiganensis subsp. michiganensis in tomato plants (Solanum lycopersicum L.). Plant Stress. 2023, 10, 100256. [Google Scholar] [CrossRef]
- Heil, M. Damaged-self recognition in plant herbivore defence. Trends Plant Sci. 2009, 14, 356–363. [Google Scholar] [CrossRef]
- Heil, M.; Land, W.G. Danger signals—Damaged-self recognition across the tree of life. Front. Plant Sci. 2014, 5, 1–16. [Google Scholar] [CrossRef]
- Hou, S.; Liu, Z.; Shen, H.; Wu, D. Damage-associated molecular pattern-triggered immunity in plants. Front. Plant Sci. 2019, 10, 646. [Google Scholar] [CrossRef] [PubMed]
- Carbajal-valenzuela, I.A.; Medina-ramos, G.; Caicedo-lopez, L.H.; Torres-pacheco, I. Extracellular DNA: Insight of a Signal Molecule in crop protection. Biology 2021, 10, 1022. [Google Scholar] [CrossRef] [PubMed]
- Carini, P.; Marsden, P.; Leff, J.; Morgan, E.; Strickland, M.; Fierer, N. Relic DNA is abundant in soil and obscures estimates of soil microbial diversity. Nat. Microbiol. 2016, 5, 16242. [Google Scholar] [CrossRef] [PubMed]
- Nagler, M.; Insam, H.; Pietramellara, G.; Ascher-Jenull, J. Extracellular DNA in natural environments: Features, relevance and applications. Appl. Microbiol. Biotechnol. 2018, 102, 6343–6356. [Google Scholar] [CrossRef]
- Pandey, A.K.; Sain, S.K.; Singh, P. A perspective on integrated disease management in agriculture. Bio Bull. 2016, 2, 13–29. [Google Scholar]
- Kaur, S.; Kumar, M.; Manoj, S. How do plants defend themselves against pathogens-Biochemical mechanisms and genetic interventions. Physiol. Mol. Biol. Plants 2022, 28, 485–504. [Google Scholar] [CrossRef]
- Quintana-Rodriguez, E.; Duran-Flores, D.; Heil, M.; Camacho-Coronel, X. Damage-associated molecular patterns (DAMPs) as future plant vaccines that protect crops from pests. Sci. Hortic. 2018, 237, 207–220. [Google Scholar] [CrossRef]
- Philomena Joy, L.A.; Murugan, S.; Emilin, R.R. Microbial Disease Management in Agriculture: Current status and Future Prospects. Biocatal Agric. Biotechnol. 2020, 23, 101468. [Google Scholar] [CrossRef]
- Zhang, S.; Zhao, B.; Liu, X.; Li, J.; Gao, Z.; Huang, X. DNA sequencing and UP-PCR Characterization of Fusarium oxysporum Isolates from Three Cucurbit Species. Plant Pathol. J. 2013, 12, 78–84. [Google Scholar] [CrossRef]
- Dellaporta, S.L.; Wood, J.; Hicks, J.B. A plant DNA minipreparation: Version II. Plant Mol. Biol. Rep. 1983, 1, 19–21. [Google Scholar] [CrossRef]
- Nelson, D.W.; Sommers, L.E. Total carbon, organic carbon and organic matter. In Methods of Soil Analysis: Part 2. Chemical and Microbiological Properties; Page, A.L., Ed.; ASA Monograph Number 9; ASA: London, UK, 1982; pp. 539–579. [Google Scholar]
- Figueroa-Rivera, M.G.; Rodríguez-Guerra, R.; Guerrero-Aguilar, B.Z.; González-Chavira, M.M.; Pons-Hernández, J.L. Characterization of Fusarium species associated with rotting of corn root in Guanajuato, México. Rev. Mex. Fitopatol. 2010, 28, 124–134. [Google Scholar]
- Barbetti, M.J.; Sivasithamparam, K. Effects of Soil Pasteurization on Root Rot, Seedling Survival and Plant Dry Weight of Subterranean Clover Inoculated with Six Fungal Root Pathogens. Aust. J. Agric. Res. 1987, 38, 317–327. [Google Scholar] [CrossRef]
- Mcgonigle, T.P.; Miller, M.H. Development of fungi below ground in association with plants growing in disturbed and undisturbed soils. Soil Biol. 1996, 28, 263–269. [Google Scholar] [CrossRef]
- Kupina, S.; Fields, C.; Roman, M.C.; Brunelle, S.L. Determination of Total Phenolic Content Using the Folin-C Assay: Single-Laboratory Validation, First Action 2017. 13. J. Aoac. Int. 2019, 102, 320–321. [Google Scholar] [CrossRef]
- Ainsworth, E.; Gillespie, K. Estimation of total phenolic content and other oxidation substrates in plant tissues using Folin–Ciocalteu reagent. Nat. Protoc. 2007, 2, 875–877. [Google Scholar] [CrossRef]
- Dib, M.E.A.; Allali, H.; Bendiabdellah, A.; Meliani, N. Antimicrobial activity and phytochemical screening of Arbutus unedo L. J. Saudi Chem. Soc. 2013, 17, 381–385. [Google Scholar] [CrossRef]





| Treatment | Description and Order of Application |
|---|---|
| Control | 500 mg soil + 100 µL of fungus spores + 50 µL distilled water |
| CTS-50 | 500 mg soil + 100 µL of fungus spores + 50 µL eDNA at 50 ng/µL |
| CTS-500 | 500 mg soil + 100 µL of fungus spores + 50 µL eDNA at 500 ng/µL |
| PTS-500 | 500 mg soil + 50 µL eDNA at 500 ng/µL + 100 µL of fungus spores |
| Groups | Wounded Root | Description and Order of Application |
|---|---|---|
| Wounded control (WC) | X | 20 g soil + 6 mL sterile distilled water |
| Control (C) | - | |
| Wounded positive control (WPC) | X | 20 g soil + 6 mL of fungus spores |
| Wounded negative control (WNC) | X | 20 g soil + 2 mL eDNA at 500 ng/µL + 4 mL sterile distilled water |
| Preventive treatment (PT) | X | 20 g soil + 2 mL eDNA at 500 ng/µL + 4 mL fungus spores |
| Corrective treatment (CT) | X | 20 g soil + 4 mL fungus spores and 2 days later 2 mL eDNA at 500 ng/µL |
Disclaimer/Publisher’s Note: The statements, opinions and data contained in all publications are solely those of the individual author(s) and contributor(s) and not of MDPI and/or the editor(s). MDPI and/or the editor(s) disclaim responsibility for any injury to people or property resulting from any ideas, methods, instructions or products referred to in the content. |
© 2024 by the authors. Licensee MDPI, Basel, Switzerland. This article is an open access article distributed under the terms and conditions of the Creative Commons Attribution (CC BY) license (https://creativecommons.org/licenses/by/4.0/).
Share and Cite
Jiménez-Hernández, A.; Carbajal-Valenzuela, I.A.; Torres-Pacheco, I.; Rico-García, E.; Ocampo-Velazquez, R.V.; Feregrino-Pérez, A.A.; Guevara-Gonzalez, R.G. Extracellular DNA as a Strategy to Manage Vascular Wilt Caused by Fusarium oxysporum in Tomato (Solanum lycopersicum L.) Based on Its Action as a Damage-Associated Molecular Pattern (DAMP) or Pathogen-Associated Molecular Pattern (PAMP). Plants 2024, 13, 2999. https://doi.org/10.3390/plants13212999
Jiménez-Hernández A, Carbajal-Valenzuela IA, Torres-Pacheco I, Rico-García E, Ocampo-Velazquez RV, Feregrino-Pérez AA, Guevara-Gonzalez RG. Extracellular DNA as a Strategy to Manage Vascular Wilt Caused by Fusarium oxysporum in Tomato (Solanum lycopersicum L.) Based on Its Action as a Damage-Associated Molecular Pattern (DAMP) or Pathogen-Associated Molecular Pattern (PAMP). Plants. 2024; 13(21):2999. https://doi.org/10.3390/plants13212999
Chicago/Turabian StyleJiménez-Hernández, Alejandra, Ireri Alejandra Carbajal-Valenzuela, Irineo Torres-Pacheco, Enrique Rico-García, Rosalía V. Ocampo-Velazquez, Ana Angélica Feregrino-Pérez, and Ramón Gerardo Guevara-Gonzalez. 2024. "Extracellular DNA as a Strategy to Manage Vascular Wilt Caused by Fusarium oxysporum in Tomato (Solanum lycopersicum L.) Based on Its Action as a Damage-Associated Molecular Pattern (DAMP) or Pathogen-Associated Molecular Pattern (PAMP)" Plants 13, no. 21: 2999. https://doi.org/10.3390/plants13212999
APA StyleJiménez-Hernández, A., Carbajal-Valenzuela, I. A., Torres-Pacheco, I., Rico-García, E., Ocampo-Velazquez, R. V., Feregrino-Pérez, A. A., & Guevara-Gonzalez, R. G. (2024). Extracellular DNA as a Strategy to Manage Vascular Wilt Caused by Fusarium oxysporum in Tomato (Solanum lycopersicum L.) Based on Its Action as a Damage-Associated Molecular Pattern (DAMP) or Pathogen-Associated Molecular Pattern (PAMP). Plants, 13(21), 2999. https://doi.org/10.3390/plants13212999

