Trait-Mediated Variation in Seedling Performance in Costa Rican Successional Forests: Comparing Above-Ground, Below-Ground, and Allocation-Based Traits
Abstract
1. Introduction
2. Methods
2.1. Study Site
2.2. Seedling Monitoring: Mortality and Growth Data
2.2.1. Mortality Data
2.2.2. Growth Data
2.3. Above-Ground, Below-Ground, and Allocation Trait Data
2.4. Statistical Analysis
3. Results
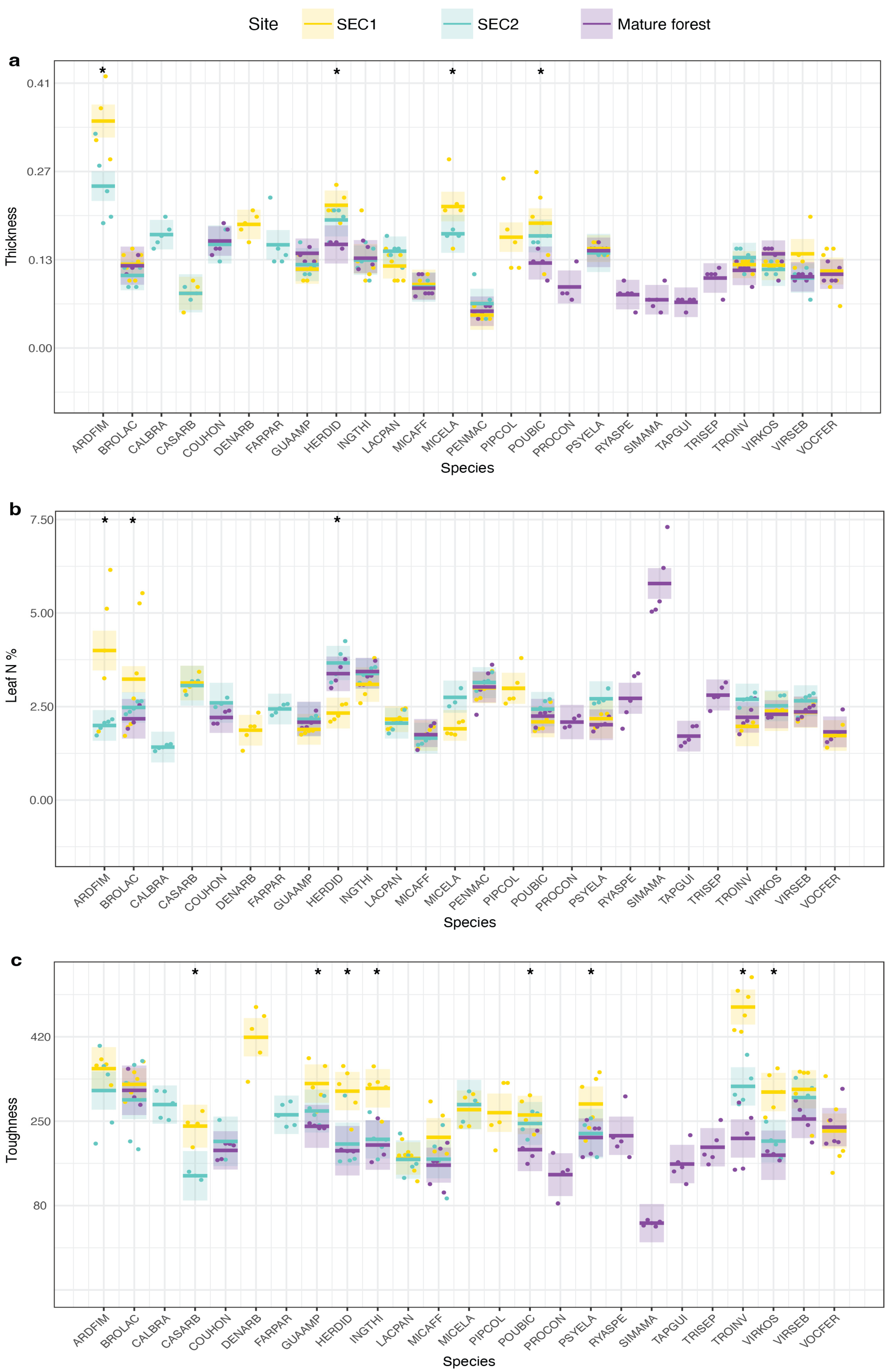
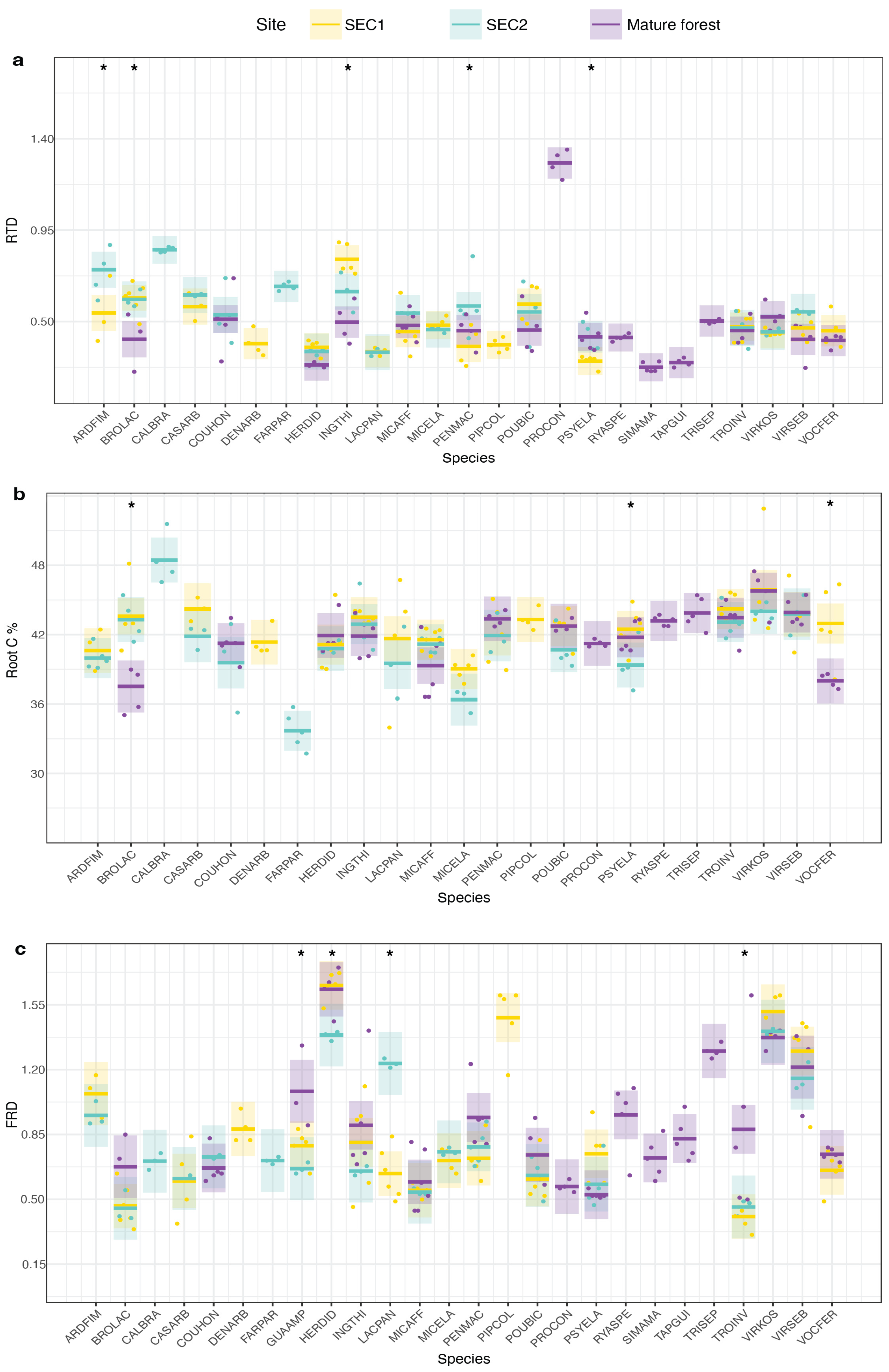
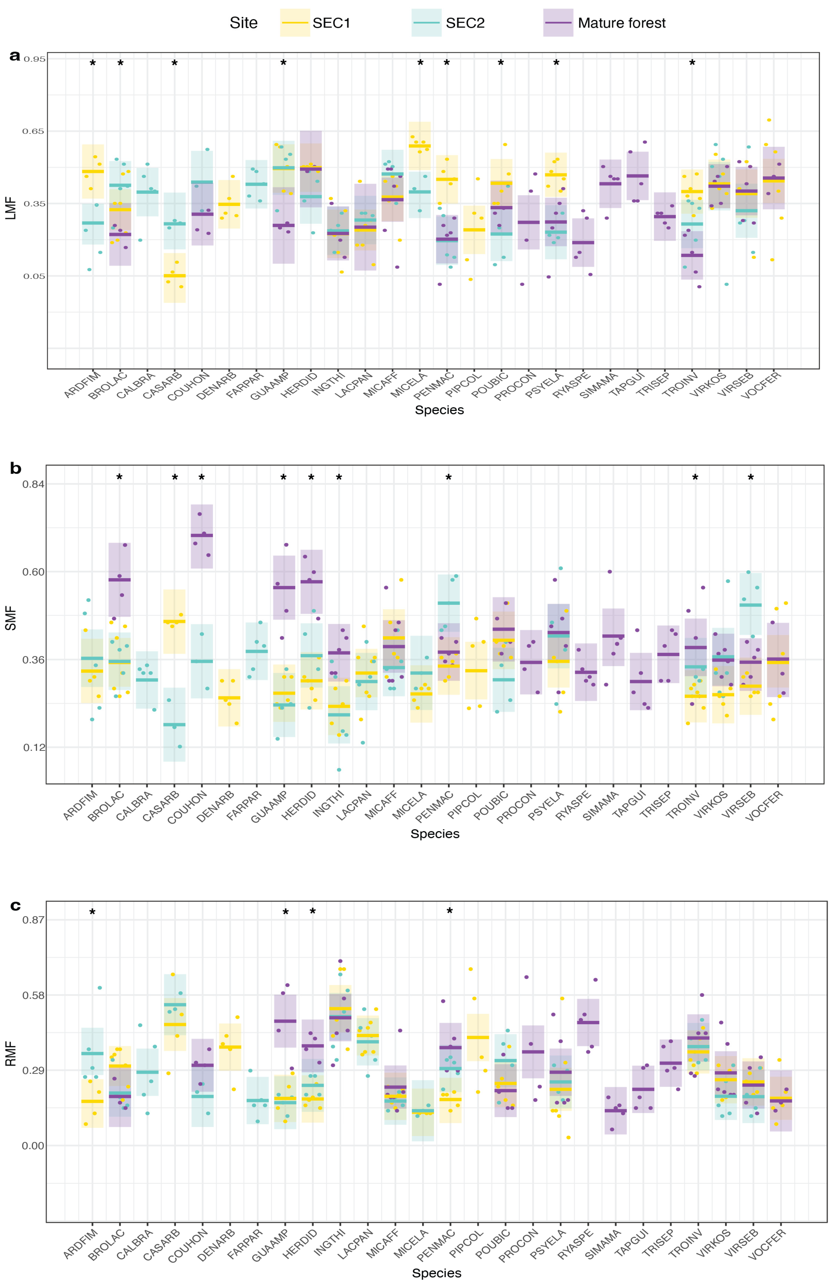
3.1. Variation in Above-Ground, Below-Ground, and Allocation Traits among Species and within Species across Sites
3.2. Variation in Multivariate Trait Strategies across Sites
3.3. Relationships of Traits with Seedling Growth and Mortality
4. Discussions
4.1. Above-Ground, Below-Ground, and Allocation Traits within Species Variation across Sites
4.2. Differences in Multivariate Trait Strategies between Sites
4.3. Trait-Performance Relationships and Site-Specific Variability in Seedling Growth and Mortality
5. Conclusions
Supplementary Materials
Author Contributions
Funding
Data Availability Statement
Acknowledgments
Conflicts of Interest
References
- Kitajima, K. Relative importance of photosynthetic traits and allocation patterns as correlates of seedling shade tolerance of 13 tropical trees. Oecologia 1994, 98, 419–428. [Google Scholar] [CrossRef] [PubMed]
- Poorter, L.; Bongers, F. Leaf traits are good predictors of plant performance across 53 rain forest species. Ecology 2006, 87, 1733–1743. [Google Scholar] [CrossRef] [PubMed]
- Visser, M.D.; Bruijning, M.; Wright, S.J.; Muller-Landau, H.C.; Jongejans, E.; Comita, L.S.; de Kroon, H. Functional traits as predictors of vital rates across the life cycle of tropical trees. Funct. Ecol. 2016, 30, 168–180. [Google Scholar] [CrossRef]
- Wright, S.J.; Kitajima, K.; Kraft, N.J.B.; Reich, P.B.; Wright, I.J.; Bunker, D.E.; Condit, R.; Dalling, J.W.; Davies, S.J.; Díaz, S.; et al. Functional traits and the growth–mortality trade-off in tropical trees. Ecology 2010, 91, 3664–3674. [Google Scholar] [CrossRef]
- Garnier, E.; Shipley, B.; Roumet, C.; Laurent, G. A standardized protocol for the determination of specific leaf area and leaf dry matter content. Funct. Ecol. 2001, 15, 688–695. [Google Scholar] [CrossRef]
- Shipley, B.; Vile, D.; Garnier, E.; Wright, I.J.; Poorter, H. Functional linkages between leaf traits and net photosynthetic rate: Reconciling empirical and mechanistic models. Funct. Ecol. 2005, 19, 602–615. [Google Scholar] [CrossRef]
- Chave, J.; Coomes, D.; Jansen, S.; Lewis, S.L.; Swenson, N.G.; Zanne, A.E. Towards a worldwide wood economics spectrum. Ecol. Lett. 2009, 12, 351–366. [Google Scholar] [CrossRef]
- Montgomery, R. Relative importance of photosynthetic physiology and biomass allocation for tree seedling growth across a broad light gradient. Tree Physiol. 2004, 24, 155–167. [Google Scholar] [CrossRef]
- Onoda, Y.; Wright, I.J.; Evans, J.R.; Hikosaka, K.; Kitajima, K.; Niinemets, Ü.; Poorter, H.; Tosens, T.; Westoby, M. Physiological and structural tradeoffs underlying the leaf economics spectrum. N. Phytol. 2017, 214, 1447–1463. [Google Scholar] [CrossRef]
- Reich, P.B. The world-wide ‘fast–slow’ plant economics spectrum: A traits manifesto. J. Ecol. 2014, 102, 275–301. [Google Scholar] [CrossRef]
- Laughlin, D.C.; Lusk, C.H.; Bellingham, P.J.; Burslem, D.F.R.P.; Simpson, A.H.; Kramer-Walter, K.R. Intraspecific trait variation can weaken interspecific trait correlations when assessing the whole-plant economic spectrum. Ecol. Evol. 2017, 7, 8936–8949. [Google Scholar] [CrossRef]
- Poorter, H.; Niklas, K.J.; Reich, P.B.; Oleksyn, J.; Poot, P.; Mommer, L. Biomass allocation to leaves, stems and roots: Meta-analyses of interspecific variation and environmental control. N. Phytol. 2012, 193, 30–50. [Google Scholar] [CrossRef] [PubMed]
- Worthy, S.J.; Swenson, N.G. Functional perspectives on tropical tree demography and forest dynamics. Ecol. Process. 2019, 81, 1. [Google Scholar] [CrossRef]
- Anderegg, L.D.L.; Berner, L.T.; Badgley, G.; Sethi, M.L.; Law, B.E.; HilleRisLambers, J. Within-species patterns challenge our understanding of the leaf economics spectrum. Ecol. Lett. 2018, 21, 734–744. [Google Scholar] [CrossRef]
- Browne, L.; Markesteijn, L.; Manzané-Pinzón, E.; Wright, S.J.; Bagchi, R.; Engelbrecht, B.M.J.; Jones, F.A.; Comita, L.S. Widespread variation in functional trait–vital rate relationships in tropical tree seedlings across a precipitation and soil phosphorus gradient. Funct. Ecol. 2023, 37, 248–260. [Google Scholar] [CrossRef]
- Comita, L.S.; Engelbrecht, B.M.J. Drought as a driver of tropical tree species regeneration dynamics and distribution patterns. In Forests and Global Change; Coomes, D.A., Burslem, D.F.R.P., Simonson, W.D., Eds.; Cambridge University Press: Cambridge, UK, 2014; pp. 261–308. [Google Scholar] [CrossRef]
- Swenson, N.G.; Worthy, S.J.; Eubanks, D.; Iida, Y.; Monks, L.; Petprakob, K.; Rubio, V.E.; Staiger, K.; Zambrano, J. A Reframing of Trait–Demographic Rate Analyses for Ecology and Evolutionary Biology. Int. J. Plant Sci. 2020, 181, 33–43. [Google Scholar] [CrossRef]
- Yang, J.; Cao, M.; Swenson, N.G. Why Functional Traits Do Not Predict Tree Demographic Rates. Trends Ecol. Evol. 2018, 33, 326–336. [Google Scholar] [CrossRef]
- Holste, E.K.; Kobe, R.K.; Vriesendorp, C.F. Seedling growth responses to soil resources in the understory of a wet tropical forest. Ecology 2011, 92, 1828–1838. [Google Scholar] [CrossRef]
- Kobe, R.K. Light Gradient Partitioning among Tropical Tree Species through Differential Seedling Mortality and Growth. Ecology 1999, 80, 187–201. [Google Scholar] [CrossRef]
- Brown, M.J.; Parker, G.G. Canopy light transmittance in a chronosequence of mixed-species deciduous forests. Can. J. For. Res. 1994, 24, 1694–1703. [Google Scholar] [CrossRef]
- Fauset, S.; Gloor, M.U.; Aidar, M.P.M.; Freitas, H.C.; Fyllas, N.M.; Marabesi, M.A.; Rochelle, A.L.C.; Shenkin, A.; Vieira, S.A.; Joly, C.A. Tropical forest light regimes in a human-modified landscape. Ecosphere 2017, 8, e02002. [Google Scholar] [CrossRef]
- Lohbeck, M.; Poorter, L.; Lebrija-Trejos, E.; Martínez-Ramos, M.; Meave, J.A.; Paz, H.; Pérez-García, E.A.; Romero-Pérez, I.E.; Tauro, A.; Bongers, F. Successional changes in functional composition contrast for dry and wet tropical forest. Ecology 2013, 94, 1211–1216. [Google Scholar] [CrossRef]
- De Almeida, D.R.A.; Almeyda Zambrano, A.M.; Broadbent, E.N.; Wendt, A.L.; Foster, P.; Wilkinson, B.E.; Salk, C.; Papa, D.D.A.; Stark, S.C.; Valbuena, R.; et al. Detecting successional changes in tropical forest structure using GatorEye drone-borne lidar. Biotropica 2020, 52, 1155–1167. [Google Scholar] [CrossRef]
- Bazzaz, F.A.; Pickett, S.T.A. Physiological Ecology of Tropical Succession: A Comparative Review. Annu. Rev. Ecol. Syst. 1980, 11, 287–310. [Google Scholar] [CrossRef]
- Lasky, J.R.; Uriarte, M.; Boukili, V.K.; Chazdon, R.L. Trait-mediated assembly processes predict successional changes in community diversity of tropical forests. Proc. Natl. Acad. Sci. USA 2014, 111, 5616–5621. [Google Scholar] [CrossRef]
- Freschet, G.T.; Roumet, C.; Comas, L.H.; Weemstra, M.; Bengough, A.G.; Rewald, B.; Bardgett, R.D.; De Deyn, G.B.; Johnson, D.; Klimešová, J.; et al. Root traits as drivers of plant and ecosystem functioning: Current understanding, pitfalls and future research needs. N. Phytol. 2021, 232, 1123–1158. [Google Scholar] [CrossRef] [PubMed]
- Weemstra, M.; Mommer, L.; Visser, E.J.W.; van Ruijven, J.; Kuyper, T.W.; Mohren, G.M.J.; Sterck, F.J. Towards a multidimensional root trait framework: A tree root review. N. Phytol. 2016, 211, 1159–1169. [Google Scholar] [CrossRef] [PubMed]
- Yang, Y.; Russo, S.E. Trade-offs in rooting strategy dimensions along an edaphic gradient in a grassland ecosystem. Funct. Ecol. 2024, 38, 792–807. [Google Scholar] [CrossRef]
- Grime, J.P. Plant Strategies, Vegetation Processes, and Ecosystem Properties; John Wiley & Sons: Hoboken, NJ, USA, 2006. [Google Scholar]
- Violle, C.; Navas, M.-L.; Vile, D.; Kazakou, E.; Fortunel, C.; Hummel, I.; Garnier, E. Let the concept of trait be functional! Oikos 2007, 116, 882–892. [Google Scholar] [CrossRef]
- Umaña, M.N.; Swenson, N.G.; Marchand, P.; Cao, M.; Lin, L.; Zhang, C. Relating leaf traits to seedling performance in a tropical forest: Building a hierarchical functional framework. Ecology 2021, 102, e03385. [Google Scholar] [CrossRef]
- Zhang, C.; Gu, R.; Lin, L.; Russo, S.E. Functional traits and ecological niches as correlates of the interspecific growth-mortality trade-off among seedlings of 14 tropical tree species. Funct. Ecol. 2024. [Google Scholar] [CrossRef]
- Huanca-Nunez, N.; Chazdon, R.L.; Russo, S.E. Seed-rain–successional feedbacks in wet tropical forests. Ecology 2021, 102, e03362. [Google Scholar] [CrossRef] [PubMed]
- Logan, C. Effect of Forest Age on Soil Nutrient Stocks of a Lowland Tropical Rain Forest. Honor’s Thesis, University of Virginia, Charlottesville, VA, USA, 2007. [Google Scholar]
- Reich, P.B.; Oleksyn, J. Global patterns of plant leaf N and P in relation to temperature and latitude. Proc. Natl. Acad. Sci. USA 2004, 101, 11001–11006. [Google Scholar] [CrossRef] [PubMed]
- Gilbert, B.; Wright, S.J.; Muller-Landau, H.C.; Kitajima, K.; Hernandéz, A. Life history trade-offs in tropical trees and lianas. Ecology 2006, 87, 1281–1288. [Google Scholar] [CrossRef]
- Russo, S.E.; McMahon, S.M.; Detto, M.; Wright, S.J.; Condit, R.S.; Davies, S.J.; Bunyavejchewin, S.; Chang-Yang, C.H.; Ewango, C.E.N.; Fletcher, C.; et al. The interspecific growth-mortality trade-off is not a general framework for tropical forest community structure. Nat. Ecol. Evol. 2021, 5, 174–183. [Google Scholar] [CrossRef]
- McDade, L.A.; Bawa, K.S.; Hespenheide, H.A.; Hartshorn, G.S. La Selva: Ecology and Natural History of a Neotropical Rain Forest; The University of Chicago Press: Chicago, IL, USA, 1995; Volume 122. [Google Scholar] [CrossRef]
- McClearn, D.; Arroyo-Mora, J.P.; Castro, E.; Coleman, R.C.; Espeleta, J.F.; García-Robledo, C.; Gilman, A.; González, J.; Joyce, A.T.; Kuprewicz, E.; et al. The Caribbean Lowland Evergreen Moist and Wet Forests. In Costa Rican Ecosystems; Lovejoy, T.E., Gámez Lobo, R., Kappelle, M., Eds.; University of Chicago Press: Chicago, IL, USA, 2016. [Google Scholar] [CrossRef]
- Chazdon, R.L.; Finegan, B.; Capers, R.S.; Salgado-Negret, B.; Casanoves, F.; Boukili, V.; Norden, N. Composition and Dynamics of Functional Groups of Trees During Tropical Forest Succession in Northeastern Costa Rica. Biotropica 2010, 42, 31–40. [Google Scholar] [CrossRef]
- Chazdon, R.; Letcher, S.; van Breugel, M.; Martinez-Ramos, M.; Bongers, F.; Finegan, B. Rates of change in tree communities of secondary Neotropical forests following major disturbances. Philos. Trans. R. Soc. Lond. B Biol. Sci. 2007, 362, 273–289. [Google Scholar] [CrossRef]
- Norden, N.; Chazdon, R.L.; Chao, A.; Jiang, Y.-H.; Vílchez-Alvarado, B. Resilience of tropical rain forests: Tree community reassembly in secondary forests. Ecol. Lett. 2009, 12, 385–394. [Google Scholar] [CrossRef]
- Phillips, O.; Miller, J.S. Global Patterns of Plant Diversity: Alwyn H. Gentry’s Forest Transect Data Set; Missouri Botanical Garden Press: St. Louis, MO, USA, 2002. [Google Scholar]
- Huanca-Nunez, N.; Chazdon, R.L.; Russo, S.E. Effects of large mammal exclusion on seedling communities depend on plant species traits and landscape protection in human-modified Costa Rican forests. J. Appl. Ecol. 2023, 60, 2561–2572. [Google Scholar] [CrossRef]
- Schneider, C.A.; Rasband, W.S.; Eliceiri, K.W. NIH Image to ImageJ: 25 years of image analysis. Nat. Methods 2012, 9, 671–675. [Google Scholar] [CrossRef]
- R Development Core Team. R: A Language and Environment for Statistical Computing; R Foundation for Statistical Computing: Vienna, Austria, 2024; Available online: www.R-project.org (accessed on 15 January 2024).
- Anderson, M. A new method for non-parametric multivariate analysis of variance. Austral Ecol. 2001, 26, 32–46. [Google Scholar] [CrossRef]
- Kuznetsova, A.; Brockhoff, P.; Christensen, R. lmerTest Package: Tests in linear mixed effects models. J. Stat. Softw. 2017, 82, 1–26. [Google Scholar] [CrossRef]
- Bürkner, P.-C. brms: An R Package for Bayesian Multilevel Models Using Stan. J. Stat. Softw. 2017, 80, 1–28. [Google Scholar] [CrossRef]
- Bartoń, K. MuMIn: Multi-Model Inference, R Package Version 1.10.0; R Core Team: Vienna, Austria, 2013; Volume 1. [Google Scholar]
- Gelman, A.; Goodrich, B.; Gabry, J.; Vehtari, A. R-squared for Bayesian Regression Models. Am. Stat. 2018, 73, 307–309. [Google Scholar] [CrossRef]
- Hartig, F. DHARMa: Residual Diagnostics for Hierarchical (Multi-Level/Mixed) Regression Models, R Package Version 0.3.3.0; R Core Team: Vienna, Austria, 2023; Available online: https://CRAN.R-project.org/package=DHARMa (accessed on 15 January 2024).
- Garnier, E.; Cortez, J.; Billès, G.; Navas, M.L.; Roumet, C.; Debussche, M.; Laurent, G.; Blanchard, A.; Aubry, D.; Bellmann, A.; et al. Plant Functional Markers Capture Ecosystem Properties During Secondary Succession. Ecology 2004, 85, 2630–2637. [Google Scholar] [CrossRef]
- Bazzaz, F.A. The physiological ecology of plant succession. Annu. Rev. Ecol. Syst. 1979, 10, 351–371. [Google Scholar] [CrossRef]
- Umaña, M.N.; Swenson, N.G. Intraspecific variation in traits and tree growth along an elevational gradient in a subtropical forest. Oecologia 2019, 191, 153–164. [Google Scholar] [CrossRef] [PubMed]
- Rozendaal, D.M.A.; Hurtado, V.H.; Poorter, L. Plasticity in leaf traits of 38 tropical tree species in response to light; relationships with light demand and adult stature. Funct. Ecol. 2006, 20, 207–216. [Google Scholar] [CrossRef]
- Vasseur, F.; Violle, C.; Enquist, B.J.; Granier, C.; Vile, D. A common genetic basis to the origin of the leaf economics spectrum and metabolic scaling allometry. Ecol. Lett. 2012, 15, 1149–1157. [Google Scholar] [CrossRef] [PubMed]
- Poorter, L. Leaf traits show different relationships with shade tolerance in moist versus dry tropical forests. N. Phytol. 2009, 181, 890–900. [Google Scholar] [CrossRef]
- Bin, Y.; Russo, S.E.; Zhang, J.; Li, Y.; Cao, H.; Ye, W.; Lian, J. Functional traits are more strongly correlated with biomass than diameter growth. J. Ecol. 2024, 112, 1225–1239. [Google Scholar] [CrossRef]
- Liu, L.; Xia, H.; Quan, X.; Wang, Y. Plant trait-based life strategies of overlapping species vary in different succession stages of subtropical forests, Eastern China. Front. Ecol. Evol. 2023, 10, 1103937. [Google Scholar] [CrossRef]
- Zuleta, D.; Muller-Landau, H.C.; Duque, A.; Caro, N.; Cardenas, D.; Castaño, N.; León-Peláez, J.D.; Feeley, K.J. Interspecific and intraspecific variation of tree branch, leaf and stomatal traits in relation to topography in an aseasonal Amazon forest. Funct. Ecol. 2022, 36, 2955–2968. [Google Scholar] [CrossRef]
- Ågren, G.I. Stoichiometry and Nutrition of Plant Growth in Natural Communities. Annu. Rev. Ecol. Evol. Syst. 2008, 39, 153–170. [Google Scholar] [CrossRef]
- Elser, J.J.; Fagan, W.F.; Kerkhoff, A.J.; Swenson, N.G.; Enquist, B.J. Biological stoichiometry of plant production: Metabolism, scaling and ecological response to global change. New Phytol. 2010, 186, 593–608. [Google Scholar] [CrossRef]
- Onoda, Y.; Westoby, M.; Adler, P.B.; Choong, A.M.F.; Clissold, F.J.; Cornelissen, J.H.C.; Díaz, S.; Dominy, N.J.; Elgart, A.; Enrico, L.; et al. Global patterns of leaf mechanical properties. Ecol. Lett. 2011, 14, 301–312. [Google Scholar] [CrossRef] [PubMed]
- Pigliucci, M. Phenotypic integration: Studying the ecology and evolution of complex phenotypes. Ecol. Lett. 2003, 6, 265–272. [Google Scholar] [CrossRef]
- Marks, C.O.; Lechowicz, M.J. Alternative Designs and the Evolution of Functional Diversity. Am. Nat. 2006, 167, 55–66. [Google Scholar] [CrossRef]
- Lin, D.; Shen, R.; Lin, J.; Zhu, G.; Yang, Y.; Fanin, N. Relationships between rhizosphere microbial communities, soil abiotic properties and root trait variation within a pine species. J. Ecol. 2024, 112, 1275–1286. [Google Scholar] [CrossRef]
- Wang, T.; Liu, B.; Zhang, X.; Wang, M.; Tan, D. Variations in root architecture traits and their association with organ mass fraction of common annual ephemeral species in the desert of northern Xinjiang. Ecol. Evol. 2024, 14, e10908. [Google Scholar] [CrossRef]
- Weemstra, M.; Freschet, G.T.; Stokes, A.; Roumet, C. Patterns in intraspecific variation in root traits are species-specific along an elevation gradient. Funct. Ecol. 2021, 35, 342–356. [Google Scholar] [CrossRef]
- Umaña, M.N.; Zhang, C.; Cao, M.; Lin, L.; Swenson, N.G. Quantifying the role of intra-specific trait variation for allocation and organ-level traits in tropical seedling communities. J. Veg. Sci. 2018, 29, 276–284. [Google Scholar] [CrossRef]
- Diaz, S.; Hodgson, J.; Thompson, K.; Cabido, M.; Cornelissen, J.; Jalili, A.; Montserrat-Martí, G.; Grime, J.; Zarrinkamar, F.; Asri, Y.; et al. The plant traits that drive ecosystems: Evidence from three continents. J. Veg. Sci. 2004, 15, 295–304. [Google Scholar] [CrossRef]
- Pierce, S.; Negreiros, D.; Cerabolini, B.E.L.; Kattge, J.; Díaz, S.; Kleyer, M.; Shipley, B.; Wright, S.J.; Soudzilovskaia, N.A.; Onipchenko, V.G.; et al. A global method for calculating plant CSR ecological strategies applied across biomes world-wide. Funct. Ecol. 2017, 31, 444–457. [Google Scholar] [CrossRef]
- Wright, I.J.; Reich, P.B.; Westoby, M.; Ackerly, D.D.; Baruch, Z.; Bongers, F.; Cavender-Bares, J.; Chapin, T.; Cornelissen, J.H.C.; Diemer, M.; et al. The worldwide leaf economics spectrum. Nature 2004, 428, 821–827. [Google Scholar] [CrossRef] [PubMed]
- McCormack, M.L.; Dickie, I.A.; Eissenstat, D.M.; Fahey, T.J.; Fernandez, C.W.; Guo, D.; Helmisaari, H.-S.; Hobbie, E.A.; Iversen, C.M.; Jackson, R.B.; et al. Redefining fine roots improves understanding of below-ground contributions to terrestrial biosphere processes. N. Phytol. 2015, 207, 505–518. [Google Scholar] [CrossRef]
- Van Noordwijk, A.J.; de Jong, G. Acquisition and Allocation of Resources: Their Influence on Variation in Life History Tactics. Am. Nat. 1986, 128, 137–142. [Google Scholar] [CrossRef]
- Comas, L.; Bouma, T.; Eissenstat, D. Linking root traits to potential growth rate in six temperate tree species. Oecologia 2002, 132, 34–43. [Google Scholar] [CrossRef]
- Eissenstat, D.M. On the relationship between specific root length and the rate of root proliferation: A field study using citrus rootstocks. N. Phytol. 1991, 118, 63–68. [Google Scholar] [CrossRef]
- Werden, L.K.; Averill, C.; Crowther, T.W.; Calderón-Morales, E.; Toro, L.; Alvarado, J.P.; Gutiérrez, L.M.; Mallory, D.E.; Powers, J.S. Below-ground traits mediate tree survival in a tropical dry forest restoration. Philos. Trans. R. Soc. B Biol. Sci. 2023, 378, 20210067. [Google Scholar] [CrossRef]
- Garnier, E. Resource capture, biomass allocation and growth in herbaceous plants. Trends Ecol. Evol. 1991, 6, 126–131. [Google Scholar] [CrossRef] [PubMed]
- Lambers, H.; Poorter, H. Inherent Variation in Growth Rate Between Higher Plants: A Search for Physiological Causes and Ecological Consequences. In Advances in Ecological Research; Begon, M., Fitter, A.H., Eds.; Academic Press: Cambridge, MA, USA, 1992; Volume 23, pp. 187–261. [Google Scholar] [CrossRef]





| Abbreviation | Trait | Site by Species (F-Statistic, p-Value) | % Species with Significant Differences between Pairs of Sites |
|---|---|---|---|
| Aboveground traits | |||
| LDMC | Leaf dry matter content (g/g) | 0.80, 0.74 | - |
| SLA | Specific leaf area (cm2/g) | 1.06, 0.39 | - |
| Leaf N% | Nitrogen concentration in leaves (%) | 3.33, <0.01 | SEC1-SEC2: 20% |
| SEC1-MT: 17% | |||
| SEC2-MT: 0% | |||
| Leaf C% | Carbon concentration in leaves (%) | 1.25, 0.20 | - |
| Thickness | Thickness (mm) | 2.61, <0.01 | SEC1-SEC2: 13% |
| SEC1-MT: 17% | |||
| SEC2-MT: 0% | |||
| Toughness | Toughness (N) | 3.76, <0.01 | SEC1-SEC2: 36% |
| SEC1-MT: 64% | |||
| SEC2-MT: 9% | |||
| Stem WSG | Specific gravity of stem wood (g/cm−3) | 0.91, 0.59 | - |
| Belowground traits | |||
| SRL | Specific Root length (cm/mg−1) | 1.13, 0.32 | - |
| FRD | Fine Root Diameter (mm) | 3.57, <0.01 | SEC1-SEC2: 13% |
| SEC1-MT: 17% | |||
| SEC2-MT: 17% | |||
| RTD | Root tissue density (mg/cm−3) | 3.52, <0.01 | SEC1-SEC2: 22% |
| SEC1-MT: 27% | |||
| SEC2-MT: 18% | |||
| Root N% | Nitrogen concentration in fine roots (%) | 1.33, 0.15 | - |
| Root C% | Carbon concentration in fine roots (%) | 1.98, 0.01 | SEC1-SEC2: 7% |
| SEC1-MT: 18% | |||
| SEC2-MT: 9% | |||
| Biomass allocation traits | |||
| LMF | Leaf mass fraction (g/g) | 2.80, <0.01 | SEC1-SEC2: 40% |
| SEC1-MT: 33% | |||
| SEC2-MT: 18% | |||
| SMF | Stem mass fraction (g/g) | 4.64, <0.01 | SEC1-SEC2: 20% |
| SEC1-MT: 42% | |||
| SEC2-MT: 58% | |||
| RMF | Root mass fraction (g/g) | 2.03, <0.01 | SEC1-SEC2: 7% |
| SEC1-MT: 25% | |||
| SEC2-MT: 8% | |||
Disclaimer/Publisher’s Note: The statements, opinions and data contained in all publications are solely those of the individual author(s) and contributor(s) and not of MDPI and/or the editor(s). MDPI and/or the editor(s) disclaim responsibility for any injury to people or property resulting from any ideas, methods, instructions or products referred to in the content. |
© 2024 by the authors. Licensee MDPI, Basel, Switzerland. This article is an open access article distributed under the terms and conditions of the Creative Commons Attribution (CC BY) license (https://creativecommons.org/licenses/by/4.0/).
Share and Cite
Huanca-Nunez, N.; Chazdon, R.L.; Russo, S.E. Trait-Mediated Variation in Seedling Performance in Costa Rican Successional Forests: Comparing Above-Ground, Below-Ground, and Allocation-Based Traits. Plants 2024, 13, 2378. https://doi.org/10.3390/plants13172378
Huanca-Nunez N, Chazdon RL, Russo SE. Trait-Mediated Variation in Seedling Performance in Costa Rican Successional Forests: Comparing Above-Ground, Below-Ground, and Allocation-Based Traits. Plants. 2024; 13(17):2378. https://doi.org/10.3390/plants13172378
Chicago/Turabian StyleHuanca-Nunez, Nohemi, Robin L. Chazdon, and Sabrina E. Russo. 2024. "Trait-Mediated Variation in Seedling Performance in Costa Rican Successional Forests: Comparing Above-Ground, Below-Ground, and Allocation-Based Traits" Plants 13, no. 17: 2378. https://doi.org/10.3390/plants13172378
APA StyleHuanca-Nunez, N., Chazdon, R. L., & Russo, S. E. (2024). Trait-Mediated Variation in Seedling Performance in Costa Rican Successional Forests: Comparing Above-Ground, Below-Ground, and Allocation-Based Traits. Plants, 13(17), 2378. https://doi.org/10.3390/plants13172378

