Examining the Sensitivity of Satellite-Derived Vegetation Indices to Plant Drought Stress in Grasslands in Poland
Abstract
1. Introduction
2. Materials and Methods
2.1. Study Areas
2.2. Field Measurements
2.3. Satellite Data Acquisition
2.4. Meteorological Drought Assessment
- n—length of the preceding period in days;
- Pi—precipitation amount on the ith day (mm);
- Ti—daily average of the air temperature on the ith day (°C).
2.5. Vegetation Indices Calculations
2.6. Estimating Drought Response to VIs
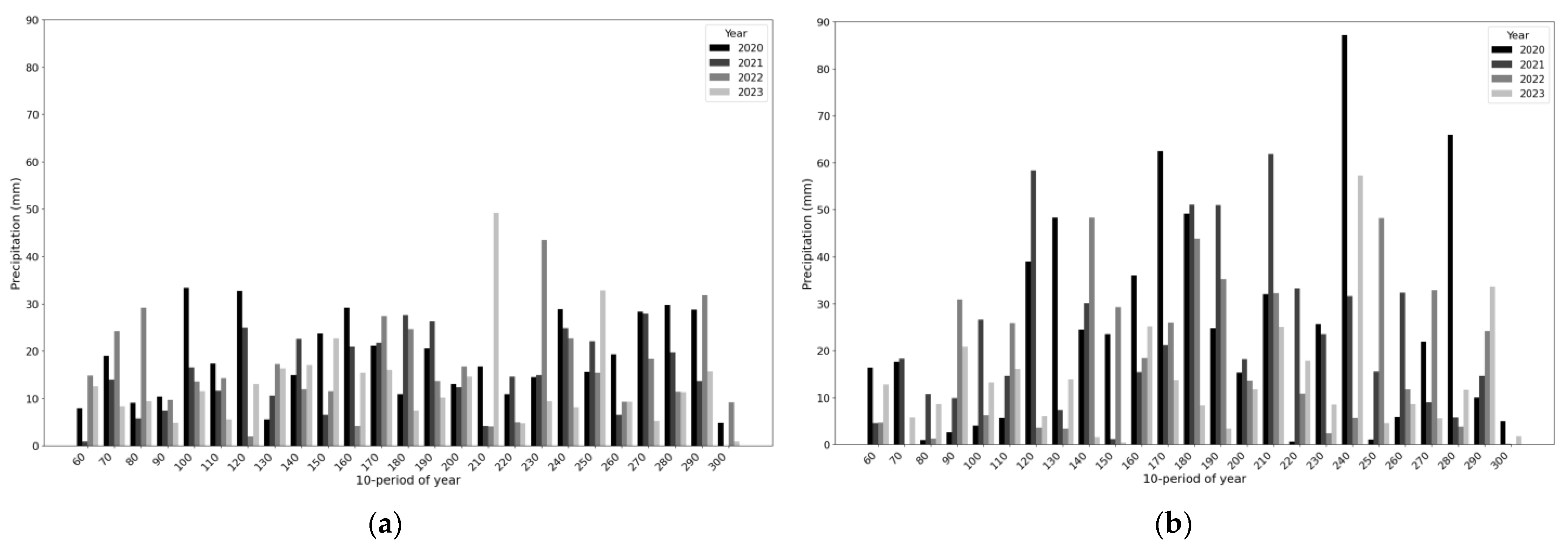
3. Results
4. Discussion
5. Conclusions
Author Contributions
Funding
Data Availability Statement
Acknowledgments
Conflicts of Interest
References
- Rhodes, D.; Nadolska-Orczyk, A. Plant Stress Physiology. In Encyclopedia of Life Sciences; John Wiley & Sons, Ltd.: Chichester, UK, 2001; pp. 1–7. [Google Scholar]
- Shabala, S. Plant Stress Physiology; CAB International: Oxford, UK; Oxford, MS, USA, 2012. [Google Scholar]
- De Santis, M.A.; Soccio, M.; Laus, M.N.; Flagella, Z. Influence of Drought and Salt Stress on Durum Wheat Grain Quality and Composition: A Review. Plants 2021, 10, 2599. [Google Scholar] [CrossRef]
- Dodd, J.L.; Lauenroth, W.K. Analysis of the Response of a Grassland Ecosystem to Stress. In Perspectives in Grassland Ecology. Ecological Studies, Vol 32; French, N.R., Ed.; Springer: New York, NY, USA, 1979. [Google Scholar] [CrossRef]
- Peltzer, D.A.; Wilson, S.D. Competition and Environmental Stress in Temperate Grasslands; CABI: Wallingford, UK, 2001; pp. 193–212. [Google Scholar] [CrossRef]
- Bengtsson, J.; Bullock, J.M.; Egoh, B.; Everson, T.; O’Connor, T.; O’Farrell, P.J.; Smith, H.G.; Lindborg, R. Grasslands—More important for ecosystem services than you might think. Ecosphere 2019, 10, e02582. [Google Scholar] [CrossRef]
- Amsten, K.; Cromsigt, J.P.G.M.; Kuijper, D.P.J.; Loberg, J.M.; Jung, J.; Strömgren, M.; Niklasson, M.; Churski, M. Pyric herbivory in a temperate European wood-pasture system. J. Appl. Ecol. 2024, 61, 1081–1094. [Google Scholar] [CrossRef]
- Naudts, K.; Van den Berge, J.; Farfan, E.; Rose, P.; AbdElgawad, H.; Ceulemans, R.; Janssens, I.A.; Asard, H.; Nijs, I. Future climate alleviates stress impact on grassland productivity through altered antioxidant capacity. Environ. Exp. Bot. 2014, 99, 150–158. [Google Scholar] [CrossRef]
- Li, S.; Lu, S.; Li, X.; Hou, X.; Zhao, X.; Xu, X.; Zhao, N. Effects of Spring Drought and Nitrogen Addition on Productivity and Community Composition of Degraded Grasslands. Plants 2023, 12, 2836. [Google Scholar] [CrossRef]
- Zhang, Y.; Wang, Z.; Wang, Q.; Yang, Y.; Bo, Y.; Xu, W.; Li, J. Comparative Assessment of Grassland Dynamic and Its Response to Drought Based on Multi-Index in the Mongolian Plateau. Plants 2022, 11, 310. [Google Scholar] [CrossRef] [PubMed]
- Tester, M.; Bacic, A. Abiotic stress tolerance in grasses. From model plants to crop plants. Plant Physiol. 2005, 137, 791–793. [Google Scholar] [CrossRef] [PubMed]
- Ramoelo, A.; Dzikiti, S.; van Deventer, H.; Maherry, A.; Cho, M.A.; Gush, M. Potential to monitor plant stress using remote sensing tools. J. Arid. Environ. 2015, 113, 134–144. [Google Scholar] [CrossRef]
- Awais, M.; Li, W.; Cheema, M.J.M.; Zaman, Q.U.; Shaheen, A.; Aslam, B.; Zhu, W.; Ajmal, M.; Faheem, M.; Hussain, S. UAV-based remote sensing in plant stress imagine using high-resolution thermal sensor for digital agriculture practices: A meta-review. Int. J. Environ. Sci. Technol. 2022, 20, 1135–1152. [Google Scholar] [CrossRef]
- Zhu, X.; Chen, X.; Ma, L.; Liu, W. UAV and Satellite Synergies for Mapping Grassland Aboveground Biomass in Hulunbuir Meadow Steppe. Plants 2024, 13, 1006. [Google Scholar] [CrossRef] [PubMed]
- Bannari, A.; Morin, D.; Bonn, F.; Huete, A.R. A review of vegetation indices. Remote Sens. Rev. 1995, 13, 95–120. [Google Scholar] [CrossRef]
- Cohen, W.B. Response of vegetation indices to changes in three measures of leaf water stress. Photogramm. Eng. Remote Sens. 1991, 57, 185–202. [Google Scholar]
- Baret, F.; Houlès, V.; Guérif, M. Quantification of plant stress using remote sensing observations and crop models: The case of nitrogen management. J. Exp. Bot. 2007, 58, 869–880. [Google Scholar] [CrossRef] [PubMed]
- Jones, H.G.; Schofield, P. Thermal and other remote sensing of plant stress. Gen. Appl. Plant Physiol. 2008, 34, 19–32. [Google Scholar]
- Barton, C. Advances in remote sensing of plant stress. Plant Soil 2012, 354, 41–44. [Google Scholar] [CrossRef]
- Adiri, Z.; Lhissou, R.; El Harti, A.; Jellouli, A.; Chakouri, M. Recent advances in the use of public domain satellite imagery for mineral exploration: A review of Landsat-8 and Sentinel-2 applications. Ore Geol. Rev. 2020, 117, 103332–103365. [Google Scholar] [CrossRef]
- Misra, G.; Cawkwell, F.; Wingler, A. Status of Phenological Research Using Sentinel-2 Data: A Review. Remote Sens. 2020, 12, 2760. [Google Scholar] [CrossRef]
- Phiri, D.; Simwanda, M.; Salekin, S.; Nyirenda, V.R.; Murayama, Y.; Ranagalage, M. Sentinel-2 Data for Land Cover/Use Mapping: A Review. Remote Sens. 2020, 12, 2291. [Google Scholar] [CrossRef]
- Du, Y.; Zhang, Y.; Ling, F.; Wang, Q.; Li, W.; Li, X. Water Bodies’ Mapping from Sentinel-2 Imagery with Modified Normalized Difference Water Index at 10-m Spatial Resolution Produced by Sharpening the SWIR Band. Remote Sens. 2016, 8, 354. [Google Scholar] [CrossRef]
- Segarra, J.; Buchaillot, M.L.; Araus, J.L.; Kefauver, S.C. Remote Sensing for Precision Agriculture: Sentinel-2 Improved Features and Applications. Agronomy 2020, 10, 641. [Google Scholar] [CrossRef]
- Spoto, F.; Sy, O.; Laberinti, P.; Martimort, P.; Fernandez, V.; Colin, O.; Hoersch, B.; Meygret, A. Overview of Sentinel-2. In Proceedings of the IEEE International Geoscience and Remote Sensing Symposium, Munich, Germany, 22–27 July 2012; pp. 1707–1710. [Google Scholar] [CrossRef]
- Tiede, D.; Sudmanns, M.; Augustin, H.; Baraldi, A. Investigating ESA Sentinel-2 products’ systematic cloud cover overestimation in very high altitude areas. Remote Sens. Environ. 2021, 252, 112163. [Google Scholar] [CrossRef]
- Konik, M.; Kowalewski, M.; Bradtke, K.; Darecki, M. The operational method of filling information gaps in satellite imagery using numerical models. Int. J. Appl. Earth Obs. Geoinf. 2019, 75, 68–82. [Google Scholar] [CrossRef]
- Paszkuta, M. Impact of cloud cover on local remote sensing—Piaśnica River case study. Oceanol. Hydrobiol. Stud. 2022, 51, 283–297. [Google Scholar] [CrossRef]
- Dembicz, I.; Kozub, Ł.; Bobrowska, I.; Dengler, J. Grasslands of the mineral islands in the Biebrza National Park, Poland. Palaearct. Grassl. 2020, 47, 43–51. [Google Scholar] [CrossRef]
- Gabryszuk, M.; Barszczewski, J.; Wróbel, B. Characteristics of grasslands and their use in Poland. J. Water Land Dev. 2021, 51, 243–249. [Google Scholar] [CrossRef]
- Górniak, A. Podlasie Voivodeship Climate during Global Warming; University of Bialystok Press: Białystok, Poland, 2021; ISBN 978-83-7431-694-1. (In Polish) [Google Scholar]
- Miler, A. Climate of the Wielkopolski National Park in the Period of 1848–2017. For. Lett. 2018, 111, 6–11. [Google Scholar]
- Przybylak, R.; Oliński, P.; Koprowski, M.; Filipiak, J.; Pospieszyńska, A.; Chorążyczewski, W.; Puchałka, R.; Dąbrowski, H.P. Droughts in the area of Poland in recent centuries in the light of multi-proxy data. Clim. Past 2020, 16, 627–661. [Google Scholar] [CrossRef]
- Pińskwar, I.; Choryński, A.; Kundzewicz, Z.W. Severe Drought in the Spring of 2020 in Poland—More of the Same? Agronomy 2020, 10, 1646. [Google Scholar] [CrossRef]
- Wojtasik, M.; Wiśniewski, P.; Loranc, L. Problems of soil erosion on example some communes of Kujawy-Pomerania and Wielkopolska provinces. Sci. Rev. Eng. Environ. Sci. 2008, 3, 41–49. [Google Scholar]
- Szymura, T.H.; Szymura, M. Spatial structure of grassland patches in Poland: Implications for nature conservation. Acta Soc. Bot. Pol. 2019, 88, 3615. [Google Scholar] [CrossRef]
- Gorelick, N.; Hancher, M.; Dixon, M.; Ilyushchenko, S.; Thau, D.; Moore, R. Google Earth Engine: Planetary-scale geospatial analysis for everyone. Remote Sens. Environ. 2017, 202, 18–27. [Google Scholar] [CrossRef]
- Muñoz-Sabater, J.; Dutra, E.; Agustí-Panareda, A.; Albergel, C.; Arduini, G.; Balsamo, G.; Boussetta, S.; Choulga, M.; Harrigan, S.; Hersbach, H.; et al. ERA5-Land: A state-of-the-art global reanalysis dataset for land applications. Earth Syst. Sci. Data 2021, 13, 4349–4383. [Google Scholar] [CrossRef]
- Nogueira, M.; Boussetta, S.; Balsamo, G.; Albergel, C.; Trigo, I.F.; Johannsen, F.; Miralles, D.G.; Dutra, E. Upgrading land-cover and vegetation seasonality in the ECMWF coupled system: Verification with FLUXNET sites, METEOSAT satellite land surface temperatures, and ERA5 atmospheric reanalysis. J. Geophys. Res. Atmos. 2021, 126, e2020JD034163. [Google Scholar] [CrossRef] [PubMed]
- Hersbach, H.; Bell, B.; Berrisford, P.; Hirahara, S.; Horányi, A.; Muñoz-Sabater, J.; Thépaut, J.N. The ERA5 global reanalysis. Q. J. R. Meteorol. Soc. 2020, 146, 1999–2049. [Google Scholar] [CrossRef]
- Lewak, S.; Kopcewicz, J. Introduction, Polish Scientific Publishers PWN. Plant Physiol. 2013, 2, 612–667. (In Polish) [Google Scholar]
- Selyaninov, G.T. About climate agricultural estimation. Proc. Agric. Meteorol. 1928, 20, 165–177. [Google Scholar]
- Cherenkova, E.; Kononova, N.; Muratova, N. Summer Drought 2010 in the European Russia. Geogr. Environ. Sustain. 2013, 6, 55–66. [Google Scholar] [CrossRef][Green Version]
- Dabrowska-Zielinska, K.; Bochenek, Z.; Malinska, A.; Bartold, M.; Gurdak, R.; Lagiewska, M.; Paradowski, K. Drought Assessment Applying Joined Meteorological and Satellite Data. In Proceedings of the 2021 IEEE International Geoscience and Remote Sensing Symposium IGARSS, Brussels, Belgium, 11–16 July 2021; pp. 6591–6594. [Google Scholar] [CrossRef]
- Rybashlykova, L.; Sivceva, S.; Mahovikova, T. Relationship between hydrothermal coefficient (HTC) and productivity of pastures in the arid zone of Northwestern Caspian Sea. J. Agrometeorol. 2023, 25, 454–457. [Google Scholar] [CrossRef]
- Vlăduţ, A.; Nikolova, N.; Licurici, M. Aridity assessment within southern Romania and northern Bulgaria. Croat. Geogr. Bull. 2017, 79, 5–26. [Google Scholar] [CrossRef]
- Rouse, J.W.; Haas, R.H.; Schell, J.A.; Deering, D.W. Monitoring Vegetation Systems in the Great Plains with E.R.T.S. In Proceedings of the 3rd Earth Resources Technology Satellite Symposium, Washington, DC, USA, 10–14 December 1973; pp. 309–317. [Google Scholar]
- Hardisky, M.; Klemas, V.; Smart, M. The influence of soil salinity, growth form, and leaf moisture on the spectral radiance of Spartina Alterniflora Canopies. Photogramm. Eng. Remote Sens. 1983, 49, 77–83. [Google Scholar]
- Gao, B.-C. NDWI—A normalized difference water index for remote sensing of vegetation liquid water from space. Remote Sens. Environ. 1996, 58, 257–266. [Google Scholar] [CrossRef]
- Gu, Y.; Brown, J.F.; Verdin, J.P.; Wardlow, B. A five-year analysis of MODIS NDVI and NDWI for grassland drought assessment over the central Great Plains of the United States. Geophys. Res. Lett. 2007, 34, L06407. [Google Scholar] [CrossRef]
- Jones, J.R.; Fleming, C.S.; Pavuluri, K.; Alley, M.M.; Reiter, M.S.; Thomason, W.E. Influence of soil, crop residue, and sensor orientations on NDVI readings. Precis. Agric. 2015, 16, 690–704. [Google Scholar] [CrossRef]
- Dabrowska-Zielinska, K.; Budzynska, M.; Tomaszewska, M.; Bartold, M.; Gatkowska, M. The study of multifrequency microwave satellite images for vegetation biomass and humidity of the area under Ramsar convention. In Proceedings of the 2015 IEEE International Geoscience and Remote Sensing Symposium (IGARSS), Milan, Italy, 26–31 July 2015; Volume 2015, pp. 5198–5200. [Google Scholar] [CrossRef]
- Yan, J.; Zhang, G.; Ling, H.; Han, F. Comparison of Time-Integrated NDVI and Annual Maximum NDVI for Assessing Grassland Dynamics. Ecol. Indic. 2022, 136, 108611. [Google Scholar] [CrossRef]
- Dusseux, P.; Guyet, T.; Pattier, P.; Barbier, V.; Nicolas, H. Monitoring of grassland productivity using Sentinel-2 remote sensing data. Int. J. Appl. Earth Obs. Geoinf. 2022, 111, 102843. [Google Scholar] [CrossRef]
- Andreatta, D.; Gianelle, D.; Scotton, M.; Vescovo, L.; Dalponte, M. Detection of Grassland Mowing Frequency Using Time Series of Vegetation Indices from Sentinel-2 Imagery. GISci. Remote Sens. 2022, 59, 481–500. [Google Scholar] [CrossRef]
- Davidson, A.; Wang, S.; Wilmshurst, J. Remote sensing of grassland–shrubland vegetation water content in the shortwave domain. Int. J. Appl. Earth Obs. Geoinf. 2006, 8, 225–236. [Google Scholar] [CrossRef]
- Ding, C.; Liu, X.N.; Huang, F.; Li, Y.; Zou, X.Y. Onset of drying and dormancy in relation to water dynamics of semi-arid grasslands from MODIS NDWI. Agric. For. Meteorol. 2017, 234, 22–30. [Google Scholar] [CrossRef]
- Biswas, T.; Ramsey, R.D.; Bissonette, J.A.; Symanzik, J. Integration of two spectral indices to monitor loss of moist grasslands within the Jaldapara Wildlife Sanctuary, India. Int. J. Remote Sens. 2014, 35, 1038–1063. [Google Scholar] [CrossRef]
- Chang, S.; Wu, B.; Yan, N.; Davdai, B.; Nasanbat, E. Suitability Assessment of Satellite-Derived Drought Indices for Mongolian Grassland. Remote Sens. 2017, 9, 650. [Google Scholar] [CrossRef]
- Svoboda, M.; Fuchs, B. Handbook of Drought Indicators and Indices; World Meteorological Organization (WMO): Geneva, Switzerland, 2016. [Google Scholar]
- Alahacoon, N.; Edirisinghe, M. A Comprehensive Assessment of Remote Sensing and Traditional Based Drought Monitoring Indices at Global and Regional Scale. Geomat. Nat. Hazards Risk 2022, 13, 762–799. [Google Scholar] [CrossRef]
- Shepherd, J.D.; Schindler, J.; Dymond, J.R. Automated Mosaicking of Sentinel-2 Satellite Imagery. Remote Sens. 2020, 12, 3680. [Google Scholar] [CrossRef]
- Sypniewska, L.; Szyga-Pluta, K. Zmienność czasowa i zróżnicowanie przestrzenne zachmurzenia w Polsce w latach 2001–2016. Bad. Fizjogr. 2018, IX, 193–213. (In Polish) [Google Scholar]
- Dabrowska-Zielinska, K.; Budzynska, M.; Kowalik, W.; Malek, I.; Gatkowska, M.; Bartold, M.; Turlej, K. Biophysical parameters assessed from microwave and optical data. Int. J. Electron. Telecom. 2012, 58, 99–104. [Google Scholar] [CrossRef]
- Budzynska, M.; Dabrowska-Zielinska, K.; Tomaszewska, M.; Bartold, M.; Gatkowska, M. Studies on carbon exchange in grassland areas. Grassl. Sci. Pol. 2015, 18, 47–58. (In Polish) [Google Scholar]
- Artikanur, S.D.; Widiatmaka; Setiawan, Y.; Marimin. Normalized Difference Drought Index (NDDI) computation for mapping drought severity in Bojonegoro Regency, East Java, Indonesia. IOP Conf. Ser. Earth Environ. Sci. 2022, 1109, 012027. [Google Scholar] [CrossRef]
- Patil, P.; Jagtap, M.; Khatri, N.; Madan, H.; Vadduri, A.; Patodia, T. Exploration and advancement of NDDI leveraging NDVI and NDWI in Indian semi-arid regions: A remote sensing-based study. Case Stud. Chem. Environ. Eng. 2024, 9, 100573. [Google Scholar] [CrossRef]
- Jankowska-Huflejt, H. The need of protecting permanent grasslands as a premise for the development of organic meadow farms. J. Res. Appl. Agric. Eng. 2016, 61, 186–192. [Google Scholar]
- Dabrowska-Zielinska, K.; Budzynska, M.; Gatkowska, M.; Kowalik, W.; Bartold, M.; Kiryla, W. Importance of grasslands monitoring applying optical and radar satellite data in perspective of changing climate. In Proceedings of the 2017 IEEE International Geoscience and Remote Sensing Symposium (IGARSS), Fort Worth, TX, USA, 23 July 2017; pp. 5782–5785. [Google Scholar] [CrossRef]
- Medyńska-Gulij, B.; Szoszkiewicz, K.; Cybulski, P. Permanent areas and changes in forests, grasslands, and wetlands in the North European Plain since the eighteenth century—A case study of the Kościan Plain in Poland. Sci. Rep. 2024, 14, 10305. [Google Scholar] [CrossRef]
- Dabrowska-Zielinska, K.; Malinska, A.; Bochenek, Z.; Bartold, M.; Gurdak, R.; Paradowski, K.; Lagiewska, M. Drought Model DISS Based on the Fusion of Satellite and Meteorological Data under Variable Climatic Conditions. Remote Sens. 2020, 12, 2944. [Google Scholar] [CrossRef]
- Iizuka, K.; Kato, T.; Silsigia, S.; Soufiningrum, A.Y.; Kozan, O. Estimating and Examining the Sensitivity of Different Vegetation Indices to Fractions of Vegetation Cover at Different Scaling Grids for Early Stage Acacia Plantation Forests Using a Fixed-Wing UAS. Remote Sens. 2019, 11, 1816. [Google Scholar] [CrossRef]
- Luna, D.A.; Pottier, J.; Picon-Cochard, C. Variability and drivers of grassland sensitivity to drought at different timescales using satellite image time series. Agric. For. Meteorol. 2023, 331, 109325. [Google Scholar] [CrossRef]
- Fang, J.; Shi, G.; Wei, S.; Ma, J.; Zhang, X.; Wang, J.; Chen, L.; Liu, Y.; Zhao, X.; Lu, Z. Drought Sensitivity of Spring Wheat Cultivars Shapes Rhizosphere Microbial Community Patterns in Response to Drought. Plants 2023, 12, 3650. [Google Scholar] [CrossRef] [PubMed]
- Wardlow, B.; Anderson, M.; Hain, C.; Crow, W.; Otkin, J.; Tadesse, T.; AghaKouchak, A. Advancements in Satellite Remote Sensing for Drought Monitoring; CRC Press: Boca Raton, FL, USA, 2017; ISBN 9781315265551. [Google Scholar] [CrossRef]











| Year | Wielkopolskie | Podlaskie |
|---|---|---|
| 2020 | 16.06, 22–23.06, 30.06, 15.07, 18.07, 06.08, 12–13.08, 23.08, 09–10.09, 17.09, 24.09 | 06–08.07, 28–29.07, 18–20.08, 30.09, 01.10 |
| 2021 | 24.04, 26.04, 08.05, 10.05, 21.05, 04–05.06, 17.06, 21.06, 02–03.07, 17.07, 29.07, 31.07, 02.08, 21–22.08, 04.09, 06.09, 19.09, 23.09 | 10–11.05, 09–10.06, 29–30.06, 26–27.07, 23–24.08 |
| 2022 | 22.04, 30.04, 07.05, 20.05, 22–23.05, 27.05, 18.06, 25.06, 08.07, 20.07, 24.07, 06–07.08, 25.08, 28–29.09 | 10–11.05, 22–23.06, 27–28.07 |
| 2023 | 29.04, 02.05, 12.05, 21.05, 17.06, 24.06, 09.07, 16.07, 27.07, 05.08, 13.08, 26–27.08, 10.09, 23–24.09 | 19–20.04, 24–25.05, 05–06.07 |
| Year | Wielkopolskie | Podlaskie |
|---|---|---|
| 2020 | 108 | 60 |
| 2021 | 97 | 48 |
| 2022 | 107 | 45 |
| 2023 | 100 | 59 |
| Short Name | Full Name | Formula | Authors |
|---|---|---|---|
| NDVI | Normalized Difference Vegetation Index | Rouse et al., 1973 [47] | |
| NDII | Normalized Difference Infrared Index | Hardisky et al., 1983 [48] | |
| NDWI | Normalized Difference Water Index | Gao, 1996 [49] | |
| NDDI | Normalized Difference Drought Index | Gu et al., 2007 [50] |
Disclaimer/Publisher’s Note: The statements, opinions and data contained in all publications are solely those of the individual author(s) and contributor(s) and not of MDPI and/or the editor(s). MDPI and/or the editor(s) disclaim responsibility for any injury to people or property resulting from any ideas, methods, instructions or products referred to in the content. |
© 2024 by the authors. Licensee MDPI, Basel, Switzerland. This article is an open access article distributed under the terms and conditions of the Creative Commons Attribution (CC BY) license (https://creativecommons.org/licenses/by/4.0/).
Share and Cite
Bartold, M.; Wróblewski, K.; Kluczek, M.; Dąbrowska-Zielińska, K.; Goliński, P. Examining the Sensitivity of Satellite-Derived Vegetation Indices to Plant Drought Stress in Grasslands in Poland. Plants 2024, 13, 2319. https://doi.org/10.3390/plants13162319
Bartold M, Wróblewski K, Kluczek M, Dąbrowska-Zielińska K, Goliński P. Examining the Sensitivity of Satellite-Derived Vegetation Indices to Plant Drought Stress in Grasslands in Poland. Plants. 2024; 13(16):2319. https://doi.org/10.3390/plants13162319
Chicago/Turabian StyleBartold, Maciej, Konrad Wróblewski, Marcin Kluczek, Katarzyna Dąbrowska-Zielińska, and Piotr Goliński. 2024. "Examining the Sensitivity of Satellite-Derived Vegetation Indices to Plant Drought Stress in Grasslands in Poland" Plants 13, no. 16: 2319. https://doi.org/10.3390/plants13162319
APA StyleBartold, M., Wróblewski, K., Kluczek, M., Dąbrowska-Zielińska, K., & Goliński, P. (2024). Examining the Sensitivity of Satellite-Derived Vegetation Indices to Plant Drought Stress in Grasslands in Poland. Plants, 13(16), 2319. https://doi.org/10.3390/plants13162319

