Analysis of the Mechanisms Underlying the Specificity of the Variation Potential Induced by Different Stimuli
Abstract
1. Introduction
2. Results
2.1. Parameters of Variation Potentials Induced by Different Local Stimuli
2.2. The Role of the Hydraulic Wave in the Propagation of Variation Potentials Caused by Different Local Stimuli
2.3. Systemic Changes in Stomatal Conductance Induced by Different Local Stimuli
2.4. Parameters of Variation Potential and Hydraulic Signal in a Detached Wheat Leaf
2.5. Contribution of Reactive Oxygen Species to the Propagation of Variation Potentials Caused by Different Local Stimuli
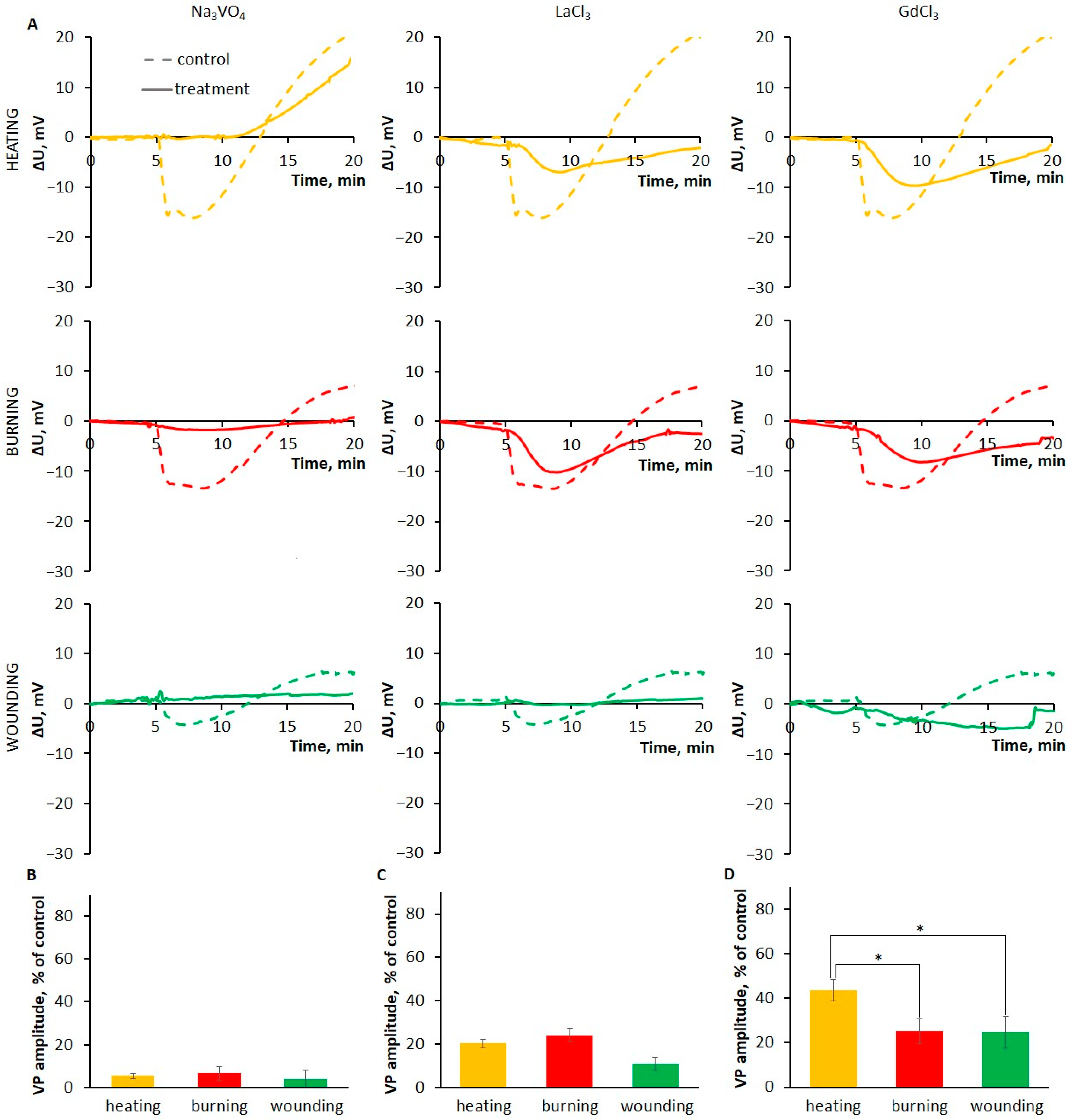
2.6. Analysis of the Features of the Mechanisms of Generation of Variation Potentials Induced by Different Local Stimuli
3. Discussion
3.1. The Role of the Hydraulic Signal in the Formation of the Specificity of Variation Potentials Induced by Different Local Stimuli
3.2. The Role of the Chemical Signal in the Formation of the Specificity of Variation Potentials Induced by Different Local Stimuli
3.3. The Features of Generation of Variation Potentials Induced by Different Stimuli
4. Materials and Methods
4.1. Plant Material and Growth Conditions
4.2. Local Stimulation
4.3. Extracellular Measurements of Electrical Signals
4.4. Inhibitor Studies
4.5. Monitoring of Leaf Thickness
4.6. Measurements of Leaf Stomatal Conductance
4.7. Statistical Analysis
5. Conclusions
Supplementary Materials
Author Contributions
Funding
Data Availability Statement
Conflicts of Interest
References
- Sukhov, V.; Sukhova, E.; Vodeneev, V. Long-Distance Electrical Signals as a Link between the Local Action of Stressors and the Systemic Physiological Responses in Higher Plants. Prog. Biophys. Mol. Biol. 2019, 146, 63–84. [Google Scholar] [CrossRef] [PubMed]
- Mudrilov, M.; Ladeynova, M.; Grinberg, M.; Balalaeva, I.; Vodeneev, V. Electrical Signaling of Plants under Abiotic Stressors: Transmission of Stimulus-Specific Information. Int. J. Mol. Sci. 2021, 22, 10715. [Google Scholar] [CrossRef] [PubMed]
- Yan, H.; Fu, K.; Li, J.; Li, M.; Li, S.; Dai, Z.; Jin, X. Photosynthesis, Chlorophyll Fluorescence, and Hormone Regulation in Tomato Exposed to Mechanical Wounding. Plants 2024, 13, 2594. [Google Scholar] [CrossRef] [PubMed]
- Krausko, M.; Perutka, Z.; Šebela, M.; Šamajová, O.; Šamaj, J.; Novák, O.; Pavlovič, A. The Role of Electrical and Jasmonate Signalling in the Recognition of Captured Prey in the Carnivorous Sundew Plant Drosera capensis. New Phytol. 2017, 213, 1818–1835. [Google Scholar] [CrossRef]
- Mudrilov, M.; Ladeynova, M.; Berezina, E.; Grinberg, M.; Brilkina, A.; Sukhov, V.; Vodeneev, V. Mechanisms of Specific Systemic Response in Wheat Plants under Different Locally Acting Heat Stimuli. J. Plant Physiol. 2021, 258–259, 153377. [Google Scholar] [CrossRef]
- Zandalinas, S.I.; Fichman, Y.; Devireddy, A.R.; Sengupta, S.; Azad, R.K.; Mittler, R. Systemic Signaling during Abiotic Stress Combination in Plants. Proc. Natl. Acad. Sci. USA 2020, 117, 13810–13820. [Google Scholar] [CrossRef]
- Meena, M.K.; Prajapati, R.; Krishna, D.; Divakaran, K.; Pandey, Y.; Reichelt, M.; Mathew, M.K.; Boland, W.; Mithöfer, A.; Vadassery, J. The Ca 2+ Channel CNGC19 Regulates Arabidopsis Defense Against Spodoptera Herbivory. Plant Cell 2019, 31, 1539–1562. [Google Scholar] [CrossRef]
- Suzuki, N.; Miller, G.; Salazar, C.; Mondal, H.A.; Shulaev, E.; Cortes, D.F.; Shuman, J.L.; Luo, X.; Shah, J.; Schlauch, K.; et al. Temporal-Spatial Interaction between Reactive Oxygen Species and Abscisic Acid Regulates Rapid Systemic Acclimation in Plants. Plant Cell 2013, 25, 3553–3569. [Google Scholar] [CrossRef]
- Ma, Y.; Flückiger, I.; Nicolet, J.; Pang, J.; Dickinson, J.B.; De Bellis, D.; Emonet, A.; Fujita, S.; Geldner, N. Comparisons of Two Receptor-MAPK Pathways in a Single Cell-Type Reveal Mechanisms of Signalling Specificity. Nat. Plants 2024, 10, 1343–1362. [Google Scholar] [CrossRef]
- Lee, K.; Seo, P.J. Wound-Induced Systemic Responses and Their Coordination by Electrical Signals. Front. Plant Sci. 2022, 13, 880680. [Google Scholar] [CrossRef]
- Huber, A.E.; Bauerle, T.L. Long-Distance Plant Signaling Pathways in Response to Multiple Stressors: The Gap in Knowledge. J. Exp. Bot. 2016, 67, 2063–2079. [Google Scholar] [CrossRef] [PubMed]
- Vodeneev, V.; Akinchits, E.; Sukhov, V. Variation Potential in Higher Plants: Mechanisms of Generation and Propagation. Plant Signal. Behav. 2015, 10, e1057365. [Google Scholar] [CrossRef] [PubMed]
- Vodeneev, V.; Mudrilov, M.; Akinchits, E.; Balalaeva, I.; Sukhov, V. Parameters of Electrical Signals and Photosynthetic Responses Induced by Them in Pea Seedlings Depend on the Nature of Stimulus. Funct. Plant Biol. 2018, 45, 160. [Google Scholar] [CrossRef]
- Stahlberg, R.; Cleland, R.E.; Van Volkenburgh, E. Slow Wave Potentials—A Propagating Electrical Signal Unique to Higher Plants. In Communication in Plants; Baluška, F., Mancuso, S., Volkmann, D., Eds.; Springer: Berlin, Heidelberg, Germany, 2006; pp. 291–308. ISBN 978-3-540-28475-8. [Google Scholar]
- Stankovic, B.; Zawadzki, T.; Davies, E. Characterization of the Variation Potential in Sunflower. Plant Physiol. 1997, 115, 1083–1088. [Google Scholar] [CrossRef]
- Malone, M. Kinetics of Wound-Induced Hydraulic Signals and Variation Potentials in Wheat Seedlings. Planta 1992, 187, 505–510. [Google Scholar] [CrossRef]
- Kurenda, A.; Nguyen, C.T.; Chételat, A.; Stolz, S.; Farmer, E.E. Insect-Damaged Arabidopsis Moves like Wounded Mimosa pudica. Proc. Natl. Acad. Sci. USA 2019, 116, 26066–26071. [Google Scholar] [CrossRef]
- Evans, M.J.; Morris, R.J. Chemical Agents Transported by Xylem Mass Flow Propagate Variation Potentials. Plant J. 2017, 91, 1029–1037. [Google Scholar] [CrossRef]
- Sukhova, E.; Akinchits, E.; Gudkov, S.V.; Pishchalnikov, R.Y.; Vodeneev, V.; Sukhov, V. A Theoretical Analysis of Relations between Pressure Changes along Xylem Vessels and Propagation of Variation Potential in Higher Plants. Plants 2021, 10, 372. [Google Scholar] [CrossRef]
- Miller, G.; Schlauch, K.; Tam, R.; Cortes, D.; Torres, M.A.; Shulaev, V.; Dangl, J.L.; Mittler, R. The Plant NADPH Oxidase RBOHD Mediates Rapid Systemic Signaling in Response to Diverse Stimuli. Sci. Signal. 2009, 2, ra45. [Google Scholar] [CrossRef]
- Mittler, R.; Vanderauwera, S.; Suzuki, N.; Miller, G.; Tognetti, V.B.; Vandepoele, K.; Gollery, M.; Shulaev, V.; Van Breusegem, F. ROS Signaling: The New Wave? Trends Plant Sci. 2011, 16, 300–309. [Google Scholar] [CrossRef]
- Farmer, E.E.; Gao, Y.; Lenzoni, G.; Wolfender, J.; Wu, Q. Wound- and Mechanostimulated Electrical Signals Control Hormone Responses. New Phytol. 2020, 227, 1037–1050. [Google Scholar] [CrossRef] [PubMed]
- Arfan, M.; Zhang, D.-W.; Zou, L.-J.; Luo, S.-S.; Tan, W.-R.; Zhu, T.; Lin, H.-H. Hydrogen Peroxide and Nitric Oxide Crosstalk Mediates Brassinosteroids Induced Cold Stress Tolerance in Medicago Truncatula. Int. J. Mol. Sci. 2019, 20, 144. [Google Scholar] [CrossRef] [PubMed]
- Jiang, J.; Su, M.; Wang, L.; Jiao, C.; Sun, Z.; Cheng, W.; Li, F.; Wang, C. Exogenous Hydrogen Peroxide Reversibly Inhibits Root Gravitropism and Induces Horizontal Curvature of Primary Root during Grass Pea Germination. Plant Physiol. Biochem. 2012, 53, 84–93. [Google Scholar] [CrossRef]
- Lee, D.J.; Choi, H.J.; Moon, M.; Chi, Y.; Ji, K.; Choi, D. Superoxide Serves as a Putative Signal Molecule for Plant Cell Division: Overexpression of CaRLK1 Promotes the Plant Cell Cycle via Accumulation of O2− and Decrease in H2O2. Physiol. Plant. 2017, 159, 228–243. [Google Scholar] [CrossRef]
- Kai, K.; Kasa, S.; Sakamoto, M.; Aoki, N.; Watabe, G.; Yuasa, T.; Iwaya-Inoue, M.; Ishibashi, Y. Role of Reactive Oxygen Species Produced by NADPH Oxidase in Gibberellin Biosynthesis during Barley Seed Germination. Plant Signal. Behav. 2016, 11, e1180492. [Google Scholar] [CrossRef]
- Khokon, A.R.; Okuma, E.; Hossain, M.A.; Munemasa, S.; Uraji, M.; Nakamura, Y.; Mori, I.C.; Murata, Y. Involvement of Extracellular Oxidative Burst in Salicylic Acid-induced Stomatal Closure in Arabidopsis. Plant Cell Environ. 2011, 34, 434–443. [Google Scholar] [CrossRef]
- Vanlerberghe, G. Alternative Oxidase: A Mitochondrial Respiratory Pathway to Maintain Metabolic and Signaling Homeostasis during Abiotic and Biotic Stress in Plants. Int. J. Mol. Sci. 2013, 14, 6805–6847. [Google Scholar] [CrossRef]
- Johns, S.; Hagihara, T.; Toyota, M.; Gilroy, S. The Fast and the Furious: Rapid Long-Range Signaling in Plants. Plant Physiol. 2021, 185, 694–706. [Google Scholar] [CrossRef]
- Alarcon, J.-J.; Malone, M. Substantial Hydraulic Signals Are Triggered by Leaf-Biting Insects in Tomato. J. Exp. Bot. 1994, 45, 953–957. [Google Scholar] [CrossRef][Green Version]
- Boari, F.; Malone, M. Wound-Induced Hydraulic Signals: Survey of Occurrence in a Range of Species. J. Exp. Bot. 1993, 44, 741–746. [Google Scholar] [CrossRef]
- Mancuso, S. Hydraulic and Electrical Transmission of Wound-Induced Signals in Vitis vinifera. Funct. Plant Biol. 1999, 26, 55. [Google Scholar] [CrossRef]
- Fichman, Y.; Mittler, R. Integration of Electric, Calcium, Reactive Oxygen Species and Hydraulic Signals during Rapid Systemic Signaling in Plants. Plant J. 2021, 107, 7–20. [Google Scholar] [CrossRef] [PubMed]
- Lopez, R.; Badel, E.; Peraudeau, S.; Leblanc-Fournier, N.; Beaujard, F.; Julien, J.-L.; Cochard, H.; Moulia, B. Tree Shoot Bending Generates Hydraulic Pressure Pulses: A New Long-Distance Signal? J. Exp. Bot. 2014, 65, 1997–2008. [Google Scholar] [CrossRef] [PubMed][Green Version]
- Christmann, A.; Grill, E.; Huang, J. Hydraulic Signals in Long-Distance Signaling. Curr. Opin. Plant Biol. 2013, 16, 293–300. [Google Scholar] [CrossRef]
- Basu, D.; Haswell, E.S. Plant Mechanosensitive Ion Channels: An Ocean of Possibilities. Curr. Opin. Plant Biol. 2017, 40, 43–48. [Google Scholar] [CrossRef]
- Hamilton, E.S.; Schlegel, A.M.; Haswell, E.S. United in Diversity: Mechanosensitive Ion Channels in Plants. Annu. Rev. Plant Biol. 2015, 66, 113–137. [Google Scholar] [CrossRef]
- Dainese, R.; Tarantino, A. Measurement of Plant Xylem Water Pressure Using the High-Capacity Tensiometer and Implications for the Modelling of Soil–Atmosphere Interaction. Géotechnique 2021, 71, 441–454. [Google Scholar] [CrossRef]
- Schenk, H.J.; Jansen, S.; Hölttä, T. Positive Pressure in Xylem and Its Role in Hydraulic Function. New Phytol. 2021, 230, 27–45. [Google Scholar] [CrossRef]
- Stahlberg, R.; Cosgrove, D.J. A Reduced Xylem Pressure Altered the Electric and Growth Responses in Cucumber Hypocotyls. Plant Cell Environ. 1997, 20, 101–109. [Google Scholar] [CrossRef]
- Cochard, H.; Froux, F.; Mayr, S.; Coutand, C. Xylem Wall Collapse in Water-Stressed Pine Needles. Plant Physiol. 2004, 134, 401–408. [Google Scholar] [CrossRef]
- Ménard, D.; Blaschek, L.; Kriechbaum, K.; Lee, C.C.; Serk, H.; Zhu, C.; Lyubartsev, A.; Nuoendagula; Bacsik, Z.; Bergström, L.; et al. Plant Biomechanics and Resilience to Environmental Changes Are Controlled by Specific Lignin Chemistries in Each Vascular Cell Type and Morphotype. Plant Cell 2022, 34, 4877–4896. [Google Scholar] [CrossRef] [PubMed]
- Zhang, Y.-J.; Rockwell, F.E.; Graham, A.C.; Alexander, T.; Holbrook, N.M. Reversible Leaf Xylem Collapse: A Potential “Circuit Breaker” against Cavitation. Plant Physiol. 2016, 172, 2261–2274. [Google Scholar] [CrossRef] [PubMed]
- Benkert, R.; Balling, A.; Zimmermann, U. Direct Measurements of the Pressure and Flow in the Xylem Vessels of Nicotiana Tabacum and Their Dependence on Flow Resistance and Transpiration Rate. Bot. Acta 1991, 104, 423–432. [Google Scholar] [CrossRef]
- Stahlberg, R.; Cosgrove, D.J. Rapid Alterations in Growth Rate and Electrical Potentials upon Stem Excision in Pea Seedlings. Planta 1992, 187, 523–531. [Google Scholar] [CrossRef]
- Malone, M. Hydraulic Signals. Phil. Trans. R. Soc. Lond. B 1993, 341, 33–39. [Google Scholar] [CrossRef]
- Vodeneev, V.; Orlova, A.; Morozova, E.; Orlova, L.; Akinchits, E.; Orlova, O.; Sukhov, V. The Mechanism of Propagation of Variation Potentials in Wheat Leaves. J. Plant Physiol. 2012, 169, 949–954. [Google Scholar] [CrossRef]
- Kaiser, H.; Grams, T.E.E. Rapid Hydropassive Opening and Subsequent Active Stomatal Closure Follow Heat-Induced Electrical Signals in Mimosa Pudica*. J. Exp. Bot. 2006, 57, 2087–2092. [Google Scholar] [CrossRef]
- Fromm, J.; Hajirezaei, M.-R.; Becker, V.K.; Lautner, S. Electrical Signaling along the Phloem and Its Physiological Responses in the Maize Leaf. Front. Plant Sci. 2013, 4, 239. [Google Scholar] [CrossRef]
- Stahlberg, R.; Cleland, R.E.; Van Volkenburgh, E. Decrement and Amplification of Slow Wave Potentials during Their Propagation in Helianthus annuus L. Shoots. Planta 2005, 220, 550–558. [Google Scholar] [CrossRef]
- Wei, C.; Tyree, M.T.; Steudle, E. Direct Measurement of Xylem Pressure in Leaves of Intact Maize Plants. A Test of the Cohesion-Tension Theory Taking Hydraulic Architecture into Consideration. Plant Physiol. 1999, 121, 1191–1205. [Google Scholar] [CrossRef]
- Sadok, W.; Lopez, J.R.; Smith, K.P. Transpiration Increases under High-temperature Stress: Potential Mechanisms, Trade-offs and Prospects for Crop Resilience in a Warming World. Plant Cell Environ. 2021, 44, 2102–2116. [Google Scholar] [CrossRef] [PubMed]
- Hasanuzzaman, M.; Nahar, K.; Alam, M.M.; Roychowdhury, R.; Fujita, M. Physiological, Biochemical, and Molecular Mechanisms of Heat Stress Tolerance in Plants. Int. J. Mol. Sci. 2013, 14, 9643–9684. [Google Scholar] [CrossRef] [PubMed]
- Lew, T.T.S.; Koman, V.B.; Silmore, K.S.; Seo, J.S.; Gordiichuk, P.; Kwak, S.-Y.; Park, M.; Ang, M.C.-Y.; Khong, D.T.; Lee, M.A.; et al. Real-Time Detection of Wound-Induced H2O2 Signalling Waves in Plants with Optical Nanosensors. Nat. Plants 2020, 6, 404–415. [Google Scholar] [CrossRef] [PubMed]
- Li, Z.; Howell, S.H. Heat Stress Responses and Thermotolerance in Maize. Int. J. Mol. Sci. 2021, 22, 948. [Google Scholar] [CrossRef]
- Vega-Muñoz, I.; Duran-Flores, D.; Fernández-Fernández, Á.D.; Heyman, J.; Ritter, A.; Stael, S. Breaking Bad News: Dynamic Molecular Mechanisms of Wound Response in Plants. Front. Plant Sci. 2020, 11, 610445. [Google Scholar] [CrossRef]
- Suda, H.; Toyota, M. Integration of Long-Range Signals in Plants: A Model for Wound-Induced Ca2+, Electrical, ROS, and Glutamate Waves. Curr. Opin. Plant Biol. 2022, 69, 102270. [Google Scholar] [CrossRef]
- Choi, W.-G.; Hilleary, R.; Swanson, S.J.; Kim, S.-H.; Gilroy, S. Rapid, Long-Distance Electrical and Calcium Signaling in Plants. Annu. Rev. Plant Biol. 2016, 67, 287–307. [Google Scholar] [CrossRef]
- Fichman, Y.; Miller, G.; Mittler, R. Whole-Plant Live Imaging of Reactive Oxygen Species. Mol. Plant 2019, 12, 1203–1210. [Google Scholar] [CrossRef]
- Yudina, L.; Sherstneva, O.; Sukhova, E.; Grinberg, M.; Mysyagin, S.; Vodeneev, V.; Sukhov, V. Inactivation of H + -ATPase Participates in the Influence of Variation Potential on Photosynthesis and Respiration in Peas. Plants 2020, 9, 1585. [Google Scholar] [CrossRef]
- Mudrilov, M.A.; Ladeynova, M.M.; Kuznetsova, D.V.; Vodeneev, V.A. Ion Channels in Electrical Signaling in Higher Plants. Biochem. Mosc. 2023, 88, 1467–1487. [Google Scholar] [CrossRef]
- Kumari, A.; Chételat, A.; Nguyen, C.T.; Farmer, E.E. Arabidopsis H + -ATPase AHA1 Controls Slow Wave Potential Duration and Wound-Response Jasmonate Pathway Activation. Proc. Natl. Acad. Sci. USA 2019, 116, 20226–20231. [Google Scholar] [CrossRef] [PubMed]
- Shao, Q.; Gao, Q.; Lhamo, D.; Zhang, H.; Luan, S. Two Glutamate- and pH-Regulated Ca 2+ Channels Are Required for Systemic Wound Signaling in Arabidopsis. Sci. Signal. 2020, 13, eaba1453. [Google Scholar] [CrossRef] [PubMed]
- Katicheva, L.; Sukhov, V.; Akinchits, E.; Vodeneev, V. Ionic Nature of Burn-Induced Variation Potential in Wheat Leaves. Plant Cell Physiol. 2014, 55, 1511–1519. [Google Scholar] [CrossRef] [PubMed]
- Sukhov, V.; Sherstneva, O.; Surova, L.; Katicheva, L.; Vodeneev, V. Proton Cellular Influx as a Probable Mechanism of Variation Potential Influence on Photosynthesis in Pea. Plant Cell Environ. 2014, 37, 2532–2541. [Google Scholar] [CrossRef]
- Julien, J.L.; Desbiez, M.O.; De Jaegher, G.; Frachisse, J.M. Characteristics of the Wave of Depolarization Induced by Wounding in Bidens pilosa L. J. Exp. Bot. 1991, 42, 131–137. [Google Scholar] [CrossRef]
- Ladeynova, M.; Kuznetsova, D.; Pecherina, A.; Vodeneev, V. pH Change Accompanying Long-Distance Electrical Signal Controls Systemic Jasmonate Biosynthesis. J. Plant Physiol. 2024, 296, 154225. [Google Scholar] [CrossRef]
- Vodeneev, V.A.; Akinchits, E.K.; Orlova, L.A.; Sukhov, V.S. The Role of Ca 2+, H +, and Cl − Ions in Generation of Variation Potential in Pumpkin Plants. Russ. J. Plant Physiol. 2011, 58, 974–981. [Google Scholar] [CrossRef]
- Maksaev, G.; Haswell, E.S. MscS-Like10 Is a Stretch-Activated Ion Channel from Arabidopsis thaliana with a Preference for Anions. Proc. Natl. Acad. Sci. USA 2012, 109, 19015–19020. [Google Scholar] [CrossRef]
- Demidchik, V.; Shabala, S.; Isayenkov, S.; Cuin, T.A.; Pottosin, I. Calcium Transport across Plant Membranes: Mechanisms and Functions. New Phytol. 2018, 220, 49–69. [Google Scholar] [CrossRef]
- Pei, Z.-M.; Murata, Y.; Benning, G.; Thomine, S.; Klüsener, B.; Allen, G.J.; Grill, E.; Schroeder, J.I. Calcium Channels Activated by Hydrogen Peroxide Mediate Abscisic Acid Signalling in Guard Cells. Nature 2000, 406, 731–734. [Google Scholar] [CrossRef]
- Zhang, W.; Jeon, B.W.; Assmann, S.M. Heterotrimeric G-Protein Regulation of ROS Signalling and Calcium Currents in Arabidopsis Guard Cells. J. Exp. Bot. 2011, 62, 2371–2379. [Google Scholar] [CrossRef] [PubMed]
- Mousavi, S.A.R.; Chauvin, A.; Pascaud, F.; Kellenberger, S.; Farmer, E.E. GLUTAMATE RECEPTOR-LIKE Genes Mediate Leaf-to-Leaf Wound Signalling. Nature 2013, 500, 422–426. [Google Scholar] [CrossRef] [PubMed]
- Nguyen, C.T.; Kurenda, A.; Stolz, S.; Chételat, A.; Farmer, E.E. Identification of Cell Populations Necessary for Leaf-to-Leaf Electrical Signaling in a Wounded Plant. Proc. Natl. Acad. Sci. USA 2018, 115, 10178–10183. [Google Scholar] [CrossRef] [PubMed]
- Salvador-Recatalà, V. New Roles for the GLUTAMATE RECEPTOR-LIKE 3.3, 3.5, and 3.6 Genes as on/off Switches of Wound-Induced Systemic Electrical Signals. Plant Signal. Behav. 2016, 11, e1161879. [Google Scholar] [CrossRef]
- Yan, C.; Gao, Q.; Yang, M.; Shao, Q.; Xu, X.; Zhang, Y.; Luan, S. Ca2+/Calmodulin-Mediated Desensitization of Glutamate Receptors Shapes Plant Systemic Wound Signalling and Anti-Herbivore Defence. Nat. Plants 2024, 10, 145–160. [Google Scholar] [CrossRef]
- Bellandi, A.; Papp, D.; Breakspear, A.; Joyce, J.; Johnston, M.G.; De Keijzer, J.; Raven, E.C.; Ohtsu, M.; Vincent, T.R.; Miller, A.J.; et al. Diffusion and Bulk Flow of Amino Acids Mediate Calcium Waves in Plants. Sci. Adv. 2022, 8, eabo6693. [Google Scholar] [CrossRef]
- Toyota, M.; Spencer, D.; Sawai-Toyota, S.; Jiaqi, W.; Zhang, T.; Koo, A.J.; Howe, G.A.; Gilroy, S. Glutamate Triggers Long-Distance, Calcium-Based Plant Defense Signaling. Science 2018, 361, 1112–1115. [Google Scholar] [CrossRef]
- Zandalinas, S.I.; Mittler, R. Vascular and Nonvascular Transmission of Systemic Reactive Oxygen Signals during Wounding and Heat Stress. Plant Physiol. 2021, 186, 1721–1733. [Google Scholar] [CrossRef]
- Moe-Lange, J.; Gappel, N.M.; Machado, M.; Wudick, M.M.; Sies, C.S.A.; Schott-Verdugo, S.N.; Bonus, M.; Mishra, S.; Hartwig, T.; Bezrutczyk, M.; et al. Interdependence of a Mechanosensitive Anion Channel and Glutamate Receptors in Distal Wound Signaling. Sci. Adv. 2021, 7, eabg4298. [Google Scholar] [CrossRef]
- Sade, N.; Shatil-Cohen, A.; Moshelion, M. Bundle-Sheath Aquaporins Play a Role in Controlling Arabidopsis Leaf Hydraulic Conductivity. Plant Signal. Behav. 2015, 10, e1017177. [Google Scholar] [CrossRef][Green Version]
- Fichman, Y.; Myers, R.J.; Grant, D.G.; Mittler, R. Plasmodesmata-Localized Proteins and ROS Orchestrate Light-Induced Rapid Systemic Signaling in Arabidopsis. Sci. Signal. 2021, 14, eabf0322. [Google Scholar] [CrossRef] [PubMed]
- Buss, E.; Aust, T.; Wahby, M.; Rabbel, T.-L.; Kernbach, S.; Hamann, H. Stimulus Classification with Electrical Potential and Impedance of Living Plants: Comparing Discriminant Analysis and Deep-Learning Methods. Bioinspir. Biomim. 2023, 18, 025003. [Google Scholar] [CrossRef] [PubMed]
- Costa, Á.V.L.; Oliveira, T.F.D.C.; Posso, D.A.; Reissig, G.N.; Parise, A.G.; Barros, W.S.; Souza, G.M. Systemic Signals Induced by Single and Combined Abiotic Stimuli in Common Bean Plants. Plants 2023, 12, 924. [Google Scholar] [CrossRef]
- Bhadra, N.; Chatterjee, S.K.; Das, S. Multiclass Classification of Environmental Chemical Stimuli from Unbalanced Plant Electrophysiological Data. PLoS ONE 2023, 18, e0285321. [Google Scholar] [CrossRef]
- Najdenovska, E.; Dutoit, F.; Tran, D.; Plummer, C.; Wallbridge, N.; Camps, C.; Raileanu, L.E. Classification of Plant Electrophysiology Signals for Detection of Spider Mites Infestation in Tomatoes. Appl. Sci. 2021, 11, 1414. [Google Scholar] [CrossRef]
- Simmi, F.Z.; Dallagnol, L.J.; Ferreira, A.S.; Pereira, D.R.; Souza, G.M. Electrome Alterations in a Plant-Pathogen System: Toward Early Diagnosis. Bioelectrochemistry 2020, 133, 107493. [Google Scholar] [CrossRef]
- Tran, D.; Dutoit, F.; Najdenovska, E.; Wallbridge, N.; Plummer, C.; Mazza, M.; Raileanu, L.E.; Camps, C. Electrophysiological Assessment of Plant Status Outside a Faraday Cage Using Supervised Machine Learning. Sci. Rep. 2019, 9, 17073. [Google Scholar] [CrossRef]
- De Toledo, G.R.A.; Reissig, G.N.; Senko, L.G.S.; Pereira, D.R.; Da Silva, A.F.; Souza, G.M. Common Bean under Different Water Availability Reveals Classifiable Stimuli-Specific Signatures in Plant Electrome. Plant Signal. Behav. 2024, 19, 2333144. [Google Scholar] [CrossRef]
- González, I.; Juclà, D.; Najdenovska, E.; Dutoit, F.; Raileanu, L.E. Detecting Stress Caused by Nitrogen Deficit Using Deep Learning Techniques Applied on Plant Electrophysiological Data. Sci. Rep. 2023, 13, 9633. [Google Scholar] [CrossRef]
- Qin, X.-H.; Wang, Z.-Y.; Yao, J.-P.; Zhou, Q.; Zhao, P.-F.; Wang, Z.-Y.; Huang, L. Using a One-Dimensional Convolutional Neural Network with a Conditional Generative Adversarial Network to Classify Plant Electrical Signals. Comput. Electron. Agric. 2020, 174, 105464. [Google Scholar] [CrossRef]
- Kenderešová, L.; Staňová, A.; Pavlovkin, J.; Ďurišová, E.; Nadubinská, M.; Čiamporová, M.; Ovečka, M. Early Zn2+-Induced Effects on Membrane Potential Account for Primary Heavy Metal Susceptibility in Tolerant and Sensitive Arabidopsis Species. Ann. Bot. 2012, 110, 445–459. [Google Scholar] [CrossRef] [PubMed][Green Version]







Disclaimer/Publisher’s Note: The statements, opinions and data contained in all publications are solely those of the individual author(s) and contributor(s) and not of MDPI and/or the editor(s). MDPI and/or the editor(s) disclaim responsibility for any injury to people or property resulting from any ideas, methods, instructions or products referred to in the content. |
© 2024 by the authors. Licensee MDPI, Basel, Switzerland. This article is an open access article distributed under the terms and conditions of the Creative Commons Attribution (CC BY) license (https://creativecommons.org/licenses/by/4.0/).
Share and Cite
Mudrilov, M.; Ladeynova, M.; Vetrova, Y.; Vodeneev, V. Analysis of the Mechanisms Underlying the Specificity of the Variation Potential Induced by Different Stimuli. Plants 2024, 13, 2896. https://doi.org/10.3390/plants13202896
Mudrilov M, Ladeynova M, Vetrova Y, Vodeneev V. Analysis of the Mechanisms Underlying the Specificity of the Variation Potential Induced by Different Stimuli. Plants. 2024; 13(20):2896. https://doi.org/10.3390/plants13202896
Chicago/Turabian StyleMudrilov, Maxim, Maria Ladeynova, Yana Vetrova, and Vladimir Vodeneev. 2024. "Analysis of the Mechanisms Underlying the Specificity of the Variation Potential Induced by Different Stimuli" Plants 13, no. 20: 2896. https://doi.org/10.3390/plants13202896
APA StyleMudrilov, M., Ladeynova, M., Vetrova, Y., & Vodeneev, V. (2024). Analysis of the Mechanisms Underlying the Specificity of the Variation Potential Induced by Different Stimuli. Plants, 13(20), 2896. https://doi.org/10.3390/plants13202896

