Enhancing Water and Soil Resources Utilization via Wolfberry–Alfalfa Intercropping
Abstract
1. Introduction
2. Results
2.1. Calibration and Validation of the SIMDualKc (Simulation Dual Crop Coefficient)
2.2. Comparison of Crop Coefficients
2.3. Comparison of Soil Evaporation
2.4. Soil Evaporation
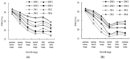
2.5. Impact of Intercropping on Spatiotemporal Soil Moisture Dynamics
2.6. Transpiration
3. Discussion
3.1. Crop Coefficients
3.2. Soil Evaporation
3.3. Soil–Crop Water Regulation
4. Materials and Methods
4.1. Site Description
4.2. Experimental Design
4.3. Measurements and Calculations
4.3.1. Meteorological Data
4.3.2. Soil Water Content
4.3.3. Soil Evaporation
4.3.4. The SIMDualKc Model
- (1)
- Crop data: basal crop coefficients (Kcb) of the initial, mid-season, and end-season stages under RHmin = 45% and u2 = 2 m·s−1; fraction of ground cover fc; plant height h [m]; root depth Zr [m]; and soil water depletion fraction for non-stress (p).
- (2)
- Daily meteorological data: precipitation, u2 [m·s−1], minimum and maximum air temperature, Tmin and Tmax [°C], RHmin [%] and P [mm]; reference evapotranspiration, ET0 [mm] by calculation.
- (3)
- Soil data: the total available water, TAW [mm·m−1] refers to the capacity of a soil to retain water available to plants; effective depth of the evaporation layer, Ze [m]; total evaporable water, TEW [mm] and readily evaporable water REW [mm].
- (4)
- Irrigation data: fraction of soil wetted by irrigation, irrigation depth, and irrigation date.
- (5)
- Intercropping data included the selected intercropping type, intercropping crop soil coverage ratio, and comprehensive data packages containing information on the intercropping crop, soil, meteorological conditions, and irrigation data.
4.3.5. Statistic Analysis
5. Conclusions
Author Contributions
Funding
Data Availability Statement
Acknowledgments
Conflicts of Interest
References
- Ma, Q.L.; Wang, Y.L.; Sun, T.; Li, Y.K.; Zhu, G.Q. Allocation, accumulation, and output characteristics of nutrient elements of lycium barbarum grown on secondary saline land. Acta Ecol. Sin. 2017, 37, 6111–6119. [Google Scholar]
- Guo, C.X.; Liu, K.L.; Ma, J.M.; Wang, L.D.; He, F.L.; Zhao, P.; Fu, G.Q.; Zhao, Y.L. Distribution patterns of lycium ruthenicum population in different site types in lower reaches of the shiyang river. Arid Zone Res. 2020, 37, 178–184. [Google Scholar]
- Toker, P.; Canci, H.; Turhan, I.; Isci, A.; Scherzinger, M.; Kordrostami, M.; Yol, E. The advantages of intercropping to improve productivity in food and forage production—A review. Plant Prod. Sci. 2024, 27, 155–169. [Google Scholar]
- Arreeras, S.; Angskun, T.; Angskun, J. Intercropping planning models for an agricultural expert system. DBLP 2009, 55, 30–38. [Google Scholar]
- Ertekin, I.; Kizilsimsek, M. Effects of lactic acid bacteria inoculation in pre-harvesting period on fermentation and feed quality properties of alfalfa silage. Asian Austral. J. Anim. 2019, 33, 245–253. [Google Scholar] [CrossRef]
- Ana, M.H.; Mello, A.C.L.; Valéria, X.O.; José, C.B.; Valdson, J.S.; Mércia, V.F.; Márcio, V.C. Decomposition of senescent leaves of signalgrass (urochloa decumbens stapf. r. webster) and arboreal legumes in silvopastoral systems. Agroforest Syst. 2020, 94, 2213–2224. [Google Scholar]
- Costa, S.; Mello, A.; Dubeux, J.; Santos, M.; Coelho, J.J. Proportion and digestibility of tree legumes in diets of grazing cattle in a tropical silvopastoral system. Livest. Sci. 2021, 252, 104689. [Google Scholar] [CrossRef]
- Chen, L.; Xiong, K.; Tang, X. A review of forest-grass intercropping system. World Forest. Res. 2019, 32, 25–30. [Google Scholar]
- Xiong, D.U.; Dou, T.L.; Feng, L.X.; Zhang, L.F. The ecological effects of young elm trees belt-pumpkin strip intercropping system at the agro-pastoral ecotone in northern China. Agric. Sci. Chin. 2010, 9, 1183–1193. [Google Scholar]
- Junior, N.; Evers, J.; Vianna, M.; Pedreira, B.; Pezzopane, J.; Marin, F.R. Understanding the arrangement of eucalyptus-marandu palisade grass silvopastoral systems in Brazil. Agric. Syst. 2022, 196, 103316. [Google Scholar] [CrossRef]
- Hernández, A.J.; Lacasta, C.; Pastor, J. Effects of different management practices on soil conservation and soil water in a rainfed olive orchard. Agric. Water Manag. 2005, 77, 232–248. [Google Scholar] [CrossRef]
- Palese, A.M.; Vignozzi, N.; Celano, G.; Agnelli, A.E.; Pagliai, M.; Xiloyannis, C. Influence of soil management on soil physical characteristics and water storage in a mature rainfed olive orchard. Soil Till. Res. 2014, 144, 96–109. [Google Scholar] [CrossRef]
- Choudhary, V.K.; Alone, R.A.; Singh, D.; Bhagawati, R. Performance of Guinea grass (Panicum maximum) as influenced by row proportion under different tree species in north-eastern hilly region of India. Range Manag. Agrofor. 2013, 33, 166–170. [Google Scholar]
- Wen, Z.W.; Yang, J.E.; Li, Y.Z.; Ouyang, R.N.; Zhi, Y.; Zheng, H. Implementing intercropping maintains soil water balance while enhancing multiple ecosystem services. Catena 2022, 217, 106426. [Google Scholar] [CrossRef]
- Bai, W.; Sun, Z.X.; Zheng, J.M.; Du, G.J.; Feng, L.S.; Cai, Q.; Yang, N.; Feng, C.; Zhang, Z.; Evers, J.B.; et al. Mixing trees and crops increases land and water use efficiencies in a semi-arid area. Agric. Water Manag. 2016, 178, 281–290. [Google Scholar] [CrossRef]
- Oswald, F.; Aurélie, M.; Jacques, W. Differential effect of regulated deficit irrigation on growth and photosynthesis in young peach trees intercropped with grass. Eur. J. Agron. 2016, 81, 106–116. [Google Scholar]
- Glenn, D.M.; Welker, W.V.; Greene, G.M. Sod competition in peachproduction.1. Managing sod proximity. J. Am. Soc. Hortic. Sci. 1996, 121, 666–669. [Google Scholar] [CrossRef]
- Kurt, J.K.; Jeff, A.H.; Scott, D.R.; Brian, S.B.; Randall, J.R.; Mark, W.S. Capacity of biochar application and nitrogen fertilization to mitigate grass competition upon tree seedlings during stand regeneration. Forest. Ecol. Manag. 2016, 376, 298–309. [Google Scholar]
- Chen, D.; Wang, Y.; Zhang, X.; Wei, X.; Muhammad, S. Understory mowing controls soil drying in a rainfed jujube agroforestry system in the loess plateau. Agric. Water Manag. 2021, 246, 106703. [Google Scholar] [CrossRef]
- Nyawade, S.O.; Gitari, H.I.; Karanja, N.N.; Gachene, C.; Schulte-Geldermann, E.; Parker, M.L. Yield and evapotranspiration characteristics of potato-legume intercropping simulated using a dual coefficient approach in a tropical highland. Field Crop. Res. 2021, 274, 108327. [Google Scholar] [CrossRef]
- Li, X.Y.; Chen, N.; Shi, H.B.; Ding, Z.J.; Peng, Z.Y. Soil moisture distribution characteristics simulation of maize-tomato intercropping field with drip-irrigated under plastic mulch. Trans. Chin. Soc. Agric. Eng. 2019, 35, 50–59. [Google Scholar]
- Wang, Z.; Wu, Y.; Cao, Q.; Shen, Y.; Zhang, B. Modeling the coupling processes of evapotranspiration and soil water balance in agroforestry systems. Agric. Water Manag. 2021, 250, 106839. [Google Scholar] [CrossRef]
- Wang, Y.F.; Yin, W.; Hu, F.L.; Fan, Z.L.; Zhao, C.; Yu, A.Z.; Chai, Q. Interspecies interaction intensity influences water consumption in wheat–maize intercropping by regulating root length density. Crop Sci. 2021, 62, 441–454. [Google Scholar] [CrossRef]
- Bogie, N.A.; Bayala, R.; Diedhiou, I.; Dick, R.P.; Ghezzehei, T.A. Alteration of soil physical properties and processes after ten years of intercropping with native shrubs in the Sahel. Soil Till. Res. 2018, 182, 153–163. [Google Scholar] [CrossRef]
- Ong, C.K.; Leakey, R.R.B. Why tree-crop interactions in agroforestry appear at odds with tree-grass interactions in tropical savannahs. Agroforest Syst. 1999, 45, 109–129. [Google Scholar] [CrossRef]
- Wang, Z.K.; Cao, Q.; Shen, Y.Y. Modeling light availability for crop strips planted within apple orchard. Agric. Syst. 2019, 170, 28–38. [Google Scholar] [CrossRef]
- Song, X.; Gao, X.; Zhao, X.; Wu, P.; Dyck, M. Spatial distribution of soil moisture and fine roots in rain-fed apple orchards employing a Rainwater Collection and Infiltration (RWCI) system on the Loess Plateau of China. Agric. Water Manag. 2017, 184, 170–177. [Google Scholar] [CrossRef]
- Radersma, S.; Ong, C.K. Spatial distribution of root length density and soil water of linear agroforestry systems in sub-humid Kenya: Implications for agroforestry models. Forest Ecol. Manag. 2004, 188, 77–89. [Google Scholar] [CrossRef]
- Wang, J.; Huang, J.; Zhao, X.; Wu, P.; Horwath, W.R.; Li, H.; Chen, X. Simulated study on effects of ground managements on soil water and available nutrients in Jujube Orchards. Land. Degrad. Dev. 2014, 27, 35–42. [Google Scholar] [CrossRef]
- Allen, R.; Pereira, L.; Raes, D.; Smith, M. Crop Evapotranspiration: Guidelines for Computing Crop Requirements; FAO Irrigation and Drainage Paper No. 56.; FAO: Rome, Italy, 1998. [Google Scholar]
- Ramos, A.F.; Santos, F.L. Water use, transpiration, and crop coefficients for olives (cv. Cordovil), grown in orchards in Southern Portugal. Biosyst. Eng. 2009, 102, 321–333. [Google Scholar] [CrossRef]
- Yin, J.; Zhen, D.; Amor, V.M.; Wu, J.B.; Rasu, E. Forecast of short-term daily reference evapotranspiration under limited meteorological variables using a hybrid bi-directional long short-term memory model (Bi-LSTM). Agric. Water Manag. 2020, 242, 106386. [Google Scholar] [CrossRef]
- Liu, H.; Wei, Z.; Yin, C. Research on water demand rules and yield of multi-storey cropping herbage group under water stress conditions. Appl. Ecol. Env. Res. 2019, 17, 5813–5822. [Google Scholar] [CrossRef]
- Liu, M.G.; Wang, Z.K.; Mu, L.; Xu, R.; Yang, H.M. Effect of regulated deficit irrigation on alfalfa performance under two irrigation systems in the inland arid area of midwestern China. Agric. Water Manag. 2021, 248, 106764. [Google Scholar] [CrossRef]
- Jia, Q.; Shi, H.B.; Li, R.P.; Miao, Q.F.; Feng, Y.Y.; Wang, N.; Li, J.W. Evaporation of maize crop under mulch film and soil covered drip irrigation: Field assessment and modelling on West Liaohe Plain, China. Agric. Water Manag. 2021, 253, 106894. [Google Scholar] [CrossRef]
- Li, R.P.; Zhao, J.D.; Shi, H.B.; Wang, N.; Qi, Y.L.; Feng, Y.Y.; Jia, Q. Simulation of evapotranspiration of corn under mulched drip irrigation based on SIMDualKc model in Tongliao area of Inner Mongolia. Trans. Chin. Soc. Agric. Eng. 2018, 34, 127–134. [Google Scholar]
- Duan, C.; Chen, J.; Li, J.; Su, S.S.; Lei, Q.; Feng, H.; Wu, S.F.; Zhang, T.B.; Zou, Y.F. Biomaterial amendments combined with ridge–furrow mulching improve soil hydrothermal characteristics and wolfberry (Lycium barbarum L.) growth in the Qaidam Basin of China. Agric. Water Manag. 2022, 259, 107213. [Google Scholar] [CrossRef]
- Huo, G.; Zhao, X.; Gao, X.; Wang, S.; Pan, Y. Seasonal water use patterns of rainfed jujube trees in stands of different ages under semiarid Plantations in China. Agric. Ecosyst. Environ. 2018, 265, 392–401. [Google Scholar] [CrossRef]
- Huo, G.; Zhao, X.; Gao, X.; Wang, S. Seasonal effects of intercropping on tree water use strategies in semiarid plantations: Evidence from natural and labelling stable isotopes. Plant Soil 2020, 453, 229–243. [Google Scholar] [CrossRef]
- Wang, Z.; Wu, P.; Zhao, X.; Gao, Y.; Chen, X. Water use and crop coefficient of the wheat–maize strip intercropping system for an arid region in northwestern China. Agric. Water Manag. 2015, 161, 77–85. [Google Scholar] [CrossRef]
- Yue, P.; Zhang, Q.; Ren, X.; Yang, Z.; Li, H.; Yang, Y. Environmental and biophysical effects of evapotranspiration in semiarid grassland and maize cropland ecosystems over the summer monsoon transition zone of China. Agric. Water Manag. 2022, 264, 107462. [Google Scholar] [CrossRef]
- Zhou, S.; Hu, X.; Wang, W.; Zhang, Y. Water-saving and stable yield effects of regulation on soil wetted depth in different growth stage of spring maize. Trans. Chin. Soc. Agric. Eng. 2016, 32, 125–132. [Google Scholar]
- Nie, C.; Huang, Y.; Zhang, S.; Yang, Y.; Zhou, S.; Lin, C. Effects of soil water content on forest ecosystem water use efficiency through changes in transpiration/evapotranspiration ratio. Agric. Forest Meteorol. 2021, 308, 108605. [Google Scholar] [CrossRef]
- Tang, W.; Baskin, C.C.; Baskin, J.M.; Nan, Z. Plastic film mulching improves seed germination, seedling development and potential for perenniality of vicia unijuga under subalpine climate conditions. Crop Pasture Sci. 2020, 71, 592–609. [Google Scholar] [CrossRef]
- Ai, P.; Ma, Y.; Hai, Y. Influence of jujube/cotton intercropping on soil temperature and crop evapotranspiration in an arid area. Agric. Water Manag. 2021, 256, 107118. [Google Scholar] [CrossRef]
- Zhang, D.; Song, X.; Du, Q.; Jiao, X.; Li, J. Mechanism analysis and simulation of water transport driven by environmental factors for greenhouse muskmelon. Trans. Chin. Soc. Agric. Mach. 2017, 48, 232–239. [Google Scholar]
- Cao, Q.; Wang, Z.; Yang, X.; Shen, Y. The effects of cocksfoot cover crop on soil water balance, evapotranspiration partitioning, and system production in an apple orchard on the loess plateau of china-sciencedirect. Soil Till. Res. 2021, 205, 104788. [Google Scholar] [CrossRef]
- Rosa, R.D.; Paredes, P.; Rodrigues, G.C.; Alves, I.; Fernando, R.M.; Pereira, L.S.; Allen, R.G. Implementing the dual crop coefficient approach in interactive software. 1. Background and computational strategy. Agric. Water Manag. 2012, 103, 8–24. [Google Scholar] [CrossRef]
- Allen, R.G.; Pereira, L.S.; Smith, M.; Raes, D.; Wright, J.L. FAO-56 dual crop coefficient method for estimating evaporation from soil and application extensions. J. Irrig. Drain. Eng.-ASCE 2005, 131, 2–13. [Google Scholar] [CrossRef]











| Parameters | Initial | Calibrated | ||
|---|---|---|---|---|
| Wolfberry | Crop | Kcb ini | 0.15 | 0.25 | 
| Kcb mid | 1.1 | 0.9 | ||
| Kcb end | 0.7 | 0.6 | ||
| Pini | 0.45 | 0.45 | ||
| Pmid | 0.45 | 0.5 | ||
| Pend | 0.45 | 0.45 | ||
| Soil evaporation | TEW | 28 | 28 | |
| REW | 12 | 12 | ||
| Ze | 0.15 | 0.15 | ||
| Alfalfa | Crop | Kcb ini 1 | 0.3 | 0.4 | 
| Kcb mid 1 | 1.15 | 1.25 | ||
| Kcb end 1 | 1.1 | 1.2 | ||
| pini | 0.55 | 0.55 | ||
| pmid | 0.55 | 0.5 | ||
| pend | 0.55 | 0.55 | ||
| Soil evaporation | TEW | 28 | 28 | |
| REW | 12 | 12 | ||
| Ze | 0.15 | 0.15 | ||
| Year | Treatment | b | R2 | RMSE (m3·m−3) | dIA | EF | 
|---|---|---|---|---|---|---|
| 2019 (Calibration) | intercropping | 0.99 | 0.89 | 0.0267 | 0.92 | 0.70 | 
| monoculture | 0.99 | 0.88 | 0.0163 | 0.93 | 0.70 | |
| 2020 (Validation) | intercropping | 1.00 | 0.86 | 0.0193 | 0.92 | |
| monoculture | 0.98 | 0.87 | 0.0151 | 0.93 | 
| Year | Treatment | b | R2 | RMSE (mm) | dIA | EF | 
|---|---|---|---|---|---|---|
| 2019 (Calibration) | monoculture | 0.89 | 0.93 | 0.51 | 0.96 | 0.84 | 
| intercropping | 0.93 | 0.91 | 0.54 | 0.95 | 0.82 | |
| 2020 (Validation) | monoculture | 0.89 | 0.87 | 0.55 | 0.92 | |
| intercropping | 0.83 | 0.93 | 0.50 | 0.94 | 
| Treatment | Growth Stage | 2019 | 2020 | ||
|---|---|---|---|---|---|
| T (mm) | T/ET (%) | T (mm) | T/ET (%) | ||
| monoculture | germination stage | 32.634 | 23.85% | 32.75 | 25.94% | 
| spring shoot stage | 55.119 | 66.86% | 50.96 | 68.18% | |
| bloom stage | 97.839 | 76.65% | 105.75 | 71.66% | |
| initial fruit stage | 76.221 | 75.97% | 89.88 | 72.00% | |
| full fruit stage | 154.12 | 76.39% | 148.95 | 72.01% | |
| autumn fruit stage | 75.132 | 73.97% | 88.33 | 69.89% | |
| whole growth stage | 491.07 | 65.43% | 516.63 | 64.05% | |
| intercropping | germination stage | 52.56 | 37.37% | 42.66 | 36.36% | 
| spring shoot stage | 83.13 | 83.32% | 74.39 | 80.71% | |
| bloom stage | 113.32 | 81.98% | 127.4 | 82.11% | |
| initial fruit stage | 92.58 | 85.09% | 100.66 | 82.06% | |
| full fruit stage | 175.98 | 83.70% | 171.84 | 82.73% | |
| autumn fruit stage | 111.48 | 83.56% | 118.28 | 84.66% | |
| whole growth stage | 649.05 | 76.94% | 655.23 | 76.85% | |
| Layer | Depth (cm) | Field Capacity (cm3 cm−3) | Wilting Point (cm3 cm−3) | 
|---|---|---|---|
| 1 | 0–20 | 0.27 | 0.10 | 
| 2 | 20–40 | 0.23 | 0.10 | 
| 3 | 40–60 | 0.34 | 0.12 | 
| 4 | 60–80 | 0.36 | 0.14 | 
| 5 | 80–100 | 0.38 | 0.14 | 
| 6 | 100–120 | 0.37 | 0.14 | 
| Treatment | Monoculture | Intercropping | ||||||
|---|---|---|---|---|---|---|---|---|
| FI | MDI | MDI | SDI | FI | MDI | MDI | SDI | |
| Upper and lower bound for irrigation | 75–85%θfc | 65–75%θfc | 55–65%θfc | 45–55%θfc | 75–85%θfc | 65–75%θfc | 55–65%θfc | 45–55%θfc | 
| Number | DW1 | DW2 | DW3 | DW4 | JW1 | JW2 | JW3 | JW4 | 
| Disclaimer/Publisher’s Note: The statements, opinions and data contained in all publications are solely those of the individual author(s) and contributor(s) and not of MDPI and/or the editor(s). MDPI and/or the editor(s) disclaim responsibility for any injury to people or property resulting from any ideas, methods, instructions or products referred to in the content. | 
© 2024 by the authors. Licensee MDPI, Basel, Switzerland. This article is an open access article distributed under the terms and conditions of the Creative Commons Attribution (CC BY) license (https://creativecommons.org/licenses/by/4.0/).
Share and Cite
Wang, J.; Yin, M.; Duan, Y.; Wang, Y.; Ma, Y.; Wan, H.; Kang, Y.; Qi, G.; Jia, Q. Enhancing Water and Soil Resources Utilization via Wolfberry–Alfalfa Intercropping. Plants 2024, 13, 2374. https://doi.org/10.3390/plants13172374
Wang J, Yin M, Duan Y, Wang Y, Ma Y, Wan H, Kang Y, Qi G, Jia Q. Enhancing Water and Soil Resources Utilization via Wolfberry–Alfalfa Intercropping. Plants. 2024; 13(17):2374. https://doi.org/10.3390/plants13172374
Chicago/Turabian StyleWang, Jinghai, Minhua Yin, Yaya Duan, Yanbiao Wang, Yanlin Ma, Heng Wan, Yanxia Kang, Guangping Qi, and Qiong Jia. 2024. "Enhancing Water and Soil Resources Utilization via Wolfberry–Alfalfa Intercropping" Plants 13, no. 17: 2374. https://doi.org/10.3390/plants13172374
APA StyleWang, J., Yin, M., Duan, Y., Wang, Y., Ma, Y., Wan, H., Kang, Y., Qi, G., & Jia, Q. (2024). Enhancing Water and Soil Resources Utilization via Wolfberry–Alfalfa Intercropping. Plants, 13(17), 2374. https://doi.org/10.3390/plants13172374
 
        




 
       