Prolonged Post-Harvest Preservation in Lettuce (Lactuca sativa L.) by Reducing Water Loss Rate and Chlorophyll Degradation Regulated through Lighting Direction-Induced Morphophysiological Improvements
Abstract
1. Introduction
2. Results
2.1. Morphological and Growth Parameters
2.2. Morphological Characteristics of the Epidermal Cells and Stomata
2.3. Photosynthetic and Chlorophyll Fluorescence Characteristics
2.4. Carbohydrates and Soluble Proteins
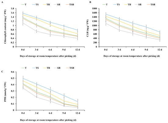
2.5. The Change in Chlorophyll Content, Chlorophyllase (CLH), and Pheophytinase (PPH) Activities
2.6. The Change in Water Loss Rate
2.7. The Change in Membrane Permeability
2.8. The Change in β-Galactosidase (β-GAL) Activity and Brittleness
3. Discussion
3.1. Variations in the Lighting Direction Combinations: Their Effects on Anatomical, Physiological, Morphological, and Growth Parameters of Lettuce Plants
3.2. Variations in the Lighting Direction Combinations: Relationship between Culture Environmental Lighting and Post-Harvest Fresh-Keeping of Lettuce Plants
4. Materials and Methods
4.1. Plant Materials, Growth Conditions, and Experimental Setup
4.2. Measurements of Morphological, Growth Parameters, and Post-Harvest Storage Condition
4.3. Anatomical Observation of Leaves
4.4. Measurements of Photosynthetic and Chlorophyll Fluorescence Indexes
4.5. Measurements of Carbohydrates and Soluble Proteins
4.6. Measurement of Water Loss Rate
4.7. Measurement of Relative Conductivity
4.8. Measurement of Malondialdehyde (MDA) Content
4.9. Measurement of Brittleness
4.10. Measurement of Chlorophyll Content
4.11. Measurements of Activities of β-Galactosidase (β-GAL), Chlorophyllase (CLH), and Pheophytinase (PPH)
4.12. Statistical Analysis
5. Conclusions
Author Contributions
Funding
Data Availability Statement
Conflicts of Interest
References
- Mawphlang, O.I.; Kharshiing, E.V. Photoreceptor mediated plant growth responses: Implications for photoreceptor engineering toward improved performance in crops. Front. Plant Sci. 2017, 8, 1181. [Google Scholar] [CrossRef] [PubMed]
- Paik, I.; Huq, E. In plant photoreceptors: Multi-functional sensory proteins and their signaling networks. Semin. Cell Dev. Biol. 2019, 92, 114–121. [Google Scholar] [CrossRef] [PubMed]
- Ibaraki, Y. Lighting efficiency in plant production under artificial lighting and plant growth modeling for evaluating the lighting efficiency. In Led Lighting for Urban Agriculture; Springer: New York, NY, USA, 2016; pp. 151–161. [Google Scholar]
- Yang, J.; Song, J.; Jeong, B.R. Lighting from top and side enhances photosynthesis and plant performance by improving light usage efficiency. Int. J. Mol. Sci. 2022, 23, 2448. [Google Scholar] [CrossRef] [PubMed]
- Yang, J.; Jeong, B.R. Side lighting enhances morphophysiology by inducing more branching and flowering in chrysanthemum grown in a controlled environment. Int. J. Mol. Sci. 2021, 22, 12019. [Google Scholar] [CrossRef]
- Yang, J.; Song, J.; Jeong, B.R. Side lighting enhances morphophysiology and runner formation by upregulating photosynthesis in strawberry grown in controlled environment. Agronomy 2022, 12, 24. [Google Scholar] [CrossRef]
- Liscum, E.; Askinosie, S.K.; Leuchtman, D.L.; Morrow, J.; Willenburg, K.T.; Coats, D.R. Phototropism: Growing towards an understanding of plant movement. Plant Cell 2014, 26, 38–55. [Google Scholar] [CrossRef] [PubMed]
- Mullen, J.L.; Weinig, C.; Hangarter, R.P. Shade avoidance and the regulation of leaf inclination in Arabidopsis. Plant Cell Environ. 2006, 29, 1099–1106. [Google Scholar] [CrossRef]
- Van Zanten, M.; Pons, T.; Janssen, J.; Voesenek, L.; Peeters, A. On the relevance and control of leaf angle. Crit. Rev. Plant Sci. 2010, 29, 300–316. [Google Scholar] [CrossRef]
- Ren, X.; Liu, Y.; Jeong, H.K.; Jeong, B.R. Supplementary light source affects the growth and development of Codonopsis lanceolata seedlings. Int. J. Mol. Sci. 2018, 19, 3074. [Google Scholar] [CrossRef]
- Sack, L.; Buckley, T.N. The developmental basis of stomatal density and flux. Plant Physiol. 2016, 171, 2358–2363. [Google Scholar] [CrossRef]
- Kardel, F.; Wuyts, K.; Babanezhad, M.; Wuytack, T.; Potters, G.; Samson, R. Assessing urban habitat quality based on specific leaf area and stomatal characteristics of Plantago lanceolata L. Environ. Pollut. 2010, 158, 788–794. [Google Scholar] [CrossRef] [PubMed]
- Rico, D.; Martin-Diana, A.B.; Barat, J.; Barry-Ryan, C. Extending and measuring the quality of fresh-cut fruit and vegetables: A review. Trends Food Sci. Technol. 2007, 18, 373–386. [Google Scholar] [CrossRef]
- Liu, Z.; Tang, L.; Wang, H.; Mao, G.; Zhang, L.; Wang, W. Effect of chlorophyll degradation and pheophytinase activity of Chinese kale under low temperature storage and ultraviolet-C irradiation. Sci. Technol. Food Ind. 2013, 15, 332–334. [Google Scholar]
- Zhu, J.; Xie, J. Advances in preservation techniques of leafy vegetables. Hunan Agric. Sci. 2011, 21, 90–93. [Google Scholar]
- Fan, S.; Chen, X. Present aspects and prospect of post-harvest processing and preservation of China leafy vegetables. J. Food Sci. Technol. 2014, 32, 1–5. [Google Scholar]
- Yu, J.; Xie, J. Current advances in preservation technology of lettuce. Food Mach. 2013, 5, 226–229. [Google Scholar]
- Guo, Z.; Chen, X.; Xu, L.; Yang, X.; Zhang, Q.; Chen, J. Research progress on preservation technology and mechanism of leaf vegetables under MAP. Chin. Agric. Sci. Bull. 2016, 32, 161–165. [Google Scholar]
- Gao, H.; Zhao, X.; Li, R. Review of post-harvest treatment and preservation technologies of fruit and vegetable. Trans. CSAE 2007, 23, 273–278. [Google Scholar]
- Jiang, W.; Liu, J.; Sun, Y.; Li, W. Effect of low temperature and humidification preservation on storage quality of leaf vegetables. Storage Process 2018, 18, 43–48. [Google Scholar]
- Zhou, J.; Han, T.; Chen, X.; Xu, L.; Zhang, X. The influence of different packaging materials on the post-harvest physiology and fresh-keeping effect of the lettuce. Vegetables 2017, 11, 61–66. [Google Scholar]
- Ma, Y.; Liu, J.; Chen, X.; Yang, X. Effects of different barrier packaging materials on preservation of lettuce. Food Mach. 2017, 3, 122–125. [Google Scholar]
- Li, X.; Li, H.; Feng, Y.; Pu, H.; Yang, F.; Jin, P.; Wang, H.; Yu, L. Alleviation of Post-harvest Senescence in Leafy Vegetables by Regulating Brittleness and Chlorophyll Degradation Under Combination of 1-MCP and Low Temperature. Acta Agric. Boreali-Occident. Sin. 2022, 31, 586–594. [Google Scholar]
- Min, Q.; Marcelis, L.F.; Nicole, C.C.; Woltering, E.J. High light intensity applied shortly before harvest improves lettuce nutritional quality and extends the shelf life. Front. Plant Sci. 2021, 12, 615355. [Google Scholar] [CrossRef]
- Wei, L. Research progress of chlorophyll degradation mechanism in fruit and vegetable. China Food Safety 2016, 9, 49–50. [Google Scholar]
- Tang, L.; Mao, Z. Degradation pathway of plant chlorophyll and its molecular regulation. Plan Physiol. J. 2011, 47, 936–942. [Google Scholar]
- Wang, H.; Wang, S.; Shi, Y.; Sun, D. Optimization of determination conditions of chlorophyllase and pheophytin hydrolase activity in wheat leaf. J. Shanxi Agric. Sci. 2019, 47, 541–544. [Google Scholar]
- Tian, X.; Wu, H.; Wang, L.; Tian, X.; Li, R.; Qi, Y.; Ren, X. Effect of 1-MCP treatment on chlorophyll degradation in post-harvest ‘Granny Smith’ apple fruit. J. Fruit Sci. 2020, 37, 734–742. [Google Scholar]
- Yin, X.; Zhao, K.; Jiang, X.; Pan, L.; Tu, K. Effect of ultrasonic treatment combined with nano-packaging on the quality of fresh-cut lettuce. Food Sci. 2015, 36, 250–254. [Google Scholar]
- Chen, H.; Deng, Y.; Feng, J.; Huang, X.; Shen, L.; Du, L. MAP preservation effect of different preservative films on green pepper. Food Sci. Technol. 2013, 10, 36–39. [Google Scholar]
- Tian, A.; Liu, J.; Cao, J. β-Galactosidase in Plants. Chin. J. Cell Biol. 2014, 36, 703–707. [Google Scholar]
- Jin, H.; Zhu, Z. Dark, light, and temperature: Key players in plant morphogenesis. Plant Physiol. 2019, 180, 1793. [Google Scholar] [CrossRef] [PubMed]
- Van, G.K.; Kang, C.; Pierik, R. Light signaling, root development, and plasticity. Plant Physiol. 2018, 176, 1049–1060. [Google Scholar]
- Wang, M.; Wei, H.; Jeong, B.R. Lighting direction affects leaf morphology, stomatal characteristics, and physiology of head lettuce (Lactuca sativa L.). Int. J. Mol. Sci. 2021, 22, 3157. [Google Scholar] [CrossRef] [PubMed]
- Millenaar, F.F.; Van Zanten, M.; Cox, M.C.; Pierik, R.; Voesenek, L.A.; Peeters, A.J. Differential petiole growth in Arabidopsis thaliana: Photocontrol and hormonal regulation. New Phytol. 2009, 184, 141–152. [Google Scholar] [CrossRef]
- Pierik, R.; Cuppens, M.L.; Voesenek, L.A.; Visser, E.J. Interactions between ethylene and gibberellins in phytochrome-mediated shade avoidance responses in tobacco. Plant Physiol. 2004, 136, 2928–2936. [Google Scholar] [CrossRef]
- Niresh, J.; Kirubakaran, R.; Mohana Praddeesh, M.; Gokul, V.; Gokkul, T. An optimized observer for estimating torque converter characteristics for vehicles with automatic transmission. Int. J. Eng. Technol. 2018, 7, 573–577. [Google Scholar]
- Jumrani, K.; Bhatia, V.S.; Pandey, G.P. Impact of elevated temperatures on specific leaf weight, stomatal density, photosynthesis and chlorophyll fluorescence in soybean. Photosynth. Res. 2017, 131, 333–350. [Google Scholar] [CrossRef]
- Liao, J.X.; Ge, Y.; Huang, C.C.; Zhang, J.; Liu, Q.X.; Chang, J. Effects of irradiance on photosynthetic characteristics and growth of Mosla chinensis and M. scabra. Photosynthetica 2005, 43, 111–115. [Google Scholar] [CrossRef]
- Yin, Q.; Tian, T.; Kou, M.; Liu, P.; Wang, L.; Hao, Z.; Yue, M. The relationships between photosynthesis and stomatal traits on the Loess Plateau. Glob. Ecol. Conserv. 2020, 23, e01146. [Google Scholar] [CrossRef]
- Ma, J.; Zhu, Q.S.; Ma, W.B.; Tian, Y.H.; Yang, J.C.; Zhou, K.D. Studies on the photosynthetic characteristics and assimilate’s accumulation and transformation in heavy panicle type of rice. Agric. Sci. China 2003, 2, 602–608. [Google Scholar]
- Yamori, W.; Kusumi, K.; Iba, K.; Terashima, I. Increased stomatal conductance induces rapid changes to photosynthetic rate in response to naturally fluctuating light conditions in rice. Plant Cell Environ. 2020, 43, 1230–1240. [Google Scholar] [CrossRef]
- Park, Y.G.; Jeong, B.R. Both the quality and positioning of the night interruption light are important for flowering and plant extension growth. J. Plant Growth Regul. 2020, 39, 583–593. [Google Scholar] [CrossRef]
- Dai, Y.; Shen, Z.; Liu, Y.; Wang, L.; Hannaway, D.; Lu, H. Effects of shade treatments on the photosynthetic capacity, chlorophyll fluorescence, and chlorophyll content of Tetrastigma hemsleyanum Diels et Gilg. Environ. Exp. Bot. 2009, 65, 177–182. [Google Scholar] [CrossRef]
- Liang, Y.; Feng, L.; Yin, C. Current status and prospect of chlorophyll fluorescence technique in the study of responses of microalgae to environmental stress. Mar. Sci. 2007, 31, 71. [Google Scholar]
- Zhang, Y.; Liu, G.J. Effects of cesium accumulation on chlorophyll content and fluorescence of Brassica juncea L. J. Environ. Radioactiv. 2018, 195, 26–32. [Google Scholar] [CrossRef]
- Liu, Y.; Ren, X.; Jeong, B.R. Supplementary light source affects growth, metabolism, and physiology of Adenophora triphylla (Thunb.) A.DC. seedlings. BioMed Res. Int. 2019, 2019, 6283989. [Google Scholar]
- Feng, L.; Raza, M.A.; Li, Z.; Chen, Y.; Khalid, M.H.B.; Du, J.; Liu, W.; Wu, X.; Song, C.; Yu, L. The influence of light intensity and leaf movement on photosynthesis characteristics and carbon balance of soybean. Front. Plant Sci. 2019, 9, 1952. [Google Scholar] [CrossRef]
- Eliyahu, E.; Rog, I.; Inbal, D.; Danon, A. ACHT4-driven oxidation of APS1 attenuates starch synthesis under low light intensity in Arabidopsis plants. Proc. Natl. Acad. Sci. USA 2015, 112, 12876–12881. [Google Scholar] [CrossRef]
- Kami, C.; Lorrain, S.; Hornitschek, P.; Fankhauser, C. Light-regulated plant growth and development. Curr. Top. Dev. Biol. 2010, 91, 29–66. [Google Scholar]
- Yang, J.; Song, J.; Shilpha, J.; Jeong, B.R. Top and Side Lighting Induce Morphophysiological Improvements in Korean Ginseng Sprouts (Panax ginseng CA Meyer) Grown from One-Year-Old Roots. Plants 2023, 12, 2849. [Google Scholar] [CrossRef]
- Nilson, S.E.; Assmann, S.M. The control of transpiration. Insights from Arabidopsis. Plant Physiol. 2007, 143, 19–27. [Google Scholar] [CrossRef] [PubMed]
- Hetherington, A.M.; Woodward, F.I. The role of stomata in sensing and driving environmental change. Nature 2003, 424, 901–908. [Google Scholar] [CrossRef]
- Handa, S.; Bressan, R.A.; Handa, A.K.; Carpita, N.C.; Hasegawa, P.M. Solutes contributing to osmotic adjustment in cultured plant cells adapted to water stress. Plant Physiol. 1983, 73, 834–843. [Google Scholar] [CrossRef] [PubMed]
- Wang, P.; Grimm, B. Connecting chlorophyll metabolism with accumulation of the photosynthetic apparatus. Trends Plant Sci. 2021, 26, 484–495. [Google Scholar] [CrossRef]
- Tanaka, A.; Tanaka, R. Chlorophyll metabolism. Curr. Opin. Plant Biol. 2006, 9, 248–255. [Google Scholar] [CrossRef] [PubMed]
- Gates, D.M. Transpiration and leaf temperature. Annu. Rev. Plant Physiol. 1968, 19, 211–238. [Google Scholar] [CrossRef]
- Chen, B.H.; Li, X.S.; Cao, Z.Y. A method for observing stoma by transparent gummed tape to tear epidermis from leaf. Plant Physiol. Commun. 2004, 40, 215–218. [Google Scholar]
- Chen, Z.; Hills, A.; Bätz, U.; Amtmann, A.; Lew, V.L.; Blatt, M.R. Systems dynamic modeling of the stomatal guard cell predicts emergent behaviors in transport, signaling, and volume control. Plant Physiol. 2012, 159, 1235–1251. [Google Scholar] [CrossRef]
- Genty, B.; Briantais, J.M.; Baker, N.R. The relationship between the quantum yield of photosynthetic electron transport and quenching of chlorophyll fluorescence. Biochim. Biophys. Acta (BBA)—Gen. Subj. 1989, 990, 87–92. [Google Scholar] [CrossRef]
- Vasseur, F.; Pantin, F.; Vile, D. Changes in light intensity reveal a major role for carbon balance in Arabidopsis responses to high temperature. Plant Cell Environ. 2011, 34, 1563–1576. [Google Scholar] [CrossRef]
- Ren, X.X.; Xue, J.Q.; Wang, S.L.; Xue, Y.Q.; Zhang, P.; Jiang, H.D.; Zhang, X.X. Proteomic analysis of tree peony (Paeonia ostii ‘Feng Dan’) seed germination affected by low temperature. J. Plant Physiol. 2018, 224, 56–67. [Google Scholar] [CrossRef] [PubMed]
- Song, J.; Li, Y.; Hu, J.; Lee, J.; Jeong, B.R. Pre-and/or post-harvest silicon application prolongs the vase life and enhances the quality of cut peony (Paeonia lactiflora Pall.) flowers. Plants 2021, 10, 1742. [Google Scholar] [CrossRef] [PubMed]
- Muneer, S.; Soundararajan, P.; Jeong, B.R. Proteomic and antioxidant analysis elucidates the underlying mechanism of tolerance to hyperhydricity stress in in vitro shoot cultures of Dianthus caryophyllus. J. Plant Growth Regul. 2016, 35, 667–679. [Google Scholar] [CrossRef]
- Bradford, M.M. A rapid and sensitive method for the quantitation of microgram quantities of protein utilising the principle of protein-dye binding. Anal. Biochem. 1976, 72, 248–254. [Google Scholar] [CrossRef]
- Lichtenthaler, H.K.; Buschmann, C. Chlorophylls and carotenoids: Measurement and characterisation by UV-VIS spectroscopy. Curr. Protoc. Food Anal. Chem. 2001, 1, F4.3.1–F4.3.8. [Google Scholar] [CrossRef]













| Treatment | Shoot | Leaf 4 | |||||
|---|---|---|---|---|---|---|---|
| Height 2 (cm) | Crown Width 3 (cm) | Fresh Weight (g) | Dry Weight (g) | Number | Length (cm) | Width (cm) | |
| T | 19.87 ± 1.76 b 1 | 28.67 ± 1.27 b | 61.14 ± 2.34 c | 6.67 ± 0.96 c | 15.67 ± 1.93 b | 13.96 ± 1.12 c | 11.63 ± 0.91 ab |
| TS | 17.73 ± 2.03 c | 31.07 ± 1.54 a | 83.10 ± 2.77 a | 15.13 ± 1.06 a | 21.33 ± 1.37 a | 14.86 ± 1.33 bc | 12.43 ± 0.82 a |
| TB | 23.70 ± 2.17 a | 25.40 ± 2.01 c | 72.40 ± 2.15 b | 10.53 ± 1.11 b | 16.03 ± 1.88 b | 15.90 ± 1.23 b | 11.03 ± 0.67 b |
| SB | 8.77 ± 1.86 d | 19.23 ± 1.66 d | 27.69 ± 1.78 d | 2.36 ± 0.99 d | 12.06 ± 1.11 c | 18.90 ± 1.93 a | 8.47 ± 0.94 c |
| TSB | 18.07 ± 1.79 bc | 25.65 ± 1.91 c | 60.91 ± 2.11 c | 5.62 ± 1.02 cd | 15.73 ± 1.96 b | 17.00 ± 1.90 ab | 10.30 ± 0.72 bc |
| Treatment | Abbreviation | Light Intensity (μmol∙m−2∙s−1 Photosynthetic Photon Flux Density (PPFD)) per Light Direction 1 |
|---|---|---|
| Top (1/1) | T | 600 |
| Top (1/2) + Side (1/2) | TS | 300 |
| Top (1/2) + Bottom (1/2) | TB | 300 |
| Side (1/2) + Bottom (1/2) | SB | 300 |
| Top (1/3) + Side (1/3) + Bottom (1/3) | TSB | 200 |
Disclaimer/Publisher’s Note: The statements, opinions and data contained in all publications are solely those of the individual author(s) and contributor(s) and not of MDPI and/or the editor(s). MDPI and/or the editor(s) disclaim responsibility for any injury to people or property resulting from any ideas, methods, instructions or products referred to in the content. |
© 2024 by the authors. Licensee MDPI, Basel, Switzerland. This article is an open access article distributed under the terms and conditions of the Creative Commons Attribution (CC BY) license (https://creativecommons.org/licenses/by/4.0/).
Share and Cite
Yang, J.; Song, J.; Liu, J.; Dong, X.; Zhang, H.; Jeong, B.R. Prolonged Post-Harvest Preservation in Lettuce (Lactuca sativa L.) by Reducing Water Loss Rate and Chlorophyll Degradation Regulated through Lighting Direction-Induced Morphophysiological Improvements. Plants 2024, 13, 2564. https://doi.org/10.3390/plants13182564
Yang J, Song J, Liu J, Dong X, Zhang H, Jeong BR. Prolonged Post-Harvest Preservation in Lettuce (Lactuca sativa L.) by Reducing Water Loss Rate and Chlorophyll Degradation Regulated through Lighting Direction-Induced Morphophysiological Improvements. Plants. 2024; 13(18):2564. https://doi.org/10.3390/plants13182564
Chicago/Turabian StyleYang, Jingli, Jinnan Song, Jie Liu, Xinxiu Dong, Haijun Zhang, and Byoung Ryong Jeong. 2024. "Prolonged Post-Harvest Preservation in Lettuce (Lactuca sativa L.) by Reducing Water Loss Rate and Chlorophyll Degradation Regulated through Lighting Direction-Induced Morphophysiological Improvements" Plants 13, no. 18: 2564. https://doi.org/10.3390/plants13182564
APA StyleYang, J., Song, J., Liu, J., Dong, X., Zhang, H., & Jeong, B. R. (2024). Prolonged Post-Harvest Preservation in Lettuce (Lactuca sativa L.) by Reducing Water Loss Rate and Chlorophyll Degradation Regulated through Lighting Direction-Induced Morphophysiological Improvements. Plants, 13(18), 2564. https://doi.org/10.3390/plants13182564

