Modeling the Effects of Temperature and Limiting Nutrients on the Competition of an Invasive Floating Plant, Pontederia crassipes, with Submersed Vegetation in a Shallow Lake
Abstract
1. Introduction
2. Results
2.1. Effects of Temperature and Nutrients on Invasion and Coexistence
2.2. Bifurcation Diagrams
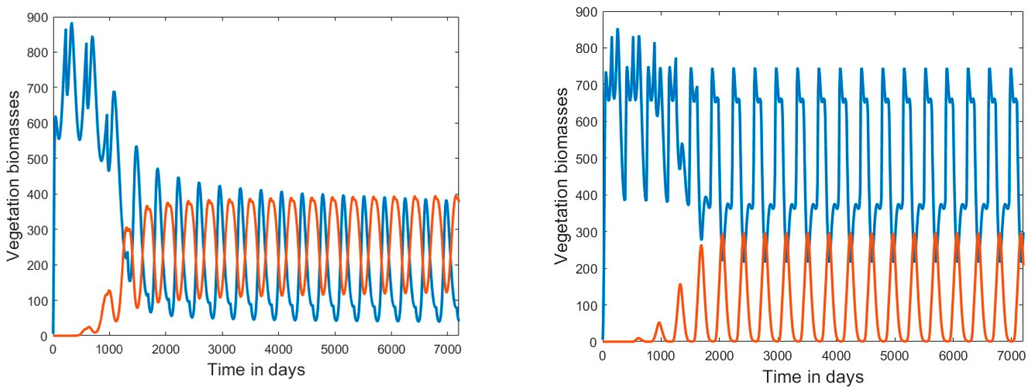
2.3. Temporal Variability
2.4. Spatial Heterogeneity
3. Discussion
4. Conclusions
5. Materials and Methods
5.1. Model Developed by Scheffer et al. (2003)
5.2. McCann’s Cellular Automata (2016)
5.3. Temperature Effects on Growth
5.4. Formatting of Mathematical Components
5.5. Seasonal Temperatures
5.6. Parameterization of the Model
5.7. Simulations
Author Contributions
Funding
Data Availability Statement
Acknowledgments
Conflicts of Interest
References
- Rai, P.K. Paradigm of plant invasion: Multifaceted review on sustainable management. Environ. Monit. Assess. 2015, 187, 1–30. [Google Scholar] [CrossRef] [PubMed]
- Cox, G.W. Alien Species in North America and Hawaii; Island Press: Washington, DC, USA, 1999. [Google Scholar]
- Mack, R.N.; Simberloff, D.; Mark Lonsdale, W.; Evans, H.; Clout, M.; Bazzaz, F.A. Biotic invasions: Causes, epidemiology, global consequences, and control. Ecol. Appl. 2000, 10, 689–710. [Google Scholar] [CrossRef]
- Pyšek, P.; Richardson, D.M. Invasive species, environmental change and management, and health. Annu. Rev. Environ. Resour. 2010, 35, 25–55. [Google Scholar] [CrossRef]
- Lawton, J.H.; Brown, K.C. The population and community ecology of invading insects. Philos. Trans. R. Soc. Lond. B Biol. Sci. 1986, 314, 607–617. [Google Scholar] [CrossRef]
- Wolfe, L.M. Why alien invaders succeed: Support for the escape-from-enemy hypothesis. Am. Nat. 2002, 160, 705–711. [Google Scholar] [CrossRef]
- Vila, M.; Weiner, J. Are invasive plant species better competitors than native plant species?–evidence from pair-wise experiments. Oikos 2004, 105, 229–238. [Google Scholar] [CrossRef]
- Perkins, L.B.; Hatfield, G. Competition, legacy, and priority and the success of three invasive species. Biol. Invasions 2014, 16, 2543–2550. [Google Scholar] [CrossRef]
- Reynolds, S.A.; Aldridge, D.C. Embracing the allelopathic potential of invasive aquatic plants to manipulate freshwater ecosystems. Front. Environ. Sci. 2021, 8, e551803. [Google Scholar] [CrossRef]
- Thuiller, W. Patterns and uncertainties of species’ range shifts under climate change. Glob. Change Biol. 2004, 10, 2020–2027. [Google Scholar] [CrossRef]
- Kriticos, D.J.; Brunel, S. Assessing and managing the current and future pest risk from water hyacinth, (Eichhornia crassipes), an invasive aquatic plant threatening the environment and water security. PLoS ONE 2016, 11, e0120054. [Google Scholar] [CrossRef]
- Cerveira Junior, W.R.; de Carvalho, L.B. Control of water hyacinth: A short review. Commun. Plant Sci. 2019, 9, 129–132. [Google Scholar] [CrossRef]
- Nesslage, G.M.; Wainger, L.A.; Harms, N.E.; Cofrancesco, A.F. Quantifying the population response of invasive water hyacinth, Eichhornia crassipes, to biological control and winter weather in Louisiana, USA. Biol. Invasions 2016, 18, 2107–2115. [Google Scholar] [CrossRef]
- Julien, M.H. Biological control of water hyacinth with arthropods: A review to 2000. In Aciar Proceedings; Proceedings of the Second Meeting of the Global Working Group for the Biological and Integrated Control of Water Hyacinth, Beijing, China, 9–12 October 2000; Julien, M.H., Hill, M.P., Center, T.D., Ding, J., Eds.; Australian Centre for International Agricultural Research: Canberra, ACT, Australia, 2001; pp. 8–20. [Google Scholar]
- Villamagna, A.M.; Murphy, B.R. Ecological and socio-economic impacts of invasive water hyacinth (Eichhornia crassipes): A review. Freshw. Biol. 2010, 55, 282–298. [Google Scholar] [CrossRef]
- Lu, J.; Wu, J.; Fu, Z.; Zhu, L. Water hyacinth in China: A sustainability science-based management framework. Environ. Manag. 2007, 40, 823–830. [Google Scholar] [CrossRef] [PubMed]
- Aboul-Enein, A.M.; Al-Abd, A.M.; Shalaby, E.; Abul-Ela, F.; Nasr-Allah, A.A.; Mahmoud, A.M.; El-Shemy, H.A. Eichhornia crassipes (Mart) solms: From water parasite to potential medicinal remedy. Plant Signal Behav. 2011, 6, 834–836. [Google Scholar] [CrossRef]
- Milićević, D.B. Modeling water hyacinth growth dynamics. Arch. Biol. Sci. 2023, 75, 165–185. [Google Scholar] [CrossRef]
- Gupta, A.K.; Yadav, D. Biological control of water hyacinth. ECR 2020, 3, 37–39. [Google Scholar] [CrossRef]
- Uka, U.N.; Chukwuka, K.S.; Daddy, F. Effect of water hyacinth (Eichhornia crassippes) infestation on zooplankton populations in Awba Reservoir, Ibadan, south-west Nigeria. 2007. Available online: http://hdl.handle.net/1834/37727 (accessed on 15 September 2024).
- Brendonck, L.; Maes, J.; Rommens, W.; Dekeza, N.; Nhiwatiwa, T.; Barson, M.; Callebaut, V.; Phiri, C.; Moreau, K.; Gratwicke, B.; et al. The impact of water hyacinth (Eichhornia crassipes) in a eutrophic subtropical impoundment (Lake Chivero, Zimbabwe). II. Species diversity. Arch. Hydrobiol. 2003, 158, 389–405. [Google Scholar] [CrossRef]
- Coetzee, J.A.; Jones, R.W.; Hill, M.P. Water hyacinth, Eichhornia crassipes (Pontederiaceae), reduces benthic macroinvertebrate diversity in a protected subtropical lake in South Africa. Biodiversity and conservation. Biodivers. Conserv. 2014, 23, 1319–1330. [Google Scholar] [CrossRef]
- Tipping, P.W.; Gettys, L.A.; Minteer, C.R.; Foley, J.R.; Sardes, S.N. Herbivory by biological control agents improves herbicidal control of waterhyacinth (Eichhornia crassipes). Invasive Plant Sci. Manag. 2017, 10, 271–276. [Google Scholar] [CrossRef]
- Tipping, P.W.; Martin, M.R.; Pokorny, E.N.; Nimmo, K.R.; Fitzgerald, D.L.; Dray Jr, F.A.; Center, T.D. Current levels of suppression of waterhyacinth in Florida USA by classical biological control agents. Biol. Control 2014, 71, 65–69. [Google Scholar] [CrossRef]
- Bazzichetto, M.; Malavasi, M.; Bartak, V.; Acosta, A.T.R.; Rocchini, D.; Carranza, M.L. Plant invasion risk: A quest for invasive species distribution modelling in managing protected areas. Ecol. Indic. 2018, 95, 311–319. [Google Scholar] [CrossRef]
- Kariyawasam, C.S.; Kumar, L.; Ratnayake, S.S. Invasive plant species establishment and range dynamics in Sri Lanka under climate change. Entropy 2019, 21, 571. [Google Scholar] [CrossRef] [PubMed]
- Pěknicová, J.; Berchová-Bímová, K. Application of species distribution models for protected areas threatened by invasive plants. J. Nat. Conserv. 2016, 34, 1–7. [Google Scholar] [CrossRef]
- Caplat, P.; Coutts, S.; Buckley, Y.M. Modeling population dynamics, landscape structure, and management decisions for controlling the spread of invasive plants. Ann. N. Y. Acad. Sci. 2012, 1249, 72–83. [Google Scholar] [CrossRef] [PubMed]
- Srivastava, V.; Lafond, V.; Griess, V.C. Species distribution models (SDM): Applications, benefits and challenges in invasive species management. CABI Rev. 2019, 14, 1–13. [Google Scholar] [CrossRef]
- Hutchinson, G.E. An Introduction to Population Ecology; Yale Univ Press: New Haven, CT, USA, 1978. [Google Scholar]
- Jackson, S.T.; Overpeck, J.T. Responses of plant populations and communities to environmental changes of the late Quaternary. Paleobiology 2000, 26, 194–220. [Google Scholar] [CrossRef]
- Elith, J.; Phillips, S.J.; Hastie, T.; Dudík, M.; Chee, Y.E.; Yates, C.J. A statistical explanation of MaxEnt for ecologists. Divers Distrib. 2011, 17, 43–57. [Google Scholar] [CrossRef]
- Kearney, M.R.; Porter, W.P. NicheMapR–an R package for biophysical modelling: The ectotherm and dynamic energy budget models. Ecography 2020, 43, 85–96. [Google Scholar] [CrossRef]
- Elith, J. Predicting distributions of invasive species. Invasive Species Risk Assess. Manag. 2017, 10, 93–129. [Google Scholar] [CrossRef]
- Elith, J.; Leathwick, J.R. Species distribution models: Ecological explanation and prediction across space and time. Ann. Rev. Ecol. Evol. Syst. 2009, 40, 677–697. [Google Scholar] [CrossRef]
- Guisan, A.; Thuiller, W. Predicting species distribution: Offering more than simple habitat models. Ecol. Lett. 2005, 8, 993–1009. [Google Scholar] [CrossRef] [PubMed]
- Measey, G.J.; Rdder, D.; Green, S.L.; Kobayashi, R.; Lillo, F.; Lobos, G.; Rebelo, R.; Thirion, J.M. Ongoing invasions of the African clawed frog, Xenopus laevis: A global review. Biol. Invasions 2012, 14, 2255–2270. [Google Scholar] [CrossRef]
- Yuan, Y.; Tang, X.; Liu, M.; Liu, X.; Tao, J. Species Distribution Models of the Spartina alterniflora Loisel in Its Origin and Invasive Country Reveal an Ecological Niche Shift. Front. Plant Sci. 2021, 12, 738769. [Google Scholar] [CrossRef] [PubMed]
- Austin, M. Species distribution models and ecological theory: A critical assessment and some possible new approaches. Ecol. Model. 2007, 200, 1–19. [Google Scholar] [CrossRef]
- Augusto, L.; Achat, D.L.; Jonard, M.; Vidal, D.; Ringeval, B. Soil parent material—A major driver of plant nutrient limitations in terrestrial ecosystems. Glob. Change Biol. 2017, 23, 3808–3824. [Google Scholar] [CrossRef]
- Marchetto, A.; Padedda, B.M.; Mariani, M.A.; Luglie, A.; Sechi, N. A numerical index for evaluating phytoplankton response to changes in nutrient levels in deep mediterranean reservoirs. J. Limnol. 2009, 68, 106. [Google Scholar] [CrossRef]
- Cordeiro, P.F.; Goulart, F.F.; Macedo, D.R.; Campos, M.D.C.S.; Castro, S.R. Modeling of the potential distribution of Eichhornia crassipes on a global scale: Risks and threats to water ecosystems. Rev. Ambient. Água 2020, 15, e2421. [Google Scholar] [CrossRef]
- Belayhun, M.; Mekuriaw, A. 2024. Modeling water hyacinth (Eichhornia crassipes) distribution in Lake Tana, Ethiopia, using machine learning. RSASE 2024, 36, 101273. [Google Scholar] [CrossRef]
- Zarkami, R.; Esfandi, J.; Sadeghi, R. Modelling occurrence of invasive water hyacinth (Eichhornia crassipes) in Wetlands. Wetlands 2021, 41, 8. [Google Scholar] [CrossRef]
- Baker, R.H.; Benninga, J.; Bremmer, J.; Brunel, S.; Dupin, M.; Eyre, D.; Ilieva, Z.; Jarošík, V.; Kehlenbeck, H.; Kriticos, D.J.; et al. A decision-support scheme for mapping endangered areas in pest risk analysis. EPPO Bull. 2012, 42, 65–73. [Google Scholar] [CrossRef]
- Morrison, W.E.; Hay, M.E. Herbivore preference for native vs. exotic plants: Generalist herbivores from multiple continents prefer exotic plants that are evolutionarily naïve. PLoS ONE 2011, 6, e17227. [Google Scholar] [CrossRef] [PubMed]
- Strasser, C.A.; Lewis, M.A.; DiBacco, C. A mechanistic model for understanding invasions: Using the environment as a predictor of population success. Divers. Distrib. 2011, 17, 1210–1224. [Google Scholar] [CrossRef]
- Young, P.C.; Chotai, A.; Beven, K.J. Data-based mechanistic modelling and the simplification of environmental systems. Environ. Model. Find. Simplicity Complex. 2004, 371, 388. [Google Scholar]
- Van Schalkwyk, H. The Development of a Spatio-Temporal Model for Water Hyacinth, Eichhornia crassipes (Martius) Solms-Laubach (Pontederiaceae), Biological Control Strategies. Doctoral Dissertation, Stellenbosch University, Stellenbosch, South Africa, 2016. Available online: https://core.ac.uk/reader/188225750 (accessed on 15 September 2024).
- Xu, L.; Goode, A.B.; Tipping, P.W.; Smith, M.C.; Gettys, L.A.; Knowles, B.K.; Pokorny, E.; Salinas, L.; DeAngelis, D.L. Less is more: Less herbicide does more when biological control is present in Pontederia crassipes. Ecol. Model. 2024, 487, 110566. [Google Scholar] [CrossRef]
- Lee, A.M.; Sæther, B.E.; Engen, S. Spatial covariation of competing species in a fluctuating environment. Ecology 2020, 101, e02901. [Google Scholar] [CrossRef]
- Gardner, A.S.; Maclean, I.M.; Gaston, K.J. Climatic predictors of species distributions neglect biophysiologically meaningful variables. Divers. Distrib. 2019, 25, 1318–1333. [Google Scholar] [CrossRef]
- Scheffer, M.; Szabo, S.; Gragnani, A.; van Nes E., H.; Rinaldi, S.; Kautsky, N.; Norberg, J.; Roijackers, R.M.; Franken, R.J. Floating plant dominance as a stable state. Proc. Natl. Acad. Sci. USA 2003, 100, 4040–4045. [Google Scholar] [CrossRef]
- van Nes, E.H.; Scheffer, M. Implications of spatial heterogeneity for catastrophic regime shifts in ecosystems. Ecology 2005, 86, 1797–1807. [Google Scholar] [CrossRef]
- McCann, M.J. Evidence of alternative states in freshwater lakes: A spatially-explicit model of submerged and floating plants. Ecol. Model. 2016, 337, 298–309. [Google Scholar] [CrossRef]
- Dijkstra, J.A.; Westerman, E.L.; Harris, L.G. Elevated seasonal temperatures eliminate thermal barriers of reproduction of a dominant invasive species: A community state change for northern communities? Divers. Distrib. 2017, 23, 1182–1192. [Google Scholar] [CrossRef]
- Wilson, J.R.; Holst, N.; Rees, M. Determinants and patterns of population growth in water hyacinth. Aquat. Bot. 2005, 81, 51–67. [Google Scholar] [CrossRef]
- McCann, M.J. Response diversity of free-floating plants to nutrient stoichiometry and temperature: Growth and resting body formation. PeerJ 2016, 4, e1781. [Google Scholar] [CrossRef] [PubMed]
- Savage, D.; Renton, M. Requirements, design and implementation of a general model of biological invasion. Ecol. Model. 2014, 272, 394–409. [Google Scholar] [CrossRef]
- Higgins, S.I.; Richardson, D.M.; Cowling, R.M. Modeling invasive plant spread: The role of plant-environment interactions and model structure. Ecology 1996, 77, 2043–2054. [Google Scholar] [CrossRef]
- Levine, J.M.; Adler, P.B.; Yelenik, S.G. A meta-analysis of biotic resistance to exotic plant invasions. Ecol. Lett. 2004, 7, 975–989. [Google Scholar] [CrossRef]
- Chesson, P. Mechanisms of maintenance of species diversity. Ann. Rev. Ecol. Syst. 2000, 31, 343–366. [Google Scholar] [CrossRef]
- Zhang, B.; DeAngelis, D.L.; Rayamajhi, M.B.; Botkin, D. Modeling the long-term effects of introduced herbivores on the spread of an invasive tree. Landsc. Ecol. 2017, 32, 1147–1161. [Google Scholar] [CrossRef]






| Nutrient N † | Temperature Scenarios (Mean Temperatures, Celsius) | |||||||
|---|---|---|---|---|---|---|---|---|
| 27° | 25.75° | 24° | 22° | 19.5° | 18.5° | 17° | 16° | |
| 2.0 | F | F | F | C | C | C | C | C | 
| 1.9 | F | F | F | C | C | C | C | S | 
| 1.8 | F | F | F | C | C | C | C | S | 
| 1.7 | F | F | F | C | C | C | C | S | 
| 1.6 | F | F | F | C | C | C | C | S | 
| 1.5 | F | F | F | C | C | C | C | S | 
| 1.4 | F | F | F | C | C | C | C | S | 
| 1.3 | F | F | F | C | C | C | C | S | 
| 1.2 | F | F | C | C | C | C | S | S | 
| 1.1 | F | F | C | C | C | C | S | S | 
| 1.0 | F | F | C | C | C | S | S | S | 
| 0.9 | F | C | C | C | S | S | S | S | 
| 0.8 | F | C | C | C | S | S | S | S | 
| 0.7 | C | C | C | S | S | S | S | S | 
| 0.6 | C | C | S | S | S | S | S | S | 
| 0.5 | C | S | S | S | S | S | S | S | 
| 0.4 | S | S | S | S | S | S | S | S | 
| 0.3 | S | S | S | S | S | S | S | S | 
| 0.2 | S | S | S | S | S | S | S | S | 
| 0.1 | S | S | S | S | S | S | S | S | 
| Parameter | Definition | Values | Units | 
|---|---|---|---|
| N | Total nutrient concentration (nitrogen) in the system | 0.1, 0.2, …, 2.0 | mg L−1 | 
| θmean | Mean annual temperatures | 27.0, 25.75, 24.5, 22.0, 19.5, 18.5, 17.0, 16.0 | deg C | 
| θamplitude | Amplitudes of seasonal fluctuations | 4, 6, 7.5, 11, 14.5, 16, 18, 19 | deg C | 
| Parameter | Definition | Value | Units | 
|---|---|---|---|
| r | Maximum growth rates of SAV and FAV | 0.1, 0.1 | day−1 | 
| h | Half-saturation of n for SAV and FAV | 0.0, 0.2 | mg L−1 | 
| a | Self (light)-limitation | 0.1 | 1/g dW m−2 | 
| l | Losses to SAV and FAV | 0.05, 0.01 | day−1 | 
| b | Shading effect of FAV on SAV | 0.04 | 1/g dW m−2 | 
| W | Light attenuation in the water column | 0 | unitless | 
| θmin,F, θmin,S | Minimum temperature for growth | 8, 0 | deg C | 
| θopt,F, θopt,S | Optimum temperature for growth | 30, 22 | deg C | 
| θmax,F, θmax,S | Maximum temperature for growth | 40, 35 | deg C | 
| N | Total nitrogen in system | Various | mg L−1 | 
| qs | Nutrient per unit biomass SAV | 0.025 | mg/g dW | 
| qf | Nutrient per unit biomass FAV | 0.005 | mg/g dW | 
| Disclaimer/Publisher’s Note: The statements, opinions and data contained in all publications are solely those of the individual author(s) and contributor(s) and not of MDPI and/or the editor(s). MDPI and/or the editor(s) disclaim responsibility for any injury to people or property resulting from any ideas, methods, instructions or products referred to in the content. | 
© 2024 by the authors. Licensee MDPI, Basel, Switzerland. This article is an open access article distributed under the terms and conditions of the Creative Commons Attribution (CC BY) license (https://creativecommons.org/licenses/by/4.0/).
Share and Cite
Xu, L.; DeAngelis, D.L. Modeling the Effects of Temperature and Limiting Nutrients on the Competition of an Invasive Floating Plant, Pontederia crassipes, with Submersed Vegetation in a Shallow Lake. Plants 2024, 13, 2621. https://doi.org/10.3390/plants13182621
Xu L, DeAngelis DL. Modeling the Effects of Temperature and Limiting Nutrients on the Competition of an Invasive Floating Plant, Pontederia crassipes, with Submersed Vegetation in a Shallow Lake. Plants. 2024; 13(18):2621. https://doi.org/10.3390/plants13182621
Chicago/Turabian StyleXu, Linhao, and Donald L. DeAngelis. 2024. "Modeling the Effects of Temperature and Limiting Nutrients on the Competition of an Invasive Floating Plant, Pontederia crassipes, with Submersed Vegetation in a Shallow Lake" Plants 13, no. 18: 2621. https://doi.org/10.3390/plants13182621
APA StyleXu, L., & DeAngelis, D. L. (2024). Modeling the Effects of Temperature and Limiting Nutrients on the Competition of an Invasive Floating Plant, Pontederia crassipes, with Submersed Vegetation in a Shallow Lake. Plants, 13(18), 2621. https://doi.org/10.3390/plants13182621
 
        



 
       