Effects of Compound Fertilizer and Branch Fertilizer on Population Construction and Yield of Machine-Transplanted Rice
Abstract
1. Introduction
2. Results
2.1. Effects of Branch Fertilizer on Tiller Dynamics of Rice Population
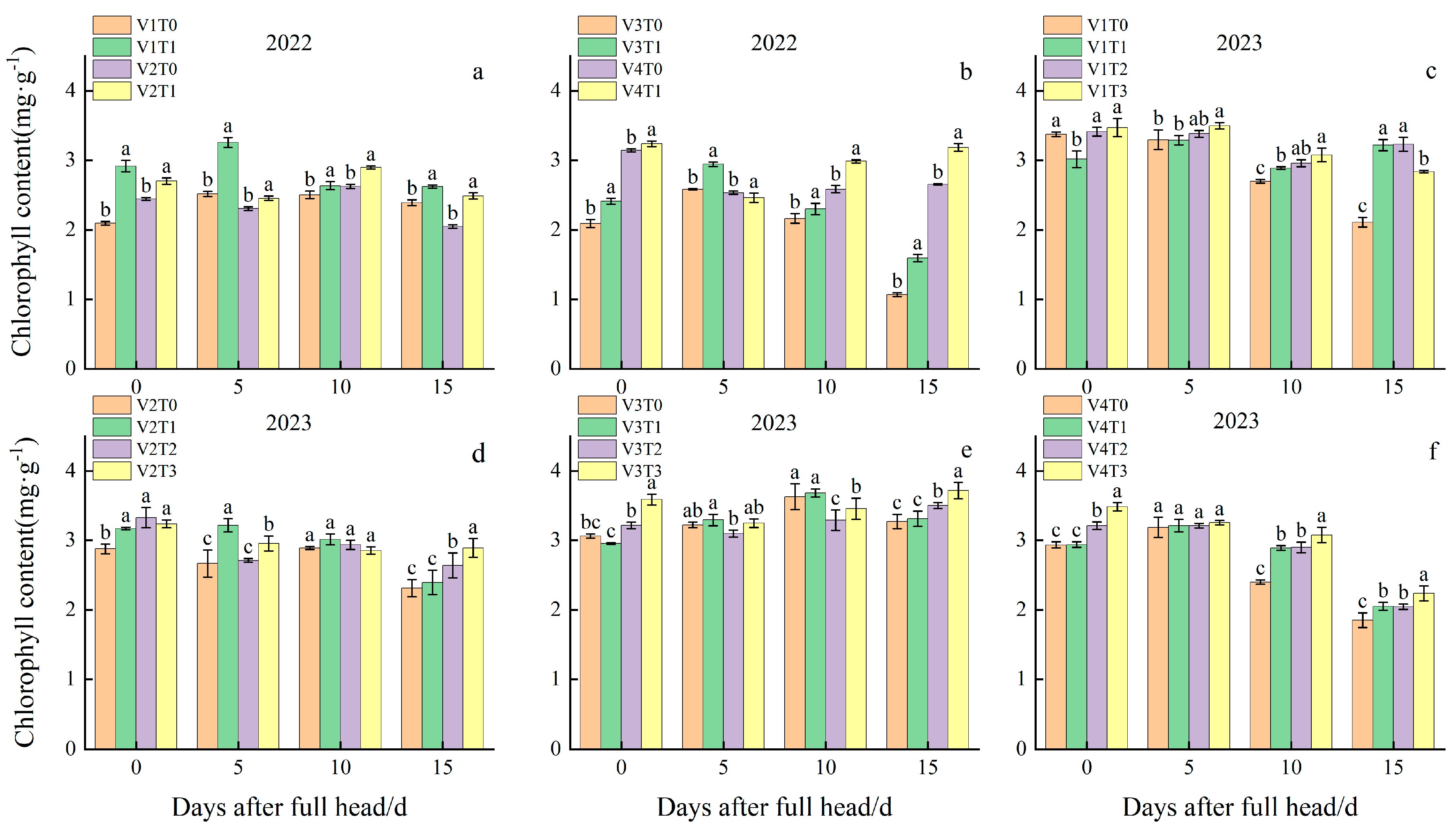
2.2. Effects of Branch Fertilizer on Chlorophyll Content at the Heading Stage
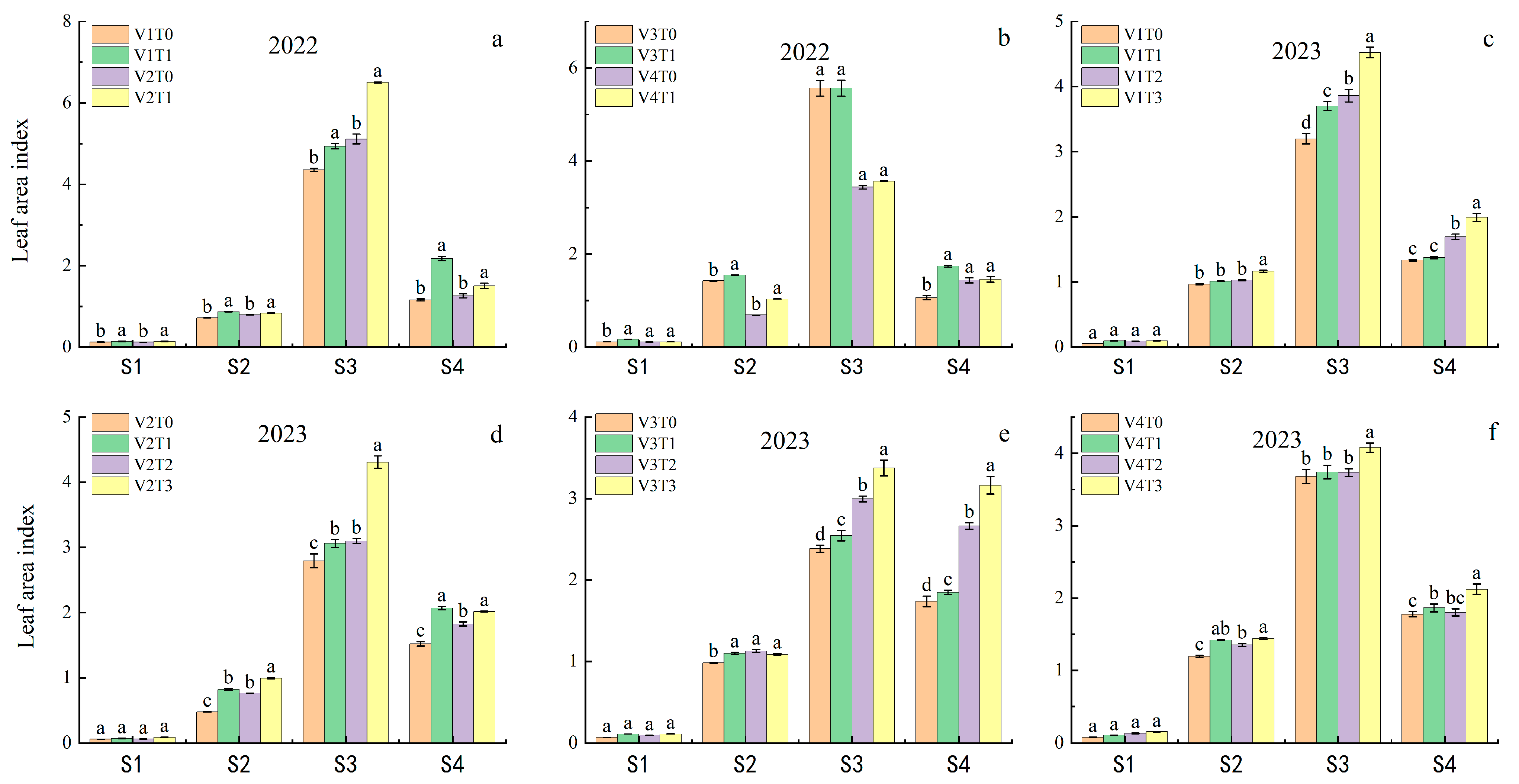
2.3. Effects of Branch Fertilizer on the LAI of the Main Growth Period
2.4. Effects of Branch Fertilizer on Dry Matter Accumulation and Growth Rate in the Main Growth Period
2.5. Effects of Branch Fertilizer on Rice Yield
2.6. Correlation Analysis of Rice Yield Components and Agronomic Traits
3. Discussion
3.1. Effects of Compound Fertilizer and Branch Fertilizer on Population Construction and Dry Matter Accumulation of Rice
3.2. Effects of Compound Fertilizer and Branch Fertilizer on Yield Components and Rice Yield
4. Materials and Methods
4.1. Test Site and Materials
4.2. Experimental Design and Field Management
4.3. Determination Items and Methods
4.3.1. Tillering Dynamics
4.3.2. Dry Matter Accumulation and LAI
4.3.3. Chlorophyll Content
4.3.4. Yield and Its Components
4.3.5. Data Analysis
5. Conclusions
Author Contributions
Funding
Data Availability Statement
Acknowledgments
Conflicts of Interest
References
- Shi, M.; Paudel, K.P.; Chen, F.B. Mechanization and efficiency in rice production in China. J. Integr. Agric. 2021, 20, 1996–2008. [Google Scholar] [CrossRef]
- Liu, Q.H.; Zhou, X.V.; Li, J.L.; Xin, C.Y. Effects of seedling age and cultivation density on agronomic characteristics and grain yield of mechanically transplanted rice. Sci. Rep. 2017, 26, 14072. [Google Scholar] [CrossRef]
- Huang, H.M.; Wu, M.J.; Wang, N.; Liu, X.H.; Jin, F.Y.; Cao, C.X. Effects of SSA dosages on seedling quality and yield by mechanical transplanting. Agric. Sci. Technol. 2023, 14, 1429–1431. [Google Scholar]
- Jia, X.; Li, Y.L.; Song, J.N.; Liu, C.L.; Cao, X.L.; Chen, L.C.; Wan, L.P.C.; Ma, X. Effects of different machine transplanting methods on the physiological and yield characteristics of late rice in China. Int. J. Agric. Biol. Eng. 2023, 11, 37–47. [Google Scholar] [CrossRef]
- Amirahmadi, E.; Moudrý, J.; Konvalina, P.; Hörtenhuber, S.J.; Ghorbani, M.; Neugschwandtner, R.W.; Jiang, Z.; Krexner, T.; Kopecký, M. Environmental Life Cycle Assessment in Organic and Conventional Rice Farming Systems: Using a Cradle to Farm Gate Approach. Sustainability 2022, 14, 15870. [Google Scholar] [CrossRef]
- He, H.; Peng, M.W.; Hou, Z.N.; Li, J.H. Organic substitution contrasting direct fertilizer reduction increases wheat productivity, soil quality, microbial diversity and network complexity. Environ. Technol. Innov. 2024, 36, 103784. [Google Scholar] [CrossRef]
- Basak, N.; Mandal, B.; Datta, A.; Mitran, T.; Biswas, S.; Dhar, D.; Badole, S.; Saha, B.; Hazra, G.C. Impact of Long-Term Application of Organics, Biological, and Inorganic Fertilizers on Microbial Activities in Rice-Based Cropping System. Commun. Soil Sci. Plant Anal. 2017, 48, 2390–2401. [Google Scholar] [CrossRef]
- Moe, K.; Mg, W.K.; Win, K.K.; Yamakawa, T. Effects of Combined Application of Inorganic Fertilizer and Organic Manures on Nitrogen Use and Recovery Efficiencies of Hybrid Rice (Palethwe-1). Am. J. Plant Sci. 2017, 8, 1043–1064. [Google Scholar] [CrossRef]
- Li, Y.; Chen, J.P.; Zhao, F.; Wang, B.F.; Chen, S.Y. Effects of sowing date and seedling age on the yield of late rice with mechanical transplanting. J. Huazhong Agric. Univ. 2016, 35, 52–57. (In Chinese) [Google Scholar] [CrossRef]
- Lu, B.; Xu, C.S.; Li, Z.Y.; Tang, X.A.; Yang, F.; Xu, D.Z.; Zhu, G.F.; Zhang, J.; Jiang, Y.; Li, W.W.; et al. Influence of the temperature during grain filling stage and nitrogen application rate on yield and quality of indica hybrid rice. Field Crops Res. 2024, 309, 109333. [Google Scholar] [CrossRef]
- Liu, Y.; Li, C.; Fang, B.H.; Fang, Y.; Chen, K.L.; Zhang, Y.Z.; Zhang, H.Q. Potential for high yield with increased seedling density and decreased n fertilizer application under seedling-throwing rice cultivation. Sci. Rep. 2019, 9, 1–8. [Google Scholar] [CrossRef]
- Guo, H.; Zhao, C.M.; Li, L.; Meng, J.; Fei, X.R.; Xu, Y. Effects of the Soil Testing and Formulated Fertilization Strategy on Rice Yield and Fertilizer Utilization Rates. Barley Cereal Sci. 2020, 37, 35–38. (In Chinese) [Google Scholar] [CrossRef]
- Zhang, W.J.; Feng, G.H. Comparative study of different application methods of rice green fertilizer. New Countrys. 2018, 12, 1. (In Chinese) [Google Scholar] [CrossRef]
- Pati, S.; Pal, B.; Badole, S.; Hazra, G.C.; Mandal, B. Effect of Silicon Fertilization on Growth, Yield, and Nutrient Uptake of Rice. Commun. Soil Sci. Plant Anal. 2016, 47, 284–290. [Google Scholar] [CrossRef]
- Shahane, A.A.; Shivay, Y.S.; Kumar, D.; Prasanna, R. Interaction effect of nitrogen, phosphorus, and zinc fertilization on growth, yield, and nutrient contents of aromatic rice varieties. J. Plant Nutr. 2018, 41, 2344–2355. [Google Scholar] [CrossRef]
- Li, C.; He, B.; Zhang, S.X.; Du, J.; Teng, Y.; Yang, L.; Li, Y.L.; Geng, Y.Q. Effect of Silicon Fertilizer on the Morphology, Yield, and Quality of Rice. Silicon 2023, 15, 5331–5340. [Google Scholar] [CrossRef]
- Qi, D.Q.; Feng, N.J.; Zheng, D.F.; Liang, X.H. The ects of different compound compounds on root morphology and resistance physiology of rice transplanting. J. South. Agric. 2019, 50, 974–981. (In Chinese) [Google Scholar] [CrossRef]
- Huang, H.M.; Wu, M.J.; Wang, N.; Li, X.H.; Jin, F.Y.; Cao, C.X. Effect of strong seedling dosage on the quality and yield of late rice seedlings. Agric. Sci. Technol. 2013, 14, 1429–1431. [Google Scholar]
- Guo, Z.G.; Shen, B.G.; Wei, X.H. Application effects and suitable fertilizing method of new rice special-purpose prescription fertilize on rice. China Rice 2017, 23, 46–50. (In Chinese) [Google Scholar] [CrossRef]
- Karan, K.A.; Kar, S.; Singh, K.V. Effects of Liming, Soil-Moisture Regimes, Application of Sulfur and Some Micronutrients on Nutrients Availability in Soil-Plant System and Yield of Rice in Acid Alluvial Soil. Int. J. Plant Soil Sci. 2014, 3, 1453–1467. [Google Scholar] [CrossRef]
- Mirtaleb, S.H.; Niknejad, Y.; Fallah, H. Foliar spray of amino acids and potassic fertilizer improves the nutritional quality of rice. J. Plant Nutr. 2021, 44, 2029–2041. [Google Scholar] [CrossRef]
- Aisyawati, L.; Aziz, F.; Syafitri, W.; Ndaru, R.; Latifa, E. The effect of npk 16-6-23 fertilizer dosage on the growth and yield of the rice inpari 30 in bangkalan regency, east java. Berk. Penelit. Hayati 2020, 26, 45–48. [Google Scholar] [CrossRef]
- Maurya, R.; Singh, M.K.; Singh, N.K.; Singh, M.K.; Singh, A.K. Effect of nitrogen levels on growth attributes, yield and nutrient uptake of different rice (Oryza sativa L.) varieties under the transplanted condition. J. Exp. Biol. Agric. Sci. 2021, 9, 336–342. [Google Scholar] [CrossRef]
- Zhou, W.; Lv, T.F.; Yang, Z.P.; Wang, T.; Fu, Y.; Chen, Y.; Hu, B.H.; Ren, W.J. Morphophysiological mechanism of rice yield increase in response to optimized nitrogen management. Sci. Rep. 2017, 7, 17226. [Google Scholar] [CrossRef]
- Deng, H.Z.; Wang, X.Y.; Deng, S.Y.; Zhang, L.; Ashraf, U.; Imran, M.; Tian, H.; Tang, X.R.; Mo, Z.W. Silicon (Si) Application Improved the Antioxidant Response and Grain Yield Formation in rice Under High Temperature Conditions. Silicon 2023, 15, 4375–4385. [Google Scholar] [CrossRef]
- Mbaraka, S.R.; Abayisenga, J.C.; Nkurunziza, C.; Rucamumihigo, F.X.; Habimana, S.; Nguyen, L.V.; Gasangwa, I.; Neeru, J.; Mutamuliza, E.; Rwalinda, F.M.; et al. Effect of Combined Application of Foliar Sprays of Orthosilicic Acid (OSA) with Basal NPK Fertilizer on Growth and Yield of Rice (Oryza sativa L.). Silicon 2022, 14, 5207–5212. [Google Scholar] [CrossRef]
- Arthi, V.; Sriramachandrasekharan, M.V.; Senthilvalavan, P.; Manivannan, R. Assessing the Impact of Co-Fertilization of Silicon With Macronutrient Fertilizers on Yield, Nutrient Uptake, Use Efficiency and Grain Quality of Rice in Sandy Clay Loam Soil. Int. J. Plant Soil Sci. 2023, 35, 27–38. [Google Scholar] [CrossRef]
- Anago, F.N.; Agbangba, E.C.; Oussou, B.C.T.; Dagbénonbakin, G.D.; Amadji, L.G. Magnesium and zinc fertilisation improves rice yield and yield component responses to nitrogen, phosphorus, and potassium. S. Afr. J. Plant Soil 2023, 40, 95–107. [Google Scholar] [CrossRef]
- Li, G.H.; Zhou, C.Y.; Yang, Z.J.; Zhang, C.H.; Dai, Q.G.; Huo, Z.Y.; Xu, K. Low Nitrogen Enhances Apoplastic Phloem Loading and Improves the Translocation of Photoassimilates in Rice Leaves and Stems. Plant Cell Physiol. 2022, 63, 991–1007. [Google Scholar] [CrossRef]
- Tantray, A.Y.; Bashir, S.S.; Ahmad, A. Low nitrogen stress regulates chlorophyll fluorescence in coordination with photosynthesis and Rubisco efficiency of rice. Physiol. Mol. Biol. Plants 2020, 26, 83–94. [Google Scholar] [CrossRef]
- Deng, F.; Wang, L.; Mei, X.F.; Li, S.X.; Pu, S.L.; Ren, W.J. Morphological and physiological characteristics of rice leaves in response to PASP-urea and optimized nitrogen management. Arch. Agron. Soil Sci. 2017, 63, 1582–1596. [Google Scholar] [CrossRef]
- Gao, S.; Zhou, M.; Zhou, Q.Y.; Xu, F.; Zhang, W.W. Effects of exogenous zinc (ZnSO4·7H2O) on photosynthetic characteristics and grain quality of hybrid rice. Plant Physiol. Biochem. 2023, 205, 108049. [Google Scholar] [CrossRef]
- Kakar, K.; Xuan, T.D.; Noori, Z.; Aryan, S.; Gulab, G. Effects of Organic and Inorganic Fertilizer Application on Growth, Yield, and Grain Quality of Rice. Agriculture 2020, 10, 544. [Google Scholar] [CrossRef]
- Kyi, M.; Seinn, M.M.; Aung, Z.H.; Yoshinori, K.; Takeo, Y. Effects of Integrated Organic and Inorganic Fertilizers on Yield and Growth Parameters of Rice Varieties. Rice Sci. 2019, 26, 309–318. [Google Scholar] [CrossRef]
- He, X.; Zhu, H.J.; Shi, A.; Wang, X.H. Optimizing Nitrogen Fertilizer Management Enhances Rice Yield, Dry Matter, and Nitrogen Use Efficiency. Agronomy 2024, 14, 919. [Google Scholar] [CrossRef]
- Zhang, Z.; Wang, Y.F.; Wang, Z.M.; Ashraf, U.; Mo, Z.W.; Tian, H.; Duan, M.Y.; Li, Y.Q.; Tang, X.R.; Pan, S.G. Precise delivery of nitrogen at tillering stage enhances grain yield and nitrogen use efficiency in double rice cropping systems of South China. Field Crops Res. 2022, 289, 108736. [Google Scholar] [CrossRef]
- Cheng, F.W.; Bin, S.Y.; Iqbal, A.; He, L.J.; Wei, S.Q.; Zheng, H.; Yuan, P.L.; Liang, H.; Ali, I.; Xie, D.J.; et al. High Sink Capacity Improves Rice Grain Yield by Promoting Nitrogen and Dry Matter Accumulation. Agronomy 2022, 12, 1688. [Google Scholar] [CrossRef]
- Huang, M.; Zou, Y.B.; Jiang, P.; Xia, B.; Md, I.; Ao, H.J. Relationship Between Grain Yield and Yield Components in Super Hybrid Rice. J. Integr. Agric. 2011, 10, 1537–1544. [Google Scholar] [CrossRef]
- Zhang, Z.H.; Gao, S.P.; Chu, C.C. Improvement of nutrient use efficiency in rice: Current toolbox and future perspectives. Theor. Appl. Genet. 2020, 133, 1365–1384. [Google Scholar] [CrossRef]
- Li, Q.K.; Zhang, Z.; Liu, H.D.; Wu, Y.Z.; Liu, M.Y.; Wang, Z.M.; Tian, H.; Pu, X.J.; Pan, S.G. Optimizing Nitrogen Fertilization Managements Under Mechanical Deep Placement for Raising Rice Grain Yield. J. Plant Growth Regul. 2024, 19, 1–11. [Google Scholar] [CrossRef]
- Wang, J.; Qiu, Y.Y.; Zhang, X.Y.; Zhou, Z.; Han, X.; Zhou, Y.; Qin, L.; Liu, K.; Li, S.Y.; Wang, W.L.; et al. Increasing basal nitrogen fertilizer rate improves grain yield, quality and 2-acetyl-1-pyrroline in rice under wheat straw returning. Front. Plant Sci. 2023, 13, 1099751. [Google Scholar] [CrossRef]
- Fu, W.Q.; Zhao, Y.J.; Zha, X.R.; Ullah, J.; Ye, M.; Shah, F.; Yuan, Q.F.; Wang, P.; Tao, Y.; Wu, W. The Potential Role of Zinc and Silicon in Improving Grain Yield and Lodging Resistance of Rice (Oryza sativa L.). Agronomy 2024, 14, 91. [Google Scholar] [CrossRef]
- Liu, Z.L.; Meng, J.R.; Sun, Z.F.; Su, J.K.; Luo, X.Y.; Song, J.M.; Li, P.F.; Sun, Y.K.; Yu, C.L.; Peng, X.L. Zinc application after low temperature stress promoted rice tillers recovery: Aspects of nutrient absorption and plant hormone regulation. Plant Sci. 2022, 314, 111104. [Google Scholar] [CrossRef]
- Sanjeev, S.; Adesh, S.; Mohammad, H.; Ashfaq, M.; Haider, M.S.; Khan, A.S.; Ali, M.; Ali, A.; Baral, K.; Kumar, D. Effect of zinc fertilization on growth and yield of basmati rice (Oryza sativa) varieties. Indian J. Agron. 2022, 67, 227–232. [Google Scholar] [CrossRef]
- Senthilkumar, K.; Sillo, F.S.; Rodenburg, J.; Dimkpa, C.; Saito, K.; Dieng, I.; Bindraban, P.S. Rice yield and economic response to micronutrient application in Tanzania. Field Crops Res. 2021, 270, 108201. [Google Scholar] [CrossRef]
- Cedeño, J.; Cedeño, G.; Alcívar, J.; Cargua, J.; Cedeño, F.; Cedeño, G.; Constante, G. Incremento del rendimiento y calidad nutricional del arroz con fertilización NPK complementada con micronutrientes. Sci. Agropecu. 2018, 9, 503–509. [Google Scholar] [CrossRef]
- Amenyogbe, M.K.; Dzomeku, K.I. Rice (Oryza sativa L.) Growth and Yield Responses to Yara Fertilizer Formulations in Rain-fed Lowland Condition. Asian J. Res. Agric. For. 2023, 9, 16–27. [Google Scholar] [CrossRef]





| Year | Variety | Treatment | Dry Matter Accumulation/(kg·hm−2) | Crop Growth Rate/[g/(d·m2)] | |||||
|---|---|---|---|---|---|---|---|---|---|
| S1 | S2 | S3 | S4 | S1–S2 | S2–S3 | S3–S4 | |||
| 2022 | 1 | T0 | 120.06 b | 889.40 b | 11,429.01 b | 16,558.13 b | 5.13 a | 25.71 b | 15.09 b |
| T1 | 147.43 a | 918.21 a | 13,308.64 a | 16,895.58 a | 5.14 a | 30.22 a | 10.55 a | ||
| Mean | 133.74 | 903.81 | 12,368.83 | 16,726.85 | 5.13 | 27.96 | 12.82 | ||
| 2 | T0 | 125.51 a | 788.07 b | 13,582.82 b | 17,450.10 b | 4.41 b | 31.21 b | 11.38 b | |
| T1 | 130.66 a | 817.39 a | 15,885.29 a | 18,118.31 a | 4.58 a | 36.75 a | 6.57 a | ||
| Mean | 128.09 | 802.73 | 14,734.05 | 17,784.21 | 4.50 | 33.98 | 8.97 | ||
| 3 | T0 | 99.28 b | 1005.14 b | 13,649.69 b | 15,084.88 b | 6.04 b | 30.84 b | 4.22 b | |
| T1 | 167.18 a | 1032.92 a | 13,860.08 a | 18,701.13 a | 5.77 a | 31.29 a | 14.24 a | ||
| Mean | 133.23 | 1019.03 | 13,754.89 | 16,893.00 | 5.91 | 31.06 | 9.23 | ||
| 4 | T0 | 117.80 a | 776.75 b | 9355.97 b | 13,829.73 b | 4.39 b | 20.92 b | 13.16b | |
| T1 | 120.88 a | 960.90 a | 10,202.68 a | 18,704.22 a | 5.60 a | 22.54 a | 25.00a | ||
| Mean | 119.34 | 868.83 | 9779.32 | 16,266.98 | 5.00 | 21.73 | 19.08 | ||
| F Value | V | 22.97 ** | 6513.11 ** | 4368.22 ** | 160.90 ** | 5752.63 ** | 4339.37 ** | 800.63 ** | |
| T | 344.55 ** | 3619.18 ** | 1619.31 ** | 2246.08 ** | 1327.13 ** | 1448.01 ** | 353.22 ** | ||
| V × T | 116.54 ** | 1200.36 ** | 215.00 ** | 493.24 ** | 1776.53 ** | 225.56 ** | 737.40 ** | ||
| 2023 | 1 | T0 | 42.90 d | 935.70 d | 10,166.15 d | 11,801.44 d | 5.95 c | 22.51 d | 4.81 c |
| T1 | 59.31 b | 951.13 c | 11,572.53 b | 12,191.36 c | 5.95 c | 25.90 b | 1.82 d | ||
| T2 | 55.15 c | 981.28 b | 10,751.03 c | 14,116.77 b | 6.17 b | 23.83 c | 9.90 b | ||
| T3 | 64.66 a | 1049.38 a | 12,477.37 a | 16,177.99 a | 6.57 a | 27.87 a | 10.88 a | ||
| Mean | 55.50 | 979.37 | 11,241.77 | 13,571.89 | 6.16 | 25.03 | 6.85 | ||
| 2 | T0 | 44.29 d | 727.93 d | 8744.86 d | 13,408.95 d | 4.56 c | 19.55 d | 13.72 d | |
| T1 | 61.21 b | 825.77 b | 9158.44 c | 17,851.85 b | 5.10 b | 20.32 c | 25.57a | ||
| T2 | 53.29 c | 806.84 c | 9533.95 b | 15,242.28 c | 5.02 b | 21.28 b | 16.79 c | ||
| T3 | 63.53 a | 860.08 a | 11,185.70 a | 18,217.08 a | 5.31 a | 25.19 a | 20.68 b | ||
| Mean | 55.58 | 805.16 | 9655.74 | 16,180.04 | 5.00 | 21.59 | 19.19 | ||
| 3 | T0 | 55.45 d | 760.29 c | 8075.41 d | 14,116.77 d | 4.70 d | 17.84 d | 17.77 c | |
| T1 | 83.75 a | 861.94 a | 8697.02 c | 14,761.83 c | 5.19 b | 19.11 c | 17.84 c | ||
| T2 | 64.40 c | 866.26 a | 8916.66 b | 16,623.97 b | 5.34 a | 19.63 b | 22.67 a | ||
| T3 | 79.22 b | 837.96 b | 9735.60 a | 16,884.77 a | 5.06 c | 21.70 a | 21.03 b | ||
| Mean | 70.71 | 831.61 | 8856.17 | 15,596.84 | 5.07 | 19.57 | 19.83 | ||
| 4 | T0 | 62.98 d | 965.84 c | 10,195.47 d | 14,974.79 d | 6.02 d | 22.51 d | 14.06 c | |
| T1 | 67.20 c | 1133.23 a | 12,555.56 a | 18,286.52 a | 7.11 a | 27.86 a | 16.86 a | ||
| T2 | 85.44 b | 1033.43 b | 10,688.78 c | 15,727.88 c | 6.32 c | 23.55 c | 14.82 b | ||
| T3 | 88.56 a | 1138.27 a | 10,943.93 b | 16,797.33 b | 7.00 b | 23.92 b | 17.22 a | ||
| Mean | 76.05 | 1067.70 | 11,095.94 | 16,446.63 | 6.61 | 24.46 | 15.74 | ||
| F Value | V | 1186.81 ** | 3522.36 ** | 2439.91 ** | 3344.71 ** | 3352.91 ** | 2083.75 ** | 3929.29 ** | |
| T | 974.72 ** | 641.52 ** | 1064.89 ** | 4007.79 ** | 438.87 ** | 960.50 ** | 460.51 ** | ||
| V × T | 119.69 ** | 71.78 ** | 206.10 ** | 829.27 ** | 87.52 ** | 209.29 ** | 331.07 ** | ||
| Year | Treatment | Effective Panicles/ (×104·hm−2) | Seeding Rate/% | 1000-Grain Weight/g | Grain Number Per Panicle | Yield/(kg·hm−2) |
|---|---|---|---|---|---|---|
| 2022 | V | 3.18 | 2609.38 ** | 863.11 ** | 97.92 ** | 11.54 * |
| T | 75.52 ** | 1547.32 ** | 0.31 | 2.43 | 1377.08 ** | |
| V × T | 4.736 | 39.25 ** | 2.28 | 0.09 | 26.22 ** | |
| 2023 | V | 13.02 ** | 1074.92 ** | 1137.38 ** | 103.43 ** | 578.10 ** |
| T | 79.38 ** | 277.98 ** | 0.93 | 3.3 | 610.33 ** | |
| V × T | 3.31 | 127.37 ** | 0.74 | 8.92 ** | 119.93 ** |
| Treatment | Compound Fertilizer/kg | Branch Fertilizer/g |
|---|---|---|
| (T0) compound fertilizer | 3.33 | 0 |
| (T1) compound fertilizer + conventional branch fertilizer | 3.33 | 60 |
| (T2) compound fertilizer + (branch fertilizer − 20% concentration) | 3.33 | 48 |
| (T3) compound fertilizer + (branch fertilizer + 20% concentration) | 3.33 | 72 |
Disclaimer/Publisher’s Note: The statements, opinions and data contained in all publications are solely those of the individual author(s) and contributor(s) and not of MDPI and/or the editor(s). MDPI and/or the editor(s) disclaim responsibility for any injury to people or property resulting from any ideas, methods, instructions or products referred to in the content. |
© 2024 by the authors. Licensee MDPI, Basel, Switzerland. This article is an open access article distributed under the terms and conditions of the Creative Commons Attribution (CC BY) license (https://creativecommons.org/licenses/by/4.0/).
Share and Cite
Ma, P.; Liao, X.; Zhang, K.; Aer, L.; Deng, J.; Yang, E.; Zhang, R. Effects of Compound Fertilizer and Branch Fertilizer on Population Construction and Yield of Machine-Transplanted Rice. Plants 2024, 13, 2436. https://doi.org/10.3390/plants13172436
Ma P, Liao X, Zhang K, Aer L, Deng J, Yang E, Zhang R. Effects of Compound Fertilizer and Branch Fertilizer on Population Construction and Yield of Machine-Transplanted Rice. Plants. 2024; 13(17):2436. https://doi.org/10.3390/plants13172436
Chicago/Turabian StyleMa, Peng, Xuehuan Liao, Keyuan Zhang, Lise Aer, Jun Deng, Erluo Yang, and Rongping Zhang. 2024. "Effects of Compound Fertilizer and Branch Fertilizer on Population Construction and Yield of Machine-Transplanted Rice" Plants 13, no. 17: 2436. https://doi.org/10.3390/plants13172436
APA StyleMa, P., Liao, X., Zhang, K., Aer, L., Deng, J., Yang, E., & Zhang, R. (2024). Effects of Compound Fertilizer and Branch Fertilizer on Population Construction and Yield of Machine-Transplanted Rice. Plants, 13(17), 2436. https://doi.org/10.3390/plants13172436
