Optimizing Water, Temperature, and Density Conditions for In Vitro Pea (Pisum sativum L.) Germination
Abstract
1. Introduction
- Investigate the impact of temperature on pea seedling germination, growth, and duration, filling a knowledge gap on climate change’s effects and identifying optimal temperature thresholds.
- Determine the minimum, optimal, and maximum water levels for germination using the thousand-kernel weight (TKW) base, providing insights for water-efficient farming in arid regions.
- Explore the effects of seed number and seedling density on germination and lid uncovering, developing effective seeding strategies for both lab and large-scale agriculture.
- Examine how seed priming and antifungal treatments enhance seedling health and vigor, reducing losses from soilborne pathogens and contamination.
2. Results
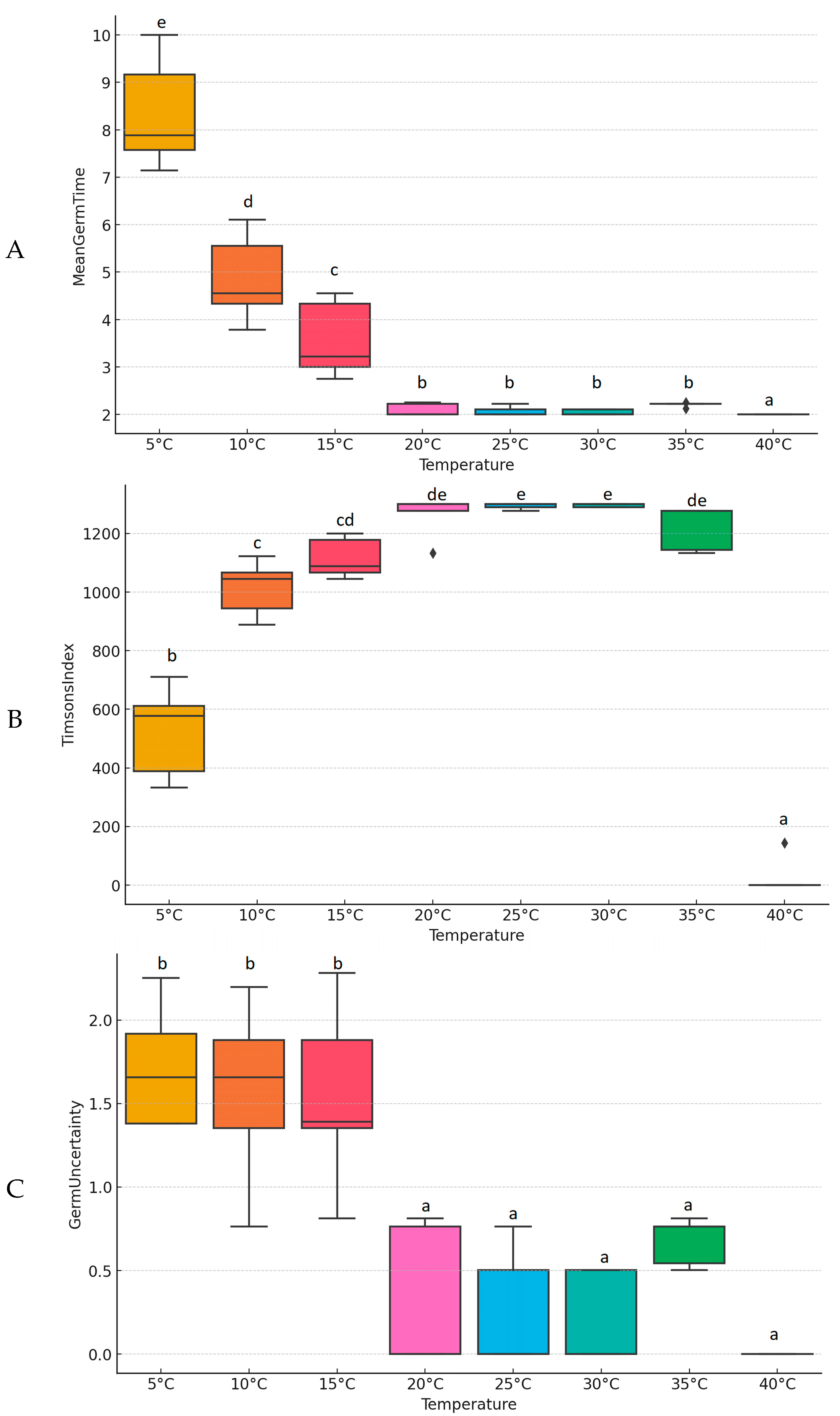
2.1. Germination Test
2.2. Initial Development Test
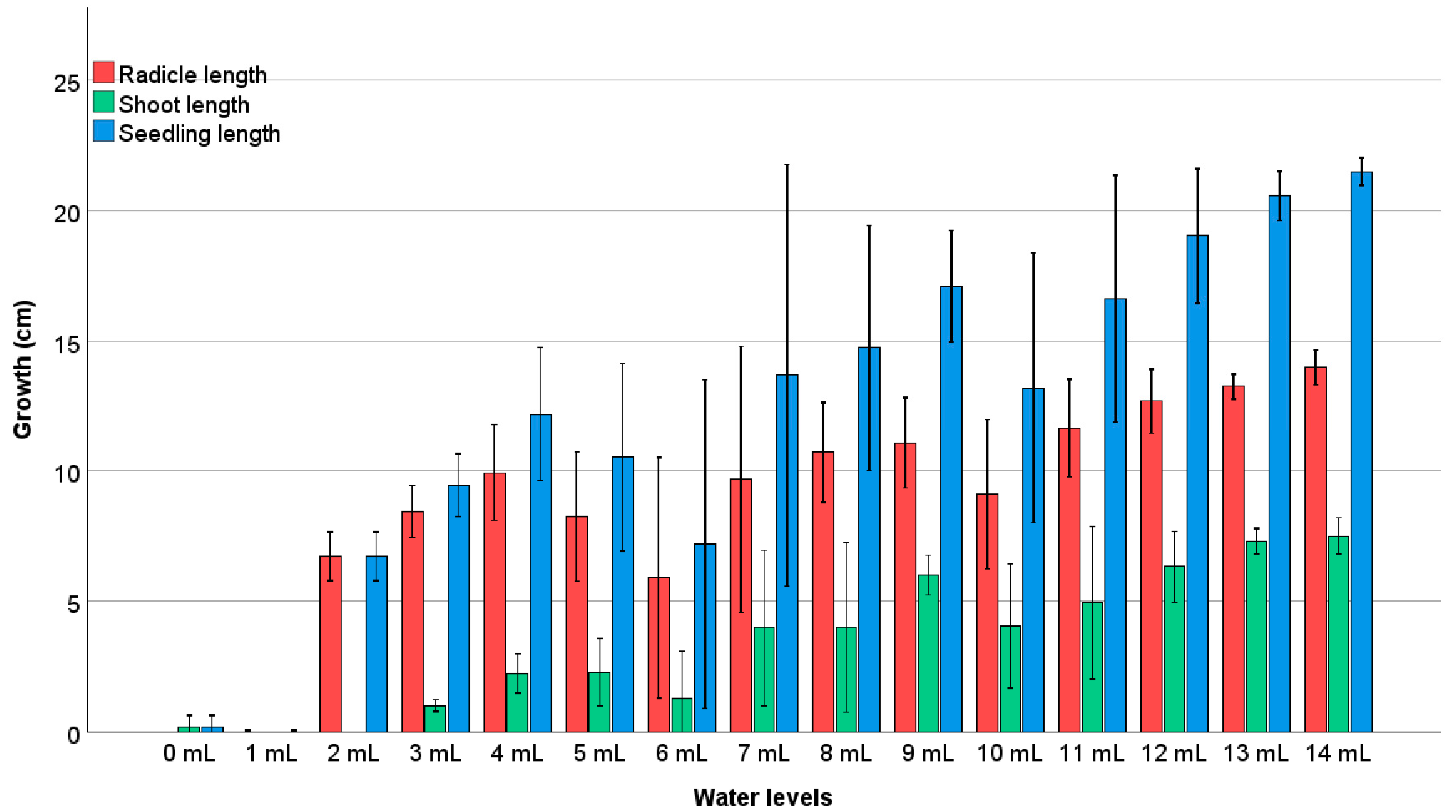
2.3. Water Amount Experiment
2.4. Density Experiment
2.5. Antifungal Experiment
3. Discussion
3.1. Germination Experiment
3.2. Initial Development Test
3.3. Effect of Seed Density on Pea
3.4. Effect of Antifungal Treatment on Pea Seeds
4. Materials and Methods
4.1. Germination Experiment
4.2. Initial Development Test
4.3. Water Amount Experiment
4.4. Density Experiment
4.5. Antifungal Experiment
4.6. Statistical Analysis
5. Conclusions
Author Contributions
Funding
Data Availability Statement
Acknowledgments
Conflicts of Interest
References
- Uskutoglu, D.; Idikut, L. Pea Production Statistics in the World and in Turkey. In Innovative Research in Agriculture, Forest and Water Issues; Beyhan, A., Günes Sen, S., Eds.; Duvar Publishing: Ismir, Turkey, 2023; pp. 25–38. ISBN 9786256507494. [Google Scholar]
- Kumari, T.; Deka, S.C. Potential Health Benefits of Garden Pea Seeds and Pods: A Review. Legume Sci. 2021, 3, e82. [Google Scholar] [CrossRef]
- Dahl, W.J.; Foster, L.M.; Tyler, R.T. Review of the Health Benefits of Peas (Pisum sativum L.). Br. J. Nutr. 2012, 108, S3–S10. [Google Scholar] [CrossRef] [PubMed]
- Rosa, E. Enhancing Legume Growing through Sustainable Cropping for Protein Supply. J. Sci. Food Agric. 2017, 97, 4271–4272. [Google Scholar] [CrossRef]
- Wu, D.T.; Li, W.X.; Wan, J.J.; Hu, Y.C.; Gan, R.Y.; Zou, L. A Comprehensive Review of Pea (Pisum sativum L.): Chemical Composition, Processing, Health Benefits, and Food Applications. Foods 2023, 12, 2527. [Google Scholar] [CrossRef] [PubMed]
- Tulbek, M.C.; Lam, R.S.H.; Wang, Y.C.; Asavajaru, P.; Lam, A. Pea. In Sustainable Protein Sources; Elsevier: Amsterdam, The Netherlands, 2017; pp. 145–164. [Google Scholar]
- Kagale, S.; Close, T.J. Legumes: Embracing the Genome Era. Legume Sci. 2021, 3, e113. [Google Scholar] [CrossRef]
- Avola, G.; Riggi, E.; Gresta, F.; Sortino, O.; Onofri, A. Random Effects Models, BLUPs and Redundancy Analyses for Grain Legume Crops in Semi-Arid Environments. Eur. J. Agron. 2018, 93, 18–26. [Google Scholar] [CrossRef]
- Rahoui, S.; Chaoui, A.; El Ferjani, E. Membrane Damage and Solute Leakage from Germinating Pea Seed under Cadmium Stress. J. Hazard. Mater. 2010, 178, 1128–1131. [Google Scholar] [CrossRef]
- Barba-Espín, G.; Hernández, J.A.; Diaz-Vivancos, P. Role of H2O2 in Pea Seed Germination. Plant Signal. Behav. 2012, 7, 193–195. [Google Scholar] [CrossRef]
- Smiri, M.; Chaoui, A.; El Ferjani, E. Respiratory Metabolism in the Embryonic Axis of Germinating Pea Seed Exposed to Cadmium. J. Plant Physiol. 2009, 166, 259–269. [Google Scholar] [CrossRef]
- Wang, W.-Q.; Møller, I.M.; Song, S.-Q. Proteomic Analysis of Embryonic Axis of Pisum sativum Seeds during Germination and Identification of Proteins Associated with Loss of Desiccation Tolerance. J. Proteom. 2012, 77, 68–86. [Google Scholar] [CrossRef]
- Kunos, V.; Cséplő, M.; Seress, D.; Eser, A.; Kende, Z.; Uhrin, A.; Bányai, J.; Bakonyi, J.; Pál, M.; Mészáros, K. The Stimulation of Superoxide Dismutase Enzyme Activity and Its Relation with the Pyrenophora teres f. teres Infection in Different Barley Genotypes. Sustainability 2022, 14, 2597. [Google Scholar] [CrossRef]
- Benamar, A.; Tallon, C.; Macherel, D. Membrane Integrity and Oxidative Properties of Mitochondria Isolated from Imbibing Pea Seeds after Priming or Accelerated Ageing. Seed Sci. Res. 2003, 13, 35–45. [Google Scholar] [CrossRef]
- Hradilová, I.; Duchoslav, M.; Brus, J.; Pechanec, V.; Hýbl, M.; Kopecký, P.; Smržová, L.; Štefelová, N.; Vaclávek, T.; Bariotakis, M.; et al. Variation in Wild Pea ( Pisum sativum subsp. elatius) Seed Dormancy and Its Relationship to the Environment and Seed Coat Traits. PeerJ 2019, 7, e6263. [Google Scholar] [CrossRef]
- Di Gioia, F.; Petropoulos, S.A.; Ferreira, I.C.F.R.; Rosskopf, E.N. Microgreens: From Trendy Vegetables to Functional Food and Potential Nutrition Security Resource. Acta Hortic. 2021, 1321, 235–242. [Google Scholar] [CrossRef]
- Poudel, P.; Di Gioia, F.; Lambert, J.D.; Connolly, E.L. Zinc Biofortification through Seed Nutri-Priming Using Alternative Zinc Sources and Concentration Levels in Pea and Sunflower Microgreens. Front. Plant Sci. 2023, 14, 1177844. [Google Scholar] [CrossRef] [PubMed]
- Bálint, C.; Bernas, J.; Dezsényi, Z.; Encarnação, M.; Farkas, T.; Goda, P.; Grand, A.; Horstink, L.; Jancsovszka, P.; Klenkhart, L.; et al. Background Report for Agroecological Vocational Training; Bálint, C., Ujj, A., Eds.; NAIK Agrárgazdasági Kutatóintézet: Budapest, Hungary, 2020. [Google Scholar]
- Montanarella, L.; Panagos, P. The Relevance of Sustainable Soil Management within the European Green Deal. Land Use Policy 2021, 100, 104950. [Google Scholar] [CrossRef]
- Karkanis, A.; Ntatsi, G.; Kontopoulou, C.-K.; Pristeri, A.; Bilalis, D.; Savvas, D. Field Pea in European Cropping Systems: Adaptability, Biological Nitrogen Fixation and Cultivation Practices. Not. Bot. Horti Agrobot. Cluj-Napoca 2016, 44, 325–336. [Google Scholar] [CrossRef]
- Meena, B.L.; Fagodiya, R.K.; Prajapat, K.; Dotaniya, M.L.; Kaledhonkar, M.J.; Sharma, P.C.; Meena, R.S.; Mitran, T.; Kumar, S. Legume Green Manuring: An Option for Soil Sustainability. In Legumes for Soil Health and Sustainable Management; Springer: Singapore, 2018; pp. 387–408. [Google Scholar]
- Altieri, M.A.; Nicholls, C.I. Agroecology and the Emergence of a Post COVID-19 Agriculture. Agric. Hum. Values 2020, 37, 525–526. [Google Scholar] [CrossRef]
- Khaeim, H.; Kende, Z.; Jolánkai, M.; Kovács, G.P.; Gyuricza, C.; Tarnawa, Á. Impact of Temperature and Water on Seed Germination and Seedling Growth of Maize (Zea mays L.). Agronomy 2022, 12, 397. [Google Scholar] [CrossRef]
- Khaeim, H.; Kende, Z.; Balla, I.; Gyuricza, C.; Eser, A.; Tarnawa, Á. The Effect of Temperature and Water Stresses on Seed Germination and Seedling Growth of Wheat (Triticum aestivum L.). Sustainability 2022, 14, 3887. [Google Scholar] [CrossRef]
- Tarnawa, Á.; Kende, Z.; Haj Sghaier, A.; Kovács, P.; Gyuricza, C.; Khaeim, H. Effect of Abiotic Stresses from Drought, Temperature, and Density on Germination and Seedling Growth of Barley (Hordeum vulgare L.). Plants 2023, 12, 1792. [Google Scholar] [CrossRef] [PubMed]
- Haj Sghaier, A.; Khaeim, H.; Tarnawa, Á.; Kovács, G.P.; Gyuricza, C.; Kende, Z. Germination and Seedling Development Responses of Sunflower (Helianthus Annuus L.) Seeds to Temperature and Different Levels of Water Availability. Agriculture 2023, 13, 608. [Google Scholar] [CrossRef]
- Haj Sghaier, A.; Tarnawa, Á.; Khaeim, H.; Kovács, G.P.; Gyuricza, C.; Kende, Z. The Effects of Temperature and Water on the Seed Germination and Seedling Development of Rapeseed (Brassica napus L.). Plants 2022, 11, 2819. [Google Scholar] [CrossRef] [PubMed]
- Maleki, K.; Soltani, E.; Seal, C.E.; Colville, L.; Pritchard, H.W.; Lamichhane, J.R. The Seed Germination Spectrum of 486 Plant Species: A Global Meta-Regression and Phylogenetic Pattern in Relation to Temperature and Water Potential. Agric. For. Meteorol. 2024, 346, 109865. [Google Scholar] [CrossRef]
- Seefeldt, S.S.; Kidwell, K.K.; Waller, J.E. Base Growth Temperatures, Germination Rates and Growth Response of Contemporary Spring Wheat (Triticum aestivum L.) Cultivars from the US Pacific Northwest. Field Crops Res. 2002, 75, 47–52. [Google Scholar] [CrossRef]
- Boyce, D.S. Heat and Moisture Transfer in Ventilated Grain. J. Agric. Eng. Res. 1966, 11, 255–265. [Google Scholar] [CrossRef]
- Sincik, M.; Bilgili, U.; Uzun, A.; Acikgoz, E. Effect of Low Temperatures on the Germination of Different Field Pea Genotypes. Seed Sci. Technol. 2004, 32, 331–339. [Google Scholar] [CrossRef]
- Asik, B.B.; Uzun, A.; Acikgöz, E. Seeding Rate and Cultivar Impacts on Nutrient Uptake of Field Pea under Fertile Soil Condition. Chil. J. Agric. Res. 2020, 80, 11–20. [Google Scholar] [CrossRef]
- Prusiński, J.; Borowska, M. Effect of Planting Density and Row Spacing on the Yielding and Morphological Features of Pea (Pisum sativum L.). Agronomy 2022, 12, 715. [Google Scholar] [CrossRef]
- Wulff, E.G.; Zida, E.; Torp, J.; Lund, O.S. Yucca schidigera Extract: A Potential Biofungicide against Seedborne Pathogens of Sorghum. Plant Pathol. 2012, 61, 331–338. [Google Scholar] [CrossRef]
- Riccioni, L.; Orzali, L.; Romani, M.; Annicchiarico, P.; Pecetti, L. Organic Seed Treatments with Essential Oils to Control Ascochyta Blight in Pea. Eur. J. Plant Pathol. 2019, 155, 831–840. [Google Scholar] [CrossRef]
- El-Kassaby, Y.A.; Moss, I.; Kolotelo, D.; Stoehr, M. Seed Germination: Mathematical Representation and Parameters Extraction. For. Sci. 2008, 54, 220–227. [Google Scholar] [CrossRef]
- Farooq, M.; Basra, S.M.A.; Ahmad, N.; Hafeez, K. Thermal Hardening: A New Seed Vigor Enhancement Tool in Rice. J. Integr. Plant Biol. 2005, 47, 187–193. [Google Scholar] [CrossRef]
- Labouriau, L.G. A Germinacao Das Sementes; Monografía / Serie de biología; Secretaria-Geral da Organização dos Estados Americanos, Programa Regional de Desenvolvimento Científico e Tecnológico: Washington, DC, USA, 1983; ISBN 9780827017665. [Google Scholar]
- Timson, J. New Method of Recording Germination Data. Nature 1965, 207, 216–217. [Google Scholar] [CrossRef]
- Aravind, J.; Vimala Devi, S.; Radhamani, J.; Jacob, S.R.; Srinivasan, K. Germinationmetrics: Seed Germination Indices and Curve Fitting 2023. Available online: https://cran.r-project.org/web/packages/germinationmetrics/index.html (accessed on 29 July 2024). [CrossRef]
- Wickham, H.; François, R.; Henry, L.; Müller, K.; Vaughan, D. Dplyr: A Grammar of Data Manipulation 2023. Available online: https://cran.r-project.org/web/packages/dplyr/index.html (accessed on 29 July 2024). [CrossRef]
- Wickham, H.; Vaughan, D.; Girlich, M. Tidyr: Tidy Messy Data 2024. Available online: https://cran.r-project.org/web/packages/tidyr/index.html (accessed on 29 July 2024). [CrossRef]
- Wickham, H. Programming with Ggplot2. In Use R! Springer International Publishing: Cham, Switzerland, 2016; pp. 241–253. [Google Scholar]
- Pedersen, T. Patchwork: The Composer of Plots 2024. Available online: https://cran.r-project.org/web/packages/patchwork/index.html (accessed on 29 July 2024). [CrossRef]
- McKinney, W. Data Structures for Statistical Computing in Python. In Proceedings of the 9th Python in Science Conference, Austin, TX, USA, 28 June–3 July 2010; pp. 51–56. [Google Scholar]
- Harris, C.R.; Millman, K.J.; van der Walt, S.J.; Gommers, R.; Virtanen, P.; Cournapeau, D.; Wieser, E.; Taylor, J.; Berg, S.; Smith, N.J.; et al. Array Programming with NumPy. Nature 2020, 585, 357–362. [Google Scholar] [CrossRef]
- Hunter, J.D. Matplotlib: A 2D Graphics Environment. Comput. Sci. Eng. 2007, 9, 90–95. [Google Scholar] [CrossRef]
- Waskom, M.L. Seaborn: Statistical Data Visualization. J. Open Source Softw. 2021, 6, 3021. [Google Scholar] [CrossRef]
- Pedregosa, F.; Varoquaux, G.; Gramfort, A.; Michel, V.; Thirion, B.; Grisel, O.; Blondel, M.; Prettenhofer, P.; Weiss, R.; Dubourg, V.; et al. Scikit-Learn: Machine Learning in Python. J. Mach. Learn. Res. 2011, 12, 2825–2830. [Google Scholar]









| Mean Germ. Time | Temperature | 5 °C | 10 °C | 15 °C | 20 °C | 25 °C | 30 °C | 35 °C | 40 °C |
| 5 °C | - | ||||||||
| 10 °C | −5.8 | - | |||||||
| 15 °C | −9.2 | 3.4 | - | ||||||
| 20 °C | −23.20 * | 17.40 * | 14 | - | |||||
| 25 °C | −24.90 * | 19.10 * | 15.70 * | 1.7 | - | ||||
| 30 °C | −25.90 * | 20.10 * | 16.70 * | 2.7 | 1 | - | |||
| 35 °C | −16.90 * | 11.1 | 7.7 | −6.3 | −8 | −9 | - | ||
| 40 °C | −28.50 * | 22.7 | 19.3 | 5.3 | 3.6 | 2.6 | 11.6 | - | |
| Timsons’ Index | Temperature | 5 °C | 10 °C | 15 °C | 20 °C | 25 °C | 30 °C | 35 °C | 40 °C |
| 5 °C | - | ||||||||
| 10 °C | 6 | - | |||||||
| 15 °C | 10.2 | −4.2 | - | ||||||
| 20 °C | 22.70 * | −16.70 * | −12.5 | - | |||||
| 25 °C | 24.80 * | −18.80 * | −14.6 | −2.1 | - | ||||
| 30 °C | 25.60 * | −19.60 * | −15.4 | −2.9 | −0.8 | - | |||
| 35 °C | 15.70 * | −9.7 | −5.5 | 7 | 9.1 | 9.9 | - | ||
| 40 °C | −5 | 11 | 15.2 | 27.70 * | 29.80 * | 30.60 * | 20.70 * | - | |
| Synchronization index | Temperature | 5 °C | 10 °C | 15 °C | 20 °C | 25 °C | 30 °C | 35 °C | 40 °C |
| 5 °C | - | ||||||||
| 10 °C | −2.6 | - | |||||||
| 15 °C | −1.7 | −0.9 | - | ||||||
| 20 °C | −20 | 17.4 | 18.3 | - | |||||
| 25 °C | −21.90 * | 19.3 | 20.2 | 1.9 | - | ||||
| 30 °C | −23.00 * | 20.4 | 21.3 | 3 | 1.1 | - | |||
| 35 °C | −13 | 10.4 | 11.3 | −7 | −8.9 | −10 | - | ||
| 40 °C | −26.60 * | 24.00 * | 24.90 * | 6.6 | 4.7 | 3.6 | 13.6 | - |
| Temperature | 5 °C | 10 °C | 15 °C | 20 °C | 25 °C | 30 °C |
|---|---|---|---|---|---|---|
| 5 °C | - | U = 510, p = 0.000 * | U = 336, p = 0.000 * | U = 345, p = 0.000 * | U = 604, p = 0.000 * | U = 844, p = 0.001 * |
| 10 °C | - | U = 753, p = 0.000 * | U = 928, p = 0.006 * | U = 1020, p = 0.031 * | U = 1681, p = 0.033 * | |
| 15 °C | - | U = 1374, p = 0.886 | U = 1441, p = 0.565 | U = 2126, p = 0.000 * | ||
| 20 °C | - | U = 1501, p = 0.333 * | U = 2018, p = 0.000 * | |||
| 25 °C | - | U = 1852, p = 0.001 * | ||||
| 30 °C | - |
| Water mL | Germination (%) | Radicle Length (cm) | Shoot Length (cm) | Seedling Length (cm) | Radicle DW (g) | Shoot DW (g) | Seedling DW (g) | Corrected DW (g) |
|---|---|---|---|---|---|---|---|---|
| 0 | 0.0 ± 0.0 a | 0.0 ± 0.0 a | 0.0 ± 0.0 a | 0.0 ± 0.0 a | 0.0 ± 0.0 a | 0.0 ± 0.0 a | 0.0 ± 0.0 a | 0.0 ± 0.0 a |
| 1 | 2.2 ± 5.0 a | 0.0 ± 0.0 a | 0.0 ± 0.0 a | 0.0 ± 0.0 a | 0.0 ± 0.0 a | 0.0 ± 0.0 a | 0.0 ± 0.0 a | 0.0 ± 0.0 a |
| 2 | 97.8 ± 5.0 b | 6.7 ± 0.9 bc | 0.0 ± 0.0 a | 6.7 ± 0.9 ab | 0.072 ± 0.005 ab | 0.0 ± 0.0 a | 0.072 ± 0.005 ab | 0.074 ± 0.007 a |
| 3 | 93.3 ± 9.9 b | 8.5 ± 1.0 bcde | 1.0 ± 0.2 ab | 9.5 ± 1.2 bcd | 0.069 ± 0.01 ab | 0.028 ± 0.013 ab | 0.097 ± 0.011 ab | 0.105 ± 0.016 a |
| 4 | 100.0 ± 0.0 b | 9.9 ± 1.8 bcdef | 2.3 ± 0.8 abc | 12.2 ± 2.6 bcde | 0.1 ± 0.011 ab | 0.158 ± 0.208 b | 0.258 ± 0.21 bc | 0.258 ± 0.21 ab |
| 5 | 97.8 ± 5.0 b | 8.2 ± 2.5 bcd | 2.3 ± 1.3 abc | 10.5 ± 3.6 bcd | 0.073 ± 0.022 ab | 0.065 ± 0.028 ab | 0.138 ± 0.048 abc | 0.143 ± 0.057 a |
| 6 | 75.6 ± 43.3 b | 5.9 ± 4.6 b | 1.3 ± 1.8 ab | 7.2 ± 6.3 abc | 0.063 ± 0.036 ab | 0.038 ± 0.053 ab | 0.101 ± 0.088 ab | 0.067 ± 0.088 a |
| 7 | 84.4 ± 29.0 b | 9.7 ± 5.1 bcdef | 4.0 ± 3.0 bcd | 13.7 ± 8.1 bcdef | 0.273 ± 0.397 b | 0.087 ± 0.066 ab | 0.36 ± 0.355 c | 0.472 ± 0.402 b |
| 8 | 97.8 ± 5.0 b | 10.7 ± 1.9 bcdef | 4.0 ± 3.3 bcd | 14.7 ± 4.7 cdefg | 0.092 ± 0.02 ab | 0.079 ± 0.058 ab | 0.17 ± 0.069 abc | 0.173 ± 0.067 a |
| 9 | 100.0 ± 0.0 b | 11.1 ± 1.7 cdef | 6.0 ± 0.8 d | 17.1 ± 2.1 defg | 0.106 ± 0.014 ab | 0.113 ± 0.017 ab | 0.219 ± 0.024 abc | 0.219 ± 0.024 ab |
| 10 | 100.0 ± 0.0 b | 9.1 ± 2.9 bcdef | 4.1 ± 2.4 bcd | 13.2 ± 5.2 bcdef | 0.069 ± 0.024 ab | 0.09 ± 0.044 ab | 0.16 ± 0.066 abc | 0.16 ± 0.066 a |
| 11 | 97.8 ± 5.0 b | 11.7 ± 1.9 def | 5.0 ± 2.9 cd | 16.6 ± 4.7 defg | 0.084 ± 0.022 ab | 0.103 ± 0.058 ab | 0.187 ± 0.08 abc | 0.188 ± 0.077 a |
| 12 | 100.0 ± 0.0 b | 12.7 ± 1.2 def | 6.3 ± 1.4 d | 19.0 ± 2.6 efg | 0.092 ± 0.013 ab | 0.129 ± 0.027 ab | 0.222 ± 0.035 abc | 0.222 ± 0.035 ab |
| 13 | 100.0 ± 0.0 b | 13.2 ± 0.5 ef | 7.3 ± 0.5 d | 20.6 ± 0.9 fg | 0.102 ± 0.021 ab | 0.151 ± 0.009 b | 0.253 ± 0.024 abc | 0.253 ± 0.024 ab |
| 14 | 100.0 ± 0.0 b | 14.0 ± 0.7 f | 7.5 ± 0.7 d | 21.5 ± 0.5 g | 0.101 ± 0.011 ab | 0.15 ± 0.012 b | 0.251 ± 0.009 abc | 0.251 ± 0.009 ab |
| LSD | 10.17 | 2.94 | 2.74 | 5.58 | 0.035 | 0.049 | 0.077 | 0.084 |
| Treatment (mL) | TKW (%) | Germination (%) | Radicle Length (cm) | Shoot Length (cm) | Seedling Length (cm) | Radicle DW (g) | Shoot DW (g) | Seedling DW (g) | Corrected DW (g) |
|---|---|---|---|---|---|---|---|---|---|
| 0.75 | 16.17 | 0.0 ± 0.0 a | 0.0 ± 0.0 a | 0.0 ± 0.0 a | 0.0 ± 0.0 a | 0.0 ± 0.0 a | 0.0 ± 0.0 a | 0.0 ± 0.0 a | 0.0 ± 0.0 a |
| 1.55 | 33.41 | 46.67 ± 14.49 b | 1.49 ± 0.49 ab | 0.0 ± 0.0 a | 1.06 ± 0.67 a | 0.02 ± 0.0 ab | 0.0 ± 0.0 a | 0.02 ± 0.0 a | 0.04 ± 0.0 a |
| 2.30 | 49.57 | 97.78 ± 4.97 c | 7.47 ± 0.67 cdefg | 0.02 ± 0.05 a | 7.49 ± 0.7 abcd | 0.08 ± 0.0 cde | 0.0 ± 0.0 a | 0.08 ± 0.01 abc | 0.08 ± 0.01 abc |
| 3.10 | 66.82 | 97.78 ± 4.97 c | 8.79 ± 2.12 cdefg | 1.52 ± 2.56 abc | 10.31 ± 1.33 bcde | 0.08 ± 0.01 cde | 0.01 ± 0.01 ab | 0.09 ± 0.02 abcd | 0.1 ± 0.02 abcd |
| 3.85 | 82.98 | 100.0 ± 0.0 c | 11.6 ± 1.4 efg | 2.6 ± 0.85 abc | 14.2 ± 1.73 cde | 0.11 ± 0.01 e | 0.06 ± 0.02 abcde | 0.17 ± 0.02 bcde | 0.17 ± 0.02 bcde |
| 4.65 | 100.23 | 97.78 ± 4.97 c | 10.69 ± 1.47 defg | 3.84 ± 0.51 abcdef | 14.53 ± 1.62 cde | 0.1 ± 0.01 de | 0.09 ± 0.01 bcdef | 0.19 ± 0.02 cde | 0.19 ± 0.01 cde |
| 5.40 | 116.39 | 100.0 ± 0.0 c | 12.41 ± 0.65 g | 4.54 ± 0.65 bcdef | 16.96 ± 1.23 de | 0.11 ± 0.02 e | 0.1 ± 0.02 cdef | 0.22 ± 0.03 e | 0.22 ± 0.03 e |
| 6.20 | 133.64 | 95.56 ± 6.09 c | 4.16 ± 2.31 abc | 0.59 ± 0.92 ab | 4.74 ± 3.23 ab | 0.05 ± 0.02 bc | 0.02 ± 0.03 ab | 0.07 ± 0.04 ab | 0.07 ± 0.04 ab |
| 6.95 | 149.80 | 100.0 ± 0.0 c | 9.16 ± 2.6 cdefg | 3.02 ± 1.14 abcd | 12.18 ± 3.45 bcde | 0.08 ± 0.02 cde | 0.08 ± 0.02 bcdef | 0.16 ± 0.04 bcde | 0.16 ± 0.04 bcde |
| 7.75 | 167.04 | 100.0 ± 0.0 c | 8.48 ± 2.98 cdefg | 3.21 ± 1.92 abcde | 11.69 ± 4.89 bcde | 0.08 ± 0.04 cde | 0.08 ± 0.05 bcdef | 0.16 ± 0.09 bcde | 0.16 ± 0.09 bcde |
| 8.50 | 183.21 | 100.0 ± 0.0 c | 5.87 ± 3.72 bcde | 1.57 ± 2.73 abc | 7.43 ± 6.42 abcd | 0.05 ± 0.04 bc | 0.02 ± 0.02 ab | 0.04 ± 0.01 a | 0.04 ± 0.01 a |
| 9.30 | 200.45 | 93.33 ± 9.94 c | 5.19 ± 4.8 bcd | 1.47 ± 2.7 abc | 6.66 ± 7.49 abc | 0.05 ± 0.04 bc | 0.03 ± 0.06 abc | 0.08 ± 0.1 abc | 0.08 ± 0.09 abc |
| 10.05 | 216.62 | 95.56 ± 6.09 c | 6.52 ± 4.24 bcdef | 1.99 ± 3.18 abc | 8.51 ± 7.38 abcd | 0.06 ± 0.03 bcd | 0.04 ± 0.06 abcd | 0.1 ± 0.09 abcd | 0.1 ± 0.09 abcd |
| 10.80 | 232.78 | 97.78 ± 4.97 c | 10.13 ± 4.25 defg | 5.1 ± 3.16 cdef | 15.23 ± 7.33 cde | 0.07 ± 0.03 cde | 0.11 ± 0.06 cdef | 0.18 ± 0.09 cde | 0.18 ± 0.09 cde |
| 11.60 | 250.03 | 100.0 ± 0.0 c | 11.41 ± 1.24 efg | 7.09 ± 1.51 def | 18.5 ± 2.54 e | 0.09 ± 0.02 cde | 0.14 ± 0.03 f | 0.23 ± 0.05 e | 0.23 ± 0.05 e |
| 12.35 | 266.19 | 97.78 ± 4.97 c | 11.87 ± 1.91 fg | 7.57 ± 1.2 f | 19.43 ± 3.08 e | 0.09 ± 0.03 cde | 0.15 ± 0.02 f | 0.24 ± 0.04 e | 0.24 ± 0.04 e |
| 13.15 | 283.44 | 97.78 ± 4.97 c | 9.97 ± 2.47 defg | 5.49 ± 3.38 cdef | 15.46 ± 5.47 cde | 0.07 ± 0.02 cde | 0.13 ± 0.04 ef | 0.2 ± 0.05 de | 0.21 ± 0.06 de |
| 13.90 | 299.60 | 100.0 ± 0.0 c | 12.21 ± 1.39 fg | 7.43 ± 0.85 ef | 19.64 ± 2.01 e | 0.1 ± 0.01 cde | 0.15 ± 0.01 f | 0.25 ± 0.02 e | 0.25 ± 0.02 e |
| 14.70 | 316.84 | 97.78 ± 4.97 c | 10.82 ± 3.52 defg | 5.56 ± 3.2 cdef | 16.38 ± 6.59 de | 0.08 ± 0.03 cde | 0.11 ± 0.07 def | 0.2 ± 0.09 de | 0.2 ± 0.08 de |
| LSD | 1.12 | 0.54 | 0.41 | 0.89 | 0.005 | 0.007 | 0.011 | 0.011 |
| Seed No. | Inactive | Initial Growth | Radicle Only | Short Seedlings | Normal Seedlings | Aggregated Value |
|---|---|---|---|---|---|---|
| 5 | 0.000 ± 0.000 | 0.000 ± 0.000 | 0.060 ± 0.190 | 0.000 ± 0.000 | 0.940 ± 0.190 | 0.960 ± 0.127 |
| 7 | 0.014 ± 0.045 | 0.000 ± 0.000 | 0.171 ± 0.368 | 0.029 ± 0.060 | 0.786 ± 0.358 | 0.861 ± 0.241 |
| 9 | 0.000 ± 0.000 | 0.011 ± 0.035 | 0.200 ± 0.370 | 0.056 ± 0.108 | 0.733 ± 0.410 | 0.838 ± 0.271 |
| 11 | 0.009 ± 0.029 | 0.018 ± 0.038 | 0.436 ± 0.443 | 0.036 ± 0.088 | 0.482 ± 0.462 | 0.652 ± 0.327 |
| LSD | 0.06 NS | 0.059 NS | 0.799 NS | 0.171 NS | 0.831 NS | 0.567 NS |
| Treatment | Germination % | Radicle Length (cm) | Shoot Length (cm) | Seedling Length (cm) |
|---|---|---|---|---|
| Bordeaux mixture | 97.78 ± 4.97 a | 5.97 ± 1.29 a | 3.24 ± 1.86 a | 9.2 ± 2.86 a |
| Hypo | 100.0 ± 0.0 a | 9.88 ± 1.02 a | 5.24 ± 1.51 a | 15.12 ± 2.37 a |
| Control | 93.33 ± 14.91 a | 9.11 ± 5.27 a | 4.89 ± 2.83 a | 14.0 ± 7.95 a |
| LSD | 12.5 NS | 4.39 NS | 2.95 NS | 6.98 NS |
| Treatment | Germination% | Radicle Length (cm) | Shoot Length (cm) | Seedling Length (cm) |
|---|---|---|---|---|
| 1 ppm | 100.0 ± 0.0 a | 9.57 ± 0.95 c | 7.49 ± 2.23 c | 17.06 ± 1.48 a |
| 10 ppm | 95.56 ± 9.94 a | 7.26 ± 3.5 bc | 4.84 ± 1.38 bc | 12.1 ± 4.75 ab |
| 100 ppm | 97.78 ± 4.97 a | 3.49 ± 0.83 ab | 1.02 ± 1.33 a | 4.51 ± 2.09 b |
| 1000 ppm | 95.56 ± 6.09 a | 3.62 ± 0.37 ab | 0.92 ± 1.23 a | 4.54 ± 1.29 b |
| 10,000 ppm | 84.45 ± 14.91 a | 1.77 ± 0.66 a | 3.02 ± 2.56 ab | 4.79 ± 2.91 b |
| Control | 93.33 ± 14.91 a | 9.11 ± 5.27 c | 4.89 ± 2.83 bc | 14.0 ± 7.95 a |
| LSD | 13.11 NS | 3.46 | 2.65 | 5.39 |
Disclaimer/Publisher’s Note: The statements, opinions and data contained in all publications are solely those of the individual author(s) and contributor(s) and not of MDPI and/or the editor(s). MDPI and/or the editor(s) disclaim responsibility for any injury to people or property resulting from any ideas, methods, instructions or products referred to in the content. |
© 2024 by the authors. Licensee MDPI, Basel, Switzerland. This article is an open access article distributed under the terms and conditions of the Creative Commons Attribution (CC BY) license (https://creativecommons.org/licenses/by/4.0/).
Share and Cite
Kende, Z.; Piroska, P.; Szemők, G.E.; Khaeim, H.; Sghaier, A.H.; Gyuricza, C.; Tarnawa, Á. Optimizing Water, Temperature, and Density Conditions for In Vitro Pea (Pisum sativum L.) Germination. Plants 2024, 13, 2776. https://doi.org/10.3390/plants13192776
Kende Z, Piroska P, Szemők GE, Khaeim H, Sghaier AH, Gyuricza C, Tarnawa Á. Optimizing Water, Temperature, and Density Conditions for In Vitro Pea (Pisum sativum L.) Germination. Plants. 2024; 13(19):2776. https://doi.org/10.3390/plants13192776
Chicago/Turabian StyleKende, Zoltán, Petra Piroska, Gabriella Erzsébet Szemők, Hussein Khaeim, Asma Haj Sghaier, Csaba Gyuricza, and Ákos Tarnawa. 2024. "Optimizing Water, Temperature, and Density Conditions for In Vitro Pea (Pisum sativum L.) Germination" Plants 13, no. 19: 2776. https://doi.org/10.3390/plants13192776
APA StyleKende, Z., Piroska, P., Szemők, G. E., Khaeim, H., Sghaier, A. H., Gyuricza, C., & Tarnawa, Á. (2024). Optimizing Water, Temperature, and Density Conditions for In Vitro Pea (Pisum sativum L.) Germination. Plants, 13(19), 2776. https://doi.org/10.3390/plants13192776

