Effects of Red and Blue Light on the Growth, Photosynthesis, and Subsequent Growth under Fluctuating Light of Cucumber Seedlings
Abstract
1. Introduction
2. Results
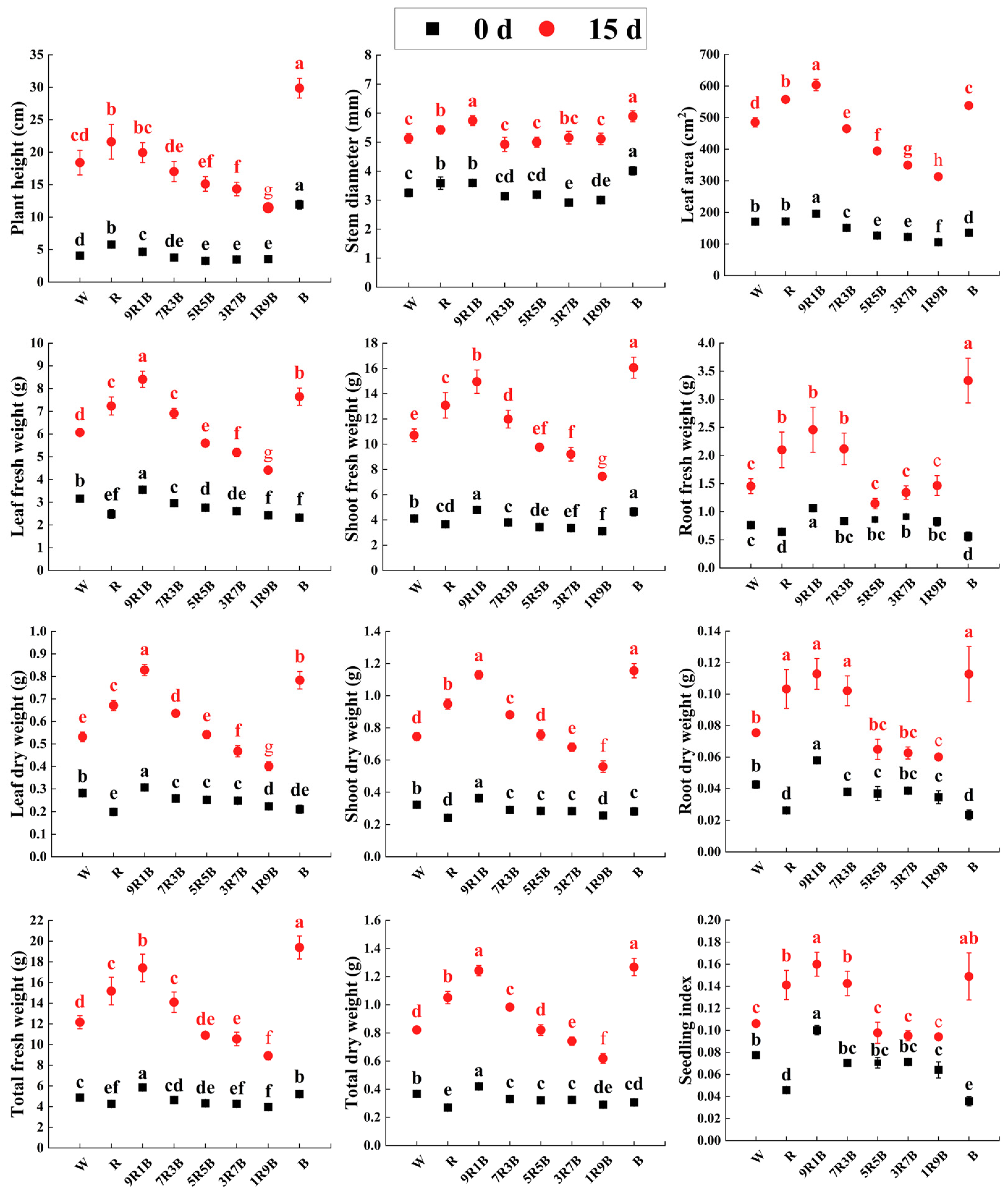
2.1. Effect of Red and Blue Light on Growth and Morphology of Cucumber Seedlings
2.2. Effect of Red and Blue Light on the Actual Net Photosynthetic Rate of Cucumber Seedlings
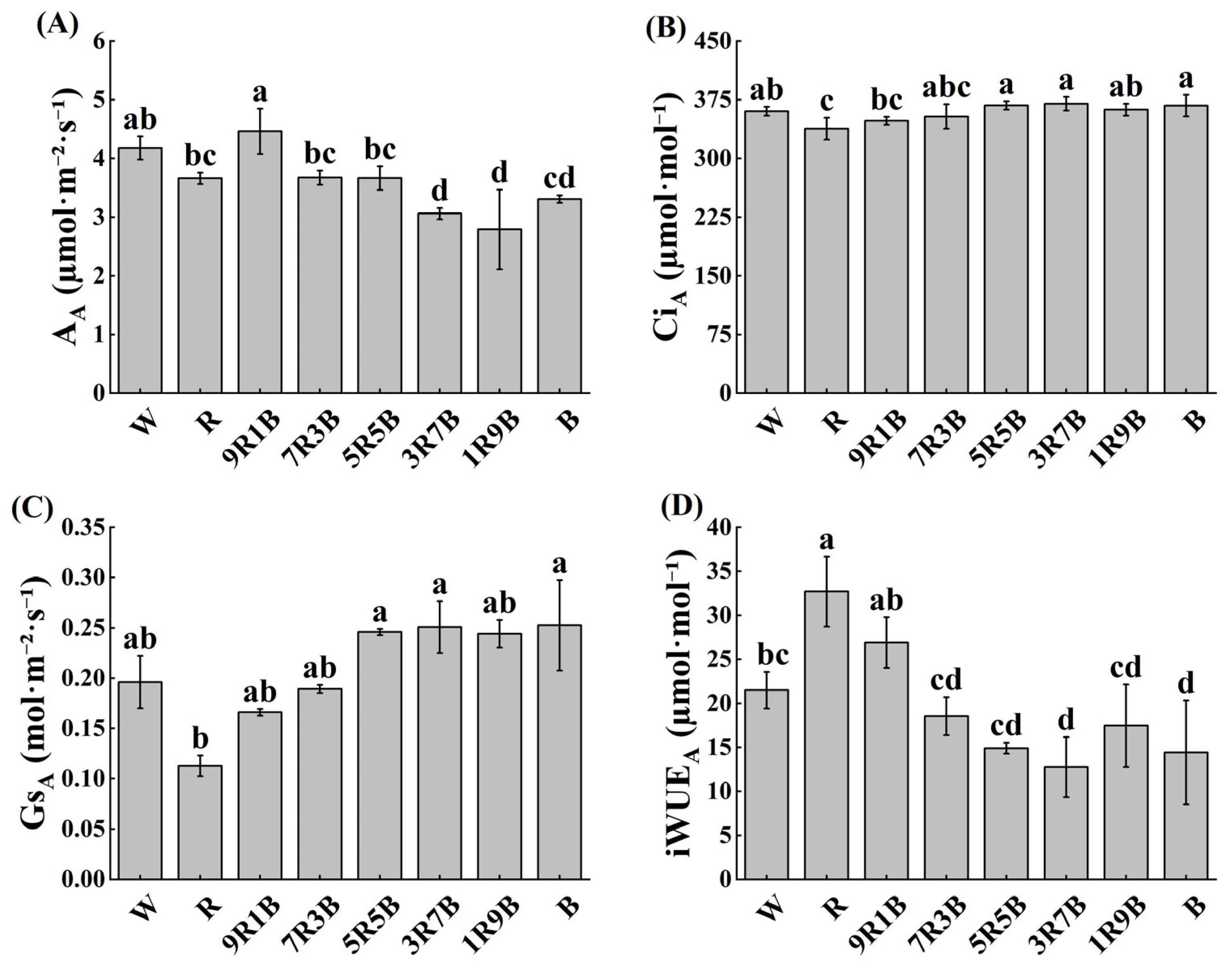
2.3. Effect of Red and Blue Light on Steady-State Photosynthesis of Cucumber Seedlings
2.4. Effect of Red and Blue Light on Dynamic Photosynthesis of Cucumber Seedlings
2.5. Effect of Red and Blue Light on Stomatal Characteristics of Cucumber Seedlings
2.6. Effect of Red and Blue Light on the Growth of Cucumber Seedlings under Subsequent Fluctuating Light
2.7. Correlation Analysis under Mixed Red and Blue Light
3. Discussion
3.1. Plant Growth and Morphological Characteristics of Cucumber Seedlings Were Significantly Affected by Red and Blue Light
3.2. Photosynthetic Characteristics of Cucumber Seedlings Were Significantly Affected by Red and Blue Light
3.3. Growth of Cucumber Seedlings under Subsequent Fluctuating Light Was Significantly Affected by Red and Blue Light
4. Materials and Methods
4.1. Plant Materials and Experimental Design
4.2. Growth and Morphology Parameter Measurement
4.3. Photosynthetic Gas Exchange and Chlorophyll Fluorescence Parameter Measurement
4.4. Stomatal Characteristic Measurement
4.5. Statistics
5. Conclusions
Supplementary Materials
Author Contributions
Funding
Data Availability Statement
Conflicts of Interest
References
- Liang, Y.; Kang, C.; Kaiser, E.; Kuang, Y.; Yang, Q.; Li, T. Red/blue light ratios induce morphology and physiology alterations differently in cucumber and tomato. Sci. Hortic. 2021, 281, 109995. [Google Scholar] [CrossRef]
- Jeong, H.W.; Lee, H.R.; Kim, H.M.; Kim, H.M.; Hwang, H.S.; Hwang, S.J. Using light quality for growth control of cucumber seedlings in closed-type plant production system. Plants 2020, 9, 639. [Google Scholar] [CrossRef] [PubMed]
- Claypool, N.B.; Lieth, J.H. Green light improves photosystem stoichiometry in cucumber seedlings (Cucumis sativus) compared to monochromatic red light. Plants 2021, 10, 824. [Google Scholar] [CrossRef] [PubMed]
- Hogewoning, S.W.; Trouwborst, G.; Maljaars, H.; Poorter, H.; van Ieperen, W.; Harbinson, J. Blue light dose-responses of leaf photosynthesis, morphology, and chemical composition of Cucumis sativus grown under different combinations of red and blue light. J. Exp. Bot. 2010, 61, 3107–3117. [Google Scholar] [CrossRef] [PubMed]
- Hernández, R.; Eguchi, T.; Kubota, C. Growth and morphology of vegetable seedlings under different blue and red photon flux ratios using light-emitting diodes as sole-source lighting. Acta Horticulturae 2016, 1134, 195–200. [Google Scholar] [CrossRef]
- Naznin, M.T.; Lefsrud, M.; Gravel, V.; Azad, M.O.K. Blue light added with red LEDs enhance growth characteristics, pigments content, and antioxidant capacity in lettuce, spinach, kale, basil, and sweet pepper in a controlled environment. Plants 2019, 8, 93. [Google Scholar] [CrossRef] [PubMed]
- Fukuda, N.; Ajima, C.; Yukawa, T.; Olsen, J.E. Antagonistic action of blue and red light on shoot elongation in petunia depends on gibberellin, but the effects on flowering are not generally linked to gibberellin. Environ. Exp. Bot. 2016, 121, 102–111. [Google Scholar] [CrossRef]
- Fang, L.; Ma, Z.; Wang, Q.; Nian, H.; Ma, Q.; Huang, Q.; Mu, Y. Plant growth and photosynthetic characteristics of soybean seedlings under different led lighting quality Conditions. J. Plant Growth Regul. 2020, 40, 668–678. [Google Scholar] [CrossRef]
- Samuoliene, G.; Virsile, A.; Haimi, P.; Miliauskiene, J. Photoresponse to different lighting strategies during red leaf lettuce growth. J. Photochem. Photobiol. B 2020, 202, 111726. [Google Scholar] [CrossRef]
- Xiong, Z.; Dun, Z.; Wang, Y.; Yang, D.; Xiong, D.; Cui, K.; Peng, S.; Huang, J. Effect of stomatal morphology on leaf photosynthetic induction under fluctuating light in rice. Front. Plant Sci. 2021, 12, 754790. [Google Scholar] [CrossRef]
- Matsuda, R.; Ito, H.; Fujiwara, K. Effects of artificially reproduced fluctuations in sunlight spectral distribution on the net photosynthetic rate of cucumber leaves. Front. Plant Sci. 2021, 12, 675810. [Google Scholar] [CrossRef] [PubMed]
- Allahverdiyeva, Y.; Suorsa, M.; Tikkanen, M.; Aro, E.M. Photoprotection of photosystems in fluctuating light intensities. J. Exp. Bot. 2015, 66, 2427–2436. [Google Scholar] [CrossRef] [PubMed]
- Kono, M.; Terashima, I. Long-term and short-term responses of the photosynthetic electron transport to fluctuating light. J. Photochem. Photobiol. B 2014, 137, 89–99. [Google Scholar] [CrossRef] [PubMed]
- Panda, D.; Dash, G.K.; Mohanty, S.; Sekhar, S.; Roy, A.; Tudu, C.; Behera, L.; Tripathy, B.C.; Baig, M.J. Phytochrome A mediated modulation of photosynthesis, development and yield in rice (Oryza sativa L.) in fluctuating light environment. Environ. Exp. Bot. 2023, 206, 105183. [Google Scholar] [CrossRef]
- Liu, J.; van Iersel, M.W. Photosynthetic Physiology of blue, green, and red light: Light intensity effects and underlying mechanisms. Front. Plant Sci. 2021, 12, 619987. [Google Scholar] [CrossRef] [PubMed]
- Miao, Y.-X.; Wang, X.-Z.; Gao, L.-H.; Chen, Q.-Y.; Qu, M. Blue light is more essential than red light for maintaining the activities of photosystem II and I and photosynthetic electron transport capacity in cucumber leaves. J. Integr. Agric. 2016, 15, 87–100. [Google Scholar] [CrossRef]
- Miao, Y.; Chen, Q.; Qu, M.; Gao, L.; Hou, L. Blue light alleviates ‘red light syndrome’ by regulating chloroplast ultrastructure, photosynthetic traits and nutrient accumulation in cucumber plants. Sci. Hortic. 2019, 257, 108680. [Google Scholar] [CrossRef]
- Savvides, A.; Fanourakis, D.; van Ieperen, W. Co-ordination of hydraulic and stomatal conductances across light qualities in cucumber leaves. J. Exp. Bot. 2012, 63, 1135–1143. [Google Scholar] [CrossRef] [PubMed]
- Wu, Q.; Su, N.; Shen, W.; Cui, J. Analyzing photosynthetic activity and growth of Solanum lycopersicum seedlings exposed to different light qualities. Acta Physiol. Plant. 2014, 36, 1411–1420. [Google Scholar] [CrossRef]
- Wang, H.; Gu, M.; Cui, J.; Shi, K.; Zhou, Y.; Yu, J. Effects of light quality on CO2 assimilation, chlorophyll-fluorescence quenching, expression of Calvin cycle genes and carbohydrate accumulation in Cucumis sativus. J. Photochem. Photobiol. B 2009, 96, 30–37. [Google Scholar] [CrossRef]
- Clavijo-Herrera, J.; van Santen, E.; Gómez, C. Growth, water-use efficiency, stomatal conductance, and nitrogen uptake of two lettuce cultivars grown under different percentages of blue and red light. Horticulturae 2018, 4, 16. [Google Scholar] [CrossRef]
- Liu, J.; Zhang, J.; Estavillo, G.M.; Luo, T.; Hu, L. Leaf N content regulates the speed of photosynthetic induction under fluctuating light among canola genotypes (Brassica napus L.). Physiol. Plant 2021, 172, 1844–1852. [Google Scholar] [CrossRef] [PubMed]
- Qu, M.; Hamdani, S.; Li, W.; Wang, S.; Tang, J.; Chen, Z.; Song, Q.; Li, M.; Zhao, H.; Chang, T.; et al. Rapid stomatal response to fluctuating light: An under-explored mechanism to improve drought tolerance in rice. Funct. Plant Biol. 2016, 43, 727–738. [Google Scholar] [CrossRef] [PubMed]
- Li, X.; Zhao, S.; Lin, A.; Yang, Y.; Zhang, G.; Xu, P.; Wu, Y.; Yang, Z. Effect of different ratios of red and blue light on maximum stomatal conductance and response rate of cucumber seedling leaves. Agronomy 2023, 13, 1941. [Google Scholar] [CrossRef]
- Ahmadi, T.; Shabani, L.; Sabzalian, M.R. Improvement in drought tolerance of lemon balm, Melissa officinalis L. under the pre-treatment of LED lighting. Plant Physiol Biochem 2019, 139, 548–557. [Google Scholar] [CrossRef] [PubMed]
- Ginzburg, D.N.; Klein, J.D. LED pre-exposure shines a new light on drought tolerance complexity in lettuce (Lactuca sativa) and rocket (Eruca sativa). Environ. Exp. Bot. 2020, 180, 104240. [Google Scholar] [CrossRef]
- Kang, C.; Zhang, Y.; Cheng, R.; Kaiser, E.; Yang, Q.; Li, T. Acclimating cucumber plants to blue supplemental light promotes growth in full sunlight. Front. Plant Sci. 2021, 12, 782465. [Google Scholar] [CrossRef] [PubMed]
- Papanatsiou, M.; Petersen, J.; Henderson, L.; Wang, Y.; Christie, J.M.; Blatt, M.R. Optogenetic manipulation of stomatal kinetics improves carbon assimilation, water use, and growth. Science 2019, 363, 1456–1459. [Google Scholar] [CrossRef]
- Izzo, L.G.; Hay Mele, B.; Vitale, L.; Vitale, E.; Arena, C. The role of monochromatic red and blue light in tomato early photomorphogenesis and photosynthetic traits. Environ. Exp. Bot. 2020, 179, 104195. [Google Scholar] [CrossRef]
- Kong, Y.; Stasiak, M.; Dixon, M.A.; Zheng, Y. Blue light associated with low phytochrome activity can promote elongation growth as shade-avoidance response: A comparison with red light in four bedding plant species. Environ. Exp. Bot. 2018, 155, 345–359. [Google Scholar] [CrossRef]
- Kaiser, E.; Ouzounis, T.; Giday, H.; Schipper, R.; Heuvelink, E.; Marcelis, L.F.M. Adding blue to red supplemental light increases biomass and yield of greenhouse-grown tomatoes, but only to an optimum. Front. Plant Sci. 2018, 9, 2002. [Google Scholar] [CrossRef] [PubMed]
- Wang, X.Y.; Xu, X.M.; Cui, J. The importance of blue light for leaf area expansion, development of photosynthetic apparatus, and chloroplast ultrastructure of Cucumis sativus grown under weak light. Photosynthetica 2015, 53, 213–222. [Google Scholar] [CrossRef]
- Di, Q.; Li, J.; Du, Y.; Wei, M.; Shi, Q.; Li, Y.; Yang, F. Combination of red and blue lights improved the growth and development of eggplant (Solanum melongena L.) seedlings by regulating photosynthesis. J. Plant Growth Regul. 2020, 40, 1477–1492. [Google Scholar] [CrossRef]
- Hernández, R.; Kubota, C. Physiological responses of cucumber seedlings under different blue and red photon flux ratios using LEDs. Environ. Exp. Bot. 2016, 121, 66–74. [Google Scholar] [CrossRef]
- Chen, X.L.; Li, Y.L.; Wang, L.C.; Guo, W.Z. Red and blue wavelengths affect the morphology, energy use efficiency and nutritional content of lettuce (Lactuca sativa L.). Sci. Rep. 2021, 11, 8374. [Google Scholar] [CrossRef] [PubMed]
- He, J.; Qin, L.; Soon Chow, W. Impacts of LED spectral quality on leafy vegetables: Productivity closely linked to photosynthetic performance or associated with leaf traits? Int. J. Agric. Biol. Eng. 2019, 12, 16–25. [Google Scholar] [CrossRef]
- Xiong, Z.; Xiong, D.; Cai, D.; Wang, W.; Cui, K.; Peng, S.; Huang, J. Effect of stomatal morphology on leaf photosynthetic induction under fluctuating light across diploid and tetraploid rice. Environ. Exp. Bot. 2022, 194, 104757. [Google Scholar] [CrossRef]
- Eyland, D.; van Wesemael, J.; Lawson, T.; Carpentier, S. The impact of slow stomatal kinetics on photosynthesis and water use efficiency under fluctuating light. Plant Physiol. 2021, 186, 998–1012. [Google Scholar] [CrossRef] [PubMed]
- Sakoda, K.; Yamori, W.; Groszmann, M.; Evans, J.R. Stomatal, mesophyll conductance, and biochemical limitations to photosynthesis during induction. Plant Physiol. 2021, 185, 146–160. [Google Scholar] [CrossRef]
- Hamedalla, A.M.; Ali, M.M.; Ali, W.M.; Ahmed, M.A.A.; Kaseb, M.O.; Kalaji, H.M.; Gajc-Wolska, J.; Yousef, A.F. Increasing the performance of cucumber (Cucumis sativus L.) seedlings by LED illumination. Sci. Rep. 2022, 12, 852. [Google Scholar] [CrossRef]
- Li, Y.; Liu, Z.; Shi, Q.; Yang, F.; Wei, M. Mixed red and blue light promotes tomato seedlings growth by influencing leaf anatomy, photosynthesis, CO2 assimilation and endogenous hormones. Sci. Hortic. 2021, 290, 110500. [Google Scholar] [CrossRef]
- Xiong, D.; Liu, X.; Liu, L.; Douthe, C.; Li, Y.; Peng, S.; Huang, J. Rapid responses of mesophyll conductance to changes of CO2 concentration, temperature and irradiance are affected by N supplements in rice. Plant Cell Environ. 2015, 38, 2541–2550. [Google Scholar] [CrossRef] [PubMed]
- Li, Q.; Zhou, L.; Chen, Y.; Xiao, N.; Zhang, D.; Zhang, M.; Wang, W.; Zhang, C.; Zhang, A.; Li, H.; et al. Phytochrome interacting factor regulates stomatal aperture by coordinating red light and abscisic acid. Plant Cell 2022, 34, 4293–4312. [Google Scholar] [CrossRef] [PubMed]









| Treatments | Af | Gsf | Cif | iWUEf | Gsd | Rd |
|---|---|---|---|---|---|---|
| (µmol·m−2·s−1) | (mol·m−2·s−1) | (µmol·mol−1) | (µmol·mol−1) | (mol·m−2·s−1) | (µmol·m−2·s−1) | |
| W | 13.20 ± 0.31 b | 0.36 ± 0.07 a | 326.79 ± 12.70 b | 37.95 ± 7.97 a | 0.064 ± 0.025 a | 0.65 ± 0.13 ab |
| R | 7.43 ± 0.34 d | 0.26 ± 0.06 b | 341.64 ± 9.36 a | 29.22 ± 5.83 b | 0.073 ± 0.017 a | 0.25 ± 0.15 c |
| 9R1B | 9.72 ± 0.89 c | 0.34 ± 0.01 ab | 341.99 ± 2.85 a | 28.57 ± 1.50 b | 0.082 ± 0.007 a | 0.58 ± 0.12 ab |
| 7R3B | 16.17 ± 1.13 a | 0.42 ± 0.05 a | 325.70 ± 3.15 b | 38.28 ± 1.94 a | 0.079 ± 0.017 a | 0.75 ± 0.17 ab |
| 5R5B | 17.33 ± 0.72 a | 0.42 ± 0.01 a | 321.29 ± 2.55 b | 40.85 ± 1.58 a | 0.063 ± 0.039 a | 0.60 ± 0.13 ab |
| 3R7B | 17.53 ± 0.27 a | 0.43 ± 0.04 a | 321.17 ± 5.13 b | 40.63 ± 3.37 a | 0.053 ± 0.029 a | 0.44 ± 0.12 bc |
| 1R9B | 16.14 ± 1.53 a | 0.41 ± 0.04 a | 323.17 ± 9.81 b | 40.07 ± 5.68 a | 0.089 ± 0.027 a | 0.79 ± 0.28 a |
| B | 13.47 ± 0.97 b | 0.40 ± 0.07 a | 332.21 ± 7.92 ab | 34.33 ± 4.67 ab | 0.082 ± 0.012 a | 0.64 ± 0.13 ab |
| Treatments | T50%A | T90%A | 1/τR | T50%Gs | T90%Gs | λ | Slmax |
|---|---|---|---|---|---|---|---|
| (min) | (min) | (min−1) | (min) | (min) | (min) | (mol·m−2·s−1) | |
| W | 13.56 ± 0.10 ab | 23.33 ± 0.44 abc | 0.085 ± 0.015 c | 24.72 ± 2.50 a | 33.94 ± 3.62 ab | 9.85 ± 2.82 b | 0.018 ± 0.008 b |
| R | 8.22 ± 2.74 c | 26.17 ± 1.30 a | 0.290 ± 0.161 a | 23.78 ± 1.75 a | 37.00 ± 3.33 a | 13.68 ± 0.97 a | 0.012 ± 0.006 c |
| 9R1B | 13.94 ± 1.02 ab | 24.50 ± 2.89 ab | 0.074 ± 0.008 c | 25.83 ± 3.88 a | 34.83 ± 2.68 ab | 10.96 ± 0.93 ab | 0.015 ± 0.004 bc |
| 7R3B | 11.39 ± 0.19 bc | 19.83 ± 2.52 cd | 0.155 ± 0.023 b | 21.28 ± 1.00 a | 28.67 ± 1.09 bc | 8.57 ± 2.77 bc | 0.024 ± 0.003 ab |
| 5R5B | 14.56 ± 1.39 ab | 21.22 ± 0.59 bcd | 0.074 ± 0.009 c | 23.00 ± 1.48 a | 29.50 ± 2.35 bc | 10.44 ± 1.83 ab | 0.028 ± 0.008 a |
| 3R7B | 15.56 ± 2.59 a | 22.94 ± 1.54 abc | 0.085 ± 0.034 c | 25.28 ± 2.61 a | 30.78 ± 2.71 bc | 11.85 ± 1.63 ab | 0.028 ± 0.006 a |
| 1R9B | 12.94 ± 1.07 ab | 18.11 ± 2.69 d | 0.077 ± 0.006 c | 20.67 ± 2.78 a | 26.22 ± 5.22 c | 7.78 ± 1.65 c | 0.025 ± 0.004 ab |
| B | 13.83 ± 3.59 ab | 22.11 ± 2.18 bc | 0.101 ± 0.060 bc | 22.44 ± 4.40 a | 29.72 ± 3.56 bc | 10.66 ± 2.70 ab | 0.023 ± 0.005 ab |
Disclaimer/Publisher’s Note: The statements, opinions and data contained in all publications are solely those of the individual author(s) and contributor(s) and not of MDPI and/or the editor(s). MDPI and/or the editor(s) disclaim responsibility for any injury to people or property resulting from any ideas, methods, instructions or products referred to in the content. |
© 2024 by the authors. Licensee MDPI, Basel, Switzerland. This article is an open access article distributed under the terms and conditions of the Creative Commons Attribution (CC BY) license (https://creativecommons.org/licenses/by/4.0/).
Share and Cite
Wang, T.; Sun, Q.; Zheng, Y.; Xu, Y.; Liu, B.; Li, Q. Effects of Red and Blue Light on the Growth, Photosynthesis, and Subsequent Growth under Fluctuating Light of Cucumber Seedlings. Plants 2024, 13, 1668. https://doi.org/10.3390/plants13121668
Wang T, Sun Q, Zheng Y, Xu Y, Liu B, Li Q. Effects of Red and Blue Light on the Growth, Photosynthesis, and Subsequent Growth under Fluctuating Light of Cucumber Seedlings. Plants. 2024; 13(12):1668. https://doi.org/10.3390/plants13121668
Chicago/Turabian StyleWang, Tengqi, Qiying Sun, Yinjian Zheng, Yaliang Xu, Binbin Liu, and Qingming Li. 2024. "Effects of Red and Blue Light on the Growth, Photosynthesis, and Subsequent Growth under Fluctuating Light of Cucumber Seedlings" Plants 13, no. 12: 1668. https://doi.org/10.3390/plants13121668
APA StyleWang, T., Sun, Q., Zheng, Y., Xu, Y., Liu, B., & Li, Q. (2024). Effects of Red and Blue Light on the Growth, Photosynthesis, and Subsequent Growth under Fluctuating Light of Cucumber Seedlings. Plants, 13(12), 1668. https://doi.org/10.3390/plants13121668

