Exogenous Melatonin Reinforces Photosynthesis, Antioxidant Defense and Gene Expression to Ameliorate Na2CO3 Stress in Maize
Abstract
1. Introduction
2. Results
2.1. Combined Analysis of All Traits
2.2. Effect of MT on Changes in Growth Phenotypes of Maize Seedlings under Na2CO3 Stress

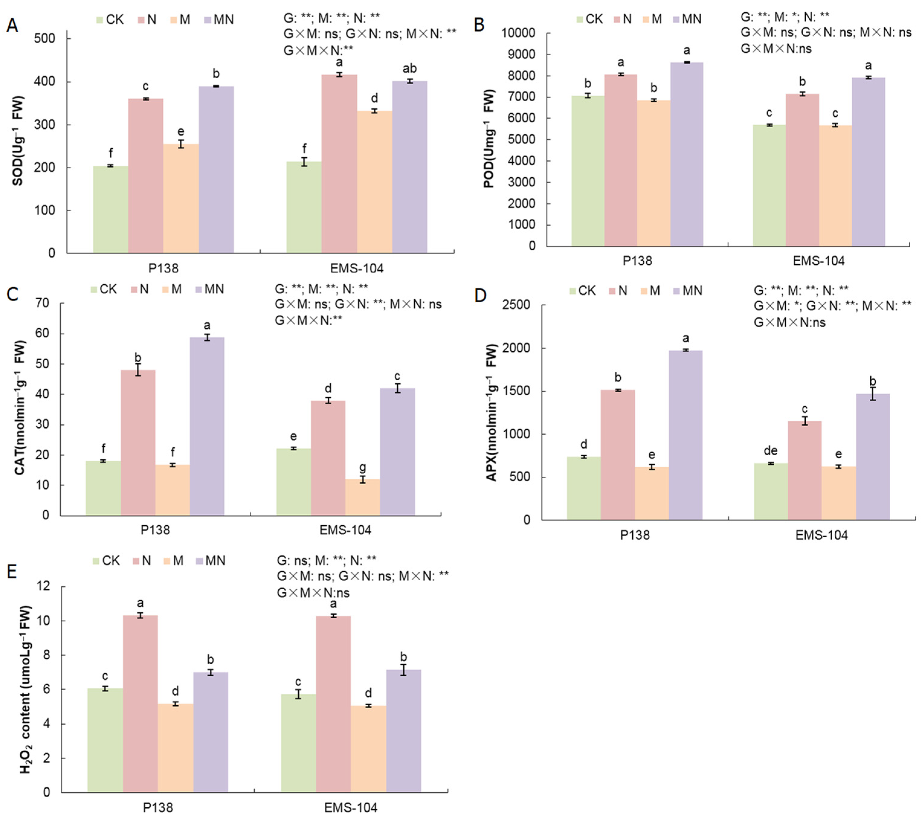
2.3. Effects of MT on H2O2 Content and Antioxidant Enzyme Activities of Maize Seedlings under Na2CO3 Stress

2.4. Effect of MT on Relative Electrical Conductivity and Relative Water Content of Maize Seedlings under Na2CO3 Stress

2.5. Effects of MT on Photosynthetic Characteristics of Maize Seedlings under Na2CO3 Stress

2.6. Effect of MT on Photosynthetic Pigments in Maize Seedlings under Na2CO3 Stress

2.7. Effects of MT on Stomata of Maize Seedlings under Na2CO3 Stress

2.8. Correlation Relationships among 25 Traits in Two Maize Genotypes under All Treatments
2.9. Expression Analysis of Genes Involved in Photosynthesis and Antioxidant Homeostasis under Na2CO3 Stress
3. Discussion
4. Materials and Methods
4.1. Materials
4.2. Plant Growth Conditions
4.3. Growth Phenotype Measurements
4.4. Stomatal Morphology in Seedlings
4.5. Photosynthetic Parameter Determination
4.6. Relative Moisture Content Assay
4.7. Relative Electrical Conductivity Measurement
4.8. Chlorophyll Content Measurement
4.9. Antioxidant Enzyme Activity Determination
4.10. qRT-PCR Analysis
4.11. Statistical Analysis
Supplementary Materials
Author Contributions
Funding
Data Availability Statement
Acknowledgments
Conflicts of Interest
References
- Chen, D.Q.; Yin, L.N.; Deng, X.P.; Wang, S.W. Silicon increases salt tolerance by influencing the two-phase growth response to salinity in wheat (Triticum aestivum L.). Acta Physiol. Plant 2014, 36, 2531–2535. [Google Scholar] [CrossRef]
- Jiang, C.Q.; Cui, Q.R.; Feng, K.; Xu, D.F.; Li, C.F.; Zheng, Q.S. Melatonin improves antioxidant capacity and ion homeostasis and enhances salt tolerance in maize seedlings. Acta Physiol. Plant 2016, 38, 82. [Google Scholar] [CrossRef]
- Shrivastava, P.; Kumar, R. Soil salinity: A serious environmental issue and plant growth promoting bacteria as one of the tools for its alleviation. Saudi J. Biol. Sci. 2015, 22, 123–131. [Google Scholar] [CrossRef]
- Guo, S.J.; Lv, L.J.; Zhao, Y.X.; Wang, J.L.; Lu, X.J.; Zhang, M.G.; Wang, R.H.; Zhang, Y.; Guo, X.Y. Using high-throughput phenotyping analysis to decipher the phenotypic components and genetic architecture of maize seedling salt tolerance. Genes 2023, 14, 1771. [Google Scholar] [CrossRef] [PubMed]
- Tanjimul, I.A.T.M.; Thawatchai, K.; Hayat, U.; Rujira, T.; Sujin, J.; Suriyan, C.; Avishek, D. Salt tolerance of hybrid baby corn genotypes in relation to growth, yield, physiological, and biochemical characters. S. Afr. J. Bot. 2022, 147, 808–819. [Google Scholar]
- Wu, J.X.; Muhammad, N.; Lakshman, G.; Raymond, T.; Mumtaz, C. Effects of chilling stress on morphological, physiological, and biochemical attributes of silage corn genotypes during seedling establishment. Plants 2022, 11, 1217. [Google Scholar] [CrossRef]
- Rohman, M.M.; Islam, M.R.; Mahmuda, B.M.; Begum, S.; Fakir, O.A.; Amiruzzaman, M. Higher K+/Na+ and lower reactive oxygen species and lipid peroxidation are related to higher yield in maize under saline condition. Afr. J. Agric. Resour. E. 2018, 13, 239–247. [Google Scholar] [CrossRef]
- Ahmed, S.; Ashraf, S.; Yasin, N.A.; Sardar, R.; Ashkar, I.A.; Abdelhamid, M.T.; Sabagh, A.E. Exogenously applied nano-zinc oxide mitigates cadmium stress in Zea mays L. through modulation of physiochemical activities and nutrients homeostasis. Int. J. Phytoremediation 2024, 1–16. [Google Scholar] [CrossRef] [PubMed]
- Swati, V.; Prabha, N.N.; Shalini, P.; Gaurav, M.; Deepak, K. Auxin response factors in plant adaptation to drought and salinity stress. Physiol. Plantarum 2022, 174, e13714. [Google Scholar]
- Maia, C.F.; da Silva, B.R.S.; Batista, B.L.; Bajguz, A.; Lobato, A.K.D.S. 24-Epibrassinolide simultaneously stimulates photosynthetic machinery and biomass accumulation in tomato plants under lead stress: Essential contributions connected to the antioxidant system and anatomical structures. Agronomy 2022, 12, 1985. [Google Scholar] [CrossRef]
- Hosseinpour, M.; Ebadi, A.; Habibi, H.; Nabizadeh, E.; Jahanbakhsh, S. Enhancing enzymatic and nonenzymatic response of echinacea purpurea by exogenous 24-epibrassinolide under drought stress. Ind. Crops Prod. 2020, 146, 112045. [Google Scholar] [CrossRef]
- Faizan, M.; Bhat, J.A.; Noureldeen, A.; Ahmad, P.; Yu, F. Zinc oxide nanoparticles and 24-epibrassinolide alleviates Cu toxicity in tomato by regulating ROS scavenging, stomatal movement and photosynthesis. Ecotoxicol. Environ. Saf. 2021, 218, 112293. [Google Scholar] [CrossRef]
- Xu, S.H.; Wang, S.T.; Wang, Z.C.; Lu, Y.; Tao, T.Y.; Huang, Q.F.; Lu, Z.; Wang, H.Y.; Su, Y.; Ahmed, G.; et al. Integrative analyses of transcriptome, microRNA-seq and metabolome reveal insights into exogenous melatonin-mediated salt tolerance during seed germination of maize. J. Plant Growth Regul. 2024, 103, 689–704. [Google Scholar] [CrossRef]
- Chen, Z.P.; Gu, Q.; Yu, X.L.; Huang, L.Q.; Xu, S.; Wang, R.; Shen, W.; Shen, W.B. Hydrogen peroxide acts downstream of melatonin to induce lateral root formation. Ann. Bot. 2018, 121, 1127–1136. [Google Scholar] [CrossRef] [PubMed]
- Wang, L.Y.; Liu, J.L.; Wang, W.X.; Sun, Y. Exogenous melatonin improves growth and photosynthetic capacity of cucumber under salinity-induced stress. Photosynthetica 2016, 54, 19–27. [Google Scholar] [CrossRef]
- Mosaad, I.S.M.; Serag, A.H.I.; Moustafa-Farag, M.; Seadh, A.K. Effect of exogenous proline application on maize yield and the optimum rate of mineral nitrogen under salinity stress. J. Plant Nutr. 2020, 43, 354–370. [Google Scholar] [CrossRef]
- Wei, W.; Li, Q.T.; Chu, Y.N.; Reiter, R.J.; Yu, X.M.; Zhu, D.H.; Zhang, W.K.; Ma, B.; Lin, Q.; Zhang, J.S.; et al. Melatonin enhances plant growth and abiotic stress tolerance in soybean plants. J. Exp. Bot. 2015, 66, 695–707. [Google Scholar] [CrossRef]
- Barman, D.; Kumar, R.; Ghimire, O.P.; Ramesh, R.; Gupta, S.; Nagar, S.; Pal, M.; Dalal, M.; Chinnusamy, V.; Arora, A. Melatonin induces acclimation to heat stress and pollen viability by enhancing antioxidative defense in rice (Oryza sativa L.). Environ. Exp. Bot. 2024, 220, 105693. [Google Scholar] [CrossRef]
- Yan, F.Y.; Zhang, G.L.; Zhao, H.L.; Huang, Z.W.; Niu, Y.; Zhu, M.C. Foliar application of melatonin improve the number of secondary branches and secondary branch grains quality of rice. PLoS ONE 2024, 19, e0307368. [Google Scholar] [CrossRef] [PubMed]
- Ye, F.; Jiang, M.; Zhang, P.; Liu, L.; Liu, S.Q.; Zhao, C.S.; Li, X.N. Exogenous melatonin reprograms the rhizosphere microbial community to modulate the responses of barley to drought stress. Int. J. Mol. Sci. 2022, 23, 9665. [Google Scholar] [CrossRef] [PubMed]
- Martinez, V.; Nieves-Cordones, M.; Lopez-Delacalle, M.; Rodenas, R.; Mestre, T.C.; Garcia-Sanchez, F.; Rubio, F.; Nortes, P.A.; Mittler, R.; Rivero, R.M. Tolerance to stress combination in tomato plants: New insights in the protective role of melatonin. Molecules 2018, 23, 535. [Google Scholar] [CrossRef]
- Muhammad, I.; Yang, L.; Ahmad, S.; Mosaad, I.S.M.; Al-Ghamdi, A.A.; Abbasi, A.M.; Zhou, X.-B. Melatonin application alleviates stress-induced photosynthetic inhibition and oxidative damage by regulating antioxidant defense system of maize: A meta-analysis. Antioxidants 2022, 11, 512. [Google Scholar] [CrossRef] [PubMed]
- Hassan, M.U.; Mahmood, A.; Awan, M.I.; Maqbool, R.; Aamer, M.; Alhaithloul, H.A.S.; Huang, G.; Skalicky, M.; Brestic, M.; Pandey, S.; et al. Melatonin-induced protection against plant abiotic stress: Mechanisms and prospects. Front. Plant Sci. 2022, 13, 902694. [Google Scholar] [CrossRef] [PubMed]
- Arslan, H.; Kiremit, M.S.; Güngör, A. Impacts of different water salinity levels on salt tolerance, water use, yield, and growth of chives (Allium schoenoprasum L.). Commun. Soil Sci. Plant Anal. 2018, 49, 2614–2625. [Google Scholar] [CrossRef]
- Li, P.C.; Yang, X.Y.; Wang, H.M.; Pan, T.; Yang, J.Y.; Wang, Y.Y.; Xu, Y.; Yang, Z.F.; Xu, C.W. Metabolic responses to combined water deficit and salt stress in maize primary roots. J. Integr. Agric. 2021, 20, 109–119. [Google Scholar] [CrossRef]
- Zhang, H.J.; Zhang, N.; Yang, R.C.; Wang, L.; Sun, Q.Q.; Li, D.B.; Cao, Y.Y.; Sarah, W.; Zhao, B.; Ren, S.X.; et al. Melatonin promotes seed germination under high salinity by regulating antioxidant systems, ABA and GA4 interaction in cucumber (Cucumis sativus L.). J. Pineal Res. 2014, 57, 269–279. [Google Scholar] [CrossRef] [PubMed]
- Gopalakrishnan, T.; Kumar, L. Linking long-term changes in soil salinity to paddy land abandonment in Jaffna Peninsula, Sri Lanka. Agriculture 2021, 11, 211. [Google Scholar] [CrossRef]
- Tharani, G.; Lalit, K.; Thushyanthy, M. Assessment of spatial and temporal trend of groundwater salinity in Jaffna Peninsula and its link to paddy land abandonment. Sustainability 2020, 12, 3681. [Google Scholar] [CrossRef]
- Zhao, C.Z.; Zhang, H.; Song, C.P.; Zhu, J.K.; Sergey, S. Mechanisms of plant responses and adaptation to soil salinity. Innovation 2020, 1, 100017. [Google Scholar] [CrossRef] [PubMed]
- Shakeel, A.; Cui, W.W.; Muhammad, K.; Irshad, A.; Meng, X.P.; Wu, X.R.; Su, W.N.; Tehseen, J.; Hamed, A.E.S.; Jia, Z.K.; et al. Exogenous application of melatonin induces tolerance to salt stress by improving the photosynthetic efficiency and antioxidant defense system of maize seedling. J. Plant Growth Regul. 2020, 40, 1270–1283. [Google Scholar]
- AbdElgawad, H.; Zinta, G.; Hegab, M.M.; Pandey, R.; Asard, H.; Abuelsoud, W. High salinity induces different oxidative stress and antioxidant responses in maize seedlings organs. Front. Plant Sci. 2016, 7, 276. [Google Scholar] [CrossRef]
- Liu, Y.; Huang, J.; Ma, Y.R.; Qi, T.; Feng, Y.Z.; Meng, A.J.; Wang, X.Y. Effects induced by inputting biochar into the saliferous gray desert soil on the soil moisture movement. Xinjiang Agric. Sci. 2017, 54, 343–351. [Google Scholar]
- Wang, L.; Lin, G.; Li, Y.; Qu, W.; Wang, Y.; Lin, Y.; Huang, Y.; Li, J.; Qian, C.; Yang, G.; et al. Phenotype, biomass, carbon and nitrogen assimilation, and antioxidant response of rapeseed under salt stress. Plants 2024, 13, 1488. [Google Scholar] [CrossRef] [PubMed]
- Fu, Y.Y.; Xin, L.; Abdoul, K.M.H.; Sun, W.H.; Wang, H.B.; Abubakar, S.A.; Wang, X.P.; Qin, A.Z.; Gao, Y. Foliar application of melatonin positively affects the physio-biochemical characteristics of cotton (Gossypium hirsutum L.) under the combined effects of low temperature and salinity stress. Plants 2023, 12, 3730. [Google Scholar] [CrossRef] [PubMed]
- Alagoz, S.M.; Hadi, H.; Toorchi, M.; Pawowski, T.A.; Lajayer, B.A.; Price, G.W.; Farooq, M.; Astatkie, T. Morpho-physiological responses and growth indices of triticale to drought and salt stresses. Sci. Rep. 2023, 13, 8896. [Google Scholar]
- Zhang, W.; Bao, G.; Tang, W.; Dai, G.; Xiao, J.; Liu, J.; Wang, Z.; Xi, J. Physiological response of barley seedlings to salinity and artemisinin combined stresses under freeze-thaw environment. Environ. Sci. Pollut. Res. 2022, 29, 70552–70563. [Google Scholar] [CrossRef]
- Zhao, C.; Yang, M.; Wu, X.; Wang, Y.; Zhang, R. Physiological and transcriptomic analyses of the effects of exogenous melatonin on drought tolerance in maize (Zea mays L.). Plant Physiol. Biochem. 2021, 168, 128–142. [Google Scholar] [CrossRef]
- Wang, N.N.; Luo, X.M.; Wang, Z.; Liu, J.G. Mitigating effect of exogenous melatonin on salt and drought stress in Cyperus esculentus L. during the tilling stage. Agronomy 2024, 14, 1009. [Google Scholar] [CrossRef]
- Wicke, B.; Smeets, E.; Dornburg, V.; Vashey, B.; Gaiser, T.; Turkenburg, W.; Faaij, A. The global technical and economic potential of bioenergy from salt-affected soils. Energy Environ. Sci. 2011, 4, 2669–2681. [Google Scholar] [CrossRef]
- Yemets, O.; Gauslaa, Y.; Solhaug, K.A. Monitoring with lichens-conductivity methods assess salt and heavy metal damage more efficiently than chlorophyll fluorescence. Ecol. Indic. 2015, 55, 59–64. [Google Scholar] [CrossRef]
- Kostopoulou, Z.; Therios, I.; Roumeliotis, E.; Kanellis, A.K.; Molassiotis, A. Melatonin combined with ascorbic acid provides salt adaptation in Citrus aurantium L. seedlings. Plant Physiol. Biochem. 2015, 86, 155–165. [Google Scholar] [CrossRef] [PubMed]
- Navdeep, K.; Kamal, K.; Shivani, S.; Isha, S.; Pascal, G.; Kumar, P.P. Reactive oxygen species generating system and brassinosteroids are linked to salt stress adaptation mechanisms in rice. Plant Signal. Behav. 2016, 11, e1247136. [Google Scholar]
- Shakeel, A.; Wang, G.Y.; Ihsan, M.; Muhammad, Z.; Zhou, X.B. Melatonin and KNO3 application improves growth, physiological and biochemical characteristics of maize seedlings under waterlogging stress conditions. Biology 2022, 11, 99. [Google Scholar] [CrossRef] [PubMed]
- Ullah, M.A.; Sagar, A.; Mia, M.A.; Tania, S.S.; Jannat-E-Tajkia; Kabir, M.H.; Hossain, A.K.M.Z.; Rauf, F.; Rhaman, M.S. Mitigation of salinity-induced growth inhibition of maize by seed priming and exogenous application of salicylic acid. J. Agric. Ecol. Res. Int. 2023, 24, 100–109. [Google Scholar] [CrossRef]
- Li, C.H.; Li, J.X.; Du, X.H.; Zhang, J.X.; Zou, Y.R.; Liu, Y.D.; Li, Y.; Lin, H.Y.; Li, H.; Liu, D.; et al. Chloroplast thylakoidal ascorbate peroxidase, ptotAPX, has enhanced resistance to oxidative stress in populous tormentors. Int. J. Mol. Sci. 2022, 23, 3340. [Google Scholar] [CrossRef] [PubMed]
- Meng, Y.; Yin, Q.; Yan, Z.; Wang, Y.; Niu, J.; Zhang, J.; Fan, K. Exogenous silicon enhanced salt resistance by maintaining K+/Na+ homeostasis and antioxidant performance in Alfalfa leaves. Front. Plant Sci. 2020, 11, 1183. [Google Scholar] [CrossRef]
- Nidal, O. Molecular and biochemical responses of barley (Hordeum vulgare L.) to NaCl salinity stress and salicylic acid. Res. Crop. 2018, 19, 101–106. [Google Scholar]
- Mahmoud, F.S.; Awais, A.; Bushra, A.A.; ElKamil, T. Exogenous application of zinc oxide nanoparticles improved antioxidants, photosynthetic, and yield traits in salt-stressed maize. Agronomy 2023, 13, 2645. [Google Scholar] [CrossRef]
- Li, L.J.; Gu, W.R.; Zhang, L.G.; Li, C.F.; Chen, X.C.; Qian, C.R.; Wang, Z.H.; Li, W.H.; Zuo, S.Y.; Wei, S. Exogenous 2-(3,4-Dichlorophenoxy) triethylamine alleviates salinity stress in maize by enhancing photosynthetic capacity, improving water status and maintaining K+/Na+ homeostasis. BMC Plant Biol. 2020, 20, 348. [Google Scholar] [CrossRef] [PubMed]
- Talaat, N.B.; Shawky, B.T. Synergistic effects of salicylic acid and melatonin on modulating ion homeostasis in salt-stressed wheat (Triticum aestivum L.) plants by enhancing root H+-pump activity. Plants 2022, 11, 416. [Google Scholar] [CrossRef]
- Maghsoudi, K.; Emam, Y.; Pessarakli, M. Effect of silicon on photosynthetic gas exchange, photosynthetic pigments, cell membrane stability and relative water content of different wheat cultivars under drought stress conditions. J. Plant Nutr. 2016, 39, 1001–1015. [Google Scholar] [CrossRef]
- Chen, Y.E.; Mao, J.J.; Sun, L.Q.; Huang, B.; Ding, C.B.; Gu, Y.; Liao, J.Q.; Hu, C.; Zhang, Z.W.; Yuan, S.; et al. Exogenous melatonin enhances salt stress tolerance in maize seedlings by improving antioxidant and photosynthetic capacity. Physiol. Plant. 2018, 164, 349–363. [Google Scholar] [CrossRef] [PubMed]
- Yang, Y.R.; Cao, Y.P.; Li, Z.X.; Anastasiia, Z.; Yang, S.T.; Wang, J.L.; Tang, Z.H.; Cao, Y.H.; Zhang, Y.F.; Wang, D.L. Interactive effects of exogenous melatonin and rhizophagies intraradical on saline-alkaline stress tolerance in lemus chiesas. Mycorrhiza 2020, 30, 357–371. [Google Scholar] [CrossRef]
- Liang, W.J.; Ma, X.L.; Wan, P.; Liu, L.Y. Plant salt-tolerance mechanism: A review. Biochem. Biophys. Res. Commun. 2018, 495, 286–291. [Google Scholar] [CrossRef] [PubMed]
- Li, J.; Liu, J.; Zhu, T.; Zhao, C.; Li, L.; Chen, M. The role of melatonin in salt stress responses. Int. J. Mol. Sci. 2019, 20, 1735. [Google Scholar] [CrossRef]
- Shakeel, A.; Yun, W.G.; Ihsan, M.; Saqib, F.; Muhammad, K.; Irshad, A.; Muhammad, Z.; Tehseen, J.; Saif, U.; Hua, H.J.; et al. Application of melatonin-mediated modulation of drought tolerance by regulating photosynthetic efficiency, chloroplast ultrastructure, and endogenous hormones in maize. Chem. Biol. Technol. Ag. 2022, 9, 5. [Google Scholar]
- Zhan, X. A Specific Protective Mechanism against chloroplast photo-reactive oxygen species in phosphate-starved rice plants. Adv. Biol. 2023, 7, e2300106. [Google Scholar]
- Anjum, N.A.; Sharma, P.; Gill, S.S.; Hasanuzzaman, M.; Khan, E.A.; Kachhap, K.; Mohamed, A.A.; Thangavel, P.; Devi, G.D.; Vasudhevan, P.; et al. Catalase and ascorbate peroxidase-representative H2O2-detoxifying heme enzymes in plants. Environ. Sci. Pollut. Res. 2016, 23, 19002–19029. [Google Scholar] [CrossRef] [PubMed]
- Li, C.; Wang, P.; Wei, Z.W.; Liang, D.; Liu, C.H.; Yin, L.H.; Jia, D.F.; Fu, M.Y.; Ma, F.W. The mitigation effects of exogenous melatonin on salinity-induced stress in Malus hupehensis. J. Pineal Res. 2012, 53, 298–306. [Google Scholar] [CrossRef] [PubMed]
- Zeng, L.; Cai, J.S.; Li, J.J.; Lu, G.Y.; Li, C.S.; Fu, G.P.; Zhang, X.K.; Ma, H.Q.; Liu, Q.Y.; Zou, X.L.; et al. Exogenous application of a low concentration of melatonin enhances salt tolerance in rapeseed (Brassica napus L.) seedlings. J. Integr. Agric. 2016, 17, 328–335. [Google Scholar] [CrossRef]
- Niu, Y.N.; Zhao, X.Q.; Chao, W.; Lu, P.N.; Bai, X.D.; Mao, T.T. Genetic variation, DIMBOA accumulation, and candidate gene identification in maize multiple insect-resistance. Int. J. Mol. Sci. 2023, 24, 2138. [Google Scholar] [CrossRef] [PubMed]
- Zhao, X.Q.; Zhao, C.; Niu, Y.N.; Chao, W.; He, W.; Wang, Y.F.; Bai, X.D. Understanding and comprehensive evaluation of cold resistance in the seedlings of multiple maize-genotypes. Plants 2022, 11, 1881. [Google Scholar] [CrossRef] [PubMed]



| Gene ID (Encoded Protein) | Gene Position | Primer Sequence (5′ to 3′) | Gene Functional Annotation |
|---|---|---|---|
| Zm00001d025106 (superoxide dismutase) | Chromosome 10 (104541524_104545523 bp) | F: TTGAACTTCACTGGGGTAAGC R: ACAAAAGACTCTGCACGCATC | Superoxide dismutase activity (GO:0004784); removal of superoxide radicals (GO:0019430); superoxide metabolic process (GO:0006801) |
| Zm00001d031908 (superoxide dismutase (SOD1a)) | Chromosome 1 (206405747_206408926 bp) | F: TTCGCCGCTCCCTATTCC R: GTCCTGTCGATATGCACCCA | Superoxide dismutase activity (GO:0004784); oxidoreductase activity (GO:0016491); antioxidant activity (GO:0016209) |
| Zm00001d027511 (catalase 2) | Chromosome 1 (7144389_7146665 bp) | F: CCCCAACTACCTGCTGCTAC R: TGGTTATGAACCGCTCTTGC | Oxidoreductase activity (GO:0016491); catalase activity (GO:0004096); peroxidase activity (GO:0004601); response to abiotic stimulus (GO:0009628); response to hormone (GO:0009725); response to reactive oxygen species (GO:0000302); cellular oxidant detoxification (GO:00098869); hydrogen peroxide catabolic process (GO:0042744); response to oxidative stress (GO:0006979); response to hydrogen peroxide (GO:0042542); peroxisome (GO:0005777) |
| Zm00001d040364 (peroxidase 72) | Chromosome 3 (40090724_40092823 bp) | F: GGATGTATCCTACGCCGCAA R: TTGTCAAACTTGGCAGGGGT | Oxidoreductase activity (GO:0016491); peroxidase activity (GO:0004601); cellular oxidant detoxification (GO:0098869); response to oxidative stress (GO:0006979); hydrogen peroxide catabolic process (GO:0042744) |
| Zm00001d011819 (chlorophyllide a oxygenase chloroplastic) | Chromosome 8 (162062135_162065501) | F: CCATCAAGAAGGGCAAGTTCC R: TCTTTCCTCAAGGTCCCGAT | Oxidoreductase activity (GO:0016491); chlorophyllide a oxygenase [overall] activity (GO:0010277); chlorophyll biosynthetic process (GO:0015995); plastid (GO:0009536); chloroplast (GO:0009507); cytoplasm (GO:0005737) |
| Zm00001d017766 (nine–cis–epoxycarotenoid dioxygenase8) | Chromosome 5 (206198899_206201211 bp) | F: CCACGCACACCAGAGTTACA R: GCTGGGCGCCTTTCTACTAA | Carotene catabolic process (GO:0016121); Obsolete oxidation–reduction process (GO:0055114); Chloroplast (GO:0009507); Chloroplast stroma (GO:0009570); Carotenoid dioxygenase activity (GO:0010436); oxidoreductase activity, acting on single donors with incorporation of molecular oxygen, incorporation of two atoms of oxygen (GO:0016702); 9–cis–epoxycarotenoid dioxygenase activity (GO:0045549); metal ion binding (GO:0046872); dioxygenase activity (GO:0051213) |
| Zm00001d010159 (actin 1) | Chromosome 8 (102413768_102417536 bp) | F: CGATTGAGCATGGCATTGTCA R: CCCACTAGCGTACAACGAA | ATP binding (GO:0005524); nucleotide binding (GO:0000166) |
Disclaimer/Publisher’s Note: The statements, opinions and data contained in all publications are solely those of the individual author(s) and contributor(s) and not of MDPI and/or the editor(s). MDPI and/or the editor(s) disclaim responsibility for any injury to people or property resulting from any ideas, methods, instructions or products referred to in the content. |
© 2024 by the authors. Licensee MDPI, Basel, Switzerland. This article is an open access article distributed under the terms and conditions of the Creative Commons Attribution (CC BY) license (https://creativecommons.org/licenses/by/4.0/).
Share and Cite
Qi, G.; Zhao, X.; He, F.; Sun, S.; Shi, Z.; Niu, Y. Exogenous Melatonin Reinforces Photosynthesis, Antioxidant Defense and Gene Expression to Ameliorate Na2CO3 Stress in Maize. Plants 2024, 13, 2844. https://doi.org/10.3390/plants13202844
Qi G, Zhao X, He F, Sun S, Shi Z, Niu Y. Exogenous Melatonin Reinforces Photosynthesis, Antioxidant Defense and Gene Expression to Ameliorate Na2CO3 Stress in Maize. Plants. 2024; 13(20):2844. https://doi.org/10.3390/plants13202844
Chicago/Turabian StyleQi, Guoxiang, Xiaoqiang Zhao, Fuqiang He, Siqi Sun, Zhenzhen Shi, and Yining Niu. 2024. "Exogenous Melatonin Reinforces Photosynthesis, Antioxidant Defense and Gene Expression to Ameliorate Na2CO3 Stress in Maize" Plants 13, no. 20: 2844. https://doi.org/10.3390/plants13202844
APA StyleQi, G., Zhao, X., He, F., Sun, S., Shi, Z., & Niu, Y. (2024). Exogenous Melatonin Reinforces Photosynthesis, Antioxidant Defense and Gene Expression to Ameliorate Na2CO3 Stress in Maize. Plants, 13(20), 2844. https://doi.org/10.3390/plants13202844

