Increasing Cyetpyrafen Spray Volume and Ozone Spray Improves the Control Effects against Two-Spotted Spider Mite (Tetranychus urticae) in Strawberries
Abstract
1. Introduction
2. Results
2.1. Laboratory Toxicity Tests
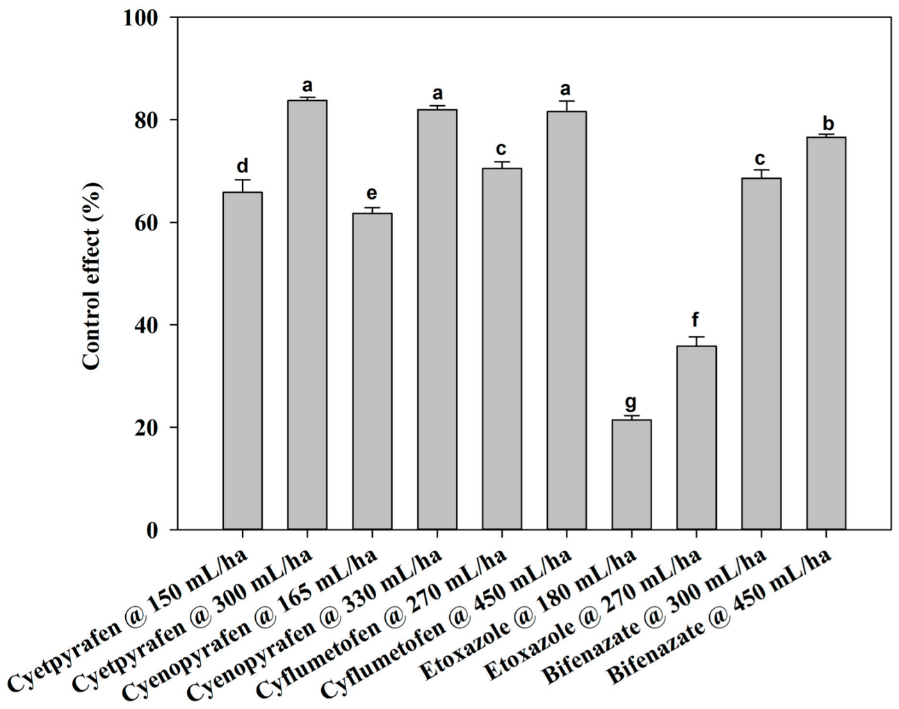
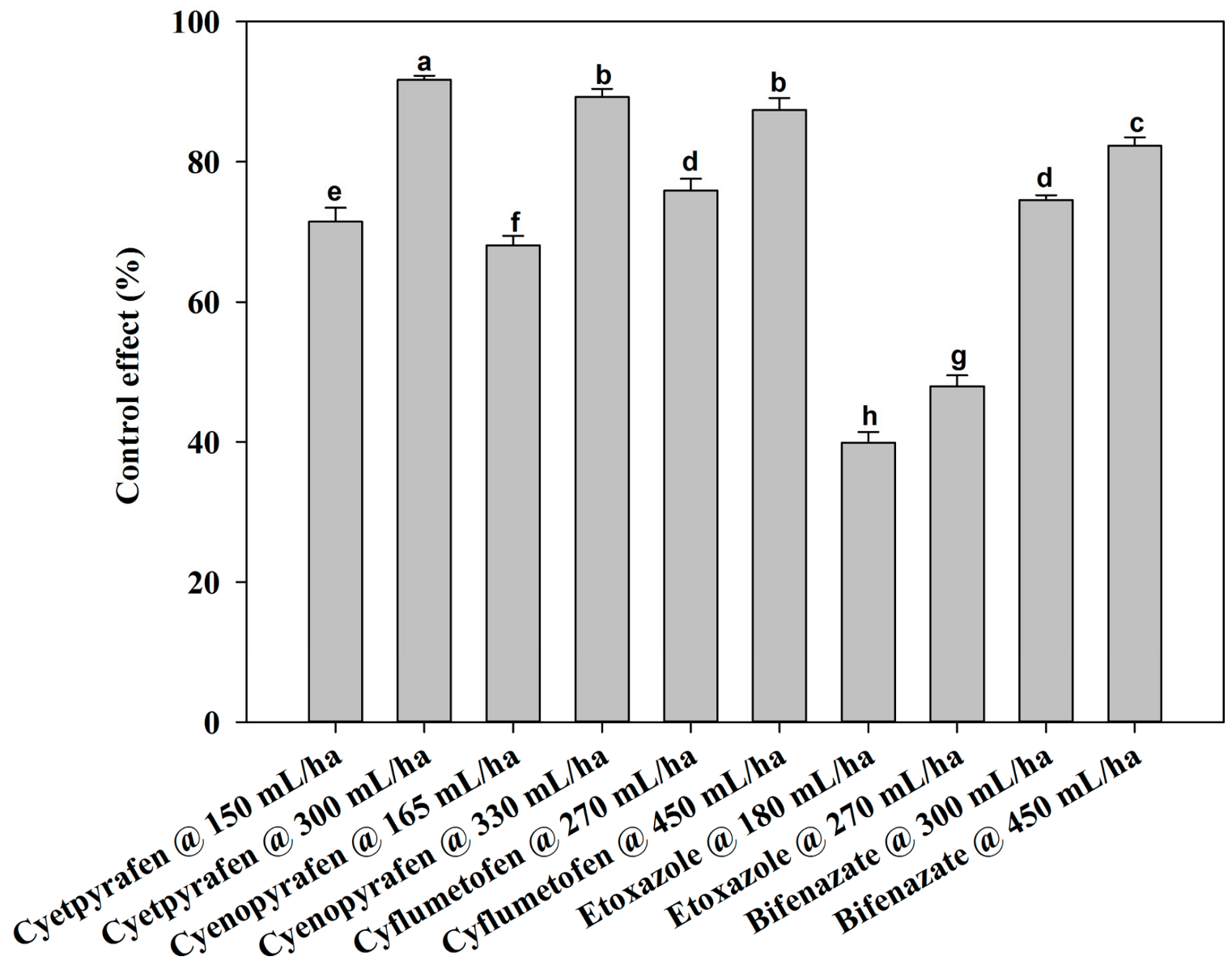
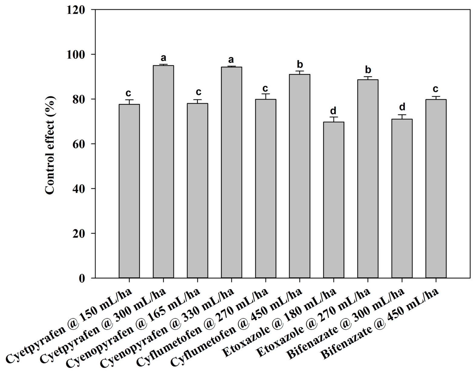
2.2. Field Trials
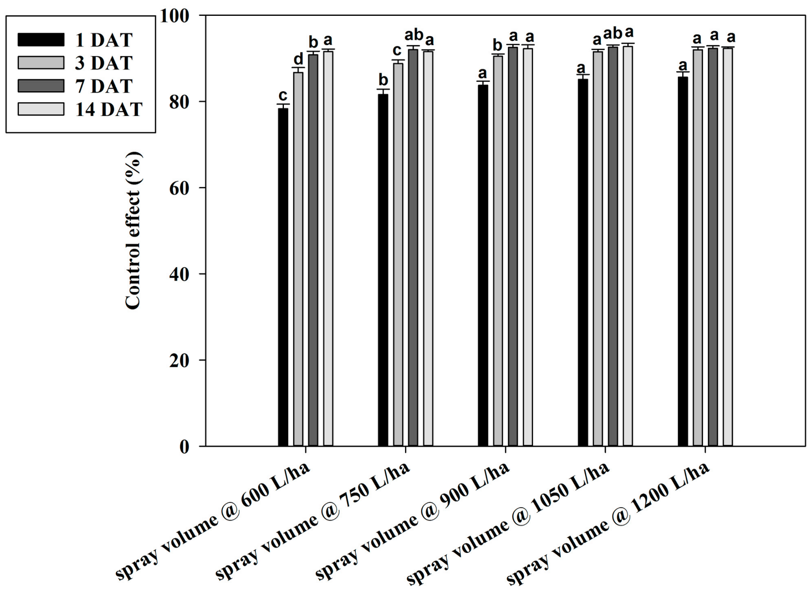
2.3. Application Technology Tests
3. Discussion
4. Materials and Methods
4.1. Chemicals
4.2. Testing Plant Cultivation and Mite Strain
4.3. Laboratory Toxicity Tests
4.3.1. Adults of T. urticae
4.3.2. Eggs of T. urticae
4.4. Field Trials
4.5. Application Technology Tests
4.6. Statistical Analysis
Author Contributions
Funding
Data Availability Statement
Acknowledgments
Conflicts of Interest
References
- NBS. National Bureau of Statistics of China. 2024. Available online: https://data.stats.gov.cn/easyquery.htm?cn=C01 (accessed on 18 June 2024).
- Jakubowska, M.; Dobosz, R.; Zawada, D.; Kowalska, J. A review of crop protection methods against the twospotted spider mite-Tetranychus urticae Koch (Acari: Tetranychidae)-with special reference to alternative methods. Agriculture 2022, 12, 898. [Google Scholar] [CrossRef]
- Santamaria, M.E.; Arnaiz, A.; Rosa-Diaz, I.; González-Melendi, P.; Romero-Hernandez, G.; Ojeda-Martinez, D.A.; Garcia, A.; Contreras, E.; Martinez, M.; Diaz, I. Plant defenses against Tetranychus urticae: Mind the gaps. Plants 2020, 9, 464. [Google Scholar] [CrossRef] [PubMed]
- Van Leeuwen, T.; Vontas, J.; Tsagkarakou, A.; Dermauw, W.; Tirry, L. Acaricide resistance mechanisms in the two-spotted spider mite Tetranychus urticae and other important Acari: A review. Insect Biochem. Mol. Biol. 2010, 40, 563–572. [Google Scholar] [CrossRef] [PubMed]
- Van Leeuwen, T.; Tirry, L.; Yamamoto, A.; Nauen, R. The economic importance of acaricides in the control of phytophagous mites and an update on recent acaricide mode of action research. Pestic. Biochem. Phsyiol. 2015, 121, 12–21. [Google Scholar] [CrossRef]
- Rincon, R.; Rodriguez, D.; Coy-Barrera, E. Botanicals against Tetranychus urticae Koch under laboratory conditions: A survey of alternatives for controlling pest mites. Plants 2019, 8, 272. [Google Scholar] [CrossRef]
- Migeon, A.; Dorkeld, F. Spider Mites Web: A Comprehensive Database for the Tetranychidae. 2024. Available online: http://www.montpellier.inra.fr/CBGP/spmweb/ (accessed on 12 June 2024).
- Sances, F.V.; Wyman, J.A.; Ting, L.P. Morphological responses of strawberry leaves to infestation of twospotted spider mite. J. Econ. Entomol. 1979, 72, 710–713. [Google Scholar] [CrossRef]
- Nyoike, T.W.; Liburd, O.E. Effect of Tetranychus urticae (Acari: Tetranychidae), on marketable yields of field-grown strawberries in north-central Florida. J. Econ. Entomol. 2013, 106, 1757–1766. [Google Scholar] [CrossRef]
- Sedaratian, A.; Fathipour, Y.; Moharramipour, S. Evaluation of resistance in 14 soybean genotypes to Tetranychus urticae (Acari: Tetranychidae). J. Pest Sci. 2009, 82, 163–170. [Google Scholar] [CrossRef]
- Gimenez-Ferrer, R.M.; Erb, W.A.; Bishop, B.L.; Scheerens, J.C. Host-pest relationship between the two spotted spider mite and strawberry cultivars with differing levels of resistance. J. Econ. Entomol. 1994, 87, 168–175. [Google Scholar] [CrossRef]
- Attia, S.; Grissa, K.L.; Lognay, G.; Bitume, E.; Hance, T.; Mailleux, A.C. A review of the major biological approaches to control the worldwide pest Tetranychus urticae (Acari: Tetranychidae) with special reference to natural pesticides: Biological approaches to control Tetranychus urticae. J. Pest Sci. 2013, 86, 361–386. [Google Scholar] [CrossRef]
- Assouguem, A.; Kara, M.; Mechchate, H.; Korkmaz, Y.B.; Benmessaoud, S.; Ramzi, A.; Abdullah, K.R.; Noman, O.M.; Farah, A.; Lazraq, A. Current situation of Tetranychus urticae (Acari: Tetranychidae) in northern Africa: The sustainable control methods and priorities for future research. Sustainability 2022, 14, 2395. [Google Scholar] [CrossRef]
- Van Leeuwen, T.; Dermauw, W. The molecular evolution of xenobiotic metabolism and resistance in chelicerate mites. Annu. Rev. Entomol. 2016, 61, 475–498. [Google Scholar] [CrossRef] [PubMed]
- Adesanya, A.W.; Lavine, M.D.; Moural, T.W.; Lavine, L.C.; Zhu, F.; Walsh, D.B. Mechanisms and management of acaricide resistance for Tetranychus urticae in agroecosystems. J. Pest Sci. 2021, 94, 639–663. [Google Scholar] [CrossRef]
- Li, B.; Yu, H.B.; Luo, Y.M.; Wu, H.F. The synthesis and acaricidal activity of SYP-9625. Mod. Agrochem. 2016, 15, 20. [Google Scholar]
- Li, R.; Wang, S.; Chang, J.; Pan, X.; Dong, F.; Li, Z.; Zheng, Y.; Li, Y. Insight into the uptake and metabolism of a new insecticide cyetpyrafen in plants. Environ. Int. 2022, 169, 107522. [Google Scholar] [CrossRef] [PubMed]
- Nakahira, K. Strategy for discovery of a novel miticide Cyenopyrafen which is one of electron transport chain inhibitors. J. Pest. Sci. 2011, 36, 511–515. [Google Scholar] [CrossRef]
- Takahashi, N.; Nakagawa, H.; Sasama, Y.; Ikemi, N. Development of a new acaricide, cyflumetofen. J. Pest. Sci. 2012, 37, 263–264. [Google Scholar] [CrossRef]
- Braekman, P.; Foque, D.; Messens, W.; Van Labeke, M.C.; Pieters, J.G.; Nuyttens, D. Effect of spray application technique on spray deposition in greenhouse strawberries and tomatoes. Pest Manag. Sci. Former. Pestic. Sci. 2010, 66, 203–212. [Google Scholar] [CrossRef]
- Gallardo, R.K.; Sauer, J. Adoption of labor-saving technologies in agriculture. Annu. Rev. Resour. Econ. 2018, 10, 185–206. [Google Scholar] [CrossRef]
- Marcic, D. Acaricides in modern management of plant-feeding mites. J. Pest Sci. 2012, 85, 395–408. [Google Scholar] [CrossRef]
- Van Nieuwenhuyse, P.; Demaeght, P.; Dermauw, W.; Khalighi, M.; Stevens, C.V.; Vanholme, B.; Titty, L.; Lümmen, P.; Van Leeuwen, T. On the mode of action of bifenazate: New evidence for a mitochondrial target site. Pestic. Biochem. Phys. 2012, 104, 88–95. [Google Scholar] [CrossRef]
- Nauen, R.; Smagghe, G. Mode of action of etoxazole. Pest Manag. Sci. Former. Pestic. Sci. 2006, 62, 379–382. [Google Scholar] [CrossRef]
- Sun, J.; Li, C.; Jiang, J.; Song, C.; Wang, C.; Feng, K.; Wei, P.; He, L. Cross resistance, inheritance and fitness advantage of cyetpyrafen resistance in two-spotted spider mite, Tetranychus urticae. Pestic. Biochem. Phys. 2022, 183, 105062. [Google Scholar] [CrossRef] [PubMed]
- Ouyang, J.Q.; Tian, Y.J.; Jiang, C.X.; Yang, Q.F.; Wang, H.J.; Li, Q. Laboratory assays on the effects of a novel acaricide, SYP-9625 on Tetranychus cinnabarinus (Boisduval) and its natural enemy, Neoseiulus californicus (McGregor). PLoS ONE 2018, 3, e0199269. [Google Scholar] [CrossRef] [PubMed]
- Chen, J.C.; Gong, Y.J.; Shi, P.; Wang, Z.H.; Cao, L.J.; Wang, P.; Wei, S.J. Field-evolved resistance and cross-resistance of the two-spotted spider mite, Tetranychus urticae, to bifenazate, cyenopyrafen and SYP-9625. Exp. Appl. Acarol. 2019, 77, 545–554. [Google Scholar] [CrossRef]
- Ding, L.L.; Yu, S.J.; Lei, S.; Pan, Q.; Liu, L.; Li, S.C.; Chen, T.; Wang, S.; Wei, Z.; Liu, H.; et al. Identification and functional characterization of an omega-class glutathione s-transferase gene PcGSTO1 associated with cyetpyrafen resistance in Panonychus citri (McGregor). J. Agric. Food Chem. 2024, 72, 7010–7020. [Google Scholar] [CrossRef]
- De Rouck, S.; Inak, E.; Dermauw, W.; Van Leeuwen, T. A review of the molecular mechanisms of acaricide resistance in mites and ticks. Insect Biochem. Molec. 2023, 159, 103981. [Google Scholar] [CrossRef] [PubMed]
- Chen, F.; Chen, H.; Zhang, L.; Yin, S.; Huang, S.; Zhang, G.; Tang, Q. Controllable distribution of ultrafine diamond particles by electrostatic spray deposition. Powder Technol. 2019, 345, 267–273. [Google Scholar] [CrossRef]
- Sánchez-Hermosilla, J.; Pérez-Alonso, J.; Martínez-Carricondo, P.; Carvajal-Ramírez, F.; Agüera-Vega, F. Evaluation of electrostatic spraying equipment in a greenhouse pepper crop. Horticulturae 2022, 8, 541. [Google Scholar] [CrossRef]
- Jian, F.; Jayas, D.S.; White, N.D.G. Can ozone be a new control strategy for pests of stored grain? Agric. Res. 2013, 2, 1–8. [Google Scholar] [CrossRef]
- Tanuwidjaja, I.; Fuka, M.M. Ozone in droplets and mist in inhibition of phytopathogenic microbiota. Agriculture 2022, 12, 1875. [Google Scholar] [CrossRef]
- Jiang, L.L.; Liu, B.J.; Zhang, S.A.; Zhang, R.; Wu, C.; Qiao, K. Increasing spray volume and ozone spray of tetraconazole improve control against strawberry powdery mildew. Crop Prot. 2024, 179, 106602. [Google Scholar] [CrossRef]
- Tanaka, M.; Yase, J.; Kanto, T.; Osakabe, M. Combined nighttime ultraviolet B irradiation and phytoseiid mite application provide optimal control of the spider mite Tetranychus urticae on greenhouse strawberry plants. Pest Manag. Sci. 2024, 80, 698–707. [Google Scholar] [CrossRef] [PubMed]
- Kumral, N.A.; Kovanci, B. Susceptibility of female populations of Panonychus ulmi (Koch) (Acari: Tetranychidae) to some acaricides in apple orchards. J. Pest Sci. 2007, 80, 131–137. [Google Scholar] [CrossRef]






| Acaricides | T. urticae | Regression (Y=) | R2 | LC50 (mg/L) a |
|---|---|---|---|---|
| Cyetpyrafen | adults | 1.449x + 0.936 | 0.912 | 0.226 |
| eggs | 1.342x + 1.459 | 0.979 | 0.082 | |
| Cyenopyrafen | adults | 1.385x + 0.858 | 0.975 | 0.240 |
| eggs | 1.526x + 1.544 | 0.840 | 0.097 | |
| Cyflumetofen | adults | 1.648x + 0.630 | 0.957 | 0.415 |
| eggs | 1.769x + 1.437 | 0.154 | 0.931 | |
| Bifenazate | adults | 1.583x − 0.877 | 0.869 | 3.583 |
| eggs | 1.604x − 2.035 | 0.949 | 18.56 | |
| Abamectin | adults | 1.750x − 1.300 | 0.986 | 5.531 |
| eggs | 1.639x − 2.306 | 0.962 | 25.52 | |
| Azocyclotin | adults | 1.541x − 2.244 | 0.964 | 25.58 |
| eggs | 1.531x − 2.540 | 0.937 | 45.61 | |
| Pyridaben | adults | 1.835x − 2.934 | 0.957 | 39.69 |
| eggs | 1.542x − 2.405 | 0.908 | 36.32 | |
| Spirodiclofen | adults | 1.388x − 2.980 | 0.975 | 140.3 |
| eggs | 1.681x − 0.489 | 0.901 | 1.954 | |
| Etoxazole | adults | 1.755x − 4.260 | 0.913 | 267.7 |
| eggs | 1.434x + 2.001 | 0.952 | 0.040 |
| Acaricides | Manufacturer |
|---|---|
| Cyetpyrafen 98% a.i. | Shenyang NovPharm Technology Co., Ltd. (Liaoning, China) |
| Cyetpyrafen 30% SC | |
| Cyenopyrafen 95% a.i. | Nissan Chemical Ind., Ltd. (Shanghai, China) |
| Cyenopyrafen 30% SC | |
| Bifenazate 98% a.i. | Qingdao Runnong Chemical Co., Ltd. (Qingdao, China) |
| Bifenazate 43% SC | Qingdao Zhongda Agritech Co., Ltd. (Qingdao, China) |
| Abamectin 96% a.i. | Shandong Jingbo Agrochemicals Technology Co., Ltd. (Binzhou, China) |
| Abamectin 3% ME | Shaanxi Sunger Road Bio-science Co., Ltd. (Xi’an, China) |
| Azocyclotin 95% a.i | Zhaoyuan Sanlian Chemical Co., Ltd. (Yantai, China) |
| Azocyclotin 20% SC | Shandong Qixia Tongda Chemical Co., Ltd. (Yantai, China) |
| Spirodiclofen 98% a.i. | Hailir Pesticides and Chemicals Group Co., Ltd. (Qingdao, China) |
| Spirodiclofen 240 g/L SC | Hailir Pesticides and Chemicals Group Co., Ltd. (Qingdao, China) |
| Etoxazole 96% a.i. | Hunan Haohua Chemical Co., Ltd. (Zhuzhou, China) |
| Etoxazole 30% SC | Shaanxi Sunger Road Bio-science Co., Ltd. (Xi’an, China) |
| Cyflumetofen 98% a.i. | Shandong Sino-Agri United Biotechnology Co., Ltd. (Jinan, China) |
Disclaimer/Publisher’s Note: The statements, opinions and data contained in all publications are solely those of the individual author(s) and contributor(s) and not of MDPI and/or the editor(s). MDPI and/or the editor(s) disclaim responsibility for any injury to people or property resulting from any ideas, methods, instructions or products referred to in the content. |
© 2024 by the authors. Licensee MDPI, Basel, Switzerland. This article is an open access article distributed under the terms and conditions of the Creative Commons Attribution (CC BY) license (https://creativecommons.org/licenses/by/4.0/).
Share and Cite
Jiang, L.; Wang, H.; Qiao, K.; Wu, C. Increasing Cyetpyrafen Spray Volume and Ozone Spray Improves the Control Effects against Two-Spotted Spider Mite (Tetranychus urticae) in Strawberries. Plants 2024, 13, 1792. https://doi.org/10.3390/plants13131792
Jiang L, Wang H, Qiao K, Wu C. Increasing Cyetpyrafen Spray Volume and Ozone Spray Improves the Control Effects against Two-Spotted Spider Mite (Tetranychus urticae) in Strawberries. Plants. 2024; 13(13):1792. https://doi.org/10.3390/plants13131792
Chicago/Turabian StyleJiang, Lili, Hairong Wang, Kang Qiao, and Chong Wu. 2024. "Increasing Cyetpyrafen Spray Volume and Ozone Spray Improves the Control Effects against Two-Spotted Spider Mite (Tetranychus urticae) in Strawberries" Plants 13, no. 13: 1792. https://doi.org/10.3390/plants13131792
APA StyleJiang, L., Wang, H., Qiao, K., & Wu, C. (2024). Increasing Cyetpyrafen Spray Volume and Ozone Spray Improves the Control Effects against Two-Spotted Spider Mite (Tetranychus urticae) in Strawberries. Plants, 13(13), 1792. https://doi.org/10.3390/plants13131792

