Harnessing Lignocellulosic Crops for Phytomanagement of Contaminated Soils: A Multi-Country Study
Abstract
1. Introduction
2. Results
2.1. Height of the Plants
2.2. Plant Productivity in Response to Heavy Metals
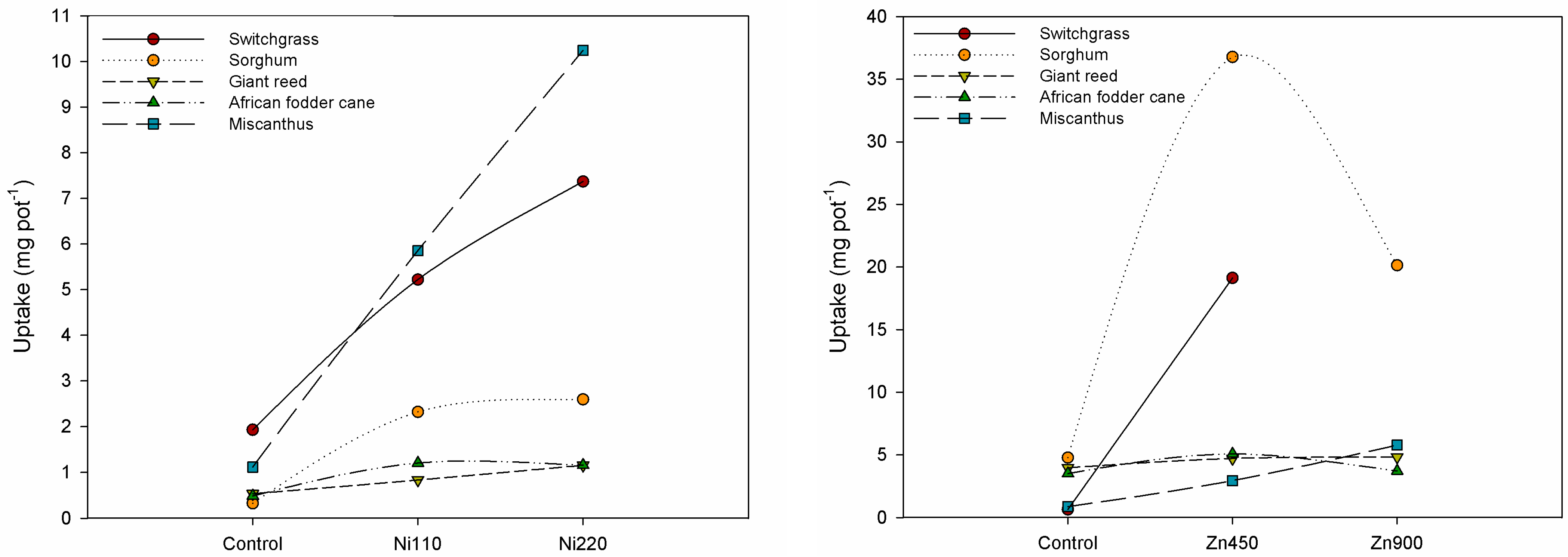
2.3. Heavy Metals Concentration and Accumulation
2.4. Phytoremediation Index
2.4.1. Tolerance Index
2.4.2. Accumulation Index
2.5. Principal Component and Cluster Analysis
3. Discussion
4. Materials and Methods
4.1. Experimental Setup and Measurements
- (i)
- Contamination with Cd: 0, 4, 8 mg kg−1, which is referred to as Cd0 (control), Cd4 and Cd8 respectively.
- (ii)
- Contamination with Pb: 0, 450, 900 mg kg−1, which is referred to as Pb0 (control), Pb450 and Pb900, respectively.
- (iii)
- Contamination with Ni: 0, 110, 220 mg kg−1 which is referred to as Ni0 (control), Ni110 and Ni220, respectively.
- (iv)
- Contamination with Zn: 0, 450, 900 mg kg−1, which is referred to as Zn0 (control), Zn450 and Zn900, respectively.
4.2. Plant Analysis
4.3. Statistical Analysis and Phytoremediation Index
5. Conclusions
Author Contributions
Funding
Data Availability Statement
Conflicts of Interest
References
- Zhu, H.; Chen, L.; Xing, W.; Ran, S.; Wei, Z.; Amee, M.; Wassie, M.; Niu, H.; Tang, D.; Sun, J.; et al. Phytohormones-Induced Senescence Efficiently Promotes the Transport of Cadmium from Roots into Shoots of Plants: A Novel Strategy for Strengthening of Phytoremediation. J. Hazard. Mater. 2020, 388, 122080. [Google Scholar] [CrossRef] [PubMed]
- Renwick, A.; Jansson, T.; Verburg, P.H.; Revoredo-giha, C.; Britz, W.; Gocht, A.; Mccracken, D. Land Use Policy Policy Reform and Agricultural Land Abandonment in the EU. Land Use Policy 2013, 30, 446–457. [Google Scholar] [CrossRef]
- Van Vliet, J.; De Groot, H.L.F.; Rietveld, P.; Verburg, P.H. Landscape and Urban Planning Manifestations and Underlying Drivers of Agricultural Land Use Change in Europe. Landsc. Urban. Plan. 2015, 133, 24–36. [Google Scholar] [CrossRef]
- Gheuens, J. The European Green Deal. Mak. Eur. Green Deal Work 2023, 1, 15–28. [Google Scholar] [CrossRef]
- Graham-Rowe, D. Agriculture: Beyond food versus fuel. Nature 2011, 474, S6–S8. [Google Scholar] [CrossRef] [PubMed]
- Prasad, S.; Sheetal, K.R.; Venkatramanan, V.; Kumar, S.; Kannojia, S. Sustainable Energy: Challenges and Perspectives. In Sustainable Green Technologies for Environmental Management; Shah, S., Venkatramanan, V., Prasad, R., Eds.; Springer: Singapore, 2019. [Google Scholar] [CrossRef]
- Parlato, M.C.M.; Valenti, F.; Lanza, E.; Porto, S.M.C. Spatial Analysis to Quantify and Localise the Residual Cardoon Stem Fibres as Potential Bio-Reinforcements for Building Materials. Int. J. Sustain. Eng. 2022, 15, 59–70. [Google Scholar] [CrossRef]
- Karan, H.; Funk, C.; Grabert, M.; Oey, M.; Hankamer, B. Green Bioplastics as Part of a Circular Bioeconomy. Trends Plant Sci. 2019, 24, 237–249. [Google Scholar] [CrossRef] [PubMed]
- Ramchuran, S.O.; O’Brien, F.; Dube, N.; Ramdas, V. An Overview of Green Processes and Technologies, Biobased Chemicals and Products for Industrial Applications. Curr. Opin. Green. Sustain. Chem. 2023, 41, 100832. [Google Scholar] [CrossRef]
- Brigham, C. Chapter 3.22—Biopolymers: Biodegradable Alternatives to Traditional Plastics. In Green Chemistry; Török, B., Dransfield, T., Eds.; Elsevier: Amsterdam, The Netherlands, 2018; pp. 753–770. ISBN 978-0-12-809270-5. [Google Scholar]
- Alper, K.; Tekin, K.; Karagöz, S.; Ragauskas, A.J. Sustainable Energy and Fuels from Biomass: A Review Focusing on Hydrothermal Biomass Processing. Sustain. Energy Fuels 2020, 4, 4390–4414. [Google Scholar] [CrossRef]
- Hiloidhari, M.; Baruah, D.C.; Kumari, M.; Kumari, S.; Thakur, I.S. Prospect and Potential of Biomass Power to Mitigate Climate Change: A Case Study in India. J. Clean. Prod. 2019, 220, 931–944. [Google Scholar] [CrossRef]
- Tóth, G.; Hermann, T.; Da Silva, M.R.; Montanarella, L. Heavy Metals in Agricultural Soils of the European Union with Implications for Food Safety. Environ. Int. 2016, 88, 299–309. [Google Scholar] [CrossRef] [PubMed]
- El Rasafi, T.; Haouas, A.; Tallou, A.; Chakouri, M.; Aallam, Y.; El Moukhtari, A.; Hamamouch, N.; Hamdali, H.; Oukarroum, A.; Farissi, M.; et al. Recent Progress on Emerging Technologies for Trace Elements-Contaminated Soil Remediation. Chemosphere 2023, 341, 140121. [Google Scholar] [CrossRef] [PubMed]
- Rahman, S.U.; Nawaz, M.F.; Gul, S.; Yasin, G.; Hussain, B.; Li, Y.; Cheng, H. State-of-the-Art OMICS Strategies against Toxic Effects of Heavy Metals in Plants: A Review. Ecotoxicol. Environ. Saf. 2022, 242, 113952. [Google Scholar] [CrossRef] [PubMed]
- Mai, X.; Tang, J.; Tang, J.; Zhu, X.; Yang, Z.; Liu, X.; Zhuang, X.; Feng, G.; Tang, L. Research Progress on the Environmental Risk Assessment and Remediation Technologies of Heavy Metal Pollution in Agricultural Soil. J. Environ. Sci. 2025, 149, 1–20. [Google Scholar] [CrossRef]
- Shah, V.; Daverey, A. Phytoremediation: A Multidisciplinary Approach to Clean up Heavy Metal Contaminated Soil. Environ. Technol. Innov. 2020, 18, 100774. [Google Scholar] [CrossRef]
- Do Nascimento, C.W.A.; Amarasiriwardena, D.; Xing, B. Comparison of Natural Organic Acids and Synthetic Chelates at Enhancing Phytoextraction of Metals from a Multi-Metal Contaminated Soil. Environ. Pollut. 2006, 140, 114–123. [Google Scholar] [CrossRef]
- Bhandari, A.; Surampalli, R.Y.; Champagne, P.; Ong, S.K.; Tyagi, R.D.; Lo, I.M.C. Remediation Technologies for Soils and Groundwater. Remediat. Technol. Soils Groundw. 2007, 60, 1–449. [Google Scholar] [CrossRef]
- Lavanya, M.B.; Viswanath, D.S.; Sivapullaiah, P.V. Phytoremediation: An Eco-Friendly Approach for Remediation of Heavy Metal-Contaminated Soils—A Comprehensive Review. Environ. Nanotechnol. Monit. Manag. 2024, 22. [Google Scholar] [CrossRef]
- Pidlisnyuk, V.; Erickson, L.; Stefanovska, T.; Popelka, J.; Hettiarachchi, G.; Davis, L.; Trögl, J. Potential Phytomanagement of Military Polluted Sites and Biomass Production Using Biofuel Crop Miscanthus × giganteus. Environ. Pollut. 2019, 249, 330–337. [Google Scholar] [CrossRef]
- Garbisu, C.; Alkorta, I.; Kidd, P.; Epelde, L.; Mench, M. Keep and Promote Biodiversity at Polluted Sites under Phytomanagement. Environ. Sci. Pollut. Res. 2020, 27, 44820–44834. [Google Scholar] [CrossRef]
- Pandey, V.C.; Bajpai, O.; Singh, N. Energy Crops in Sustainable Phytoremediation. Renew. Sustain. Energy Rev. 2016, 54, 58–73. [Google Scholar] [CrossRef]
- Gomes, L.; Costa, J.; Moreira, J.; Cumbane, B.; Abias, M.; Santos, F.; Zanetti, F.; Monti, A.; Fernando, A.L. Switchgrass and Giant Reed Energy Potential When Cultivated in Heavy Metals Contaminated Soils. Energies 2022, 15, 5538. [Google Scholar] [CrossRef]
- Testa, G.; Corinzia, S.A.; Cosentino, S.L.; Ciaramella, B.R. Phytoremediation of Cadmium-, Lead-, and Nickel-Polluted Soils by Industrial Hemp. Agronomy 2023, 13, 995. [Google Scholar] [CrossRef]
- Qin, G.; Niu, Z.; Yu, J.; Li, Z.; Ma, J.; Xiang, P. Soil Heavy Metal Pollution and Food Safety in China: Effects, Sources and Removing Technology. Chemosphere 2021, 267, 129205. [Google Scholar] [CrossRef] [PubMed]
- Zhang, D.; Jiang, Q.W.; Liang, D.Y.; Huang, S.; Liao, J. The Potential Application of Giant Reed (Arundo donax) in Ecological Remediation. Front. Environ. Sci. 2021, 9, 652367. [Google Scholar] [CrossRef]
- Ali, A.Y.A.; Ibrahim, M.E.H.; Zhou, G.; Nimir, N.E.A.; Elsiddig, A.M.I.; Jiao, X.; Zhu, G.; Salih, E.G.I.; Suliman, M.S.E.S.; Elradi, S.B.M. Gibberellic Acid and Nitrogen Efficiently Protect Early Seedlings Growth Stage from Salt Stress Damage in Sorghum. Sci. Rep. 2021, 11, 6672. [Google Scholar] [CrossRef]
- da Silva, M.J.; Damasceno, C.M.B.; Carneiro, J.E.d.S.; Pereira, H.D.; Crescêncio Souza Carneiro, P.; Schaffert, R.E.; da Costa Parrella, R.A. Combining Ability of Biomass Sorghum in Different Crop Years and Sites for Bioenergy Generation. Agron. J. 2020, 112, 1549–1563. [Google Scholar] [CrossRef]
- Gao, F.C.; Yan, H.D.; Gao, Y.; Huang, Y.; Li, M.; Song, G.L.; Ren, Y.M.; Li, J.H.; Jiang, Y.X.; Tang, Y.J.; et al. Interpretation of Genotype-Environment-Sowing Date/Plant Density Interaction in Sorghum [Sorghum bicolor (L.) Moench] in Early Mature Regions of China. Front. Plant Sci. 2022, 13, 1008198. [Google Scholar] [CrossRef]
- Melesse, G.T.; Hone, F.G.; Mekonnen, M.A. Extraction of Cellulose from Sugarcane Bagasse Optimization and Characterization. Adv. Mater. Sci. Eng. 2022, 2022, 1712207. [Google Scholar] [CrossRef]
- Antonacci, A.; Scognamiglio, V. Biotechnological Advances in the Design of Algae-Based Biosensors. Trends Biotechnol. 2020, 38, 334–347. [Google Scholar] [CrossRef]
- Rini, D.S.; Hidayati, N. Analysis of Metal Accumulation and Phytochelatin Synthase (PCS) Gene Expression in Saccharum spontaneum L. as Regards Its Function for Remediation of Lead (Pb) Contamination. In IOP Conference Series: Earth and Environmental Science; IOP Publishing Ltd.: Bristol, UK, 2021; Volume 905. [Google Scholar]
- Ghuge, S.A.; Nikalje, G.C.; Kadam, U.S.; Suprasanna, P.; Hong, J.C. Comprehensive Mechanisms of Heavy Metal Toxicity in Plants, Detoxification, and Remediation. J. Hazard. Mater. 2023, 450, 131039. [Google Scholar] [CrossRef] [PubMed]
- Cosentino, S.L.; Copani, V.; Testa, G.; Scordia, D. Saccharum spontaneum L. Ssp. Aegyptiacum (Willd.) Hack. a Potential Perennial Grass for Biomass Production in Marginal Land in Semi-Arid Mediterranean Environment. Ind. Crops Prod. 2015, 75, 93–102. [Google Scholar] [CrossRef]
- Antar, M.; Lyu, D.; Nazari, M.; Shah, A.; Zhou, X.; Smith, D.L. Biomass for a Sustainable Bioeconomy: An Overview of World Biomass Production and Utilization. Renew. Sustain. Energy Rev. 2021, 139, 110691. [Google Scholar] [CrossRef]
- Liu, Y.N.; Guo, Z.H.; Xiao, X.Y.; Wang, S.; Jiang, Z.C.; Zeng, P. Phytostabilisation Potential of Giant Reed for Metals Contaminated Soil Modified with Complex Organic Fertiliser and Fly Ash: A Field Experiment. Sci. Total Environ. 2017, 576, 292–302. [Google Scholar] [CrossRef] [PubMed]
- Eid, E.M.; Youssef, M.S.G.; Shaltout, K.H. Population Characteristics of Giant Reed (Arundo donax L.) in Cultivated and Naturalized Habitats. Aquat. Bot. 2016, 129, 1–8. [Google Scholar] [CrossRef]
- Papazoglou, E.G. Arundo donax L. Stress Tolerance under Irrigation with Heavy Metal Aqueous Solutions. Desalination 2007, 211, 304–313. [Google Scholar] [CrossRef]
- Wang, R.; Xu, Z.; Chen, S.; Su, J.; Huang, Y.; Hu, Y. Tradeoffs between PH, Dissolved Organic Carbon, and Mineral Ions Regulate Cadmium Uptake by Solanum hyperaccumulators in Calcareous Soil. Environ. Res. 2024, 248, 118393. [Google Scholar] [CrossRef]
- Wei, B.; Peng, Y.; Jeyakumar, P.; Lin, L.; Zhang, D.; Yang, M.; Zhu, J.; Ki Lin, C.S.; Wang, H.; Wang, Z.; et al. Soil PH Restricts the Ability of Biochar to Passivate Cadmium: A Meta-Analysis. Environ. Res. 2023, 219, 115110. [Google Scholar] [CrossRef]
- Xia, H.; Yan, Z.; Chi, X.; Cheng, W. Evaluation of the Phytoremediation Potential of Saccharum Officinarum for Cd-Contaminated Soil. In Proceedings of the 2009 International Conference on Energy and Environment Technology, ICEET 2009, Guilin, China, 16–18 October 2009; Volume 3, pp. 314–318. [Google Scholar] [CrossRef]
- Fornazier, R.F.; Ferreira, R.R.; Vitória, A.P.; Molina, S.M.G.; Lea, P.J.; Azevedo, R.A. Effects of Cadmium on Antioxidant Enzyme Activities in Sugar Cane. Biol. Plant 2002, 45, 91–97. [Google Scholar] [CrossRef]
- Zgorelec, Z.; Bilandzija, N.; Knez, K.; Galic, M.; Zuzul, S. Cadmium and Mercury Phytostabilization from Soil Using Miscanthus × giganteus. Sci. Rep. 2020, 10, 6685. [Google Scholar] [CrossRef]
- Ofori-Agyemang, F.; Waterlot, C.; Manu, J.; Laloge, R.; Francin, R.; Papazoglou, E.G.; Alexopoulou, E.; Sahraoui, A.L.H.; Tisserant, B.; Mench, M.; et al. Plant Testing with Hemp and Miscanthus to Assess Phytomanagement Options Including Biostimulants and Mycorrhizae on a Metal-Contaminated Soil to Provide Biomass for Sustainable Biofuel Production. Sci. Total Environ. 2024, 912, 169527. [Google Scholar] [CrossRef] [PubMed]
- Chen, P.; Chen, T.; Li, Z.; Jia, R.; Luo, D.; Tang, M.; Lu, H.; Hu, Y.; Yue, J.; Huang, Z. Transcriptome Analysis Revealed Key Genes and Pathways Related to Cadmium-Stress Tolerance in Kenaf (Hibiscus cannabinus L.). Ind. Crops Prod. 2020, 158, 112970. [Google Scholar] [CrossRef]
- Kabata-Pendias, A. Trace Elements in Soils and Plants, 4th ed.; CRC Press: Boca Raton, FL, USA, 2010; ISBN 9781420093704. [Google Scholar]
- Fiorentino, N.; Ventorino, V.; Rocco, C.; Cenvinzo, V.; Agrelli, D.; Gioia, L.; Di Mola, I.; Adamo, P.; Pepe, O.; Fagnano, M. Giant Reed Growth and Effects on Soil Biological Fertility in Assisted Phytoremediation of an Industrial Polluted Soil. Sci. Total Environ. 2017, 575, 1375–1383. [Google Scholar] [CrossRef] [PubMed]
- Osman, H.E.; Fadhlallah, R.S. Impact of Lead on Seed Germination, Seedling Growth, Chemical Composition, and Forage Quality of Different Varieties of Sorghum. J. Umm Al-Qura Univ. Appl. Sci. 2023, 9, 77–86. [Google Scholar] [CrossRef]
- Li, M.S.; Luo, Y.P.; Su, Z.Y. Heavy Metal Concentrations in Soils and Plant Accumulation in a Restored Manganese Mineland in Guangxi, South China. Environ. Pollut. 2007, 147, 168–175. [Google Scholar] [CrossRef]
- Liu, Y.N.; Xiao, X.Y.; Guo, Z.H. Identification of Indicators of Giant Reed (Arundo donax L.) Ecotypes for Phytoremediation of Metal-Contaminated Soil in a Non-Ferrous Mining and Smelting Area in Southern China. Ecol. Indic. 2019, 101, 249–260. [Google Scholar] [CrossRef]
- Hart, G.; Gilly, A.; Koether, M.; McElroy, T.; Greipsson, S. Phytoextraction of Lead (Pb) Contaminated Soil by Switchgrass (Panicum virgatum L.): Impact of BAP and NTA Applications. Front. Energy Res. 2022, 10, 1032404. [Google Scholar] [CrossRef]
- Nadeem, F.; Abbas, S.; Waseem, F.; Ali, N.; Mahmood, R.; Bibi, S.; Deng, L.; Wang, R.; Zhong, Y.; Li, X. Phosphorus (P) and Zinc (Zn) Nutrition Constraints: A Perspective of Linking Soil Application with Plant Regulations. Environ. Exp. Bot. 2024, 226, 105875. [Google Scholar] [CrossRef]
- Barbosa, B.; Boléo, S.; Sidella, S.; Costa, J.; Duarte, M.P.; Mendes, B.; Cosentino, S.L.; Fernando, A.L. Phytoremediation of Heavy Metal-Contaminated Soils Using the Perennial Energy Crops Miscanthus Spp. and Arundo donax L. Bioenergy Res. 2015, 8, 1500–1511. [Google Scholar] [CrossRef]
- Alloway, B.J. Heavy Metals in Soils: B.J. Alloway (Ed.)., 2nd Edn. Blackie, Glasgow, 1995 (ISBN 0-7514-0198-6). Anal. Chim. Acta 1995, 309, 408–409. [Google Scholar] [CrossRef]
- Rizwan, M.; Usman, K.; Alsafran, M. Ecological Impacts and Potential Hazards of Nickel on Soil Microbes, Plants, and Human Health. Chemosphere 2024, 357, 142028. [Google Scholar] [CrossRef] [PubMed]
- Al Chami, Z.; Amer, N.; Al Bitar, L.; Cavoski, I. Potential Use of Sorghum Bicolor and Carthamus Tinctorius in Phytoremediation of Nickel, Lead and Zinc. Int. J. Environ. Sci. Technol. 2015, 12, 3957–3970. [Google Scholar] [CrossRef]
- De Bernardi, A.; Casucci, C.; Businelli, D.; D’amato, R.; Beone, G.M.; Fontanella, M.C.; Vischetti, C. Phytoremediation Potential of Crop Plants in Countering Nickel Contamination in Carbonation Lime Coming from the Sugar Industry. Plants 2020, 9, 580. [Google Scholar] [CrossRef] [PubMed]
- Stocker, T.F. The Closing Door of Climate Targets. Science 2013, 339, 280–282. [Google Scholar] [CrossRef]
- Council Directive 86/278/EEC of 12 June 1986 on the Protection of the Environment, and in Particular of the Soil, When Sewage Sludge Is Used in Agriculture. CELEX_31986L0278_EN_TXT. OJ L 181, 4.7. 1986, pp. 6–12. Available online: https://eur-lex.europa.eu/legal-content/EN/TXT/?uri=celex%3A31986L0278 (accessed on 13 September 2024).
- Ciaramella, B.R.; Corinzia, S.A.; Cosentino, S.L.; Testa, G. Phytoremediation of Heavy Metal Contaminated Soils Using Safflower. Agronomy 2022, 12, 2302. [Google Scholar] [CrossRef]







| Factors | Cadmium Pr (>F) | Lead Pr (>F) | Nickel Pr (>F) | Zinc Pr (>F) |
|---|---|---|---|---|
| Levels HM | *** | *** | *** | *** |
| Crops | *** | *** | *** | *** |
| Levels HM × Crops | n.s. | n.s. | n.s. | ** |
| Heavy Metal | Switchgrass | Sorghum | Giant Reed | African Fodder Cane | Miscanthus | Average |
|---|---|---|---|---|---|---|
| Control * | 221.0 a | 410.1 a | 52.8 a | 51.9 a | 53.0 a | 157.8 |
| Cd4 | 259.5 a | 336.3 ab | 38.6 ab | 40.1 a | 43.4 a | 143.6 |
| Cd8 | 250.3 a | 374.2 ab | 36.7 ab | 29.9 a | 36.2 a | 145.5 |
| Pb450 | 216.8 a | 384.2 ab | 44.3 ab | 49.4 a | 50.2 a | 149.0 |
| Pb900 | 230.0 a | 332.5 ab | 18.6 cd | 34.4 a | 57.4 a | 134.6 |
| Ni110 | 230.0 a | 471.2 a | 35.2 bc | 37.0 a | 53.6 a | 165.4 |
| Ni220 | 220.7 a | 237.9 ab | 35.9 b | 26.6 a | 43.8 a | 113.0 |
| Zn450 | 209.5 a | 345.8 ab | 39.5 ab | 43.6 a | 43.2 a | 136.3 |
| Zn900 | 0.0 b | 102.6 b | 16.9 d | 26.1 a | 40.9 a | 37.3 |
| Switchgrass (mg kg−1) | Sorghum (mg kg−1) | African Fodder Cane (mg kg−1) | Giant Reed (mg kg−1) | Miscanthus (mg kg−1) | |
|---|---|---|---|---|---|
| Control | 5.3 b | 8.9 a | 2.0 c | 2.1 b | 1.1 b |
| Cd4 | 12.6 a | 14.8 a | 13.6 b | 15.8 a | 1.4 b |
| Cd8 | 13.4 a | 15.8 a | 17.5 a | 19.9 a | 7.4 a |
| Avg | 10.43 | 13.17 | 11.03 | 12.60 | 3.30 |
| Control | 9.6 c | 21.0 b | 4.3 b | 5.6 b | 14.5 a |
| Pb450 | 24.9 b | 25.1 b | 12.9 ab | 14.7 ab | 18.9 a |
| Pb900 | 39.5 a | 55.5 a | 16.4 a | 24.4 a | 18.2 a |
| Avg | 24.67 | 33.87 | 11.20 | 14.90 | 17.20 |
| Control | 8.7 c | 1.2 b | 9.3 b | 10.8 b | 27.3 b |
| Ni110 | 22.5 b | 6.7 ab | 28.8 a | 24.2 a | 138.8 b |
| Ni220 | 32.7 a | 10.2 a | 22.9 a | 29.8 a | 296.8 a |
| Avg | 21.30 | 6.03 | 20.33 | 21.60 | 154.30 |
| Control | 3.0 b | 10.0 b | 68.7 c | 76.9 b | 21.7 c |
| Zn450 | 105.1 a | 104.0 a | 116.7 b | 92.9 b | 77.1 b |
| Zn900 | - | 100.9 a | 168.9 a | 323.4 a | 140.8 a |
| Avg | 54.05 | 71.63 | 118.10 | 164.40 | 79.87 |
| Greece, Athens, AUA 37°59′ N, 23°42′ Ε, 33 m a.s.l. | Italy, Catania, UNICT 37°31′ N, 15°04′ E, 75 m a.s.l. | Portugal, Caparica, NOVA FCT 38°40′ N, 9°12′ W, 99 m a.s.l. | |
|---|---|---|---|
| Sorghum | + | ||
| Switchgrass | + | ||
| Giant reed | + | ||
| African fodder cane | + | ||
| Miscanthus | + |
| GREECE | ITALY | PORTUGAL | ||||||||||
|---|---|---|---|---|---|---|---|---|---|---|---|---|
| 2019 | 2020 | 2019 | 2020 | 2019 | 2020 | |||||||
| Temp (°C) | Precip (mm) | Temp (°C) | Precip (mm) | Temp (°C) | Precip (mm) | Temp (°C) | Precip (mm) | Temp (°C) | Precip (mm) | Temp (°C) | Precip (mm) | |
| January | 9.7 | 125.0 | 9.2 | 16.4 | 9.2 | 38.0 | 9.78 | 14.8 | 10.4 | 34.2 | 11.1 | 64.9 |
| February | 10.1 | 59.2 | 11.3 | 12.0 | 11.1 | 67.0 | 11.4 | 3.4 | 12.0 | 35.0 | 13.1 | 7.5 |
| March | 13.6 | 26.8 | 13.3 | 48.2 | 13.5 | 6.8 | 12.0 | 214.2 | 14.5 | 24.5 | 14.2 | 20.1 |
| April | 15.4 | 115.0 | 15.3 | 18.6 | 14.8 | 25.6 | 14.9 | 11.2 | 14.9 | 48.2 | 15.5 | 111.4 |
| May | 19.9 | 2.2 | 21.2 | 32.2 | 16.6 | 18.8 | 19.2 | 0.6 | 20.3 | 7.9 | 20.4 | 73.1 |
| June | 26.8 | 2.6 | 24.8 | 16.8 | 23.8 | 1.8 | 22.1 | 5.6 | 19.5 | 7.9 | 20.8 | 1.8 |
| July | 28.2 | 1.0 | 28.8 | 0.0 | 26.6 | 11.0 | 25.6 | 34.8 | 22.8 | 0.6 | 24.6 | 2.0 |
| August | 29.3 | 0.0 | 28.5 | 17.4 | 26.8 | 14.4 | 27.1 | 0.4 | 23.8 | 0.7 | 23.9 | 0.9 |
| September | 24.8 | 4.8 | 26.0 | 5.0 | 23.8 | 51.4 | 23.8 | 162.2 | 22.1 | 24.9 | 22.0 | 27.3 |
| October | 21.3 | 23.4 | 20.8 | 35.2 | 20.6 | 170.4 | 18.5 | 11.4 | 18.0 | 55.8 | 18.1 | 118 |
| November | 17.7 | 120.4 | 14.9 | 4.6 | 15.0 | 153.2 | 15.5 | 215.4 | 14.3 | 76.4 | 15.4 | 55.9 |
| December | 12.2 | 90.6 | 13.6 | 119.8 | 12.8 | 14.6 | 12.1 | 81.8 | 12.5 | 130.5 | 11.3 | 76.6 |
| Greece | Italy | Portugal | |
|---|---|---|---|
| Physical characteristics | |||
| Clay (%) | 20.6 | 3.0 | 47.1 |
| Silt (%) | 4.0 | 4.1 | 29.7 |
| Sand (%) | 75.4 | 92.9 | 23.2 |
| Texture | Sandy loam | Sandy | Clay |
| Conductivity (μS/cm) | 28.9 | 34.2 | 100.0 |
| Chemical characteristics | |||
| pH | 7.8 | 7.4 | 7.7 |
| Organic matter (g 100−1 g DW) | 1.17 | 0.86 | 0.31 |
| CEC (cmol(+)kg−1, DW) | 8.8 | 6.3 | 9.3 |
| Total nitrogen (g N kg−1, DW) | 0.22 | 0.06 | 0.29 |
| Available phosphorus (mg P kg−1, DW) | 16.9 | 10.0 | 25.5 |
| Total potassium (g K kg−1, DW) | 3.3 | 4.5 | 2.1 |
| Total calcium (g Ca kg−1, DW) | 56.0 | 79.8 | 43.0 |
| Total sodium (g Na kg−1, DW) | 2.10 | 0.31 | 1.50 |
| Total magnesium (g Mg kg−1, DW) | 1.23 | 0.68 | 1.99 |
| Total Cd (mg kg−1) | <d.l. | <d.l. | <d.l. |
| Total Pb (mg kg−1) | 34.06 ± 2.89 | 17.45 ± 3.96 | 23 ± 3 |
| Total Zn (mg kg−1) | 60.34 ± 6.26 | 36.89 ± 5.50 | 68 ± 4 |
| Total Ni (mg kg−1) | 63.59 ± 4.88 | 20.92 ± 4.76 | 8.44 ± 0.11 |
Disclaimer/Publisher’s Note: The statements, opinions and data contained in all publications are solely those of the individual author(s) and contributor(s) and not of MDPI and/or the editor(s). MDPI and/or the editor(s) disclaim responsibility for any injury to people or property resulting from any ideas, methods, instructions or products referred to in the content. |
© 2024 by the authors. Licensee MDPI, Basel, Switzerland. This article is an open access article distributed under the terms and conditions of the Creative Commons Attribution (CC BY) license (https://creativecommons.org/licenses/by/4.0/).
Share and Cite
Testa, G.; Ciaramella, B.R.; Fernando, A.L.; Kotoula, D.; Scordia, D.; Gomes, L.A.; Cosentino, S.L.; Alexopoulou, E.; Papazoglou, E.G. Harnessing Lignocellulosic Crops for Phytomanagement of Contaminated Soils: A Multi-Country Study. Plants 2024, 13, 2671. https://doi.org/10.3390/plants13192671
Testa G, Ciaramella BR, Fernando AL, Kotoula D, Scordia D, Gomes LA, Cosentino SL, Alexopoulou E, Papazoglou EG. Harnessing Lignocellulosic Crops for Phytomanagement of Contaminated Soils: A Multi-Country Study. Plants. 2024; 13(19):2671. https://doi.org/10.3390/plants13192671
Chicago/Turabian StyleTesta, Giorgio, Barbara Rachele Ciaramella, Ana Luisa Fernando, Danai Kotoula, Danilo Scordia, Leandro Augusto Gomes, Salvatore Luciano Cosentino, Efthymia Alexopoulou, and Eleni G. Papazoglou. 2024. "Harnessing Lignocellulosic Crops for Phytomanagement of Contaminated Soils: A Multi-Country Study" Plants 13, no. 19: 2671. https://doi.org/10.3390/plants13192671
APA StyleTesta, G., Ciaramella, B. R., Fernando, A. L., Kotoula, D., Scordia, D., Gomes, L. A., Cosentino, S. L., Alexopoulou, E., & Papazoglou, E. G. (2024). Harnessing Lignocellulosic Crops for Phytomanagement of Contaminated Soils: A Multi-Country Study. Plants, 13(19), 2671. https://doi.org/10.3390/plants13192671

