Successive Years of Rice Straw Return Increased the Rice Yield and Soil Nutrients While Decreasing the Greenhouse Gas Intensity
Abstract
1. Introduction
2. Results
2.1. Rice Yield, Dry Matter Accumulation, and Nitrogen Uptake of Rice
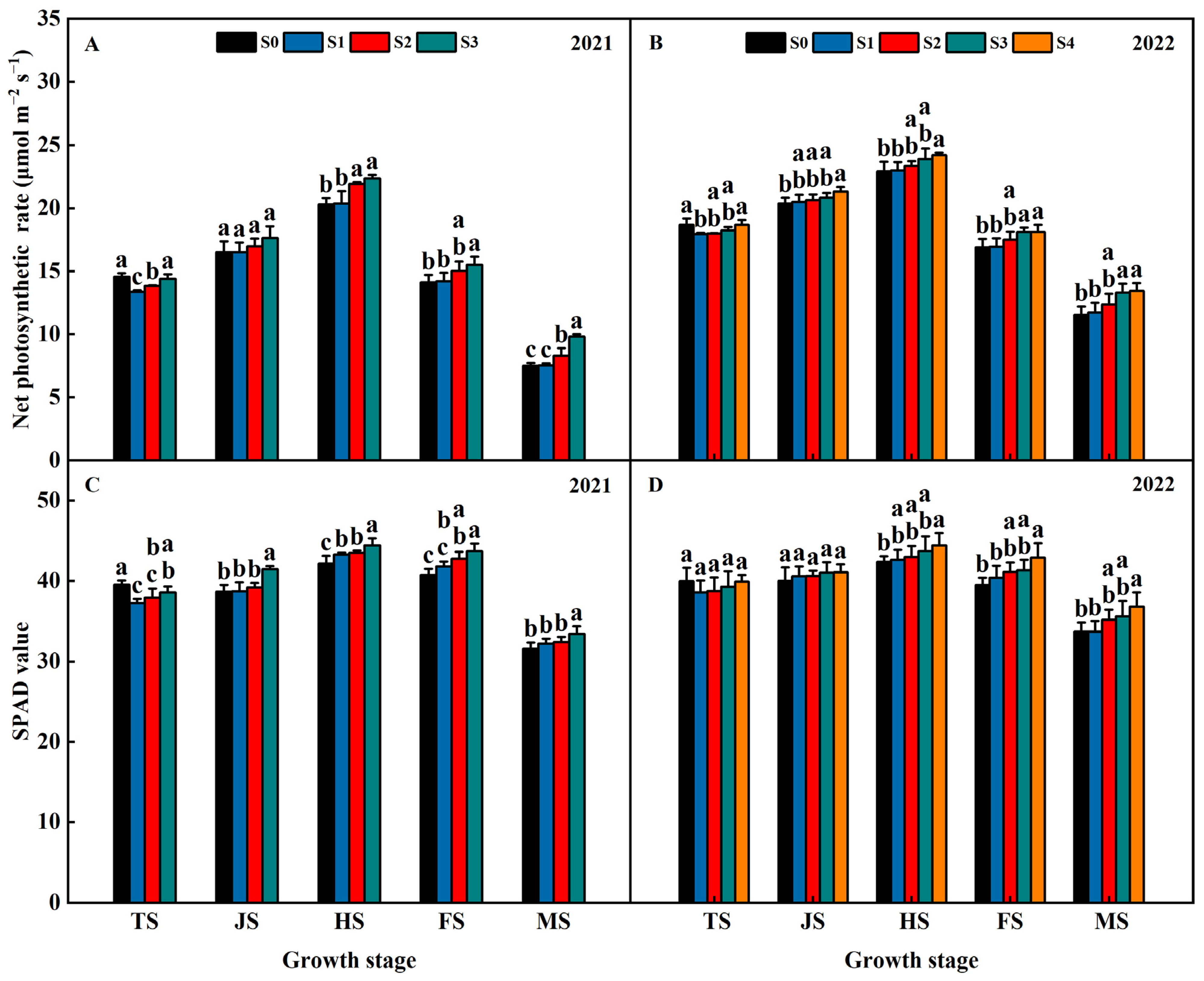
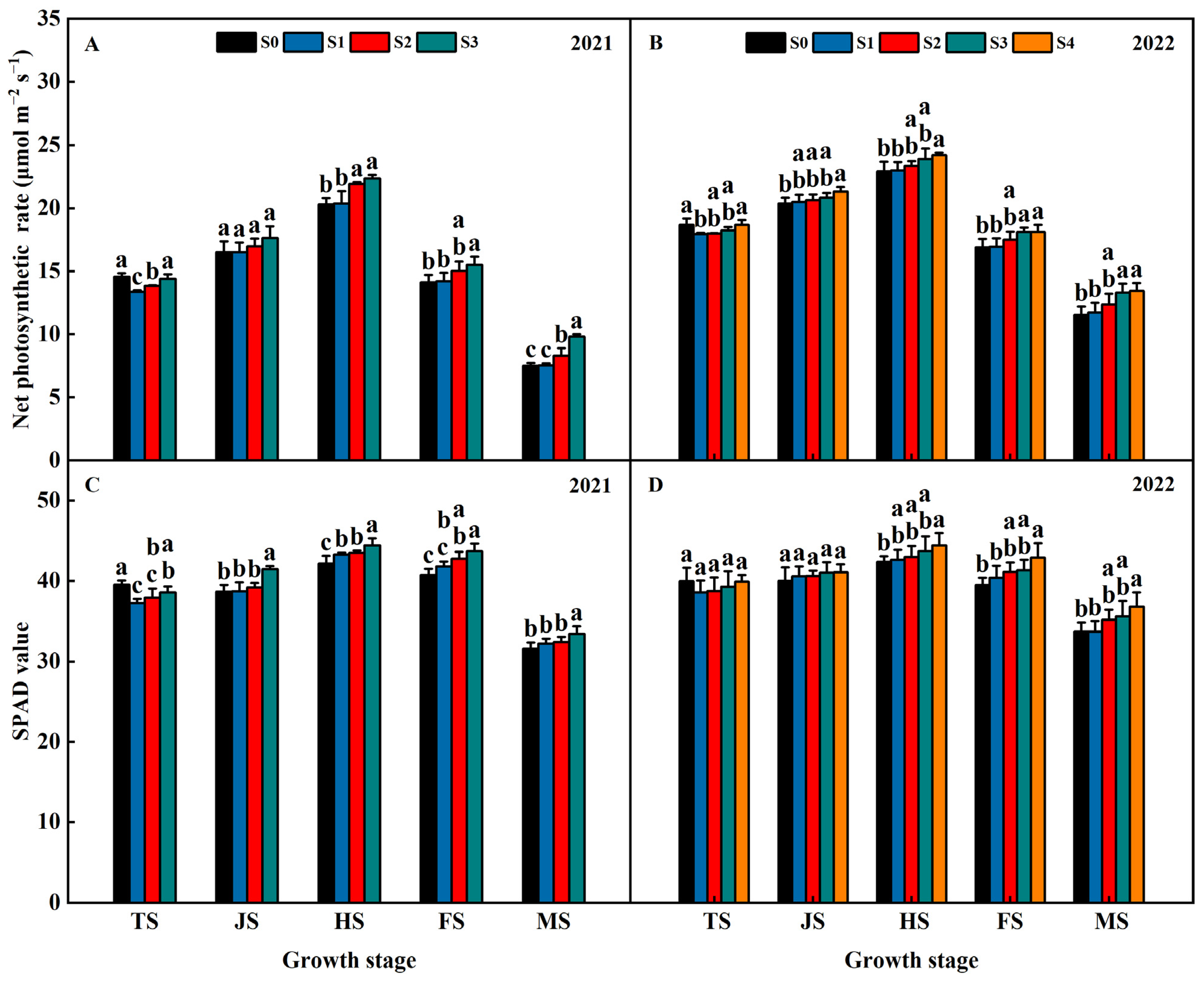
2.2. Dynamics of Tiller Numbers, Leaf Area Index, and Net Photosynthetic Rate
2.3. Physiological Characterization of the Rice Root System
2.4. Soil Nutrients
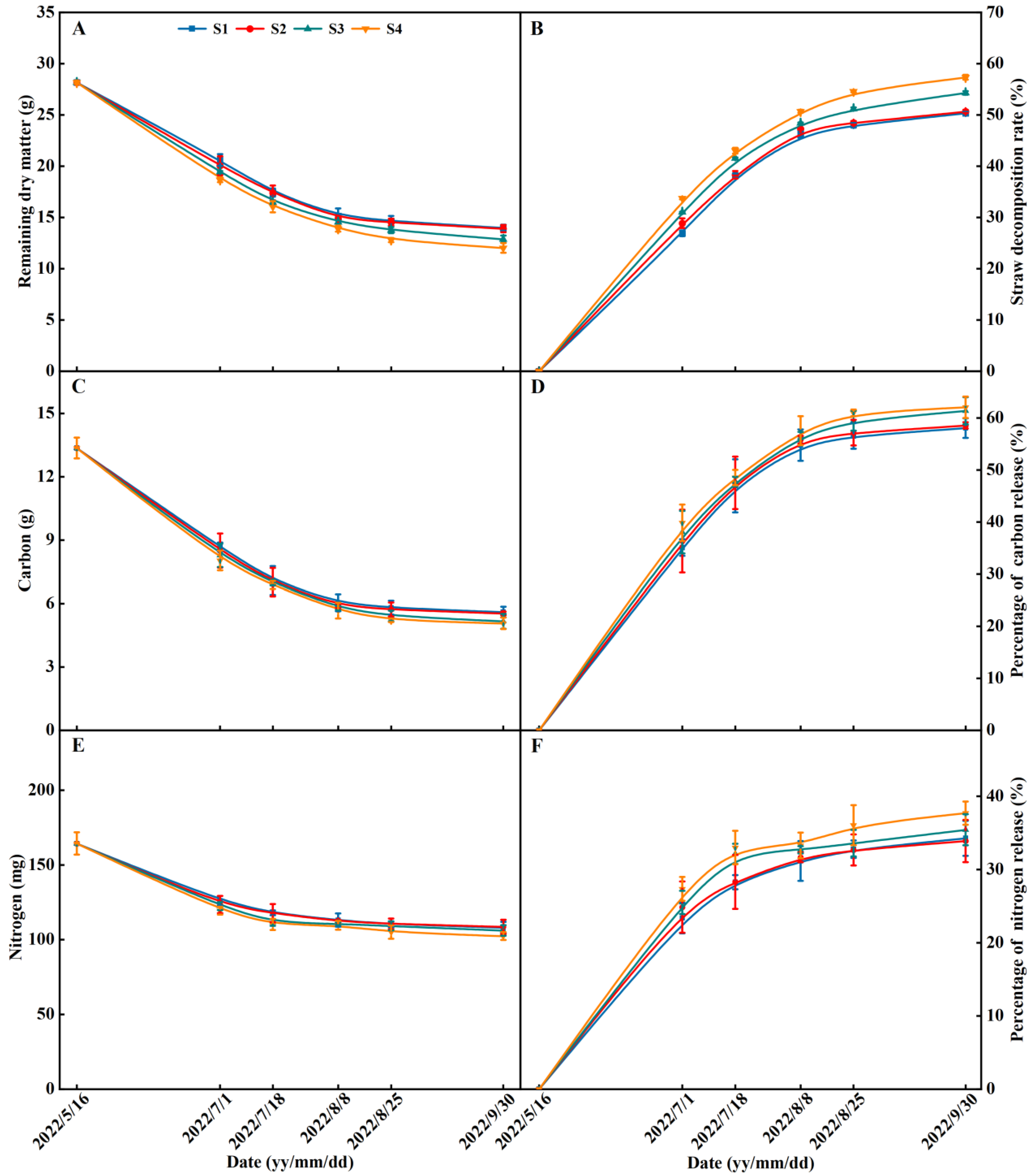
2.5. Nutrient Release of Rice Straw
2.6. CO2, CH4, and N2O Emissions
2.7. The GWP and GHGI
2.8. Correlation Analysis
3. Discussion
3.1. Effects of Different Years of Straw Return on the Soil Fertility of Paddy Fields
3.2. Effects of Different Years of Straw Return on the Rice Nitrogen Uptake and Grain Yield
3.3. Effects of Different Years Straw Return on Greenhouse Gas Emissions
4. Materials and Methods
4.1. Experimental Site and Soil Properties
4.2. Experimental Design
4.3. Measurement Index and Methods
4.3.1. Rice Yield
4.3.2. Leaf Area Index, Dry Weight, and Nitrogen Uptake of Rice
4.3.3. Measurement of the Photosynthetic Parameters and SPAD Value of the Rice Leaves
4.3.4. Rice Root Sample Collection and Measurement
4.3.5. Measurement of Straw Decomposition
4.3.6. Soil Sample Collection and Determination
4.3.7. Measurement of Soil GHG Emissions
4.4. Statistical Analysis
5. Conclusions
Author Contributions
Funding
Data Availability Statement
Conflicts of Interest
References
- Li, S.J. Global wheat market review 2022/2023 and outlook 2023/2024. China Grain Econ. 2023, 8, 65–69. [Google Scholar]
- Zhao, J.Y.; Hu, Q.; Tang, S.Y.; Fang, T.; Chen, Q.; He, Y.J.; Hu, H.L.; Pan, X.B. Analysis of global corn import and export trade pattern from 2010 to 2020 and expectation. China Feed 2023, 1, 195–203. [Google Scholar]
- Zhuang, M.H.; Zhang, J.; Kong, Z.Y.; Fleming, R.M.; Zhang, C.Y.; Zhang, Z.Y. Potential environmental benefits of substituting nitrogen and phosphorus fertilizer with usable crop straw in China during 2000–2017. J. Clean. Prod. 2020, 267, 122125. [Google Scholar] [CrossRef]
- Jiang, M.; Wen, Y.; Sun, M.; Wang, H.S.; Zeng, Y.; Han, Y.B.; Li, X.J.; Wu, H.T.; Li, L.J.; Xu, S.Q. Thinking and implementation approach of science and technology strategy of well raising black soil—Overall idea and implementation planning of strategy priority research program of Chinese academy of sciences on black soil conservation and utilization. Bull. Chin. Acad. Sci. 2021, 36, 1146–1154. [Google Scholar]
- Li, B.G.; Liu, Z.; Huang, F.; Yang, X.G.; Liu, Z.J.; Wan, W.; Wang, J.K.; Xu, Y.D.; Li, Z.Z.; Ren, T.S. Ensuring national food security by strengthening high-productivity black soil granary in Northeast China. Bull. Chin. Acad. Sci. 2021, 36, 1184–1193. [Google Scholar]
- Struik, P.C.; Kuyper, T.W. Sustainable intensification in agriculture: The richer shade of green. A review. Agron. Sustain. Dev. 2017, 37, 39. [Google Scholar] [CrossRef]
- Yang, H.J.; Ma, J.X.; Rong, Z.Y.; Zeng, D.D.; Wang, Y.C.; Hu, S.J.; Ye, W.W.; Zheng, X.B. Wheat Straw Return Influences Nitrogen-cycling and pathogen associated soil microbiota in a wheat-soybean rotation system. Front. Microbiol. 2019, 10, 1811. [Google Scholar] [CrossRef]
- Fan, W.; Wu, J.G. Short-term effects of returning granulated straw on soil microbial community and organic carbon fractions in dryland farming. J. Microbiol. 2020, 58, 657–667. [Google Scholar] [CrossRef]
- Zhai, S.L.; Xu, C.F.; Wu, Y.C.; Liu, J.; Meng, Y.L.; Yang, H.S. Long-term ditch-buried straw return alters soil carbon sequestration, nitrogen availability and grain production in a rice-wheat rotation system. Crop Pasture Sci. 2021, 72, 245–254. [Google Scholar] [CrossRef]
- Li, X.F.; Cheng, J.Q.; Liang, J.; Chen, M.Y.; Ren, H.R.; Zhang, H.C.; Huo, Z.Y.; Dai, Q.G.; Xu, K.; Wei, H.Y.; et al. Effects of total straw returning and nitrogen application on grain yield and nitrogen absorption and utilization of machine transplanted Japonica Rice. Acta Agron. Sin. 2017, 43, 912–924. [Google Scholar] [CrossRef]
- He, Y.; Yan, T.R.; Guo, C.C.; Li, N.; Peng, Z.Y.; Tang, Y.; Ma, P.; Yu, H.Q.; Sun, Y.J.; Yang, Z.Y.; et al. Effect of methods of straw returning and planting on root growth and rice yield. Trans. Chin. Soc. Agric. Eng. 2019, 35, 105–114. [Google Scholar]
- Alvaro-Fuentes, J.; Morell, F.J.; Madejon, E.; Lampurlanes, J.; Arrue, J.L.; Cantero-Martinez, C. Soil biochemical properties in a semiarid Mediterranean agroecosystem as affected by long-term tillage and N fertilization. Soil Tillage Res. 2013, 129, 69–74. [Google Scholar] [CrossRef]
- Wang, H.H.; Shen, M.X.; Hui, D.F.; Chen, J.; Sun, G.F.; Wang, X.; Lu, C.Y.; Sheng, J.; Chen, L.G.; Luo, Y.Q.; et al. Straw incorporation influences soil organic carbon sequestration, greenhouse gas emission, and crop yields in a Chinese rice (Oryza sativa L.) -wheat (Triticum aestivum L.) cropping system. Soil Tillage Res. 2019, 195, 104377. [Google Scholar] [CrossRef]
- Li, Z.K.; Shen, Y.; Zhang, W.Y.; Zhang, H.; Liu, L.J.; Wang, Z.Q.; Gu, J.F.; Yang, J.C. Effects of long-term straw returning on rice yield and soil properties and bacterial community in a rice-wheat rotation system. Field Crops Res. 2023, 291, 108800. [Google Scholar] [CrossRef]
- Ran, C.; Gao, D.P.; Bai, T.Q.; Geng, Y.Q.; Shao, X.W.; Guo, L.Y. Straw return alleviates the negative effects of saline sodic stress on rice by improving soil chemistry and reducing the accumulation of sodium ions in rice leaves. Agric. Ecosyst. Environ. 2023, 342, 108253. [Google Scholar] [CrossRef]
- Zhang, J.W.; Li, W.W.; Zhou, Y.; Ding, Y.F.; Xu, L.; Jiang, Y.; Li, G.H. Long-term straw incorporation increases rice yield stability under high fertilization level conditions in the rice-wheat system. Crop J. 2021, 9, 1191–1197. [Google Scholar] [CrossRef]
- Liu, D.T.; Song, C.C.; Xin, Z.H.; Fang, C.; Liu, Z.H.; Xu, Y.P. Agricultural management strategies for balancing yield increase, carbon sequestration, and emission reduction after straw return for three major grain crops in China: A meta-analysis. J. Environ. Manag. 2023, 340, 117965. [Google Scholar] [CrossRef] [PubMed]
- Wu, G.; Ling, J.; Xu, Y.P.; Zhao, D.Q.; Liu, Z.X.; Wen, Y.; Zhou, S.L. Effects of soil warming and straw return on soil organic matter and greenhouse gas fluxes in winter wheat seasons in the North China Plain. J. Clean. Prod. 2022, 356, 131810. [Google Scholar] [CrossRef]
- Yang, L.; Muhammad, I.; Chi, Y.X.; Liu, Y.X.; Wang, G.Y.; Wang, Y.; Zhou, X.B. Straw return and nitrogen fertilization regulate soil greenhouse gas emissions and global warming potential in dual maize cropping system. Sci. Total Environ. 2022, 853, 158370. [Google Scholar] [CrossRef]
- Huang, Q.; Zhang, G.B.; Ma, J.; Song, K.F.; Zhu, X.L.; Shen, W.Y.; Xu, H. Dynamic interactions of nitrogen fertilizer and straw application on greenhouse gas emissions and sequestration of soil carbon and nitrogen: A 13-year field study. Agric. Ecosyst. Environ. 2022, 325, 107753. [Google Scholar] [CrossRef]
- Jiang, Y.; Qian, H.Y.; Huang, S.; Zhang, X.Y.; Wang, L.; Zhang, L.; Shen, M.X.; Xiao, X.P.; Chen, F.; Zhang, H.L.; et al. Acclimation of methane emissions from rice paddy fields to straw addition. Sci. Adv. 2019, 5, eaau9038. [Google Scholar] [CrossRef] [PubMed]
- Hu, Q.Y.; Liu, T.Q.; Jiang, S.S.; Cao, C.G.; Li, C.F.; Chen, B.; Liu, J.B. Combined effects of straw returning and chemical N fertilization on greenhouse gas emissions and yield from paddy fields in Northwest Hubei Province, China. J. Soil Sci. Plant Nutr. 2020, 20, 392–406. [Google Scholar] [CrossRef]
- Abubakar, S.A.; Hamani, A.K.M.; Chen, J.S.; Sun, W.H.; Wang, G.S.; Gao, Y.; Duan, A.W. Optimizing N-fertigation scheduling maintains yield and mitigates global warming potential of winter wheat field in North China Plain. J. Clean. Prod. 2022, 357, 131906. [Google Scholar] [CrossRef]
- Zhang, X.; Meng, F.Q.; Li, H.; Wang, L.G.; Wu, S.X.; Xiao, G.M.; Wu, W.L. Optimized fertigation maintains high yield and mitigates N2O and NO emissions in an intensified wheat-maize cropping system. Agric. Water Manag. 2019, 211, 26–36. [Google Scholar] [CrossRef]
- Yang, Y.L.; Shen, L.D.; Zhao, X.; Shan, J.; Wang, S.W.; Zhou, W.; Liu, J.Q.; Liu, X.; Tian, M.H.; Yang, W.T.; et al. Long-term incorporation of wheat straw changes the methane oxidation potential, abundance and community composition of methanotrophs in a paddy ecosystem. Appl. Soil Ecol. 2022, 173, 104384. [Google Scholar] [CrossRef]
- Takakai, F.; Goto, M.; Watanabe, H.; Hatakeyama, K.; Yasuda, K.; Sato, T.; Kaneta, Y. Effects of the Autumn Incorporation of Rice Straw and Application of Lime Nitrogen on Methane and Nitrous Oxide Emissions and Rice Growth of a High-Yielding Paddy Field in a Cool-Temperate Region in Japan. Agriculture 2021, 11, 1298. [Google Scholar] [CrossRef]
- Liu, Z.H.; Wang, B.F.; Li, Z.Y.; Huang, F.Y.; Zhao, C.X.; Zhang, P.; Jia, Z.K. Plastic film mulch combined with adding biochar improved soil carbon budget, carbon footprint, and maize yield in a rainfed region. Field Crops Res. 2022, 284, 108574. [Google Scholar] [CrossRef]
- Wu, M.K.; Su, Q.W.; Song, Z.; Jiang, H.; Li, Y.Z.; Wei, X.S.; Cui, J.J.; Yang, M.Y.; Wu, Z.H. Effects of Water–Nitrogen Interaction Coupled with Straw Addition on Rice Paddy Field Grain Yield and Greenhouse Gas Emissions. Int. J. Plant Prod. 2022, 16, 275–285. [Google Scholar] [CrossRef]
- Jin, Z.Q.; Shah, T.; Zhang, L.; Liu, H.Y.; Peng, S.B.; Nie, L.X. Effect of straw returning on soil organic carbon in rice–wheat rotation system: A review. Food Energy Secur. 2020, 9, e200. [Google Scholar] [CrossRef]
- Guan, Y.P.; Wu, M.K.; Che, S.H.; Yuan, S.; Yang, X.; Li, S.Y.; Tian, P.; Wu, L.; Yang, M.Y.; Wu, Z.H. Effects of Continuous Straw Returning on Soil Functional Microorganisms and Microbial Communities. J. Microbiol. 2023, 61, 49–62. [Google Scholar] [CrossRef]
- Ran, C.; Gao, D.P.; Liu, W.Y.; Guo, L.Y.; Bai, T.Q.; Shao, X.W.; Geng, Y.Q. Straw and nitrogen amendments improve soil, rice yield, and roots in a saline sodic soil. Rhizosphere 2022, 24, 100606. [Google Scholar] [CrossRef]
- Chen, S.T.; Wang, J.; Zhang, T.T.; Hu, Z.H.; Zhou, G.Y. Warming and straw application increased soil respiration during the different growing seasons by changing crop biomass and leaf area index in a winter wheat-soybean rotation cropland. Geoderma 2021, 391, 114985. [Google Scholar] [CrossRef]
- Li, Z.K.; Shen, Y.; Zhang, W.Y.; Wang, Z.Q.; Gu, J.F.; Yang, J.C.; Zhang, J.H. A moderate wetting and drying regime produces more and healthier rice food with less environmental risk. Field Crops Res. 2023, 298, 108954. [Google Scholar] [CrossRef]
- Lou, Y.L.; Xu, M.G.; Wang, W.; Sun, X.L.; Zhao, K. Return rate of straw residue affects soil organic C sequestration by chemical fertilization. Soil Tillage Res. 2011, 113, 70–73. [Google Scholar] [CrossRef]
- Wang, R.R.; Yu, H.L.; Li, S.Y.; Fan, J.; Huang, J.Y. Review on the effects of soil alternate drying-rewetting cycle on soil respiration and soil organic carbon mineralization. Res. Soil Water Conserv. 2022, 29, 78–85. [Google Scholar]
- Yu, Q.G.; Hu, X.; Ma, J.W.; Ye, J.; Sun, W.C.; Wang, Q.; Lin, H. Effects of long-term organic material applications on soil carbon and nitrogen fractions in paddy fields. Soil Tillage Res. 2020, 196, 104483. [Google Scholar] [CrossRef]
- Laird, D.A.; Chang, C.W. Long-term impacts of residue harvesting on soil quality. Soil Tillage Res. 2013, 134, 33–40. [Google Scholar] [CrossRef]
- Wang, Z.Q.; Zhang, W.Y.; Yang, J.C. Physiological mechanism underlying spikelet degeneration in rice. J. Integr. Agric. 2018, 17, 1475–1481. [Google Scholar] [CrossRef]
- Zhang, W.Y.; Fu, L.D.; Men, C.B.; Yu, J.X.; Yao, J.Y.; Sheng, J.Y.; Xu, Y.J.; Wang, Z.Q.; Liu, L.J.; Yang, J.C.; et al. Response of brassinosteroids to nitrogen rates and their regulation on rice spikelet degeneration during meiosis. Food Energy Secur. 2020, 9, e201. [Google Scholar] [CrossRef]
- Fan, Y.F.; Gao, J.L.; Sun, J.Y.; Liu, J.; Su, Z.J.; Hu, S.P.; Wang, Z.G.; Yu, X.F. Potentials of straw return and potassium supply on maize (Zea mays L.) photosynthesis, dry matter accumulation and yield. Sci. Rep. 2022, 12, 799. [Google Scholar] [CrossRef] [PubMed]
- Han, Y.; Zhang, Z.X.; Li, T.C.; Chen, P.; Nie, T.Z.; Zhang, Z.H.; Du, S.C. Straw return alleviates the greenhouse effect of paddy fields by increasing soil organic carbon sequestration under water-saving irrigation. Agric. Water Manag. 2023, 287, 108434. [Google Scholar] [CrossRef]
- Qi, L.; Niu, H.D.; Zhou, P.; Jia, R.J.; Gao, M. Effects of Biochar on the Net Greenhouse Gas Emissions under Continuous Flooding and Water-Saving Irrigation Conditions in Paddy Soils. Sustainability 2018, 10, 1403. [Google Scholar] [CrossRef]
- Tang, C.Y.; Cheng, K.; Liu, B.L.; Antonietti, M.; Yang, F. Artificial humic acid facilitates biological carbon sequestration under freezing-thawing conditions. Sci. Total Environ. 2022, 849, 157841. [Google Scholar] [CrossRef] [PubMed]
- Zhang, H.L.; Lu, W.G.; Zheng, X.Q.; Li, S.X.; Wang, J.Q.; Zhang, J.Q.; He, Q.Y.; Yuan, D.W.; Gu, X.J. Effects of years of straw return to soil on greenhouse gas emission in rice/wheat rotation systems. Chin. J. Eco-Agric. 2015, 23, 302–308. [Google Scholar]
- Nie, T.Z.; Huang, J.Y.; Zhang, Z.X.; Chen, P.; Li, T.C.; Dai, C.L. The inhibitory effect of a water-saving irrigation regime on CH4 emission in Mollisols under straw incorporation for 5 consecutive years. Agric. Water Manag. 2023, 278, 108163. [Google Scholar] [CrossRef]
- Guo, L.J.; Zhang, L.; Liu, L.; Sheng, F.; Cao, C.G.; Li, C.F. Effects of long-term no tillage and straw return on greenhouse gas emissions and crop yields from a rice-wheat system in central China. Agric. Ecosyst. Environ. 2021, 322, 107650. [Google Scholar] [CrossRef]
- Yan, C.; Yan, S.S.; Jia, T.Y.; Dong, S.K.; Ma, C.M.; Gong, Z.P. Decomposition characteristics of rice straw returned to the soil in northeast China. Nutr. Cycl. Agroecosyst. 2019, 114, 211–224. [Google Scholar] [CrossRef]
- Giles, M.; Morley, N.; Baggs, E.M.; Daniell, T.J. Soil nitrate reducing processes—Drivers, mechanisms for spatial variation, and significance for nitrous oxide production. Front. Microbiol. 2012, 3, 407. [Google Scholar] [CrossRef]
- Bao, S.D. Agrochemical Analysis of Soils; China Agricultural Press: Beijing, China, 2000. [Google Scholar]
- Uddling, J.; Gelang-Alfredsson, J.; Piikki, K.; Pleijel, H. Evaluating the relationship between leaf chlorophyll concentration and SPAD-502 chlorophyll meter readings. Photosynth. Res. 2007, 91, 37–46. [Google Scholar] [CrossRef]
- Yang, L.X.; Wang, Y.L.; Kobayashi, K.; Zhu, J.G.; Huang, J.Y.; Yang, H.J.; Wang, Y.X.; Dong, G.C.; Liu, G.; Han, Y.; et al. Seasonal changes in the effects of free-air CO2 enrichment (FACE) on growth, morphology and physiology of rice root at three levels of nitrogen fertilization. Glob. Chang. Biol. 2008, 14, 1844–1853. [Google Scholar] [CrossRef]
- Tian, W.; Wu, Y.Z.; Tang, S.R.; Hu, Y.L.; Lai, Q.Q.; Wen, D.N.; Meng, L.; Wu, C.D. Effects of different fertilization modes on greenhouse gas emission characteristics of paddy fields in hot areas. Environ. Sci. 2019, 40, 2426–2434. [Google Scholar]
- Watson, R.T.; Zinyowera, M.C.; Moss, R.H.; Dokken, D.J. Climate change (1995), impacts, adaptations and mitigation of climate change. Scientific technical report analyses. In Contribution of Working Group II to the Second Assessment Report of the Intergovernmental Panel on Climate Change; Watson, R.T., Zinyowera, M.C., Ross, R.H., Eds.; Cambridge University Press: Cambridge, MA, USA, 1996; p. 880. [Google Scholar]
- Intergovernmental Panel on Climate Change IPCC. Climate Change 2007: The Physical Science Basis. Working Group I Contribution to the Fourth Assessment Report of the IPCC; Cambridge University Press: Cambridge, MA, USA, 2007; pp. 211–213.















| Year | Treatment | Panicles per m2 | Spikelets per Panicle | Seed Setting Rate (%) | 1000-Grain Weight (g) | Yield (t hm−2) | Harvest Index (%) |
|---|---|---|---|---|---|---|---|
| 2021 | S0 | 348.33 ± 13.74 a | 139.06 ± 5.73 b | 94.20 ± 1.46 a | 22.33 ± 0.40 a | 10.19 ± 0.44 a | 50.31 ± 1.06 c |
| S1 | 279.40 ± 10.30 c | 141.00 ± 6.49 b | 94.66 ± 1.00 a | 22.47 ± 0.51 a | 8.36 ± 0.28 b | 50.79 ± 1.35 c | |
| S2 | 307.00 ± 5.24 b | 151.87 ± 5.83 a | 93.76 ± 1.58 a | 22.23 ± 0.32 a | 9.72 ± 0.44 a | 53.71 ± 1.33 b | |
| S3 | 310.80 ± 7.05 b | 157.60 ± 4.93 a | 93.60 ± 1.63 a | 22.06 ± 0.15 a | 10.11 ± 0.23 a | 55.21 ± 1.07 a | |
| 2022 | S0 | 318.33 ± 17.95 a | 166.28 ± 3.85 c | 95.36 ± 0.54 a | 21.27 ± 0.59 a | 10.73 ± 0.23 ab | 41.67 ± 1.45 b |
| S1 | 267.67 ± 6.03 b | 171.22 ± 9.23 bc | 95.42 ± 1.82 a | 21.96 ± 1.00 a | 9.60 ± 0.58 c | 42.13 ± 1.63 b | |
| S2 | 270.33 ± 16.17 b | 178.33 ± 10.86 abc | 92.79 ± 5.31 a | 22.69 ± 0.97 a | 10.13 ± 0.64 bc | 45.36 ± 1.36 ab | |
| S3 | 273.67 ± 6.03 b | 188.11 ± 15.50 ab | 92.47 ± 3.46 a | 22.23 ± 0.95 a | 10.56 ± 0.29 ab | 47.21 ± 1.24 a | |
| S4 | 292.67 ± 29.70 ab | 193.11 ± 10.05 a | 91.47 ± 5.13 a | 22.54 ± 0.16 a | 11.23 ± 0.19 a | 47.27 ± 2.53 a |
| Year | Treatment | Soil Organic Carbon (g kg−1) | Total Nitrogen (g kg−1) | C/N Ratio | Available Phosphorus (mg kg−1) | Available Potassium (mg kg−1) |
|---|---|---|---|---|---|---|
| 2021 | S0 | 9.60 ± 0.33 c | 1.01 ± 0.02 b | 9.26 ± 0.60 a | 29.75 ± 0.01 c | 138.43 ± 0.00 b |
| S1 | 9.82 ± 0.25 bc | 1.04 ± 0.04 ab | 9.29 ± 0.38 a | 31.08 ± 1.02 bc | 149.09 ± 2.31 a | |
| S2 | 10.25 ± 0.25 ab | 1.07 ± 0.04 ab | 9.31 ± 0.72 a | 32.41 ± 1.11 ab | 151.75 ± 2.31 a | |
| S3 | 10.54 ± 0.43 a | 1.11 ± 0.05 a | 9.41 ± 0.83 a | 33.08 ± 1.15 a | 154.42 ± 4.00 a | |
| 2022 | S0 | 9.71 ± 0.64 b | 1.05 ± 0.04 b | 9.42 ± 0.89 a | 30.75 ± 0.53 b | 139.76 ± 2.31 d |
| S1 | 9.98 ± 0.28 ab | 1.08 ± 0.03 ab | 9.54 ± 0.57 a | 31.21 ± 0.70 b | 145.09 ± 2.31 cd | |
| S2 | 10.3 ± 0.44 ab | 1.11 ± 0.04 ab | 9.55 ± 0.17 a | 32.28 ± 0.76 ab | 150.42 ± 4.00 bc | |
| S3 | 10.71 ± 0.57 a | 1.14 ± 0.07 ab | 9.55 ± 0.51 a | 33.94 ± 0.87 ab | 154.42 ± 4.00 ab | |
| S4 | 10.84 ± 0.48 a | 1.16 ± 0.06 a | 9.56 ± 0.56 a | 34.54 ± 1.56 a | 158.42 ± 4.00 a |
| Year | Treatment | Cumulative CO2 Emissions (kg hm−2) | Cumulative CH4 Emissions (kg hm−2) | Cumulative N2O Emissions (kg hm−2) |
|---|---|---|---|---|
| 2021 | S0 | 12,061.23 ± 709.48 b | 582.15 ± 30.76 b | 0.86 ± 0.07 a |
| S1 | 15,374.79 ± 1182.68 a | 732.80 ± 56.62 a | 0.80 ± 0.09 a | |
| S2 | 17,270.15 ± 1233.58 a | 742.57 ± 40.42 a | 0.87 ± 0.10 a | |
| S3 | 16,518.39 ± 1032.40 a | 723.09 ± 59.06 a | 0.81 ± 0.07 a | |
| 2022 | S0 | 14,000.81 ± 823.58 b | 545.80 ± 42.62 b | 0.83 ± 0.08 a |
| S1 | 15,656.78 ± 1204.37 ab | 674.14 ± 31.00 a | 0.76 ± 0.07 a | |
| S2 | 17,645.25 ± 980.29 a | 704.79 ± 51.08 a | 0.78 ± 0.09 a | |
| S3 | 16,862.02 ± 1053.88 a | 667.43 ± 47.30 a | 0.89 ± 0.09 a | |
| S4 | 17,437.49 ± 1162.50 a | 649.67 ± 36.56 a | 0.82 ± 0.07 a |
Disclaimer/Publisher’s Note: The statements, opinions and data contained in all publications are solely those of the individual author(s) and contributor(s) and not of MDPI and/or the editor(s). MDPI and/or the editor(s) disclaim responsibility for any injury to people or property resulting from any ideas, methods, instructions or products referred to in the content. |
© 2024 by the authors. Licensee MDPI, Basel, Switzerland. This article is an open access article distributed under the terms and conditions of the Creative Commons Attribution (CC BY) license (https://creativecommons.org/licenses/by/4.0/).
Share and Cite
Wu, M.; Nuo, M.; Jiang, Z.; Xu, R.; Zhang, H.; Lu, X.; Yao, L.; Dou, M.; Xing, X.; Meng, X.; et al. Successive Years of Rice Straw Return Increased the Rice Yield and Soil Nutrients While Decreasing the Greenhouse Gas Intensity. Plants 2024, 13, 2446. https://doi.org/10.3390/plants13172446
Wu M, Nuo M, Jiang Z, Xu R, Zhang H, Lu X, Yao L, Dou M, Xing X, Meng X, et al. Successive Years of Rice Straw Return Increased the Rice Yield and Soil Nutrients While Decreasing the Greenhouse Gas Intensity. Plants. 2024; 13(17):2446. https://doi.org/10.3390/plants13172446
Chicago/Turabian StyleWu, Meikang, Min Nuo, Zixian Jiang, Ruiyao Xu, Hongcheng Zhang, Xiao Lu, Liqun Yao, Man Dou, Xu Xing, Xin Meng, and et al. 2024. "Successive Years of Rice Straw Return Increased the Rice Yield and Soil Nutrients While Decreasing the Greenhouse Gas Intensity" Plants 13, no. 17: 2446. https://doi.org/10.3390/plants13172446
APA StyleWu, M., Nuo, M., Jiang, Z., Xu, R., Zhang, H., Lu, X., Yao, L., Dou, M., Xing, X., Meng, X., Wang, D., Wei, X., Tian, P., Wang, G., Wu, Z., & Yang, M. (2024). Successive Years of Rice Straw Return Increased the Rice Yield and Soil Nutrients While Decreasing the Greenhouse Gas Intensity. Plants, 13(17), 2446. https://doi.org/10.3390/plants13172446
