Stress Induces Trait Variability across Multiple Spatial Scales in the Arid Annual Plant Anastatica hierochuntica
Abstract
1. Introduction
2. Results
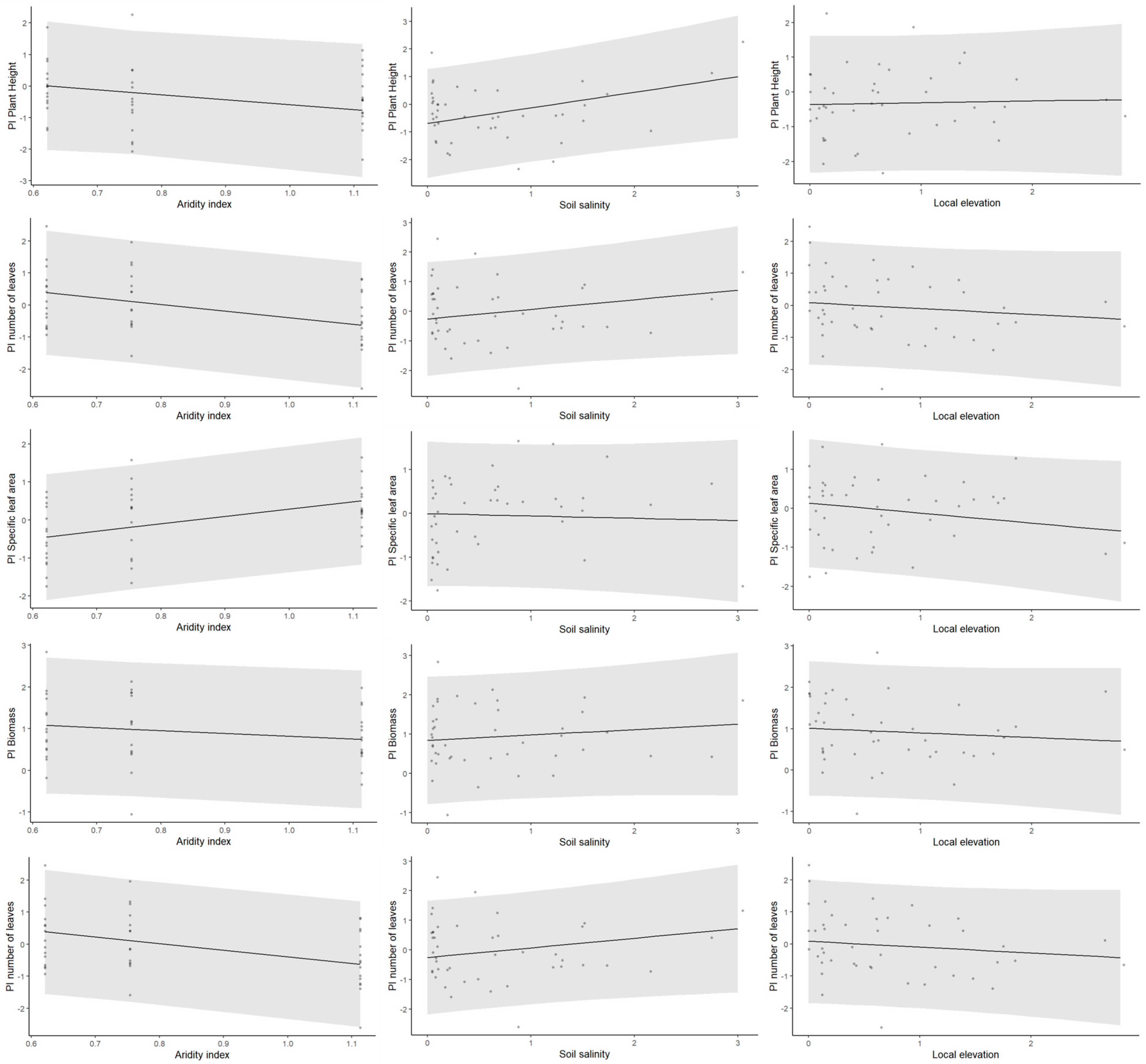
2.1. Population Survey in the Field
2.2. Net House Experiment
3. Discussion
4. Materials and Methods
4.1. Study Species
4.2. Population Survey in the Field
4.3. Environmental Data
4.4. Functional Traits
4.5. Net House Experiment
4.6. Functional Traits
4.7. Statistical Analysis
4.7.1. Population Survey in the Field
4.7.2. Net House Experiment
Supplementary Materials
Author Contributions
Funding
Data Availability Statement
Acknowledgments
Conflicts of Interest
References
- Baythavong, B.S. Linking the Spatial Scale of Environmental Variation and the Evolution of Phenotypic Plasticity: Selection Favors Adaptive Plasticity in Fine-Grained Environments. Am. Nat. 2011, 178, 75–87. [Google Scholar] [CrossRef] [PubMed]
- Theißen, G.; Melzer, R. Robust Views on Plasticity and Biodiversity. Ann. Bot. 2016, 117, 693–697. [Google Scholar] [CrossRef][Green Version]
- Kawecki, T.J. Adaptation to Marginal Habitats. Annu. Rev. Ecol. Evol. Syst. 2008, 39, 321–342. [Google Scholar] [CrossRef]
- Westerband, A.C.; Funk, J.L.; Barton, K.E. Intraspecific Trait Variation in Plants: A Renewed Focus on Its Role in Ecological Processes. Ann. Bot. 2021, 127, 397–410. [Google Scholar] [CrossRef]
- Hoffmann, A.A.; Hercus, M.J. Environmental Stress as an Evolutionary Force. Bioscience 2000, 50, 217–226. [Google Scholar] [CrossRef]
- Kawecki, T.J.; Ebert, D. Conceptual Issues in Local Adaptation. Ecol. Lett. 2004, 7, 1225–1241. [Google Scholar] [CrossRef]
- Abley, K.; Locke, J.C.W.; Leyser, H.M.O. Developmental Mechanisms Underlying Variable, Invariant and Plastic Phenotypes. Ann. Bot. 2016, 117, 733–748. [Google Scholar] [CrossRef]
- Valladares, F.; Matesanz, S.; Guilhaumon, F.; Araújo, M.B.; Balaguer, L.; Benito-Garzón, M.; Cornwell, W.; Gianoli, E.; van Kleunen, M.; Naya, D.E.; et al. The Effects of Phenotypic Plasticity and Local Adaptation on Forecasts of Species Range Shifts under Climate Change. Ecol. Lett. 2014, 17, 1351–1364. [Google Scholar] [CrossRef]
- Simons, A.M. Modes of Response to Environmental Change and the Elusive Empirical Evidence for Bet Hedging. Proc. R. Soc. B Biol. Sci. 2011, 278, 1601–1609. [Google Scholar] [CrossRef]
- Ghalambor, C.K.; McKay, J.K.; Carroll, S.P.; Reznick, D.N. Adaptive versus Non-Adaptive Phenotypic Plasticity and the Potential for Contemporary Adaptation in New Environments. Funct. Ecol. 2007, 21, 394–407. [Google Scholar] [CrossRef]
- Chevin, L.M.; Hoffmann, A.A. Evolution of Phenotypic Plasticity in Extreme Environments. Philos. Trans. R. Soc. B Biol. Sci. 2017, 372, 20160138. [Google Scholar] [CrossRef]
- Lázaro-Nogal, A.; Matesanz, S.; Godoy, A.; Pérez-Trautman, F.; Gianoli, E.; Valladares, F. Environmental Heterogeneity Leads to Higher Plasticity in Dry-Edge Populations of a Semi-Arid Chilean Shrub: Insights into Climate Change Responses. J. Ecol. 2015, 103, 338–350. [Google Scholar] [CrossRef]
- Alpert, P.; Simms, E. The Relative Advantages of Plasticity and Fixity in Different Environments: When Is It Good for a Plant to Adjust? Evol. Ecol. 2002, 16, 285–297. [Google Scholar] [CrossRef]
- Chevin, L.M.; Lande, R.; Mace, G.M. Adaptation, Plasticity, and Extinction in a Changing Environment: Towards a Predictive Theory. PLoS Biol. 2010, 8, e1000357. [Google Scholar] [CrossRef] [PubMed]
- Van Kleunen, M.; Fischer, M. Constraints on the Evolution of Adaptive Phenotypic Plasticity in Plants. New Phytol. 2005, 166, 49–60. [Google Scholar] [CrossRef] [PubMed]
- Nicotra, A.B.; Segal, D.L.; Hoyle, G.L.; Schrey, A.W.; Verhoeven, K.J.F.; Richards, C.L. Adaptive Plasticity and Epigenetic Variation in Response to Warming in an Alpine Plant. Ecol. Evol. 2015, 5, 634–647. [Google Scholar] [CrossRef]
- Matesanz, S.; Ramos-Muñoz, M.; Blanco-Sánchez, M.; Escudero, A. High Differentiation in Functional Traits but Similar Phenotypic Plasticity in Populations of a Soil Specialist along a Climatic Gradient. Ann. Bot. 2020, 125, 969–980. [Google Scholar] [CrossRef]
- Welles, S.R.; Funk, J.L. Patterns of Intraspecific Trait Variation along an Aridity Gradient Suggest Both Drought Escape and Drought Tolerance Strategies in an Invasive Herb. Ann. Bot. 2021, 127, 461–471. [Google Scholar] [CrossRef]
- Chesson, P.; Gebauer, R.L.E.; Schwinning, S.; Huntly, N.; Wiegand, K.; Ernest, M.S.K.; Sher, A.; Novoplansky, A.; Weltzin, J.F. Resource Pulses, Species Interactions, and Diversity Maintenance in Arid and Semi-Arid Environments. Oecologia 2004, 141, 236–253. [Google Scholar] [CrossRef] [PubMed]
- Angert, A.L.; Huxman, T.E.; Barron-Gafford, G.A.; Gerst, K.L.; Venable, D.L. Linking Growth Strategies to Long-Term Population Dynamics in a Guild of Desert Annuals. J. Ecol. 2007, 95, 321–331. [Google Scholar] [CrossRef]
- Huxman, T.E.; Barron-Gafford, G.; Gerst, K.L.; Angert, A.L.; Tyler, A.P.; Venable, D.L. Photosynthetic Resource-Use Efficiency and Demographic Variability in Desert Winter Annual Plants. Ecology 2008, 89, 1554–1563. [Google Scholar] [CrossRef]
- Friedman, J.; Gunderman, N.; Ellis, M. Water Response of the Hygrochastic Skeletons of the True Rose of Jericho (Anastatica hierochuntica L.). Oecologia 1978, 32, 289–301. [Google Scholar] [CrossRef] [PubMed]
- Kabiel, H.F.; Hegazy, A.K.; Faisal, M.; Doma, E.A. Genetic Variations within and among Populations of Anastatica heirochuntica at Macroscale Geographical Range. Appl. Ecol. Environ. Res. 2013, 11, 343–354. [Google Scholar] [CrossRef]
- Hegazy, A.K.; Barakat, H.N.; Kabiel, H.F. Anatomical Significance of the Hygrochastic Movement in Anastatica hierochuntica. Ann. Bot. 2006, 97, 47–55. [Google Scholar] [CrossRef][Green Version]
- Kazachkova, Y.; Eshel, G.; Pantha, P.; Cheeseman, J.M.; Dassanayake, M.; Barak, S. Halophytism: What Have We Learnt from Arabidopsis thaliana Relative Model Systems? Plant Physiol. 2018, 178, 972–988. [Google Scholar] [CrossRef] [PubMed]
- Eshel, G.; Duppen, N.; Wang, G.; Oh, D.H.; Kazachkova, Y.; Herzyk, P.; Amtmann, A.; Gordon, M.; Chalifa-Caspi, V.; Oscar, M.A.; et al. Positive Selection and Heat-Response Transcriptomes Reveal Adaptive Features of the Brassicaceae Desert Model, Anastatica hierochuntica. New Phytol. 2022, 236, 1006–1026. [Google Scholar] [CrossRef]
- Gutterman, Y. Strategies of Seed Dispersal and Germination in Plants Inhabiting Deserts. Bot. Rev. 1994, 60, 373–425. [Google Scholar] [CrossRef]
- Seifan, M. On Trait Variability in Harsh Habitats. Am. J. Bot. 2023, 110, e16206. [Google Scholar] [CrossRef]
- Stotz, G.C.; Salgado-Luarte, C.; Escobedo, V.M.; Valladares, F.; Gianoli, E. Phenotypic Plasticity and the Leaf Economics Spectrum: Plasticity Is Positively Associated with Specific Leaf Area. Oikos 2022, 2022, e09342. [Google Scholar] [CrossRef]
- De Kort, H.; Panis, B.; Helsen, K.; Douzet, R.; Janssens, S.B.; Honnay, O. Pre-Adaptation to Climate Change through Topography-Driven Phenotypic Plasticity. J. Ecol. 2020, 108, 1465–1474. [Google Scholar] [CrossRef]
- Schwinning, S.; Weiner, J. Mechanisms Determining the Degree of Size Asymmetry in Competition among Plants. Oecologia 1998, 113, 447–455. [Google Scholar] [CrossRef] [PubMed]
- Westoby, M. A Leaf-Height-Seed (LHS) Plant Ecology Strategy Scheme. Plant Soil. 1998, 199, 213–227. [Google Scholar] [CrossRef]
- Caño, L.; Fuertes-Mendizabal, T.; García-Baquero, G.; Herrera, M.; Begoña González-Moro, M. Plasticity to Salinity and Transgenerational Effects in the Nonnative Shrub Baccharis halimifolia: Insights into an Estuarine Invasion. Am. J. Bot. 2016, 103, 808–820. [Google Scholar] [CrossRef]
- Huang, Y.; Fan, G.; Zhou, D.; Pang, J. Phenotypic Plasticity of Four Chenopodiaceae Species with Contrasting Saline–Sodic Tolerance in Response to Increased Salinity–Sodicity. Ecol. Evol. 2019, 9, 1545–1553. [Google Scholar] [CrossRef] [PubMed]
- Bajji, M.; Kinet, J.M.; Lutts, S. The Use of the Electrolyte Leakage Method for Assessing Cell Membrane Stability as a Water Stress Tolerance Test in Durum Wheat. Plant Growth Regul. 2001, 36, 61–70. [Google Scholar] [CrossRef]
- Matesanz, S.; Ramírez-Valiente, J.A. A Review and Meta-Analysis of Intraspecific Differences in Phenotypic Plasticity: Implications to Forecast Plant Responses to Climate Change. Glob. Ecol. Biogeogr. 2019, 28, 1682–1694. [Google Scholar] [CrossRef]
- Martínez-Vilalta, J.; García-Valdés, R.; Jump, A.; Vilà-Cabrera, A.; Mencuccini, M. Accounting for Trait Variability and Coordination in Predictions of Drought-Induced Range Shifts in Woody Plants. New Phytol. 2023, 240, 23–40. [Google Scholar] [CrossRef]
- Poorter, H.; Niinemets, Ü.; Poorter, L.; Wright, I.J.; Villar, R. Causes and Consequences of Variation in Leaf Mass per Area (LMA): A Meta-Analysis. New Phytol. 2009, 182, 565–588. [Google Scholar] [CrossRef]
- Steinger, T.; Roy, B.A.; Stanton, M.L. Evolution in Stressful Environments II: Adaptive Value and Costs of Plasticity in Response to Low Light in Sinapis Arvensis. J. Evol. Biol. 2003, 16, 313–323. [Google Scholar] [CrossRef]
- Bongers, F.J.; Olmo, M.; Lopez-Iglesias, B.; Anten, N.P.R.; Villar, R. Drought Responses, Phenotypic Plasticity and Survival of Mediterranean Species in Two Different Microclimatic Sites. Plant Biol. 2017, 19, 386–395. [Google Scholar] [CrossRef]
- Carrascosa, A.; Silvestre, M.; Morgado, L.; Azcárate, F.M. Diversity and Mean Specific Leaf Area of Mediterranean Woody Vegetation Changes in Response to Summer Drought across a Double Stress Gradient: The Role of Phenotypic Plasticity. J. Veg. Sci. 2023, 34, e13180. [Google Scholar] [CrossRef]
- Pigliucci, M.; Kolodynska, A. Phenotypic Plasticity and Integration in Response to Flooded Conditions in Natural Accessions of Arabidopsis thaliana (L.) Heynh (Brassicaceae). Ann. Bot. 2002, 90, 199–207. [Google Scholar] [CrossRef] [PubMed]
- Richards, C.L.; Pennings, S.C.; Donovan, L.A. Habitat Range and Phenotypic Variation in Salt Marsh Plants. Plant Ecol. 2005, 176, 263–273. [Google Scholar] [CrossRef]
- Céccoli, G.; Bustos, D.; Ortega, L.I.; Senn, M.E.; Vegetti, A.; Taleisnik, E. Plasticity in Sunflower Leaf and Cell Growth under High Salinity. Plant Biol. 2014, 17, 41–51. [Google Scholar] [CrossRef] [PubMed]
- Shaar-Moshe, L.; Hayouka, R.; Roessner, U.; Peleg, Z. Phenotypic and Metabolic Plasticity Shapes Life-History Strategies under Combinations of Abiotic Stresses. Plant Direct 2018, 3, e00113. [Google Scholar] [CrossRef]
- Castro, B.M.; Moriuchi, K.S.; Friesen, M.L.; Badri, M.; Nuzhdin, S.V.; Strauss, S.Y.; Cook, D.R.; von Wettberg, E. Parental Environments and Interactions with Conspecifics Alter Salinity Tolerance of Offspring in the Annual Medicago truncatula. J. Ecol. 2013, 101, 1281–1287. [Google Scholar] [CrossRef]
- Richards, C.L.; Bossdorf, O.; Muth, N.Z.; Gurevitch, J.; Pigliucci, M. Jack of All Trades, Master of Some? On the Role of Phenotypic Plasticity in Plant Invasions. Ecol. Lett. 2006, 9, 981–993. [Google Scholar] [CrossRef]
- Siefert, A.; Violle, C.; Chalmandrier, L.; Albert, C.H.; Taudiere, A.; Fajardo, A.; Aarssen, L.W.; Baraloto, C.; Carlucci, M.B.; Cianciaruso, M.V.; et al. A Global Meta-Analysis of the Relative Extent of Intraspecific Trait Variation in Plant Communities. Ecol. Lett. 2015, 18, 1406–1419. [Google Scholar] [CrossRef]
- Grünzweig, J.M.; De Boeck, H.J.; Rey, A.; Santos, M.J.; Adam, O.; Bahn, M.; Belnap, J.; Deckmyn, G.; Dekker, S.C.; Flores, O.; et al. Dryland Mechanisms Could Widely Control Ecosystem Functioning in a Drier and Warmer World. Nat. Ecol. Evol. 2022, 6, 1064–1076. [Google Scholar] [CrossRef]
- Gutterman, Y.; Shem-Tov, S. Mucilaginous Seed Coat Structure of Carrichtera annua and Anastatica hierochuntica from the Negev Desert Highlands of Israel, and Its Adhesion to the Soil Crust. J. Arid Environ. 1997, 35, 695–705. [Google Scholar] [CrossRef]
- Eppel, A.; Shaked, R.; Eshel, G.; Barak, S.; Rachmilevitch, S. Low Induction of Non-Photochemical Quenching and High Photochemical Efficiency in the Annual Desert Plant Anastatica hierochuntica. Physiol. Plant. 2014, 151, 544–558. [Google Scholar] [CrossRef] [PubMed]
- Eshel, G.; Shaked, R.; Kazachkova, Y.; Khan, A.; Eppel, A.; Cisneros, A.; Acuna, T.; Gutterman, Y.; Tel-Zur, N.; Rachmilevitch, S.; et al. Anastatica hierochuntica, an Arabidopsis Desert Relative, Is Tolerant to Multiple Abiotic Stresses and Exhibits Species-Specific and Common Stress Tolerance Strategies with Its Halophytic Relative, Eutrema (Thellungiella) salsugineum. Front. Plant Sci. 2017, 7, 1992. [Google Scholar] [CrossRef] [PubMed]
- Cruzan, M.B.; Weinstein, B.G.; Grasty, M.R.; Kohrn, B.F.; Hendrickson, E.C.; Arredondo, T.M.; Thompson, P.G. Small Unmanned Aerial Vehicles (Micro-Uavs, Drones) in Plant Ecology. Appl. Plant Sci. 2016, 4, 1600041. [Google Scholar] [CrossRef] [PubMed]
- Cressie, N. The Origins of Kriging. Math. Geol. 1990, 22, 239–252. [Google Scholar] [CrossRef]
- Pérez-Harguindeguy, N.; Díaz, S.; Garnier, E.; Lavorel, S.; Poorter, H.; Jaureguiberry, P.; Bret-Harte, M.S.; Cornwell, W.K.; Craine, J.M.; Gurvich, D.E.; et al. New Handbook for Standardised Measurement of Plant Functional Traits Worldwide. Aust. J. Bot. 2013, 61, 167–234. [Google Scholar] [CrossRef]
- Rasband, W.S. ImageJ Software; National Institutes of Health: Bethesda, MD, USA, 1997. [Google Scholar]
- Verslues, P.E.; Agarwal, M.; Katiyar-Agarwal, S.; Zhu, J.; Zhu, J.K. Methods and Concepts in Quantifying Resistance to Drought, Salt and Freezing, Abiotic Stresses That Affect Plant Water Status. Plant J. 2006, 45, 523–539. [Google Scholar] [CrossRef]
- Bates, D.; Mächler, M.; Bolker, B.M.; Walker, S.C. Fitting Linear Mixed-Effects Models Using Lme4. J. Stat. Softw. 2015, 67, 1–48. [Google Scholar] [CrossRef]
- Patil, I. Visualizations with Statistical Details: The “ggstatsplot” Approach. J. Open Source Softw. 2021, 6, 3167. [Google Scholar] [CrossRef]
- Dalgaard, P. R: A Language and Environment for Statistical Computing; R Development Core Team: Vienna, Austria, 2010. [Google Scholar]






|
Height χ2(df) |
Leaves Number χ2(df) |
SLA χ2(df) |
Electrolyte Leakage χ2(df) | ||
|---|---|---|---|---|---|
| Site scale | Aridity | 1.7142(2) | 1.2329(2) | 1.8891(1) | 1.0783(1) |
| Local scale | Salinity | 0.6339(1) | 0.3457(1) | 0.2905(1) | 0.0891(1) |
| Local elevation | 0.0515(1) | 0.0835(1) | 2.8729(1) | 0.5262(1) | |
| Covariates | Height | 24.7515 ***(1) | |||
| Conditional R2 | 0.662 | 0.456 | 0.118 | 0.505 |
| Plant Height | Leaves Number | SLA | Electrolyte Leakage | ||
|---|---|---|---|---|---|
| Site scale | Aridity | 9.0136 ** | 2.6397 | 0.0038 | 5.6025 * |
| Local scale | Salinity | 0.0490 | 0.2562 | 1.7602 | 0.4499 |
| Local elevation | 1.0811 | 0.0126 | 0.3554 | 1.6168 | |
| Aridity × salinity | 15.0710 *** | 3.3534 | 0.5997 | 0.1624 | |
| Aridity × local elevation | 1.4808 | 2.3731 | 0.1769 | 3.7699 | |
| Conditional R2 | 0.611 | 0.793 | 0.853 | 0.6730 |
| Height | Leaves Number | SLA | Biomass | Fruits Number | ||
|---|---|---|---|---|---|---|
| Site scale | Aridity | 1.2366 | 6.1838 ** | 7.5182 ** | 0.9555 | 0.0389 |
| Local scale | Salinity | 6.3152 * | 2.2407 | 0.0803 | 0.5735 | 0.4884 |
| Local elevation | 0.0430 | 0.7227 | 1.9718 | 0.3787 | 0.0336 | |
| Conditional R2 | 0.280 | 0.187 | 0.175 | 0.047 | 0.013 |
Disclaimer/Publisher’s Note: The statements, opinions and data contained in all publications are solely those of the individual author(s) and contributor(s) and not of MDPI and/or the editor(s). MDPI and/or the editor(s) disclaim responsibility for any injury to people or property resulting from any ideas, methods, instructions or products referred to in the content. |
© 2024 by the authors. Licensee MDPI, Basel, Switzerland. This article is an open access article distributed under the terms and conditions of the Creative Commons Attribution (CC BY) license (https://creativecommons.org/licenses/by/4.0/).
Share and Cite
Krintza, N.; Dener, E.; Seifan, M. Stress Induces Trait Variability across Multiple Spatial Scales in the Arid Annual Plant Anastatica hierochuntica. Plants 2024, 13, 256. https://doi.org/10.3390/plants13020256
Krintza N, Dener E, Seifan M. Stress Induces Trait Variability across Multiple Spatial Scales in the Arid Annual Plant Anastatica hierochuntica. Plants. 2024; 13(2):256. https://doi.org/10.3390/plants13020256
Chicago/Turabian StyleKrintza, Nir, Efrat Dener, and Merav Seifan. 2024. "Stress Induces Trait Variability across Multiple Spatial Scales in the Arid Annual Plant Anastatica hierochuntica" Plants 13, no. 2: 256. https://doi.org/10.3390/plants13020256
APA StyleKrintza, N., Dener, E., & Seifan, M. (2024). Stress Induces Trait Variability across Multiple Spatial Scales in the Arid Annual Plant Anastatica hierochuntica. Plants, 13(2), 256. https://doi.org/10.3390/plants13020256

