Polyacrylamide Regulated Phytohormone Balance and Starch Degradation to Promote Seed-Potato Sprouting and Emergence
Abstract
1. Introduction
2. Results
2.1. PAM Treatment Promoted Potato Sprouting in Air
2.2. PAM Treatment Increased Potato Seedling Emergence
2.3. PAM Treatment Enhanced Potato Tuber Respiration Intensity
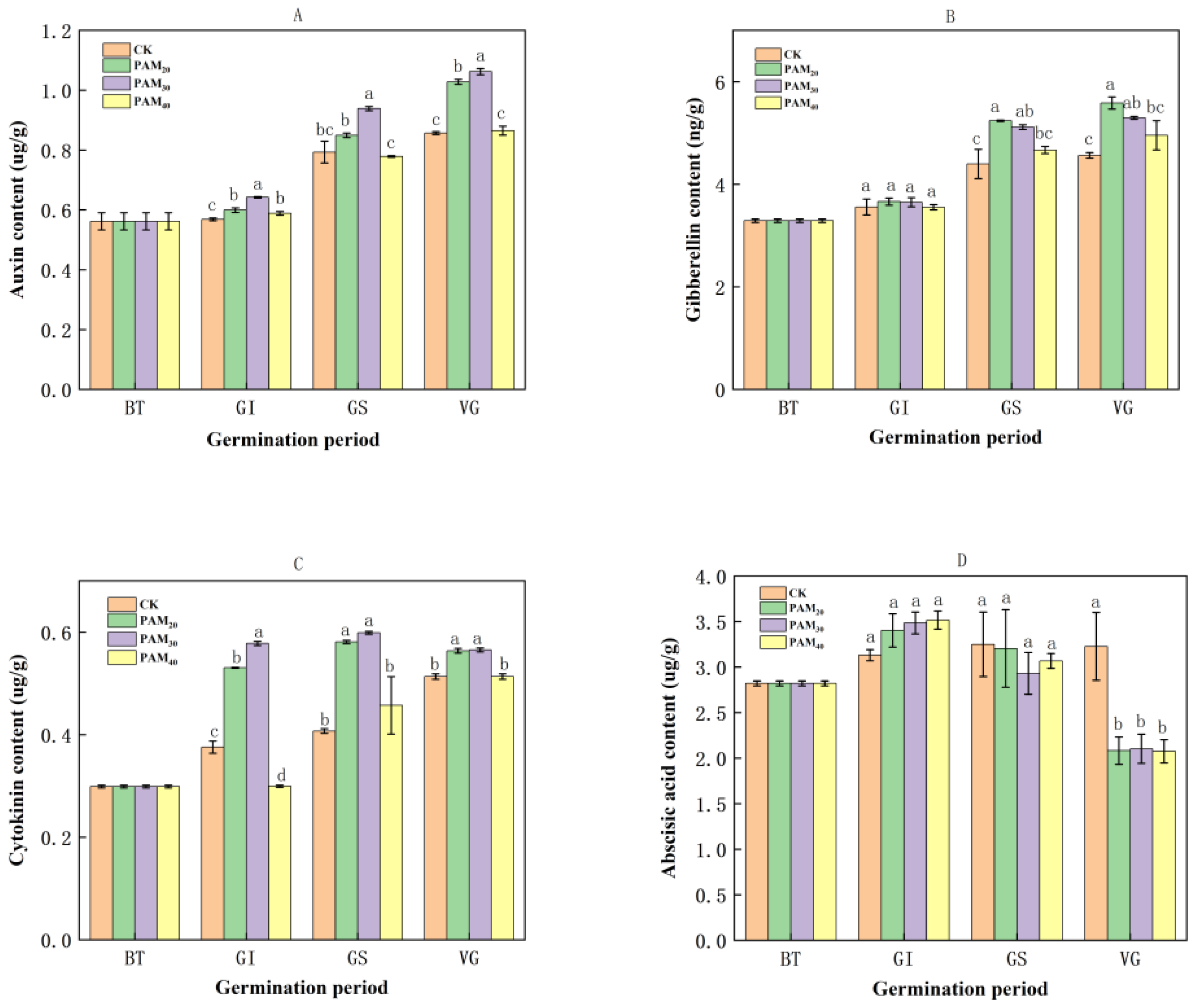
2.4. PAM Treatment Altered Endogenous Phytohormone Levels in Potato Tuber Apical Buds
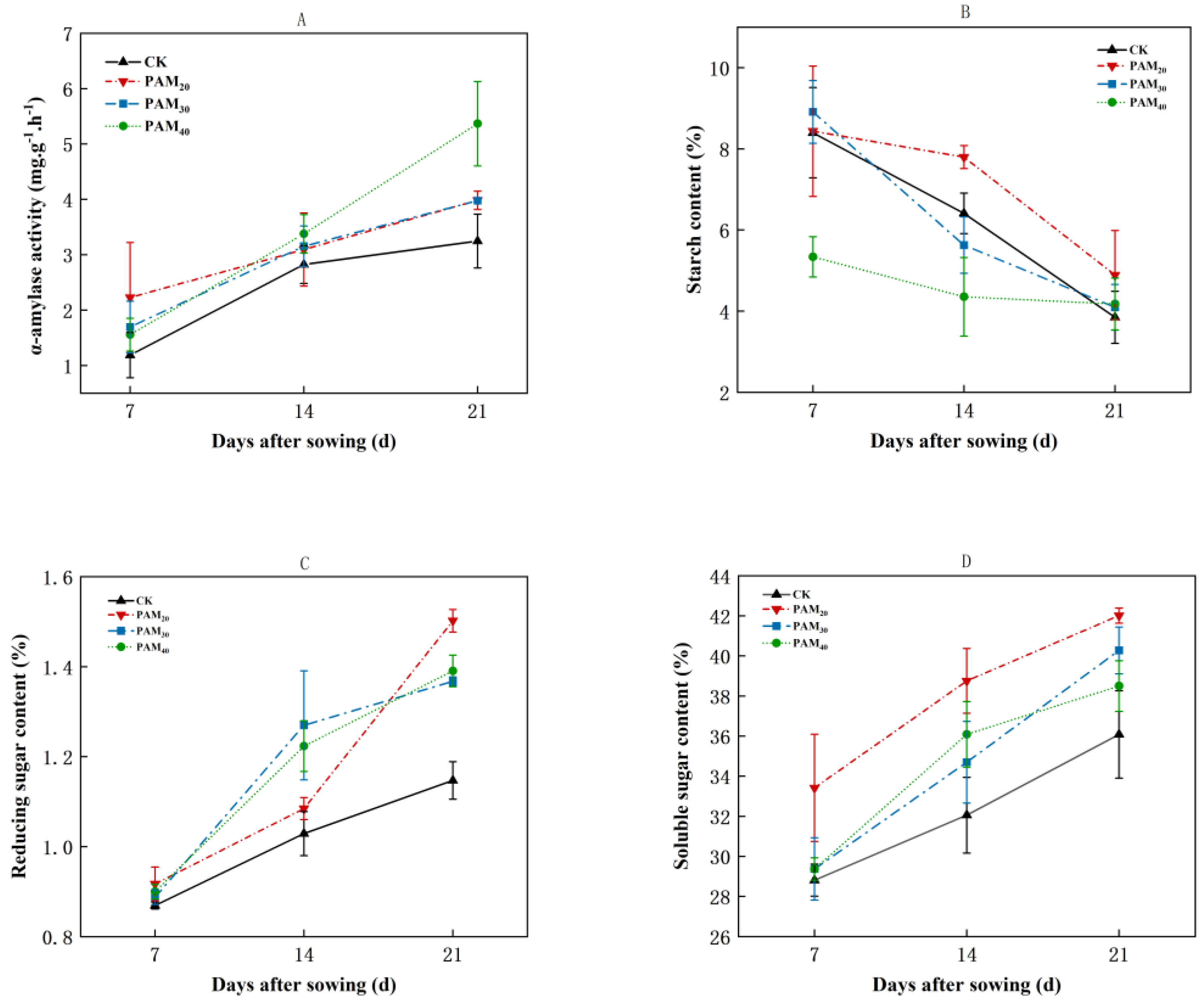
2.5. PAM Treatment Accelerated Starch Transformation by Activating α-Amylase
3. Discussion
3.1. PAM Treatment Promoted Potato Sprouting and Seedling Growth
3.2. PAM Regulated Phytohormones during Potato Tuber Sprouting
3.3. PAM Accelerated Starch Degradation to Provide Nutrients for Potato Tuber Sprouting
3.4. PAM Enhanced Respiration to Provide Energy for Potato Tuber Sprouting
4. Materials and Methods
4.1. Materials
4.2. Seed Potato Treatment with PAM
4.3. Potato Sprouting in Air after PAM Treatment
4.4. Potato Sprouting in Soil after PAM Treatment
4.5. Quantitative Analysis of Phytohormones
4.6. Starch Metabolism Analysis
4.7. Statistical Analysis
5. Conclusions
Author Contributions
Funding
Data Availability Statement
Acknowledgments
Conflicts of Interest
Abbreviations
| ABA | Abscisic acid |
| BT | Before treatment |
| CK | Control (no polyacrylamide treatment) |
| CTK | Cytokinin |
| CS2 | Carbon disulfide |
| DW | Dry weight |
| FW | Fresh weight |
| GA | Gibberellin |
| GI | Germination initiation |
| GS | Germination stage |
| IAA | Auxin |
| PAM | Polyacrylamide |
| VG | Vigorous growth |
References
- Sonnewald, U. Control of potato tuber sprouting. Trends Plant Sci. 2001, 6, 333–335. [Google Scholar] [CrossRef] [PubMed]
- Abelenda, J.A.; Navarro, C.; Prat, S. From the model to the crop: Genes controlling tuber formation in potato. Curr. Opin. Biotechnol. 2011, 22, 287–292. [Google Scholar] [CrossRef] [PubMed]
- Zhang, L.; Zhang, G.; Dai, Z.; Bian, P.; Zhong, N.; Zhang, Y.; Cai, D.; Wu, Z. Promoting potato seed sprouting using an amphiphilic nanocomposite. J. Agric. Food Chem. 2018, 66, 9657–9666. [Google Scholar] [CrossRef] [PubMed]
- Zhang, G.; Tang, R.; Niu, S.; Si, H.; Yang, Q.; Rajora, O.P.; Li, X.Q. Heat-stress-induced sprouting and differential gene expression in growing potato tubers: Comparative transcriptomics with that induced by postharvest sprouting. Hortic. Res. 2021, 8, 226. [Google Scholar] [CrossRef]
- Li, R.; Long, J.; Yan, Y.; Luo, J.; Xu, Z.; Liu, X. Addition of white light to monochromatic red and blue lights alters the formation, growth, and dormancy of in vitro-grown Solanum tuberosum L. microtubers. Hortscience 2019, 55, 71–77. [Google Scholar] [CrossRef]
- Mølmann, J.A.B.; Johansen, T.J. Sprout growth inhibition and photomorphogenic development of potato seed tubers (Solanum tuberosum L.) under different LED light colours. Potato Res. 2020, 63, 199–215. [Google Scholar] [CrossRef]
- Di, X.; Wang, Q.; Zhang, F.; Feng, H.; Wang, X.; Cai, C. Advances in the modulation of potato tuber dormancy and sprouting. Int. J. Mol. Sci. 2024, 25, 5078. [Google Scholar] [CrossRef]
- Aksenova, N.P.; Sergeeva, L.I.; Konstantinova, T.N.; Golyanovskaya, S.A.; Kolachevskaya, O.O.; Romanov, G.A. Regulation of potato tuber dormancy and sprouting. Russ. J. Plant Physiol. 2013, 60, 301–312. [Google Scholar] [CrossRef]
- Deligios, P.A.; Rapposelli, E.; Mameli, M.G.; Baghino, L.; Mallica, G.M.; Ledda, L. Effects of physical, mechanical and hormonal treatments of seed-tubers on bud dormancy and plant productivity. Agronomy 2020, 10, 33. [Google Scholar] [CrossRef]
- Xie, Y.; Onik, J.C.; Hu, X.; Duan, Y.; Lin, Q. Effects of (S)-carvone and gibberellin on sugar accumulation in potatoes during low temperature storage. Molecules 2018, 23, 3118. [Google Scholar] [CrossRef]
- Carrera, E.; Bou, J.; García-Martínez, J.L.; Prat, S. Changes in GA 20-oxidase gene expression strongly affect stem length, tuber induction and tuber yield of potato plants. Plant J. 2000, 22, 247–256. [Google Scholar] [CrossRef] [PubMed]
- Esztergályos, Á.; Polgár, Z. Effect of chemical treatments used for dormancy breaking on the number of stems and tubers of Hungarian potato varieties. Acta Agrar. Kaposváriensis 2020, 24, 61–74. [Google Scholar] [CrossRef]
- Suttle, J.C. Postharvest changes in endogenous ABA levels and ABA metabolism in relation to dormancy in potato tubers. Physiol. Plant. 1995, 95, 233–240. [Google Scholar] [CrossRef]
- Destefano-Beltrán, L.; Knauber, D.; Huckle, L.; Suttle, J.C. Effects of postharvest storage and dormancy status on ABA content, metabolism, and expression of genes involved in ABA biosynthesis and metabolism in potato tuber tissues. Plant Mol. Biol. 2006, 61, 687–697. [Google Scholar] [CrossRef]
- Sorce, C.; Lombardi, L.; Giorgetti, L.; Parisi, B.; Ranalli, P.; Lorenzi, R. Indoleacetic acid concentration and metabolism changes during bud development in tubers of two potato (Solanum tuberosum) cultivars. J. Plant Physiol. 2009, 166, 1023–1033. [Google Scholar] [CrossRef]
- Karanisa, T.; Alexopoulos, A.A.; Tsaniklidis, G.; Karapanos, I.C.; Akoumianakis, K.A. Carbon disulphide (CS2) promotes sprouting and affects the metabolism of harvested minitubers grown from true potato seed. Potato Res. 2016, 59, 345–356. [Google Scholar] [CrossRef]
- Cheng, Y.C.; Wang, C.P.; Liu, K.Y.; Pan, S.Y. Towards sustainable management of polyacrylamide in soil-water environment: Occurrence, degradation, and risk. Sci. Total Environ. 2024, 926, 171587. [Google Scholar] [CrossRef] [PubMed]
- Sojka, R.E.; Bjorneberg, D.L.; Entry, J.A.; Lentz, R.D.; Orts, W.J. Polyacrylamide in agriculture and environmental land management. Adv. Agron. 2007, 92, 75–162. [Google Scholar] [CrossRef]
- Chen, Z.; Wang, R.; Han, P.; Sun, H.; Sun, H.; Li, C.; Yang, L. Soil water repellency of the artificial soil and natural soil in rocky slopes as affected by the drought stress and polyacrylamide. Sci. Total Environ. 2018, 619–620, 401–409. [Google Scholar] [CrossRef]
- Tang, X.; Fei, X.; Sun, Y.; Shao, H.; Zhu, J.; He, X.; Wang, X.; Yong, B.; Tao, X. Abscisic acid-polyacrylamide (ABA-PAM) treatment enhances forage grass growth and soil microbial diversity under drought stress. Front. Plant Sci. 2022, 13, 973665. [Google Scholar] [CrossRef]
- Ke, Z.J.; Yin, M.Q.; Wen, Y.Y.; Huang, M.J.; Huang, X.F.; Guo, P.Y.; Wang, Y.G.; Yuan, X.Y. Effects of polyacrylamide seed soaking on seed germination and drought resistance of millet (Setaria italica) seedlings under drought stress. J. Nucl. Agric. Sci. 2015, 29, 563–570. [Google Scholar] [CrossRef]
- Ma, X.T.; Qu, K.Y.; Zhao, X.H.; Wang, Y.Y.; Zhang, X.; Zhang, X.R.; Zhou, X.; Ding, J.J.; Wang, X.Z.; Ma, L.; et al. Oxidized sodium alginate/polyacrylamide hydrogels adhesive for promoting wheat growth. Int. J. Biol. Macromol. 2023, 253, 127450. [Google Scholar] [CrossRef] [PubMed]
- Hayat, R.; Ali, S. Water absorption by synthetic polymer (Aquasorb) and its effect on soil properties and tomato yield. Int. J. Agric. Biol. 2004, 6, 998–1200. [Google Scholar]
- Li, L.Q.; Chen, J.; Lu, Y.F.; Ren, B.; Huang, X.L.; Yu, L.P.; Zeng, F.C.; Wang, Q.; Wang, X.Y.; Lu, L.M. Physiological and proteomic analyses of γ-aminobutyric acid (GABA)-treated tubers reveals that StPOD42 promotes sprouting in potato. J. Plant Physiol. 2022, 278, 153826. [Google Scholar] [CrossRef] [PubMed]
- Salimi, K.; Tavakkol Afshari, R.; Hosseini, M.B.; Struik, P.C. Effects of gibberellic acid and carbon disulphide on sprouting of potato minitubers. Sci. Hortic. 2010, 124, 14–18. [Google Scholar] [CrossRef]
- Li, L.Q.; Deng, M.S.; Lyu, C.C.; Zhang, J.; Peng, J.; Cai, C.C.; Yang, S.M.; Lu, L.M.; Ni, S.; Liu, F.; et al. Quantitative phosphoproteomics analysis reveals that protein modification and sugar metabolism contribute to sprouting in potato after BR treatment. Food Chem. 2020, 325, 126875. [Google Scholar] [CrossRef]
- Nile, S.H.; Thiruvengadam, M.; Wang, Y.; Samynathan, R.; Shariati, M.A.; Rebezov, M.; Nile, A.; Sun, M.; Venkidasamy, B.; Xiao, J.; et al. Nano-priming as emerging seed priming technology for sustainable agriculture—Recent developments and future perspectives. J. Nanobiotechnol. 2022, 20, 254. [Google Scholar] [CrossRef]
- Dogramaci, M.; Dobry, E.P.; A Fortini, E.; Sarkar, D.; Eshel, D.; A Campbell, M. Physiological and molecular mechanisms associated with potato tuber dormancy. J. Exp. Bot. 2024, 182, erae182. [Google Scholar] [CrossRef]
- Hartmann, A.; Senning, M.; Hedden, P.; Sonnewald, U.; Sonnewald, S. Reactivation of meristem activity and sprout growth in potato tubers require both cytokinin and gibberellin. Plant Physiol. 2011, 155, 776–796. [Google Scholar] [CrossRef]
- Suttle, J.C.; Abrams, S.R.; De Stefano-Beltrán, L.; Huckle, L.L. Chemical inhibition of potato ABA-8′-hydroxylase activity alters in vitro and in vivo ABA metabolism and endogenous ABA levels but does not affect potato microtuber dormancy duration. J. Exp. Bot. 2012, 63, 5717–5725. [Google Scholar] [CrossRef]
- Zhang, X.; Fujino, K.; Shimura, H. Transcriptomic analyses reveal the role of cytokinin and the nodal stem in microtuber sprouting in potato (Solanum tuberosum L.). Int. J. Mol. Sci. 2023, 24, 17534. [Google Scholar] [CrossRef]
- Sonnewald, S.; Sonnewald, U. Regulation of potato tuber sprouting. Planta 2014, 239, 27–38. [Google Scholar] [CrossRef] [PubMed]
- Sorce, C.; Lorenzi, R.; Ceccarelli, N.; Ranalli, P. Changes in free and conjugated IAA during dormancy and sprouting of potato tubers. Funct. Plant Biol. 2000, 27, 371–377. [Google Scholar] [CrossRef]
- Faivre-Rampant, O.; Cardle, L.; Marshall, D.; Viola, R.; Taylor, M.A. Changes in gene expression during meristem activation processes in Solanum tuberosum with a focus on the regulation of an auxin response factor gene. J. Exp. Bot. 2004, 55, 613–622. [Google Scholar] [CrossRef]
- Ferreira, S.J.; Senning, M.; Fischer-Stettler, M.; Streb, S.; Ast, M.; Neuhaus, H.E.; Zeeman, S.C.; Sonnewald, S.; Sonnewald, U. Simultaneous silencing of isoamylases ISA1, ISA2 and ISA3 by multi-target RNAi in potato tubers leads to decreased starch content and an early sprouting phenotype. PLoS ONE 2017, 12, e0181444. [Google Scholar] [CrossRef]
- Farré, E.M.; Bachmann, A.; Willmitzer, L.; Trethewey, R.N. Acceleration of potato tuber sprouting by the expression of a bacterial pyrophosphatase. Nat. Biotechnol. 2001, 19, 268–272. [Google Scholar] [CrossRef]
- Hou, J.; Liu, T.; Reid, S.; Zhang, H.; Peng, X.; Sun, K.; Du, J.; Sonnewald, U.; Song, B. Silencing of α-amylase StAmy23 in potato tuber leads to delayed sprouting. Plant Physiol. Biochem. 2019, 139, 411–418. [Google Scholar] [CrossRef]
- Haider, M.W.; Nafees, M.; Iqbal, R.; Asad, H.U.; Azeem, F.; Ali, B.; Shaheen, G.; Iqbal, J.; Vyas, S.; Arslan, M.; et al. Postharvest starch and sugars adjustment in potato tubers of wide-ranging dormancy genotypes subjected to various sprout forcing techniques. Sci. Rep. 2023, 13, 14845. [Google Scholar] [CrossRef]
- Blauer, J.M.; Knowles, L.O.; Knowles, N.R. Evidence that tuber respiration is the pacemaker of physiological aging in seed potatoes (Solanum tuberosum L.). J. Plant Growth Regul. 2013, 32, 708–720. [Google Scholar] [CrossRef]
- Alisdair, R.F.; Lothar, W. Molecular and biochemical triggers of potato tuber development. Plant Physiol. 2001, 127, 1459–1465. [Google Scholar] [CrossRef]
- Hajirezaei, M.R.; Börnke, F.; Peisker, M.; Takahata, Y.; Lerchl, J.; Kirakosyan, A.; Sonnewald, U. Decreased sucrose content triggers starch breakdown and respiration in stored potato tubers (Solanum tuberosum). J. Exp. Bot. 2003, 382, 477–488. [Google Scholar] [CrossRef] [PubMed]
- Peng, X.; Li, Y.; Wang, S.; Gao, Y.; Lei, X.; Ren, Y. Electron beam irradiation inhibited potato sprouting by regulating the metabolism of membrane lipid peroxidation and antioxidant. Potato Res. 2024. [Google Scholar] [CrossRef]










| PAM | Plant Height (cm) | Stem Diameter (cm) | Shoot FW (g) | Shoot DW (g) | Root FW (g) | Root DW (g) |
|---|---|---|---|---|---|---|
| CK | 21.52 ± 0.89 bc | 7.55 ± 0.41 b | 29.12 ± 5.28 d | 3.72 ± 0.12 b | 6.25 ± 0.91 b | 0.81 ± 0.19 b |
| PAM20 | 24.82 ± 0.92 a | 9.06 ± 0.35 a | 46.67 ± 6.05 ab | 5.15 ± 0.41 a | 7.01 ± 0.63 b | 0.97 ± 0.13 a |
| PAM30 | 23.27 ± 0.99 ab | 8.45 ± 0.31 ab | 55.36 ± 9.23 a | 5.69 ± 0.83 a | 7.61 ± 0.46 a | 1.05 ± 0.19 a |
| PAM40 | 21.83 ± 1.22 c | 8.06 ± 0.42 ab | 35.35 ± 2.82 c | 4.12 ± 0.48 b | 7.37 ± 0.89 a | 0.99 ± 0.17 a |
Disclaimer/Publisher’s Note: The statements, opinions and data contained in all publications are solely those of the individual author(s) and contributor(s) and not of MDPI and/or the editor(s). MDPI and/or the editor(s) disclaim responsibility for any injury to people or property resulting from any ideas, methods, instructions or products referred to in the content. |
© 2024 by the authors. Licensee MDPI, Basel, Switzerland. This article is an open access article distributed under the terms and conditions of the Creative Commons Attribution (CC BY) license (https://creativecommons.org/licenses/by/4.0/).
Share and Cite
Yin, M.; Hu, D.; Yu, X.; Wang, Y.; Song, S.; Wang, C.; Hu, Q.; Wen, Y. Polyacrylamide Regulated Phytohormone Balance and Starch Degradation to Promote Seed-Potato Sprouting and Emergence. Plants 2024, 13, 2796. https://doi.org/10.3390/plants13192796
Yin M, Hu D, Yu X, Wang Y, Song S, Wang C, Hu Q, Wen Y. Polyacrylamide Regulated Phytohormone Balance and Starch Degradation to Promote Seed-Potato Sprouting and Emergence. Plants. 2024; 13(19):2796. https://doi.org/10.3390/plants13192796
Chicago/Turabian StyleYin, Meiqiang, Dongmei Hu, Xiaohang Yu, Yijie Wang, Sa Song, Chongyue Wang, Qilin Hu, and Yinyuan Wen. 2024. "Polyacrylamide Regulated Phytohormone Balance and Starch Degradation to Promote Seed-Potato Sprouting and Emergence" Plants 13, no. 19: 2796. https://doi.org/10.3390/plants13192796
APA StyleYin, M., Hu, D., Yu, X., Wang, Y., Song, S., Wang, C., Hu, Q., & Wen, Y. (2024). Polyacrylamide Regulated Phytohormone Balance and Starch Degradation to Promote Seed-Potato Sprouting and Emergence. Plants, 13(19), 2796. https://doi.org/10.3390/plants13192796

