Stigma and Glume Characteristics Synergistically Determine the Stigma Exsertion Rate in Thermo-Photo-Sensitive Genic Male Sterile Wheat
Abstract
1. Introduction
2. Results
2.1. Assessment of Sterility and Stigma Exsertion of TPSGMS Lines
2.2. Floral Architecture, Especially Stigma Structure
2.3. The Glume Characteristics of the Sterile Line
2.4. Differences of Floral Structure between Florets with and without Stigma Exsertion in K41S and K64S
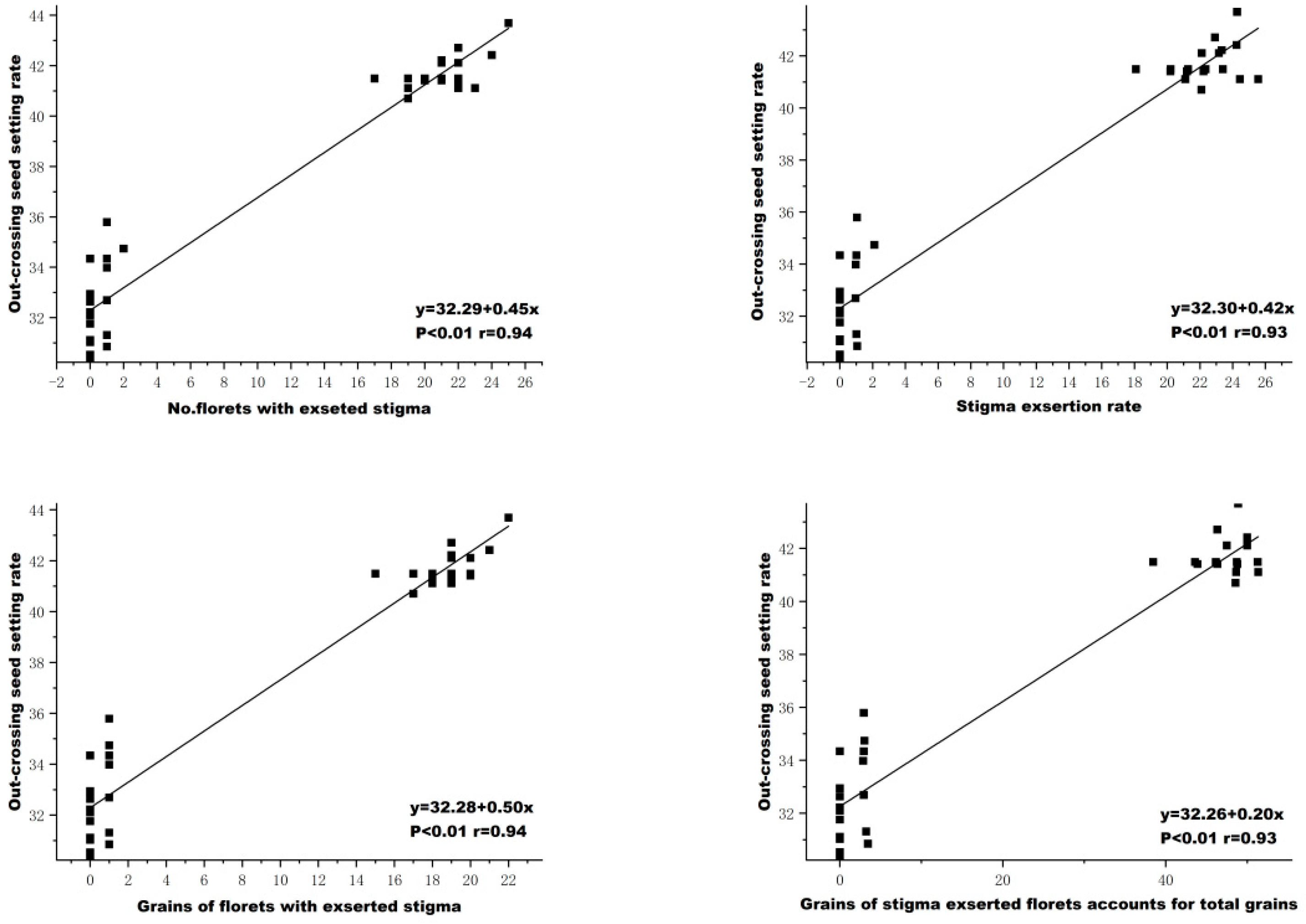
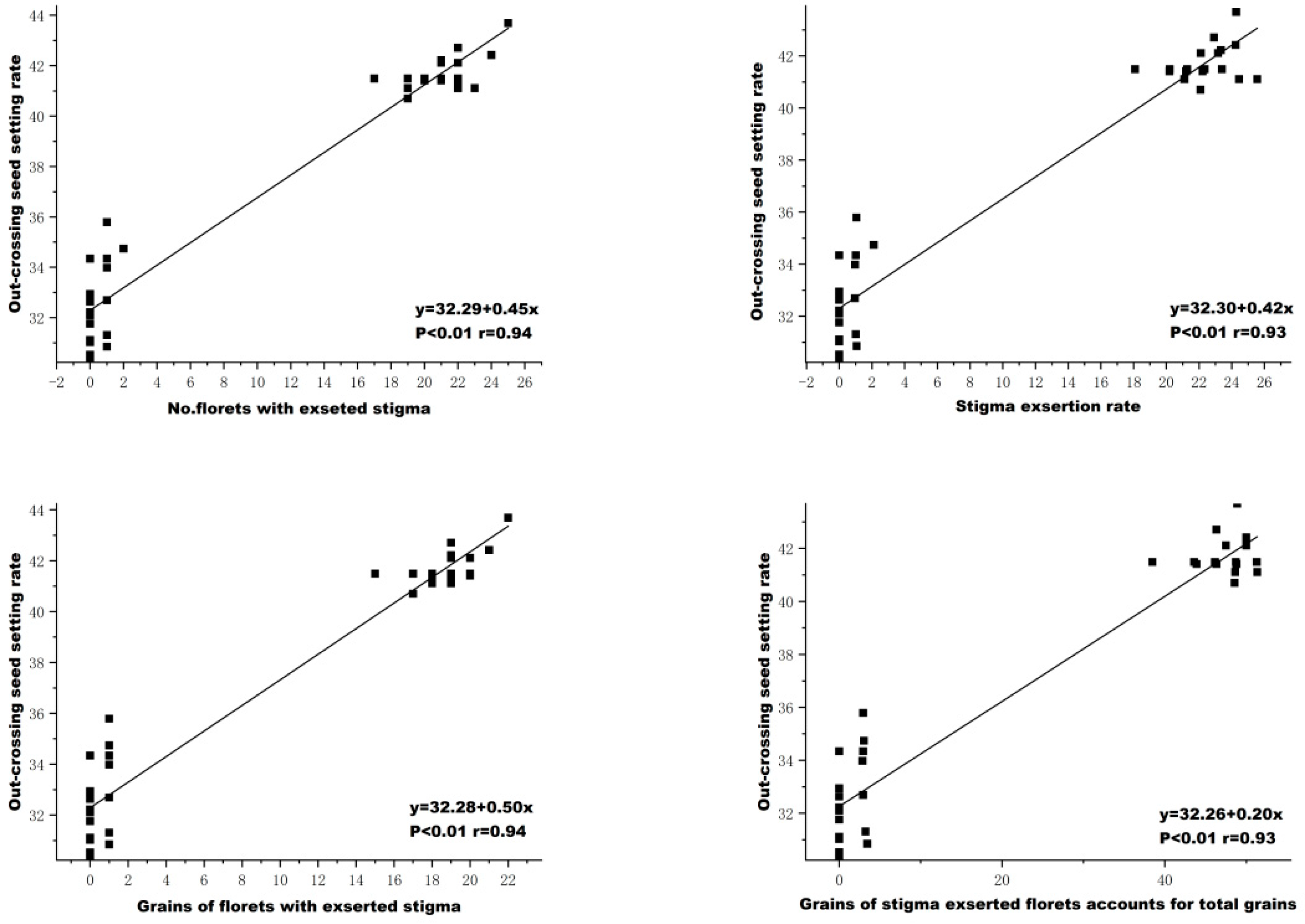
2.5. The Relationships among the OSSR with Other Attributes
3. Discussion
4. Materials and Method
4.1. Wheat Materials
4.2. Planting of Wheat Materials
4.3. Sterility Evaluation of Sterile Lines
4.4. Measurement of Stigma and Glume Traits
4.5. Survey of Out-Crossing Ability in Four Sterile Line
4.6. Statistical Analyses
5. Conclusions
Author Contributions
Funding
Data Availability Statement
Acknowledgments
Conflicts of Interest
Abbreviations
References
- Ray, D.K.; Mueller, N.D.; West, P.C.; Foley, J.A. Yield Trends Are Insufficient to Double Global Crop Production by 2050. PLoS ONE 2013, 8, e66428. [Google Scholar] [CrossRef]
- Inoue, Y.; Vy, T.T.P.; Yoshida, K.; Asano, H.; Mitsuoka, C.; Asuke, S.; Anh, V.L.; Cumagun, C.J.R.; Chuma, I.; Terauchi, R.; et al. Evolution of the wheat blast fungus through functional losses in a host specificity determinant. Science 2017, 357, 80–83. [Google Scholar] [CrossRef] [PubMed]
- Ray, D.K.; Ramankutty, N.; Mueller, N.D.; West, P.C.; Foley, J.A. Recent patterns of crop yield growth and stagnation. Nat. Commun. 2012, 3, 1293. [Google Scholar] [CrossRef]
- Longin, C.F.H.; Gowda, M.; Mühleisen, J.; Ebmeyer, E.; Kazman, E.; Schachschneider, R.; Schacht, J.; Kirchhoff, M.; Zhao, Y.; Reif, J.C. Hybrid wheat: Quantitative genetic parameters and consequences for the design of breeding programs. Theor. Appl. Genet. 2013, 126, 2791–2801. [Google Scholar] [CrossRef]
- Mühleisen, J.; Piepho, H.P.; Maurer, H.P.; Longin, C.F.H.; Reif, J.C. Yield stability of hybrids versus lines in wheat, barley, and triticale. Theor. Appl. Genet. 2014, 127, 309–316. [Google Scholar] [CrossRef]
- Zhao, C. Research progress and prospects of two-line hybrid wheat in China. Chin. Sci. Bull. 2022, 67, 3119–3128. (In Chinese) [Google Scholar] [CrossRef]
- Adhikari, A.; Ibrahim, A.M.; Rudd, J.C.; Baenziger, P.S.; Sarazin, J.B. Estimation of heterosis and combining abilities of U.S. winter wheat germplasm for hybrid development in Texas. Crop Sci. 2020, 60, 788–803. [Google Scholar] [CrossRef]
- Easterly, A.C.; Garst, N.; Belamkar, V.; Ibrahim, A.M.; Rudd, J.C.; Sarazin, J.B.; Baenziger, P.S. Evaluation of hybrid wheat yield in Nebraska. Crop Sci. 2020, 60, 1210–1222. [Google Scholar] [CrossRef]
- Gupta, P.K.; Balyan, H.S.; Gahlaut, V.; Saripalli, G.; Pal, B.; Basnet, B.R.; Joshi, A.K. Hybrid wheat: Past, present and future. Theor. Appl. Genet. 2019, 132, 2463–2483. [Google Scholar] [CrossRef]
- Li, S.; Ding, M.; Li, H.; Liu, K.; Yang, Z.; Gu, J.; Yang, M. Research progress and reflection of two-line hybrid wheat based on thermo-photo sensitive genic male sterility in Yunnan. Chin. Sci. Bull. 2022, 67, 3197–3206. [Google Scholar] [CrossRef]
- Gao, J.; Yang, W.; Zhang, F. Progress of Research on Industrialized Technology of Two-line Hybrid Wheat. J. Shanxi Agric. Sci. 2022, 50, 1229–1232. (In Chinese) [Google Scholar]
- Luo, J.; Liu, Z.; Ren, Y.; Tao, J.; Xiao, Z.; Rao, S.; Tian, N.; Zheng, J.; Liu, P.; Deng, Q.; et al. Progress in hybrid wheat research in Sichuan and future prospects. Chin. Sci. Bull. 2022, 67, 3185–3196. (In Chinese) [Google Scholar] [CrossRef]
- Whitford, R.; Fleury, D.; Reif, J.C.; Garcia, M.; Okada, T.; Korzun, V.; Langridge, P. Hybrid breeding in wheat: Technologies to improve hybrid wheat seed production. J. Exp. Bot. 2013, 64, 5411–5428. [Google Scholar] [CrossRef]
- Selva, C.; Riboni, M.; Baumann, U.; Würschum, T.; Whitford, R.; Tucker, M.R. Hybrid breeding in wheat: How shaping floral biology can offer new perspectives. Funct. Plant Biol. 2020, 47, 675–694. [Google Scholar] [CrossRef] [PubMed]
- Martín, A.; Castillo, A.; Atienza, S.; Rodríguez-Suárez, C. A cytoplasmic male sterility (CMS) system in durum wheat. Mol. Breed. 2018, 38, 90. [Google Scholar] [CrossRef]
- Melonek, J.; Duarte, J.; Martin, J.; Beuf, L.; Murigneux, A.; Varenne, P.; Comadran, J.; Specel, S.; Levadoux, S.; Bernath-Levin, K. The genetic basis of cytoplasmic male sterility and fertility restoration in wheat. Nat. Commun. 2021, 12, 1036. [Google Scholar] [CrossRef]
- Gautam, R.; Shukla, P.; Kirti, P. Male sterility in plants: An overview of advancements from natural CMS to genetically manipulated systems for hybrid seed production. Theor. Appl. Genet. 2023, 136, 195. [Google Scholar] [CrossRef]
- Hamad, H.S.; Ghazy, M.I.; Bleih, E.M.; Gewaily, E.E.; Gaballah, M.M.; Alqahtani, M.M.; Safhi, F.A.; ALshamrani, S.M.; Mansour, E. Evaluation of advanced mutant restorer lines for enhancing outcrossing rate and hybrid seed production of diverse rice cytoplasmic male sterile lines. Agronomy 2022, 12, 2875. [Google Scholar] [CrossRef]
- Zhang, A.; Nie, X.; Liu, D.; Guo, X. Advances of hybrid wheat breeding in China. Cereal Res. Commun. 2001, 29, 343–350. [Google Scholar] [CrossRef]
- Longin, C.F.H.; Mühleisen, J.; Maurer, H.P.; Zhang, H.; Gowda, M.; Reif, J.C. Hybrid breeding in autogamous cereals. Theor. Appl. Genet. 2012, 125, 1087–1096. [Google Scholar] [CrossRef]
- El Hanafi, S.; Cherkaoui, S.; Kehel, Z.; Sanchez-Garcia, M.; Sarazin, J.B.; Baenziger, S.; Tadesse, W. Hybrid Seed Set in Relation with Male Floral Traits, Estimation of Heterosis and Combining Abilities for Yield and Its Components in Wheat (Triticum aestivum L.). Plants 2022, 11, 508. [Google Scholar] [CrossRef]
- Murai, K. Comparison of two fertility restoration systems against photoperiod-sensitive cytoplasmic male sterility in wheat. Plant Breed. 2002, 121, 363–365. [Google Scholar] [CrossRef]
- Murai, K. Hybrid wheat breeding using photoperiod-sensitive cytoplasmic male sterility (PCMS) caused by Aegilops crassa cytoplasm. Cytologia 2023, 88, 197–202. [Google Scholar] [CrossRef]
- Zhou, K.; Wang, S.; Feng, Y.; Liu, Z.; Wang, G. The 4E-ms System of Producing Hybrid Wheat. Crop Sci. 2006, 46, 250–255. [Google Scholar] [CrossRef]
- Li, J.; Zhou, K.; Wang, Z.; Zhou, J.; Deng, X. Research progress, problems, and prospects in hybrid wheat seed production technology based on recessive nuclear genetic male sterile lines. Chin. Sci. Bull. 2022, 67, 3140–3151. (In Chinese) [Google Scholar] [CrossRef]
- Zhao, C.; Ma, J.; Gao, J.; Liao, X.; Ye, Z.; Chen, X.; Yang, W.; Zhang, F.T. Research and utilization of mixed seed production technology for two-line hybrid wheat. Chin. Sci. Bull. 2022, 67, 3233–3240. (In Chinese) [Google Scholar] [CrossRef]
- Wang, M.; Chen, M.; Huang, Z.; Zhou, H.; Liu, Z. Advances on the study of diurnal flower-opening times of rice. Int. J. Mol. Sci. 2023, 24, 10654. [Google Scholar] [CrossRef]
- Li, H.; Li, S.; Zhao, H. Effects of glume opening and stigma exertion on outcrossing seed-setting of wheat thermo-photo-sensitive genic male sterile lines. J. Triticeae Crops 2015, 35, 1671–1675. (In Chinese) [Google Scholar]
- Yang, W.; Gao, J.; Sun, H.; Liang, Y.; Zhang, F.; Zhao, C.; Qin, Z. Characteristic of Glume Opening and Stigma Exsertion and Their Effects on Outcrossing Seed Setting Rate in Photo-thermo Sensitive Genic Male Sterile Lines of Wheat. J. Triticeae Crops 2022, 42, 932–937. (In Chinese) [Google Scholar]
- Kato, H.; Namai, H. Floral Characteristcs and Environmental Factors for Increasing Natural Outcrossing Rate for F1 Hybrid Seed Production of Rice Oryza sativa L. Breed. Sci. 1987, 37, 318–330. [Google Scholar] [CrossRef]
- Marathi, B.; Jena, K.K. Floral traits to enhance outcrossing for higher hybrid seed production in rice: Present status and future prospects. Euphytica 2014, 201, 1–14. [Google Scholar] [CrossRef]
- Zhou, H.; Li, P.; Xie, W.; Hussain, S.; Li, Y.; Xia, D.; Zhao, H.; Sun, S.; Chen, J.; Ye, H.; et al. Genome-wide Association Analyses Reveal the Genetic Basis of Stigma Exsertion in Rice. Mol. Plant 2017, 10, 634–644. [Google Scholar] [CrossRef] [PubMed]
- Bakti, C.; Tanaka, J. Detection of dominant QTLs for stigma exsertion ratio in rice derived from Oryza rufipogon accession ‘W0120’. Breed. Sci. 2019, 69, 143–150. [Google Scholar] [CrossRef]
- Xu, M.; Tang, D.; Cheng, X.; Zhang, J.; Tang, Y.; Tao, Q.; Shi, W.; You, A.; Gu, M.-H.; Cheng, Z.; et al. OsPINOID Regulates Stigma and Ovule Initiation through Maintenance of the Floral Meristem by Auxin Signaling1. Plant Physiol. 2019, 180, 952–965. [Google Scholar] [CrossRef] [PubMed]
- Li, Y.F.; Zhao, C.P.; Zhang, F.T.; Sun, H.; Sun, D. Fertility alteration in the photo-thermo-sensitive male sterile line BS20 of wheat (Triticum aestivum L.). Euphytica 2006, 151, 207–213. [Google Scholar] [CrossRef]
- Li, H.; Li, S.; Abdelkhalik, S.; Shahzad, A.; Gu, J.; Yang, Z.; Ding, M.; Liu, K.; Zhao, H.; Yang, M. Development of thermo-photo sensitive genic male sterile lines in wheat using doubled haploid breeding. BMC Plant Biol. 2020, 20, 246. [Google Scholar] [CrossRef] [PubMed]
- Zhao, C.P. Research and application of hybrid wheat in China. Eng. Sci. 2013, 11, 19–21. [Google Scholar]
- Gu, J.; Yang, M.; Tian, Y.; Li, S.; Zhou, J.; Liu, K.; Yang, H.; Li, Z.; Shi, X.; Yang, S. Breeding of thermo-photo-sensitive genic male sterile wheat adapted to plateau climates and studies on their fertility in Yunnan. Southwest China J. Agric. Sci. 2002, 15, 5–8. (In Chinese) [Google Scholar]
- Yang, B.H. Studies on Stigma Exsertion Rate and Outcrossing Rate of CMS Lines in Rice. Hybrid Rice 1997, 12, 13–15. (In Chinese) [Google Scholar]
- Tian, D.C.; Huang, S.K.; Duan, Y.G.; Wang, Y.H. The Relationship between Flowering and Pollination Time and Outcrossing Rate of Male Sterile Lines in Hybrid Rice Seed Production. Hybrid Rice 2004, 19, 50–54. (In Chinese) [Google Scholar]
- Takano-Kai, N.; Doi, K.; Yoshimura, A. GS3 participates in stigma exsertion as well as seed length in rice. Breed. Sci. 2011, 61, 244–250. [Google Scholar] [CrossRef]
- Jiang, J.; Xu, L.; Xiao, M.; Hu, C.; Zhang, Y.; Wang, D.; Dang, X. Genetic analysis and QTLs identification of stigma traits in japonica rice (Oryza sativa L.). Euphytica 2021, 217, 82. [Google Scholar] [CrossRef]
- Liu, Y.; Fu, D.; Kong, D.; Ma, X.; Zhang, A.; Wang, F.; Wang, L.; Xia, H.; Liu, G.; Yu, X.; et al. Linkage mapping and association analysis to identify a reliable QTL for stigma exsertion rate in rice. Front. Plant Sci. 2022, 13, 982240. [Google Scholar] [CrossRef]
- Tan, Q.; Chen, S.; Gan, Z.; Lu, Q.; Yan, Z.; Chen, G.; Lin, S.; Yang, W.; Zhao, J.; Ba, Y.; et al. Grain shape is a factor affecting the stigma exsertion rate in rice. Front. Plant Sci. 2023, 14, 1087285. [Google Scholar] [CrossRef]
- Sidharthan, B.; Thiyagarajan, K.; Manonmani, S. Cytoplasmic male sterile lines for hybrid rice production. J. Appl. Sci. Res. 2007, 3, 935–937. [Google Scholar]
- Singh, R.; Singh, B.P.N.; Sahoo, S.; Srivastava, R.P. Genetic Analysis of Cyto-sterile Lines in Rice (Oryza sativa L.). Int. J. Sci. Res. 2014, 3, 293–296. [Google Scholar]
- Ting, Y.; Zhang, L.; Li, z.; Song, W.; Liu, S.; Zhang, Z. Genetic Analysis of Floral Characters in A DH Population Derived from An indica/japonica Cross of Rice. J. Wuhan Bot. Res. 2003, 21, 459–463. (In Chinese) [Google Scholar]
- Srivastava, R.; Singh, R.; Singh, B.P.N.; Sahoo, S.K.; Singh, M.K. Heritability, genetic advance and correlation studies of cross pollination in CMS lines of rice influenced with floral traitst. J. Pharmacogn. Phytochem. 2018, 7, 8–12. [Google Scholar]
- Bangzhi, S.; Wenqiang, C.; Leliang, Z.; Xiang, W.; Yun, H. The Relationship between Flowering Habit and Outcrossing Seed Setting Rate of G98A(a Rice CMS) under Different Ecological Conditions. Guizhou Agric. Sci. 2009, 1, 1–3. (In Chinese) [Google Scholar]
- Wu, C.; Cui, K.; Hu, Q.; Wang, W.; Nie, L.; Huang, J.; Peng, S.J.T.C.J. Enclosed stigma contributes to higher spikelet fertility for rice (Oryza sativa L.) subjected to heat stress. Crop J. 2019, 7, 334–349. [Google Scholar] [CrossRef]
- ElShamey, E.A.Z.; Hamad, H.S.; Alshallash, K.S.; Alghuthaymi, M.A.; Ghazy, M.I.; Sakran, R.M.; Selim, M.E.; ElSayed, M.A.; Abdelmegeed, T.M.; Okasha, S.A.; et al. Growth Regulators Improve Outcrossing Rate of Diverse Rice Cytoplasmic Male Sterile Lines through Affecting Floral Traits. Plants 2022, 11, 1291. [Google Scholar] [CrossRef] [PubMed]
- Hamad, H.S.; Bleih, E.M.; Gewaily, E.E.; Abou Elataa, A.E.; El Sherbiny, H.A.; Abdelhameid, N.M.; Rehan, M. Cyanobacteria Application Ameliorates Floral Traits and Outcrossing Rate in Diverse Rice Cytoplasmic Male Sterile Lines. Plants 2022, 11, 3411. [Google Scholar] [CrossRef] [PubMed]
- Chen, Y.; Shahid, M.Q.; Wu, J.; Deng, R.; Chen, Z.; Wang, L.; Liu, G.; Zhou, H.; Liu, X. Thermo-Sensitive Genic Male Sterile Lines of Neo-Tetraploid Rice Developed through Gene Editing Technology Revealed High Levels of Hybrid Vigor. Plants 2022, 11, 1390. [Google Scholar] [CrossRef]
- IBM Corp. Released 2015. IBM SPSS Statistics for Windows, Version 23.0; IBM Corp.: Armonk, NY, USA, 2015. [Google Scholar]








| Sterile Lines | TFN | FESN | SER |
|---|---|---|---|
| K41S | 92.10 ± 3.60 b† | 20.10 ± 1.73 b | 21.87 ± 2.20 a |
| K64S | 96.40 ± 3.66 a | 22.00 ± 1.49 a | 22.81 ± 1.09 a |
| K66S | 87.00 ± 3.83 c | 0.00 c | 0.00 b |
| K68S | 98.20 ± 3.46 a | 0.80 ± 0.63 c | 0.82 ± 0.66 b |
| Triats | SL | SBA | SSW | SHBL | SER |
|---|---|---|---|---|---|
| Stigma length (SL) | 1.00 | 0.76 ** | 0.74 ** | 0.68 ** | 0.46 * |
| Stigma branch angle (SBA) | 0.76 ** | 1.00 | 0.83 ** | 0.83 ** | 0.09 |
| Stigma stretch width (SSW) | 0.74 ** | 0.83 ** | 1.00 | 0.57 ** | 0.27 |
| Stigma hairbrush length (HBL) | 0.68 ** | 0.84 ** | 0.57 ** | 1.00 | 0.21 |
| Stigma exsertion rate (SER) | 0.46 * | 0.09 | 0.27 | 0.21 | 1.00 |
| Triats | GLW | GLL | GLL/GLW | SER |
|---|---|---|---|---|
| Glume width (GLW) | 1.00 | 0.40 | −0.67 ** | −0.46 * |
| Glume length (GLL) | 0.40 | 1.00 | 0.41 | 0.20 |
| Length-width ratio of glume (GLL/GLW) | −0.67 ** | 0.41 | 1.00 | 0.60 ** |
| Stigma exsertion rate (SER) | −0.46 * | 0.20 | 0.60 ** | 1.00 |
| Lines | Stigma Status | SBA | SSW | HBL | SL | GLW | GLL |
|---|---|---|---|---|---|---|---|
| K64S | Florets with exserted stigma | 123.26 ± 7.94 b | 6.56 ± 1.02 b | 0.92 ± 0.16 a | 4.26 ± 0.69 a | 3.60 ± 0.19 a | 11.82 ± 0.16 a |
| Florets without exserted stigma | 96.34 ± 6.79 a | 5.52 ± 0.86 a | 0.91 ± 0.13 a | 4.25 ± 0.52 a | 3.58 ± 0.11 a | 11.79 ± 0.13 a | |
| K41S | Florets with exserted stigma | 107.26 ± 6.83 b | 5.34 ± 1.11 b | 0.91 ± 0.10 a | 3.92 ± 0.41 a | 3.49 ± 0.22 a | 11.37 ± 0.19 a |
| Florets without exserted stigma | 81.24 ± 5.66 a | 4.13 ± 0.89 a | 0.91 ± 0.09 a | 3.91 ± 0.33 a | 3.49 ± 0.20 a | 11.36 ± 0.21 a |
| Lines | K41S | K64S | K66S | K68S |
|---|---|---|---|---|
| TFN | 92.10 ± 3.60 b | 96.40 ± 3.66 c | 87.00 ± 3.83 a | 98.20 ± 3.46 c |
| THG | 38.10 ± 1.66 c | 40.60 ± 1.96 d | 27.30 ± 1.16 a | 32.90 ± 1.91 b |
| OSSR | 41.37 ± 0.49 c | 42.11 ± 0.72 c | 31.38 ± 0.91 a | 33.50 ± 1.58 b |
| GSE | 17.80 ± 1.73 b | 19.70 ± 1.49 c | 0.00 a | 0.70 ± 0.63 a |
| OSSR-ES | 88.73 ± 1.83 b | 89.60 ± 1.66 b | 0.00 a | 92.86 ± 4.74 b |
| OSSR-OES | 28.14 ± 1.40 a | 28.08 ± 1.00 a | 31.39 ± 1.90 a | 33.06 ± 1.69 a |
| GSE/TG | 46.80 ± 3.85 c | 48.53 ± 1.82 c | 0.00 a | 2.14 ± 1.49 b |
| Lines | Pedigree | Stigma Exsertion | Percent of Glume Openness | Plant Height (cm) |
|---|---|---|---|---|
| K41S | K78S/14Y6-438 | Exsert | 90% | 65 |
| K64S | K78S/14Y6-172 | Exsert | 90% | 70 |
| K66S | K78S/14Y6-172 | Non-exsert | 85% | 60 |
| K68S | K456S/14Y6-438 | Trivial exsert | 85% | 75 |
| Yunmai112 | An elite plant from population improvement | - | - | 100 |
Disclaimer/Publisher’s Note: The statements, opinions and data contained in all publications are solely those of the individual author(s) and contributor(s) and not of MDPI and/or the editor(s). MDPI and/or the editor(s) disclaim responsibility for any injury to people or property resulting from any ideas, methods, instructions or products referred to in the content. |
© 2024 by the authors. Licensee MDPI, Basel, Switzerland. This article is an open access article distributed under the terms and conditions of the Creative Commons Attribution (CC BY) license (https://creativecommons.org/licenses/by/4.0/).
Share and Cite
Li, H.; Yang, Z.; Li, S.; Elfanah, A.M.S.; Abdelkhalik, S.; Tang, X.; Yin, J.; Ding, M.; Liu, K.; Yang, M.; et al. Stigma and Glume Characteristics Synergistically Determine the Stigma Exsertion Rate in Thermo-Photo-Sensitive Genic Male Sterile Wheat. Plants 2024, 13, 2267. https://doi.org/10.3390/plants13162267
Li H, Yang Z, Li S, Elfanah AMS, Abdelkhalik S, Tang X, Yin J, Ding M, Liu K, Yang M, et al. Stigma and Glume Characteristics Synergistically Determine the Stigma Exsertion Rate in Thermo-Photo-Sensitive Genic Male Sterile Wheat. Plants. 2024; 13(16):2267. https://doi.org/10.3390/plants13162267
Chicago/Turabian StyleLi, Hongsheng, Zhonghui Yang, Shaoxiang Li, Ahmed M. S. Elfanah, Sedhom Abdelkhalik, Xiong Tang, Jian Yin, Mingliang Ding, Kun Liu, Mujun Yang, and et al. 2024. "Stigma and Glume Characteristics Synergistically Determine the Stigma Exsertion Rate in Thermo-Photo-Sensitive Genic Male Sterile Wheat" Plants 13, no. 16: 2267. https://doi.org/10.3390/plants13162267
APA StyleLi, H., Yang, Z., Li, S., Elfanah, A. M. S., Abdelkhalik, S., Tang, X., Yin, J., Ding, M., Liu, K., Yang, M., & Wang, X. (2024). Stigma and Glume Characteristics Synergistically Determine the Stigma Exsertion Rate in Thermo-Photo-Sensitive Genic Male Sterile Wheat. Plants, 13(16), 2267. https://doi.org/10.3390/plants13162267

