Combining No-Tillage with Hairy Vetch Return Improves Production and Nitrogen Utilization in Silage Maize
Abstract
1. Introduction
2. Results
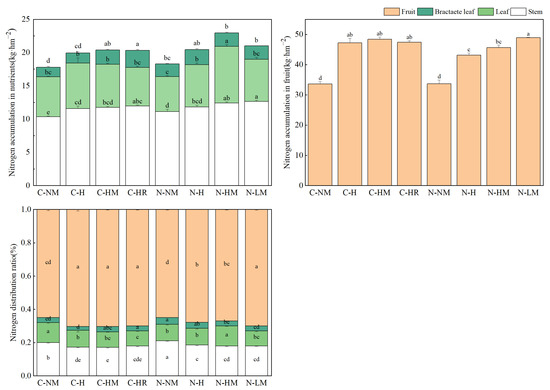
2.1. Components of Silage Maize Yield and Usage of Nitrogen Fertilizer
2.2. Nitrogen Content and Enzyme Activity in Rhizosphere and Non-Rhizosphere Soil
2.3. Economic Efficiency and Energy Balance
3. Discussion
3.1. Enhanced Yield and Nitrogen Efficiency in Different Treatments
3.2. Enhanced Enzyme Activity Facilitates the Conversion and Buildup of Nitrogen in Both Rhizosphere and Non-Rhizosphere Soils
3.3. Comparison of Economic Benefits and Energy Balance
4. Materials and Methods
4.1. Experimental Site
4.2. Experimental Design and Field Management
4.3. Measurements, Calculations and Methodologies
4.3.1. Meteorological Data
4.3.2. Soil Basic Physical and Chemical Properties
4.3.3. Determination of Yield and Quality of Silage Maize
4.3.4. Leaf Area Index (LAI)
4.3.5. Relative Feed Value (RFV)
4.3.6. Grading Index (GI)
4.3.7. Nitrogen Distribution and Utilization Efficiency in Maize Organs
organs/Total dry matter weight of the whole plant
nitrogen absorption by the plant × 100
nitrogen amount
4.3.8. Nitrogen and Enzyme Activity in Rhizosphere vs. Non-Rhizosphere Soils
4.3.9. Economic Benefits and Energy Balance
4.4. Statistical Analysis
5. Conclusions
Author Contributions
Funding
Data Availability Statement
Acknowledgments
Conflicts of Interest
References
- Turk, J. Meeting projected food demands by 2050: Understanding and enhancing the role of grazing ruminants. J. Anim. Sci. 2016, 94, 53–62. [Google Scholar] [CrossRef]
- Alders, R.G.; Campbell, A.; Costa, R.; Guèye, E.F.; Ahasanul Hoque, M.; Perezgrovas-Garza, R.; Rota, A.; Wingett, K. Livestock across the world: Diverse animal species with complex roles in human societies and ecosystem services. Anim. Front. 2021, 11, 20–29. [Google Scholar] [CrossRef] [PubMed]
- Ladha, J.K.; Pathak, H.; Krupnik, T.J.; Six, J.; Kessel, C.V. Efficiency of fertilizer nitrogen in cereal production: Retrospects and prospects. Adv. Agron. 2005, 87, 85–156. [Google Scholar]
- Krauss, M.; Ruser, R.; Müller, T.; Hansen, S.; Mäder, P.; Gattinger, A. Impact of reduced tillage on greenhouse gas emissions and soil carbon stocks in an organic grass-clover ley-winter wheat cropping sequence. Agric. Ecosyst. Environ. 2017, 239, 324–333. [Google Scholar] [CrossRef] [PubMed]
- Sapkota, T.B.; Mazzoncini, M.; Bàrberi, P.; Antichi, D.; Silvestri, N. Fifteen years of no till increase soil organic matter, microbial biomass and arthropod diversity in cover crop-based arable cropping systems. Agron. Sustain. Dev. 2012, 32, 853–863. [Google Scholar] [CrossRef]
- Mazzoncini, M.; Antichi, D.; Di Bene, C.; Risaliti, R.; Petri, M.; Bonari, E. Soil carbon and nitrogen changes after 28 years of no-tillage management under Mediterranean conditions. Eur. J. Agron. 2016, 77, 156–165. [Google Scholar] [CrossRef]
- Izumi, Y.; Yoshida, T.; Iijima, M. Effects of Subsoiling to the Non-tilled Field of Wheat-Soybean Rotation on the Root System Development, Water Uptake, and Yield. Plant Prod. Sci. 2009, 12, 327–335. [Google Scholar] [CrossRef]
- Parr, M.; Grossman, J.M.; Reberg-Horton, S.C.; Brinton, C.; Crozier, C. Nitrogen Delivery from Legume Cover Crops in No-Till Organic Corn Production. Agron. J. 2011, 103, 1578–1590. [Google Scholar] [CrossRef]
- Pittelkow, C.M.; Linquist, B.A.; Lundy, M.E.; Liang, X.; van Groenigen, K.J.; Lee, J.; van Gestel, N.; Six, J.; Venterea, R.T.; van Kessel, C. When does no-till yield more? A global meta-analysis. Field Crop. Res. 2015, 183, 156–168. [Google Scholar] [CrossRef]
- Fiorini, A.; Remelli, S.; Boselli, R.; Mantovi, P.; Ardenti, F.; Trevisan, M.; Menta, C.; Tabaglio, V. Driving crop yield, soil organic C pools, and soil biodiversity with selected winter cover crops under no-till. Soil Tillage Res. 2022, 217, 105283. [Google Scholar] [CrossRef]
- Blanco-Canqui, H.; Ruis, S.J. Cover crop impacts on soil physical properties: A review. Soil Sci. Soc. Am. J. 2020, 84, 1527–1576. [Google Scholar] [CrossRef]
- Orzech, K.; Wanic, M.; Zaluski, D. The Effects of Soil Compaction and Different Tillage Systems on the Bulk Density and Moisture Content of Soil and the Yields of Winter Oilseed Rape and Cereals. Agriculture 2021, 11, 666. [Google Scholar] [CrossRef]
- Luo, Y.; Zhang, J.; Zhou, G.; Chang, D.; Gao, S.; Bao, X.; Che, Z.; Zhu, Q.; Cao, W. Intercropping maize with green manure crops at various utilization patterns improvess maize yield and soil fertility in Hexi Oasis irrigated area. J. Plant Nutr. Fertil. 2022, 28, 402–413. [Google Scholar]
- Huang, N.; Zhao, X.; Guo, X.; Sui, B.; Liu, J.; Wang, H.; Li, J. Tillage Methods Change Nitrogen Distribution and Enzyme Activities in Maize Rhizosphere and Non-Rhizosphere Chernozem in Jilin Province of China. Processes 2023, 11, 3253. [Google Scholar] [CrossRef]
- Wang, A.; Xue, S.; Dong, Z.; Dong, Q. Effects of different tillage methods on the soil enzyme activity in sorghum cultivated land in a hilly environment. Appl. Ecol. Environ. Res. 2020, 18, 2895–2908. [Google Scholar] [CrossRef]
- Pausch, J.; Kuzyakov, Y. Carbon input by roots into the soil: Quantification of rhizodeposition from root to ecosystem scale. Glob. Change Biol. 2018, 24, 1–12. [Google Scholar] [CrossRef]
- Chen, H.; Liu, Y.; Lü, L.; Yuan, L.; Jia, J.; Chen, X.; Ma, J.; Zhao, J.; Liang, C.; Xie, H. Effects of no-tillage and stover mulching on the transformation and utilization of chemical fertilizer N in Northeast China. Soil Tillage Res. 2021, 213, 105131. [Google Scholar] [CrossRef]
- Jacobs, A.; Evans, R.S.; Allison, J.; Garner, E.; Kingery, W.; McCulley, R.L. Cover crops and no-tillage reduce crop production costs and soil loss, compensating for lack of short-term soil quality improvement in a maize and soybean production system. Soil Tillage Res. 2022, 218, 105310. [Google Scholar] [CrossRef]
- Lucas, M.; Nguyen, L.T.T.; Guber, A.; Kravchenko, A.N. Cover crop influence on pore size distribution and biopore dynamics: Enumerating root and soil faunal effects. Front. Plant Sci. 2022, 13, 928569. [Google Scholar] [CrossRef]
- Schmidt, R.; Gravuer, K.; Bossange, A.V.; Mitchell, J.; Scow, K. Long-term use of cover crops and no-till shift soil microbial community life strategies in agricultural soil. PLoS ONE 2018, 13, e0192953. [Google Scholar] [CrossRef]
- Zhao, M.; Feng, Y.; Shi, Y.; Shen, H.; Hu, H.; Luo, Y.; Xu, L.; Kang, J.; Xing, A.; Wang, S.; et al. Yield and quality properties of silage maize and their influencing factors in China. Sci. China Life Sci. 2022, 65, 1655–1666. [Google Scholar] [CrossRef] [PubMed]
- Jin, V.L.; Schmer, M.R.; Stewart, C.E.; Sindelar, A.J.; Varvel, G.E.; Wienhold, B.J. Long-term no-till and stover retention each decrease the global warming potential of irrigated continuous corn. Glob. Chang. Biol. 2017, 23, 2848–2862. [Google Scholar] [CrossRef] [PubMed]
- Whippo, C.W.; Saliendra, N.Z.; Liebig, M.A. Cover crop inclusion and residue retention improves soybean production and physiology in drought conditions. Heliyon 2024, 10, e29838. [Google Scholar] [CrossRef] [PubMed]
- Ort, D.R.; Zhu, X.; Melis, A. Optimizing antenna size to maximize photosynthetic efficiency. Plant Physiol. 2011, 155, 79–85. [Google Scholar] [CrossRef] [PubMed]
- Etemadi, F.; Hashemi, M.; Zandvakili, O.; Dolatabadian, A.; Sadeghpour, A. Nitrogen contribution from winter-killed faba bean cover crop to spring-sown sweet corn in conventional and no-till systems. Agron. J. 2018, 110, 455–462. [Google Scholar] [CrossRef]
- Singh, J.; Ale, S.; DeLaune, P.B.; Barnes, E.M. Simulated effects of cover crops with no-tillage on soil and crop productivity in rainfed semi-arid cotton production systems. Soil Tillage Res. 2023, 230, 105709. [Google Scholar] [CrossRef]
- Nunes, M.R.; van Es, H.M.; Schindelbeck, R.; Ristow, A.J.; Ryan, M. No-till and cropping system diversification improve soil health and crop yield. Geoderma 2018, 328, 30–43. [Google Scholar] [CrossRef]
- Zhang, L.; Mao, L.; Yan, X.; Liu, C.; Song, X.; Sun, X. Long-term cotton stubble return and subsoiling increases cotton yield through improving root growth and properties of coastal saline soil. Ind. Crop. Prod. 2022, 177, 114472. [Google Scholar] [CrossRef]
- Das, A.; Babu, S.; Singh, R.; Kumar, S.; Rathore, S.S.; Singh, V.K.; Datta, M.; Yadav, S.K.; Wani, O.A.; Yadav, D. Impact of live mulch-based conservation tillage on soil properties and productivity of summer maize in Indian Himalayas. Sustainability 2022, 14, 12078. [Google Scholar] [CrossRef]
- Salmerón, M.; Cavero, J.; Quílez, D.; Isla, R. Winter cover crops affect monoculture maize yield and nitrogen leaching under irrigated Mediterranean conditions. Agron. J. 2010, 102, 1700–1709. [Google Scholar] [CrossRef]
- Smith, A.M.; Zeeman, S.C. Starch: A flexible, adaptable carbon store coupled to plant growth. Annu. Rev. Plant Biol. 2020, 71, 217–245. [Google Scholar] [CrossRef] [PubMed]
- Kawade, K.; Tabeta, H.; Ferjani, A.; Hirai, M.Y. The roles of functional amino acids in plant growth and development. Plant Cell Physiol. 2023, 64, 1482–1493. [Google Scholar] [CrossRef] [PubMed]
- Carter, M.R. Soil quality for sustainable land management: Organic matter and aggregation interactions that maintain soil functions. Agron. J. 2002, 94, 38–47. [Google Scholar] [CrossRef]
- Wang, W.; Yuan, J.; Gao, S.; Li, T.; Li, Y.; Vinay, N.; Mo, F.; Liao, Y.; Wen, X. Conservation tillage enhances crop productivity and decreases soil nitrogen losses in a rainfed agroecosystem of the Loess Plateau, China. J. Clean Prod. 2020, 274, 122854. [Google Scholar] [CrossRef]
- Repullo-Ruibérriz de Torres, M.A.; Carbonell-Bojollo, R.M.; Moreno-García, M.; Ordóñez-Fernández, R.; Rodríguez-Lizana, A. Soil organic matter and nutrient improvement through cover crops in a Mediterranean olive orchard. Soil Tillage Res. 2021, 210, 104977. [Google Scholar] [CrossRef]
- Kou, X.; Ma, N.; Zhang, X.; Xie, H.; Zhang, X.; Wu, Z.; Liang, W.; Li, Q.; Ferris, H. Frequency of stover mulching but not amount regulates the decomposition pathways of soil micro-foodwebs in a no-tillage system. Soil Biol. Biochem. 2020, 144, 107789. [Google Scholar] [CrossRef]
- Han, B.; Yao, Y.; Liu, B.; Wang, Y.; Su, X.; Ma, L.; Liu, D.; Niu, S.; Chen, X.; Li, Z. Relative importance between nitrification and denitrification to N2O from a global perspective. Glob. Chang. Biol. 2024, 30, e17082. [Google Scholar] [CrossRef] [PubMed]
- Zuber, S.M.; Behnke, G.D.; Nafziger, E.D.; Villamil, M.B. Crop rotation and tillage effects on soil physical and chemical properties in Illinois. Agron. J. 2015, 107, 971–978. [Google Scholar] [CrossRef]
- Ju, X.T.; Liu, X.J.; Zhang, F.S.; Roelcke, M. Nitrogen fertilization, soil nitrate accumulation, and policy recommendations in several agricultural regions of China. Ambio 2004, 33, 300–305. [Google Scholar] [CrossRef]
- Malone, R.W.; Obrycki, J.F.; Karlen, D.L.; Ma, L.; Kaspar, T.C.; Jaynes, D.B.; Parkin, T.B.; Lence, S.H.; Feyereisen, G.W.; Fang, Q.; et al. Harvesting fertilized rye cover crop: Simulated revenue, net energy, and drainage nitrogen loss. Agric. Environ. Lett. 2018, 3, 170041. [Google Scholar] [CrossRef]
- Nisar, S.; Benbi, D.K.; Toor, A.S. Energy budgeting and carbon footprints of three tillage systems in maize-wheat sequence of north-western Indo-Gangetic Plains. Energy 2021, 229, 120661. [Google Scholar] [CrossRef]
- Agbor-Egbe, T.; June, E. Rickard. Evaluation of acid and enzyme hydrolytic methods for the determination of edible aroid starch content. J. Sci. Food Agric. 1990, 53, 313–319. [Google Scholar] [CrossRef]
- Sáez-Plaza, P.; Navas, M.J.; Wybraniec, S.; Michałowski, T.; Asuero, A.G. An overview of the Kjeldahl method of nitrogen determination. Part II. Sample preparation, working scale, instrumental finish, and quality control. Crit. Rev. Anal. Chem. 2013, 43, 224–272. [Google Scholar] [CrossRef]
- Zhang, G.; Bai, J.; Zhao, Q.; Jia, J.; Wang, X.; Wang, W.; Wang, X. Soil carbon storage and carbon sources under different Spartina alterniflora invasion periods in a salt marsh ecosystem. Catena 2021, 196, 104831. [Google Scholar] [CrossRef]
- Lin, K.; Zhu, Y.; Zhang, Y.; Lin, H. Determination of ammonia nitrogen in natural waters: Recent advances and applications. Trends Environ. Anal. Chem. 2019, 24, e00073. [Google Scholar] [CrossRef]
- Kazemi, H.; Kamkar, B.; Lakzaei, S.; Badsar, M.; Shahbyki, M. Energy flow analysis for rice production in different geographical regions of Iran. Energy 2015, 84, 390–396. [Google Scholar] [CrossRef]
- Ozkan, B.; Akcaoz, H.; Fert, C. Energy input–output analysis in Turkish agriculture. Renew. Energy 2004, 29, 39–51. [Google Scholar] [CrossRef]






| Treatment | Height (cm) | Leaf Area Index | Yield (t·ha−1) | Total Dry Matter (t·ha−1) |
|---|---|---|---|---|
| CTNM | 259.6 c | 0.39 abc | 46.8542 e | 13.5664 d |
| CTH | 278.5 abc | 0.41 a | 55.8613 cd | 16.5421 b |
| CTHM | 298.8 a | 0.40 abc | 61.7967 a | 18.3692 a |
| CTHR | 290.5 ab | 0.38 c | 59.7937 ab | 17.3431 b |
| NTNM | 258.8 c | 0.38 bc | 47.0977 e | 13.6247 d |
| NTH | 271.9 bc | 0.40 ab | 52.9918 d | 15.1701 c |
| NTHM | 292.2 ab | 0.41 a | 59.3490 ab | 17.4251 b |
| NTLM | 287.9 ab | 0.39 abc | 57.7864 bc | 16.9139 b |
| Treatment | Starch (%) | Crude Protein (%) | Acid Detergent Fiber (%) | Neutral Detergent Fiber (%) | RFV | GI |
|---|---|---|---|---|---|---|
| CTNM | 29.87 c | 6.9 e | 29.27 a | 54.5 a | 113.06 c | 11.27 e |
| CTH | 35.71 ab | 7.82 ab | 29.08 a | 51.58 ab | 119.61 bc | 14.26 cd |
| CTHM | 34.69 ab | 7.45 d | 26.26 a | 53.67 a | 118.88 bc | 13.19 de |
| CTHR | 32.81 bc | 7.75 bc | 28.66 a | 54.2 a | 114.39 c | 12.89 de |
| NTNM | 35.56 ab | 7.49 cd | 26.50 a | 50.64 bc | 125.6 ab | 14.82 bcd |
| NTH | 35.76 ab | 7.96 ab | 27.99 a | 50.52 bc | 123.74 ab | 15.42 abc |
| NTHM | 35.09 ab | 7.9 ab | 29.42 a | 48.23 cd | 127.5 ab | 16.43 ab |
| NTLM | 37.44 a | 8.07 a | 29.55 a | 47.28 d | 129.8 a | 17.37 a |
| Treatment | Nitrogen Harvest Index (%) | Nitrogen Use Efficiency (%) | Partial Productivity of Nitrogen Fertilizer (kg·kg−1) |
|---|---|---|---|
| CTNM | 65.33 cd | 46.50 c | 14.51 c |
| CTH | 70.33 a | 48.19 b | 17.69 a |
| CTHM | 70.33 a | 49.49 b | 18.60 a |
| CTHR | 70.00 a | 48.34 b | 17.89 a |
| NTNM | 64.67 d | 49.27 b | 13.98 c |
| NTH | 68.00 b | 45.94 c | 15.96 b |
| NTHM | 66.33 c | 48.23 b | 18.08 a |
| NTLM | 69.67 a | 51.65 a | 17.78 a |
| Treatment | Seed | Fertilizer | Labor Hour | Diesel | Total Input | Total Output | Output–Input Ratio | Net Income |
|---|---|---|---|---|---|---|---|---|
| CTNM | 206.4 | 317.86 | 474.72 | 77.61 | 1076.58 | 2901.21 | 2.7 | 1824.63 |
| CTH | 206.4 | 317.86 | 495.36 | 77.61 | 1097.22 | 3458.96 | 3.2 | 2361.74 |
| CTHM | 206.4 | 317.86 | 557.97 | 77.61 | 1159.83 | 3826.45 | 3.3 | 2666.62 |
| CTHR | 206.4 | 317.86 | 537.33 | 77.61 | 1139.19 | 3702.43 | 3.3 | 2563.24 |
| NTNM | 206.4 | 317.86 | 474.72 | 0 | 998.98 | 2916.28 | 2.9 | 1917.30 |
| NTH | 206.4 | 317.86 | 495.36 | 0 | 1019.62 | 3281.25 | 3.2 | 2261.63 |
| NTHM | 206.4 | 317.86 | 537.33 | 0 | 1061.58 | 3674.90 | 3.5 | 2613.32 |
| NTLM | 206.4 | 317.86 | 458.21 | 0 | 982.46 | 3578.12 | 3.6 | 2595.66 |
| Treatment | Input | Output | |||||||||
|---|---|---|---|---|---|---|---|---|---|---|---|
| Seed | Fuel | N | P2O5 | K2O | Labor Hour | Total Input | Maize Straw | Maize Yield | Total Output | Net Energy Value | |
| CTNM | 0.59 | 4.22 | 11.09 | 1.05 | 0.50 | 0.67 | 18.13 | 93.98 | 90.65 | 184.63 | 166.49 |
| CTH | 0.59 | 4.22 | 11.09 | 1.05 | 0.50 | 0.70 | 18.16 | 114.59 | 110.53 | 225.12 | 206.96 |
| CTHM | 0.59 | 4.22 | 11.09 | 1.05 | 0.50 | 0.79 | 18.25 | 127.25 | 122.74 | 249.99 | 231.74 |
| CTHR | 0.59 | 4.22 | 11.09 | 1.05 | 0.50 | 0.76 | 18.22 | 120.14 | 115.88 | 236.02 | 217.80 |
| NTNM | 0.59 | 0 | 11.09 | 1.05 | 0.50 | 0.67 | 13.91 | 94.38 | 91.04 | 185.42 | 171.51 |
| NTH | 0.59 | 0 | 11.09 | 1.05 | 0.50 | 0.70 | 13.94 | 105.09 | 101.36 | 206.45 | 192.51 |
| NTHM | 0.59 | 0 | 11.09 | 1.05 | 0.50 | 0.76 | 14.00 | 120.71 | 116.43 | 237.14 | 223.14 |
| NTLM | 0.59 | 0 | 11.09 | 1.05 | 0.50 | 0.65 | 13.88 | 117.17 | 113.02 | 230.18 | 216.30 |
| Soil Layer | pH | Soil Organic Carbon | Total Nitrogen | Nitrate Nitrogen | Ammonium Nitrogen | Total Phosphorus | Available Phosphorus | Total Potassium | Rapidly Available Potassium |
|---|---|---|---|---|---|---|---|---|---|
| (cm) | (g·kg−1) | (g·kg−1) | (mg·kg−1) | (mg·kg−1) | (g·kg−1) | (mg·kg−1) | (g·kg−1) | (mg·kg−1) | |
| 0–5 | 5.29 | 20.71 | 1.74 | 52.00 | 2.82 | 0.74 | 35.64 | 22.79 | 247.97 |
| 5–10 | 5.39 | 20.52 | 1.52 | 36.75 | 1.23 | 0.66 | 30.92 | 22.87 | 104.91 |
| 10–20 | 5.37 | 18.39 | 1.49 | 23.60 | 0.50 | 0.67 | 35.17 | 22.24 | 84.61 |
| 20–30 | 5.73 | 16.1 | 1.17 | 12.01 | 0.30 | 0.61 | 25.08 | 22.49 | 73.30 |
| 30–45 | 5.93 | 14.73 | 1.07 | 9.73 | 0.26 | 0.53 | 18.65 | 23.27 | 70.25 |
| 45–60 | 5.91 | 13.76 | 0.94 | 9.31 | 0.25 | 0.62 | 18.28 | 23.63 | 76.59 |
| 60–80 | 5.80 | 15.24 | 1.13 | 7.49 | 0.91 | 0.48 | 19.7 | 23.60 | 85.28 |
| 80–100 | 5.68 | 16.03 | 1.21 | 11.78 | 1.09 | 0.48 | 19.41 | 23.85 | 84.86 |
| Plant Date | Treatment | Abbreviation |
|---|---|---|
| October 2022 | Conventional tillage with fallow | CT (Conventional tillage) |
| No-tillage with fallow | NT (No-tillage) | |
| April 2023 | Conventional tillage with fallow (Control) | CTNM (Conventional tillage) |
| Conventional tillage with stubble incorporation (Aboveground biomass removed) | CTH (Conventional tillage hairy vetch) | |
| Conventional tillage with mulch cover (Aboveground biomass mowed at ground level) | CTHM (Conventional tillage hairy vetch mulch) | |
| Conventional tillage with incorporation of aboveground biomass (Mowed and incorporated) | CTHR (Conventional tillage hairy vetch pressure) | |
| no-till fallow | NTNM (No-tillage) | |
| No-till with stubble incorporation (Aboveground biomass removed) | NTH (No-tillage vetch) | |
| No-till with mulch cover (Aboveground biomass mowed at ground level) | NTHM (No-tillage hairy vetch mulch) | |
| No-till with living mulch (Stubble left at 5 cm height) | NTLM (No-tillage vetch living mulch) |
| Item | Unit Price ($) | Unit |
|---|---|---|
| Maize seeds | 5.51 | kg |
| Silage maize stalk | 0.06 | kg |
| Compound fertilizer | 0.74 | kg |
| Urea | 0.58 | kg |
| Diesel | 1.03 | L |
| Labor | 1.38 | h |
| Treatment | Seed (kg·ha) | Compound Fertilizer (kg·ha) | Urea (kg·ha) | Labor (kg·ha) | Diesel (L·ha) |
|---|---|---|---|---|---|
| CTNM | 37.5 | 300 | 300 | 345 | 75 |
| CTH | 37.5 | 300 | 300 | 360 | 75 |
| CTHM | 37.5 | 300 | 300 | 405.5 | 75 |
| CTHR | 37.5 | 300 | 300 | 390.5 | 75 |
| NTNM | 37.5 | 300 | 300 | 345 | 0 |
| NTH | 37.5 | 300 | 300 | 360 | 0 |
| NTHM | 37.5 | 300 | 300 | 390.5 | 0 |
| NTLM | 37.5 | 300 | 300 | 333 | 0 |
| Item | Unit | Energy Equivalent (MJ·Unit−1) |
|---|---|---|
| Inputs | ||
| Diesel fuel | L | 56.31 |
| Seeds | kg | 15.7 |
| Nitrogen(a)N | kg | 60.6 |
| Phosphate(b)P2O5 | kg | 23.44 |
| Potassium(c)K2O | kg | 11.15 |
| Labor hour | h | 1.95 |
| Output | ||
| Yield | kg | 14.7 |
| Straw | kg | 12.7 |
Disclaimer/Publisher’s Note: The statements, opinions and data contained in all publications are solely those of the individual author(s) and contributor(s) and not of MDPI and/or the editor(s). MDPI and/or the editor(s) disclaim responsibility for any injury to people or property resulting from any ideas, methods, instructions or products referred to in the content. |
© 2024 by the authors. Licensee MDPI, Basel, Switzerland. This article is an open access article distributed under the terms and conditions of the Creative Commons Attribution (CC BY) license (https://creativecommons.org/licenses/by/4.0/).
Share and Cite
Li, Z.; Sun, X.; Pan, J.; Wang, T.; Li, Y.; Li, X.; Hou, S. Combining No-Tillage with Hairy Vetch Return Improves Production and Nitrogen Utilization in Silage Maize. Plants 2024, 13, 2084. https://doi.org/10.3390/plants13152084
Li Z, Sun X, Pan J, Wang T, Li Y, Li X, Hou S. Combining No-Tillage with Hairy Vetch Return Improves Production and Nitrogen Utilization in Silage Maize. Plants. 2024; 13(15):2084. https://doi.org/10.3390/plants13152084
Chicago/Turabian StyleLi, Zhou, Xingrong Sun, Jie Pan, Tao Wang, Yuan Li, Xiuting Li, and Shuai Hou. 2024. "Combining No-Tillage with Hairy Vetch Return Improves Production and Nitrogen Utilization in Silage Maize" Plants 13, no. 15: 2084. https://doi.org/10.3390/plants13152084
APA StyleLi, Z., Sun, X., Pan, J., Wang, T., Li, Y., Li, X., & Hou, S. (2024). Combining No-Tillage with Hairy Vetch Return Improves Production and Nitrogen Utilization in Silage Maize. Plants, 13(15), 2084. https://doi.org/10.3390/plants13152084

