Anthocyanin Production from Plant Cell and Organ Cultures In Vitro
Abstract
:1. Introduction
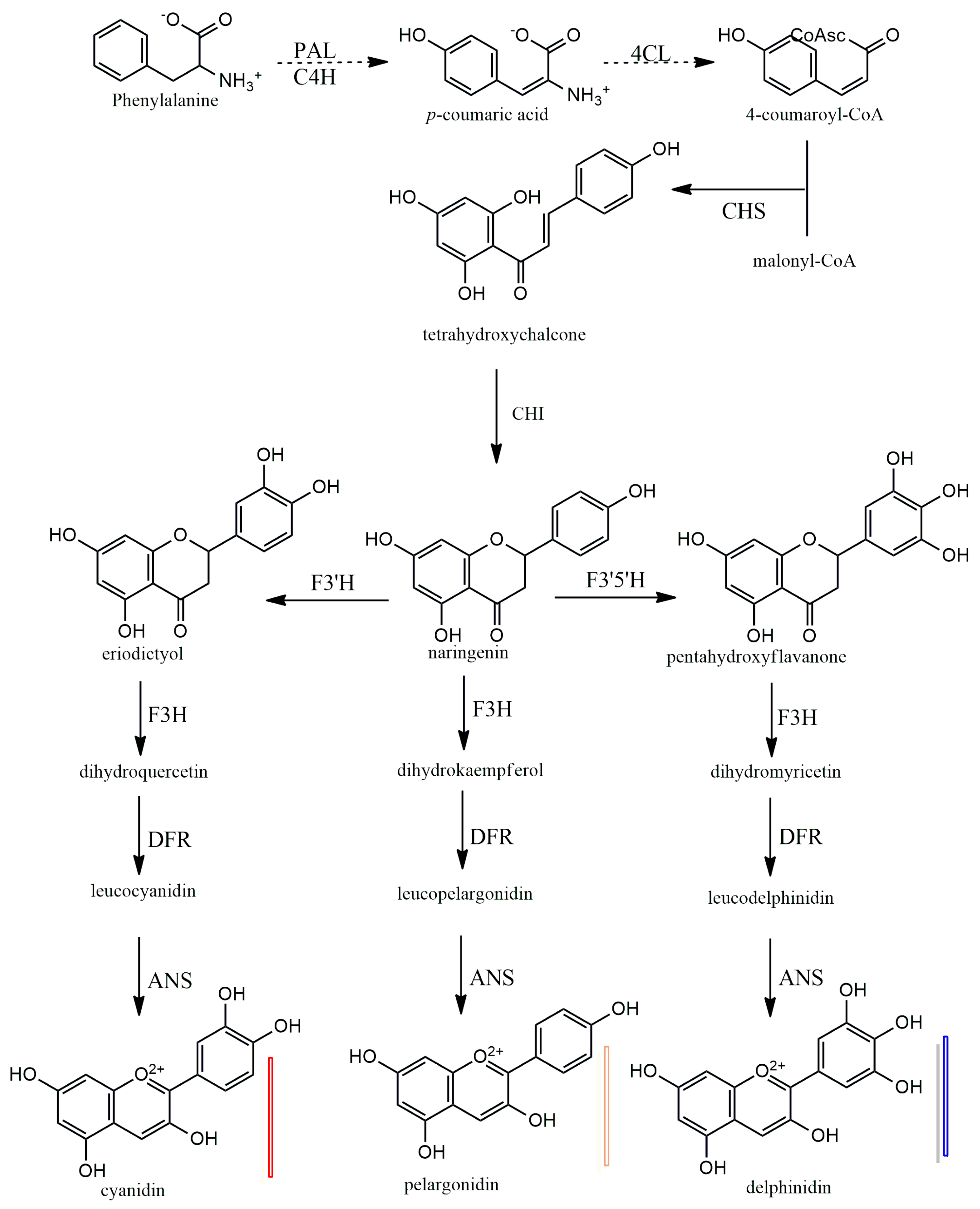
2. Biosynthesis of Anthocyanins
3. Production of Anthocyanins Using Plant Cell and Organ Cultures
3.1. Strategies Applied for the Production of Anthocyanins in Cell and Organ Cultures
3.1.1. Selection of Cell Lines
3.1.2. Optimization of Nutrient Medium
3.1.3. Influence of Carbon, Nitrogen, and Phosphorous
3.1.4. Influence of Plant Growth Regulators
3.1.5. Influence of Light, Temperature, and Medium pH
3.1.6. Elicitation
4. Application of Metabolic Engineering
5. Scale-Up Process
6. Extraction of Anthocyanins
7. Conclusions
Author Contributions
Funding
Institutional Review Board Statement
Informed Consent Statement
Data Availability Statement
Acknowledgments
Conflicts of Interest
References
- Rodriguez-Amaya, D.B. Natural food pigments and colorants. Curr. Opin. Food Sci. 2016, 7, 20–26. [Google Scholar] [CrossRef]
- Sigurdson, G.T.; Tang, P.; Giusti, M.M. Natural colorants: Food colorants from natural sources. Annu. Rev. Food Sci. Technol. 2017, 8, 261–280. [Google Scholar] [CrossRef] [PubMed]
- Das, M.; Dash, U.; Mahanand, S.S.; Nayak, P.K.; Kesavan, R.K. Black rice: A comprehensive review on its bioactive compounds, potential health benefits and food applications. Food Chem. Adv. 2023, 3, 100462. [Google Scholar] [CrossRef]
- Mojica, L.; Berhow, M.; Mejia, E.F.D. Black bean anthocyanin-rich extracts as food colorants: Physiochemical stability and antidiabetic potential. Food Chem. 2017, 229, 628–639. [Google Scholar] [CrossRef] [PubMed]
- Khoo, H.E.; Azlan, A.; Tang, S.T.; Lim, S.M. Anthocyanidins and anthocyanins: Colored pigments as food, pharmaceutical ingredients, and the potential health benefits. Food Nutr. Res. 2017, 61, 1361779. [Google Scholar] [CrossRef] [PubMed]
- Konczak, I.; Zhang, W. Anthocyanins—More than nature’s colours. J. Biomed. Biotechnol. 2004, 2004, 239–240. [Google Scholar] [CrossRef]
- Castaneda-Ovando, A.; Paceco-Hernandez, M.D.L.; Paez-Hernandez, M.E.; Rodriguez, J.A.; Galan-Vidal, C.A. Chemical studies of anthocyanins: A review. Food Chem. 2009, 113, 859–871. [Google Scholar] [CrossRef]
- Dey, P.M.; Harborne, J.B. Plant phenolics in Plant Biochemistry. Academic Press Ltd.: London, UK, 1997; pp. 326–341. [Google Scholar]
- He, J.; Giusti, M.M. Anthocyanins: Natural colorants with health-promoting properties. Annu. Rev. Food Sci. Technol. 2010, 1, 163–187. [Google Scholar] [CrossRef]
- Fernadez-Lopez, J.A.; Fernadez-Lledo, V.; Angosto, J.M. New insights into red plant pigments: More than just natural colorants. RSC Adv. 2020, 10, 24669. [Google Scholar] [CrossRef]
- Al-Khayri, J.M.; Asghar, W.; Akhtar, A.; Ayub, H.; Aslam, I.; Khalid, N.; Al-Mssllem, M.Q.; Alessa, F.M.; Ghazzawy, H.S.; Attimard, M. Anthocyanin delivery systems: A critical review of recent research findings. Appl. Sci. 2022, 12, 12347. [Google Scholar] [CrossRef]
- Appelhagen, I.; Wulff-Vester, A.K.; Wendell, M.; Hvoslef-Eide, A.K.; Russell, J.; Oertel, A.; Martens, S.; Mock, H.P.; Martin, C.; Matros, A. Colour bio-factories: Towards scale-up production of anthocyanins in plant cell cultures. Metab. Eng. 2018, 48, 218–232. [Google Scholar] [CrossRef] [PubMed]
- Lyu, X.; Lyu, Y.; Yu, H.; Chen, W.; Ye, L.; Yang, R. Biotechnological advances for improving natural pigment production: A state-of-the-art review. Bioresour. Bioprocess. 2022, 9, 8. [Google Scholar] [CrossRef]
- Chandler, S.; Tanaka, Y. Genetic modification in floriculture. Crit. Rev. Plant Sci. 2007, 26, 169–197. [Google Scholar] [CrossRef]
- Schwinn, K.; Davies, K. “Flavonoids” In Plant Pigments and Their Manipulation; Davies, K.M., Ed.; CRC Press: Oxford, UK, 2004; Volume 14, pp. 92–136. [Google Scholar]
- Seitz, C.; Ameres, S.; Forkmann, G. Identification of the molecular basis for the functional difference between flavonoid 3’hydxylase and flavonoid 3’,5’-hydroxylase. FEBS Lett. 2007, 581, 34293434. [Google Scholar] [CrossRef] [PubMed]
- Tanaka, Y.; Tsuda, S.; Kusumi, T. Metabolic engineering to modify flower color. Plant Cell Physiol. 1998, 39, 1119–1126. [Google Scholar] [CrossRef]
- Tanaka, Y.; Katsumoto, Y.; Brugliera, F.; Mason, J. Genetic engineering in floriculture. Plant Cell Tissue Organ Cult. 2005, 80, 1–24. [Google Scholar] [CrossRef]
- Zhao, D.; Tao, J. Recent advances on the development and regulation of flower color in ornamental plants. Font Plant Sci. 2015, 6, 261. [Google Scholar] [CrossRef]
- Deroles, S. Anthocyanin biosynthesis in plant cell cultures: A potential source of natural colourants. In Anthocyanins, Biosynthesis, Functions, and Applications; Winefield, C., Davies, K., Gould, K., Eds.; Springer: New York, NY, USA, 2008; pp. 108–167. [Google Scholar] [CrossRef]
- Sietz, H.U.; Hinderer, W. Anthocyanins. In Cell Culture and Somatic Cell Genetics in Plants; Constabel, F., Vasil, I.K., Eds.; Academic Press: Cambridge, MA, USA, 1988; pp. 49–76. [Google Scholar]
- Zhang, W.; Furusaki, S. Production of anthocyanins by plant cell cultures. Biotechnol. Bioprocess Eng. 1999, 4, 231–252. [Google Scholar] [CrossRef]
- Belwal, T.; Singh, G.; Jeandet, P.; Pandey, A.; Giri, L.; Ramola, S.; Bhatt, I.D.; Venskutonis, P.R.; Georgiev, M.I.; Clement, C.; et al. Anthocyanins, multi-functional natural products of industrial relevance: Recent biotechnological advances. Biotechnol. Adv. 2020, 43, 107600. [Google Scholar] [CrossRef]
- Ananga, A.; Georgiev, V.; Ochieng, J.; Phills, B.; Tsolova, V. Production of anthocyanins in grape cell cultures: A potential source of raw materials for pharmaceutical, food and cosmetic industries. In The Mediterranean Genetic Code—Grapevine and Olive; Poljuha, D., Sladonja, B., Eds.; InTech: London, UK, 2013. [Google Scholar] [CrossRef]
- Madhavi, D.L.; Juthangkoon, S.; Lewen, K.; Berber-Jimenez, M.D.; Smith, M.A.L. Characterization of anthocyanin from Ajuga pyramidalis Metallica Crispa cell cultures. J. Agric. Food Chem. 1996, 44, 1170–1176. [Google Scholar] [CrossRef]
- Siatka, T. Effects of growth regulators on production of anthocyanins in callus cultures of Angelica archangelica. Nat. Prod. Commun. 2019, 2019, 1934578X19857344. [Google Scholar] [CrossRef]
- Shi, M.Z.; Xie, D.Y. Features of anthocyanin biosynthesis in pap1-D and wild-type Arabidopsis thaliana plants grown in different light intensity and culture media conditions. Planta 2010, 231, 1385–1400. [Google Scholar] [CrossRef] [PubMed]
- Liu, Z.; Shi, M.Z.; Xie, D.Y. Regulation of anthocyanin biosynthesis in Arabidopsis thaliana red pep1-D cells metabolically programmed by auxins. Planta 2014, 239, 765–781. [Google Scholar] [CrossRef] [PubMed]
- Sakamoto, K.; Iida, K.; Sawamura, K.; Hajiro, K.; Asada, Y.; Yoshikawa, T.; Furuya, T. Anthocyanin production in cultured cells of Aralia cordata Thunb. Plant Cell Tissue Organ Cult. 1994, 36, 21–26. [Google Scholar] [CrossRef]
- Simoes-Gurgel, C.; Cordeiro, L.D.S.; de Castro, T.C.; Callado, C.H.; Albarello, N.; Mansur, E. Establishment of anthocyanin-producing cell suspension cultures of Cleome rosea Vahl ex DC. (Capparaceae). Plant Cell Tissue Organ Cult. 2011, 106, 537–545. [Google Scholar] [CrossRef]
- Kinnersley, A.M.; Dougall, D.K. Increase in anthocyanin yield from wild-carrot cell cultures by a selection system based on cell-aggregate size. Planta 1980, 149, 200–204. [Google Scholar] [CrossRef] [PubMed]
- Dougall, D.K.; Johnson, J.M.; Whitten, G.H. A clonal analysis of anthocyanin accumulation by cell cultures of wild carrot. Planta 1980, 149, 292–297. [Google Scholar] [CrossRef] [PubMed]
- Ozeki, Y.; Komamine, A.; Noguchi, H.; Sankawa, U. Changes in activities of enzymes involved in flavonoid metabolism during the initiation and suppression of anthocyanin synthesis in carrot suspension cultures regulated by 2,4-dichlorophenoxyacetic acid. Physiol. Plant. 1987, 69, 123–128. [Google Scholar] [CrossRef]
- Nagarajan, R.P.; Keshavarz, E.; Gerson, D.F. Optimization of anthocyanin yield in a mutated carrot cell line (Daucus carota) and its implications in large scale production. J. Fermenta. Bioeng. 1989, 68, 102–106. [Google Scholar] [CrossRef]
- Rajendran, L.; Suvarnalatha, G.; Ravishankar, G.A.; Venkataraman, L.V. Enhancement of anthocyanin production in callus cultures of Daucus carota L. under the influence of fungal elicitors. Appl. Microbiol. Biotechnol. 1994, 42, 227–231. [Google Scholar] [CrossRef]
- Suvarnalatha, G.; Rajendran, L.; Ravishankar, G.A.; Venkataraman, L.V. Elicitation of anthocyanin production in cell cultures of carrot (Daucus carota L.) by using elicitors abiotic elicitors. Biotechnol. Lett. 1994, 16, 1275–1280. [Google Scholar] [CrossRef]
- Narayan, M.S.; Venkataraman, L.V. Effect of sugar and nitrogen on the production of anthocyanin in cultured carrot (Daucus carota) cells. J. Food Sci. 2002, 67, 84–86. [Google Scholar] [CrossRef]
- Sudha, G.; Raviashankar, G.A. Elicitation of anthocyanin production in callus cultures of Daucus carota and the involvement of methyl jasmonate and salicylic acid. Acta Physiol. Plant. 2003, 25, 249–256. [Google Scholar] [CrossRef]
- Narayan, M.S.; Thimmaraju, R.; Bhagyalakshmi, N. Interplay of growth regulators during solid-state and liquid-state batch cultivation of anthocyanin producing cell line of Daucus carota. Process Biochem. 2005, 40, 351–358. [Google Scholar] [CrossRef]
- Saad, K.R.; Parvatam, G.; Shetty, N.P. Medium composition potentially regulates the anthocyanin production from suspension culture of Daucus carota. 3 Biotech. 2018, 8, 134. [Google Scholar] [CrossRef]
- Barba-Espin, G.; Chen, S.T.; Agnolet, S.; Hegelund, J.N.; Stanstrup, J.; Christensen, J.H.; Muller, R.; Lutken, H. Ethephon-induced changes in antioxidants and phenolic compounds in anthocyanin-producing black carrot hairy root cultures. J. Exp. Bot. 2020, 71, 7030–7045. [Google Scholar] [CrossRef]
- Saad, K.R.; Kumar, G.; Mudliar, S.N.; Giridhar, P.; Shetty, N.P. Salt stress-induced anthocyanin biosynthesis genes and MATE transporter involved in anthocyanin accumulation in Daucus carota cell cultures. ACS Omega 2021, 6, 24502–24514. [Google Scholar] [CrossRef]
- Mori, T.; Sakurai, M. Production of anthocyanin from strawberry cell suspension cultures: Effects of sugar and nitrogen. J. Food Sci. 1994, 59, 588–593. [Google Scholar] [CrossRef]
- Nakamura, M.; Seki, M.; Furusaki, S. Enhanced anthocyanin methylation by growth limitation of strawberry suspension culture. Enz. Microb. Technol. 1998, 22, 404–408. [Google Scholar] [CrossRef]
- Zhang, W.; Jin, M.F.; Yu, X.J.; Yuan, Q. Enhanced anthocyanin production by repeated-batch culture of strawberry cells with medium shift. Appl. Microbiol. Biotechnol. 2001, 55, 164–169. [Google Scholar] [CrossRef]
- Edahiro, J.; Nakamura, M.; Seki, M.; Furusaki, S. Enhanced accumulation of anthocyanin in cultured strawberry cells by repetitive feeding of L-phenylalanine into the medium. J. Biosci. Bioeng. 2005, 99, 43–47. [Google Scholar] [CrossRef] [PubMed]
- Stickland, R.G.; Sunderland, N. Production of anthocyanins, flavonoids, and chlorogenic acid by cultured callus tissue of Haplopappus gracilis. Ann. Bot. 1972, 36, 443–457. Available online: https://www.jstor.org/stable/42752057 (accessed on 20 November 2023). [CrossRef]
- Ji, X.H.; Wang, Y.T.; Zhang, R.; Wu, S.J.; An, M.M.; Li, M.; Wang, C.Z.; Chen, X.L.; Zhang, Y.M.; Chen, X.S. Effect of auxin, cytokinin and nitrogen on anthocyanin biosynthesis in callus cultures of red-fleshed apple (Malus sieversii f. niedzwetzkyana). Plant Cell Tissue Organ Cult. 2015, 120, 325–337. [Google Scholar] [CrossRef]
- Sun, J.; Wang, Y.; Chen, X.; Gong, X.; Wang, N.; Ma, L.; Qiu, Y.; Wang, Y.; Fend, S. Effects of methyl jasmonate and abscisic acid on anthocyanin biosynthesis in callus cultures of red-fleshed apple (Malus sieversii f. niedzwetzkyana). Plant Cell Tissue Organ Cult. 2017, 130, 227–237. [Google Scholar] [CrossRef]
- Chan, L.K.; Koay, S.S.; Boey, P.L.; Bhatt, A. Effects of abiotic stress on biomass and anthocyanin production in cell cultures of Melastoma malabathricum. Biol. Res. 2010, 43, 127–135. [Google Scholar] [CrossRef] [PubMed]
- Meyer, H.J.; Van Staden, J. The in vitro production of an anthocyanin from callus cultures of Oxalis linearis. Plant Cell Tissue Organ Cult. 1995, 40, 55–58. [Google Scholar] [CrossRef]
- Mathur, A.; Mathur, A.K.; Gangwar, A.; Yadav, S.; Verma, P.; Sagwan, R.S. Anthocyanin production in a callus of Panax sikkimensis Ban. In Vitro Cell. Dev. Biol. Plant 2010, 46, 13–21. Available online: https://www.jstor.org/stable/40663763 (accessed on 20 November 2023). [CrossRef]
- Zhong, J.J.; Yoshida, T. Effects of temperature on cell growth and anthocyanin production in suspension cultures of Perilla frutescens. J. Ferment. Bioeng. 1993, 76, 530–531. [Google Scholar] [CrossRef]
- Zhong, J.J.; Yoshida, T. High-density cultivation of Perilla frutescens cell suspensions for anthocyanin production: Effects of sucrose concentration and inoculum size. Enz. Microb. Technol. 1995, 17, 1073–1079. [Google Scholar] [CrossRef]
- Wang, J.W.; Xia, Z.H.; Chu, J.H.; Tan, R.X. Simultaneous production of anthocyanin and triterpenoids in suspension cultures of Perilla frutescens. Enz. Microb. Technol. 2004, 34, 651–656. [Google Scholar] [CrossRef]
- Blando, F.; Scardino, A.P.; de Bellis, L.; Nicoletti, I.; Giovinazzo, G. Characterization of in vitro anthocyanin-producing sour cherry (Prunus cerasus L.) callus cultures. Food Res. Int. 2005, 38, 937–942. [Google Scholar] [CrossRef]
- Betsui, F.; Tanaka-Nishikawa, N.; Shimomura, K. Anthocyanin production in adventitious root cultures of Raphanus sativus L. cv. Peking Koushin. Plant. Biotechnol. 2004, 21, 387–391. [Google Scholar] [CrossRef]
- Ram, M.; Prasad, K.V.; Singh, S.K.; Hada, B.S.; Kumar, S. Influence of salicylic acid and methyl jasmonate elicitation on anthocyanin production in callus cultures of Rosa hybrida L. Plant Cell Tissue Organ Cult. 2013, 113, 459–467. [Google Scholar] [CrossRef]
- Madhavi, D.L.; Smith, M.A.L.; Berber-Jimenez, M.D. Expression of anthocyanin in callus cultures of cranberry (Vaccinium macrocarpon Ait). J. Food Sci. 1995, 60, 351–355. [Google Scholar] [CrossRef]
- Hirasuna, T.J.; Shuler, M.L.; Lackney, V.K.; Spanswick, R.M. Enhanced anthocyanin production in grape cell cultures. Plant Sci. 1991, 78, 107–120. [Google Scholar] [CrossRef]
- Do, C.B.; Cormier, F. Effects of low nitrate and high sugar concentrations on anthocyanin content and composition of grape (Vitis vinifera L.) cell suspension. Plant Cell Rep. 1991, 9, 500–504. [Google Scholar] [CrossRef]
- Cormier, F.; Do, C.B.; Nicolas, Y. Anthocyanin production in selected cell lines of grape (Vitis vinifera L.). In Vitro Cell. Dev. Biol. Plant 1994, 30, 171–173. [Google Scholar] [CrossRef]
- Dedaldechamp, F.; Uhel, C.; Macheix, J.J. Enhancement of anthocyanin synthesis and dihydroflavonol reductase (DFR) activity in response to phosphate deprivation in grape cell suspension. Phytochemistry 1995, 40, 1357–1360. [Google Scholar] [CrossRef]
- Qu, J.; Zhang, W.; Yu, X. A combination of elicitation and precursor feeding leads to increased anthocyanin synthesis in cell suspension cultures of Vitis vinifera. Plant Cell Tissue Organ Cult. 2011, 107, 261–269. [Google Scholar] [CrossRef]
- Gagne, S.; Cluzet, S.; Merillon, J.M.; Geny, L. ABA initiates anthocyanin production in grape cell cultures. J. Plant Growth Regul. 2011, 30, 1–10. [Google Scholar] [CrossRef]
- Cai, Z.; Knorr, D.; Smetanska, I. Enhanced anthocyanins and resveratrol production in Vitis vinifera cell suspension culture by indanoyl-isoleucine, N-linolenoyl-L-glutamine and insect saliva. Enz. Microb. Technol. 2012, 50, 29–34. [Google Scholar] [CrossRef] [PubMed]
- Cai, Z.; Kastell, A.; Mewis, I.; Knorr, D.; Smetanska, I. Polysaccharide elicitors enhance anthocyanin and phenolic acid accumulation in cell suspension cultures of Vitis vinifera. Plant Cell Tissue Organ Cult. 2012, 108, 401–409. [Google Scholar] [CrossRef]
- Saw, N.M.M.T.; Riedel, H.; Cai, Z.; Kutuk, O.; Smetanska, I. Stimulation of anthocyanin synthesis in grape (Vitis vinifera) cell cultures by pulsed electric fields and ethephon. Plant Cell Tissue Organ Cult. 2012, 108, 47–54. [Google Scholar] [CrossRef]
- Yin, Y.; Borges, G.; Sakuta, M.; Crozier, A.; Ashihara, H. Effect of phosphate deficiency on the content and biosynthesis of anthocyanins and the expression of related genes in suspension-cultured grape (Vitis sp.) cells. Plant Physiol. Biochem. 2012, 55, 77–84. [Google Scholar] [CrossRef] [PubMed]
- Murthy, H.N.; Lee, E.J.; Paek, K.Y. Production of secondary metabolites from cell and organ cultures: Strategies and approaches for biomass improvement and metabolite accumulation. Plant Cell Tissue Organ Cult. 2014, 118, 1–16. [Google Scholar] [CrossRef]
- He, F.; Mu, L.; Yan, G.L.; Liang, N.N.; Pan, Q.A.H.; Wang, J.; Reeves, M.J.; Duan, C.Q. Biosynthesis of anthocyanins and their regulation in colored grapes. Molecules 2010, 15, 9057–9091. [Google Scholar] [CrossRef] [PubMed]
- Qu, J.; Zhang, W.; Yu, X.; Jin, M. Instability of anthocyanin accumulation in Vitis vinifera var. Gamay Freaux suspension cultures. Biotechnol. Bioprocess Eng. 2005, 10, 155–161. [Google Scholar] [CrossRef]
- Gamborg, O.L.; Miller, R.A.; Ojima, K. Nutrient requirements of suspension cultures of soybean root cells. Exp. Cell Res. 1968, 50, 151–158. [Google Scholar] [CrossRef]
- Linsmaier, E.M.; Skoog, F. Organic growth factor requirements of tobacco tissue cultures. Physiol. Plant. 1965, 18, 100–127. [Google Scholar] [CrossRef]
- Murashige, T.; Skoog, F. A revised medium for rapid growth and bioassays with tobacco tissue culture. Physiol. Plant. 1962, 15, 473–497. [Google Scholar] [CrossRef]
- Schenk, R.U.; Hildebrandt, A.C. Medium and techniques for induction and growth of monocotyledonous and dicotyledonous plant cultures. Can. J. Bot. 1972, 50, 199–204. [Google Scholar] [CrossRef]
- Lloyd, G.; McCown, B. Commercially feasible micropropagation of mountain laurel, Kalmia latifolia, by use of shoot-tip culture. Proc. Intl. Plant Prop. Soc. 1980, 30, 421–427. [Google Scholar]
- Murthy, H.N.; Dandin, V.S.; Paek, K.Y. Tools for biotechnological production of useful phytochemicals from adventitious root cultures. Phytochem. Rev. 2016, 15, 129–145. [Google Scholar] [CrossRef]
- Murthy, H.N.; Joseph, K.S.; Paek, K.Y.; Park, S.Y. Anthraquinone production from cell and organ cultures of Rubia species: An overview. Metabolites 2022, 13, 39. [Google Scholar] [CrossRef] [PubMed]
- Murthy, H.N.; Joseph, K.S.; Paek, K.Y.; Park, S.Y. Production of anthraquinones from cell and organ cultures of Mordinda species. Appl. Microbiol. Biotechnol. 2023, 107, 2061–2071. [Google Scholar] [CrossRef] [PubMed]
- Murthy, H.N.; Joseph, K.S.; Paek, K.Y.; Park, S.Y. Suspension culture of somatic embryos for the production of high-value secondary metabolites. Physiol. Mol. Biol. Plants 2023, 29, 1153–1177. [Google Scholar] [CrossRef] [PubMed]
- Cormier, F.; Crevier, H.A.; Do, C.B. Effects of sucrose concentration on the accumulation of anthocyanin in grape (Vitis vinifera) cell suspension. Can. J. Bot. 1989, 68, 1822–1825. [Google Scholar] [CrossRef]
- Do, C.B.; Cormier, F. Accumulation of anthocyanins enhanced by a high osmotic potential in grape (Vitis vinifera L.) cell suspensions. Plant Cell Rep. 1990, 9, 143–146. [Google Scholar] [CrossRef]
- Rajendran, L.; Ravishankar, G.A.; Venkataraman, L.V.; Prathiba, K.R. Anthocyanin production in callus cultures of Daucus carota as influenced by nutrient stress and osmoticum. Biotechnol. Lett. 1992, 14, 707–712. [Google Scholar] [CrossRef]
- Dai, Z.W.; Meddar, M.; Renaud, C.; Merlin, I.; Hilbert, G.; Delrot, S.; Gomes, E. Long-term in vitro culture of grape berries and its application to assess the effects of sugar supply on anthocyanin accumulation. J. Exp. Bot. 2014, 65, 4665–4677. [Google Scholar] [CrossRef]
- Yamakawa, T.; Kato, S.; Ishida, K.; Kodama, T.; Minoda, Y. Production of anthocyanin by Vitis cells in suspension cultures. Agric. Biol. Chem. 1983, 47, 2185–2191. [Google Scholar] [CrossRef]
- Yamamoto, Y.; Kinoshita, Y.; Watanabe, S.; Yamada, Y. Anthocyanin production in suspension cultures of high producing cells of Euphobia millii. Agic. Biol. Chem. 1989, 53, 417–423. [Google Scholar] [CrossRef]
- Sakamoto, K.; Iida, K.; Sawamura, K.; Hajiro, K.; Asada, Y.; Yoshikawa, T.; Furuya, T. Effect of nutrients on anthocyanin production in cultured cells of Aralia cordata. Phytochemistry 1993, 33, 357–359. [Google Scholar] [CrossRef]
- Ozeki, Y.; Komamine, A. Effects of inoculum density, zeatin and sucrose on anthocyanin in a carrot suspension culture. Plant Cell Tissue Organ Cult. 1985, 5, 45–53. [Google Scholar] [CrossRef]
- Deikman, J.; Hammer, P.E. Induction of anthocyanin accumulation by cytokinins in Arabidopsis thaliana. Plant Physiol. 1995, 108, 47–57. [Google Scholar] [CrossRef] [PubMed]
- Takeda, J. Light-induced synthesis of anthocyanin in carrot cells in suspension. II. Effects of light and 2,4-D on induction and reduction of enzyme activities related to anthocyanin synthesis. J. Exp. Bot. 1990, 41, 749. [Google Scholar] [CrossRef]
- Sato, K.; Nakayama, M.; Shigeta, J. Culturing conditions affecting the production of anthocyanin in suspended cell cultures of strawberry. Plant Sci. 1996, 113, 91–98. [Google Scholar] [CrossRef]
- Zhang, Z.Z.; Li, X.X.; Chu, Y.N.; Zhang, M.X.; Wen, Y.Q.; Daun, C.Q.; Pan, Q.H. Three types of ultraviolet irradiation differentially promote expression of shikimate pathway genes and production of anthocyanins in grape berries. Plant Physiol. Biochem. 2012, 57, 74–83. [Google Scholar] [CrossRef]
- Zhang, W.; Seki, M.; Furusaki, S. Effect of temperature and its shift on growth and anthocyanin production in suspension cultures of strawberry cells. Plant Sci. 1997, 127, 207–214. [Google Scholar] [CrossRef]
- Yamane, T.; Jeong, S.T.; Goto-Yamamoto, N.; Koshita, Y.; Kobayashi, S. Effects of temperature on anthocyanin biosynthesis in grape berry skins. Am. J. Enol. Viticult. 2006, 57, 54–59. [Google Scholar] [CrossRef]
- Azuma, A.; Yakushiji, H.; Koshita, Y.; Kobayashi, S. Flavonoid biosynthesis-related genes in grape skin are differentially regulated by temperature and light conditions. Planta 2012, 236, 1067–1080. [Google Scholar] [CrossRef] [PubMed]
- Suzuki, M. Enhancement of anthocyanin accumulation by high osmotic stress and low pH in grape cells (Vitis hybrids). J. Plant Physiol. 1995, 147, 152–155. [Google Scholar] [CrossRef]
- Iercan, C.; Nedelea, G. Experimental results concerning the effect of culture medium pH on the synthesized anthocyanin amount in the callus cultures of Vitis vinifera L. J. Hortic. For. Biotechnol. 2012, 16, 71–73. [Google Scholar]
- Hagendoorn, M.J.M.; Wagner, A.M.; Segers, G.; van der Plas, L.H.W.; Oostdam, A.; van Walraven, H.S. Cytoplasmic acidification and secondary metabolite production in different plant cell suspensions. Plant Physiol. 1994, 106, 723–730. [Google Scholar] [CrossRef] [PubMed]
- Zhao, J.; Davis, L.C.; Verpoorte, R. Elicitor signal transduction leading to production of plant secondary metabolites. Biotechnol. Adv. 2005, 23, 283–333. [Google Scholar] [CrossRef] [PubMed]
- Belhadj, A.; Telef, N.; Saigne, C.; Cluzet, S.; Barrieu, F.; Hamdi, S.; Merillon, J.M. Effect of methyl jasmonate in combination with carbohydrates on gene expression of PR proteins, stilbene and anthocyanin accumulation in grapevine cell cultures. Plant Physiol. Biochem. 2008, 46, 493–499. [Google Scholar] [CrossRef] [PubMed]
- Wang, Y.; Liu, W.; Jiang, H.; Mao, Z.; Wang, N.; Jiang, S.; Xu, H.; Yang, G.; Zhang, Z.; Chen, X. The R2R3-MYB transcription factor MdMYB24-like is involved in methyl-jasmonate anthocyanin biosynthesis in apple. Plant Physiol. Biochem. 2019, 139, 273–282. [Google Scholar] [CrossRef]
- Shan, X.; Zhang, Y.; Peng, W.; Wang, Z.; Xie, D. Molecular mechanism for jasmonate-induction of anthocyanin accumulation in Arabidopsis. J. Exp. Bot. 2009, 60, 3849–3860. [Google Scholar] [CrossRef]
- Li, C.; Yu, W.; Xu, J.; Lu, X.; Liu, Y. Anthocyanin biosynthesis induced by MYB transcription factors in plants. Int. J. Mol. Sci. 2022, 23, 11701. [Google Scholar] [CrossRef]
- Khusnutdinov, E.; Sukhareva, A.; Panfilova, M.; Mikhaylova, E. Anthocyanin biosynthesis genes as model gene for genome editing in plants. Int. J. Mol. Sci. 2021, 22, 8752. [Google Scholar] [CrossRef]
- Tanaka, Y.; Ohmiya, A. Seeing is believing: Engineering anthocyanin and carotenoid biosynthesis pathways. Curr. Opin. Biotechnol. 2008, 19, 190–197. [Google Scholar] [CrossRef] [PubMed]
- Zhang, P.; Zhu, H. Anthocyanin in food plants: Current status, genetic modification and future prospects. Molecules 2023, 28, 866. [Google Scholar] [CrossRef] [PubMed]
- Zhang, Y.; Butelli, E.; Martin, C. Engineering anthocyanin biosynthesis in plants. Curr. Opin. Chem. Biol. 2014, 19, 81–90. [Google Scholar] [CrossRef] [PubMed]
- Liu, Y.; Ma, K.; Qi, Y.; Lv, G.; Ren, X.; Liu, Z.; Ma, F. Transcriptional regulation of anthocyanin synthesis by MYB-bHLH-WDR complexes in kiwifruit (Actinidia chinensis). J. Agric. Food Chem. 2021, 69, 3677–3691. [Google Scholar] [CrossRef] [PubMed]
- Shi, M.Z.; Xie, D.Y. Engineering of red cells of Arabidopsis thaliana and comparative genome-wide expression analysis of red cells versus wild-type cells. Planta 2011, 233, 787–805. [Google Scholar] [CrossRef]
- Mano, H.; Ogasawara, F.; Sato, K.; Higo, H.; Minobe, Y. Isolation of a regulatory gene of anthocyanin biosynthesis in tuberous roots of purple-fleshed sweet potato. Plant Physiol. 2007, 143, 1252–1268. [Google Scholar] [CrossRef]
- Nakatsuka, T.; Abe, Y.; Kakizaki, Y.; Yamamura, S.; Nishihara, M. Production of red-flowered plants by genetic engineering of multiple flavonoid biosynthetic genes. Plant Cell Rep. 2007, 26, 1951–1959. [Google Scholar] [CrossRef]
- Kobayashi, Y.; Akita, M.; Sakamoto, K.; Liu, H.; Shigeoka, T.; Koyano, T.; Kawamura, M.; Furuya, T. Large-scale production of anthocyanin by Aralia cordata cell suspension cultures. Appl. Microbiol. Biotechnol. 1993, 40, 215–218. [Google Scholar] [CrossRef]
- Meyer, J.E.; Pepin, M.F.; Smith, M.A.L. Anthocyanin production from Vaccinium pahalae: Limitations of the physical microenvironment. J. Biotechnol. 2002, 93, 45–57. [Google Scholar] [CrossRef]
- Gagnon, H.; Thibault, J.; Cormier, F.; Do, C.B. Vitis vinifera culture in a non-conventional bioreactor: The reciprocating plate bioreactor. Bioprocess Eng. 1999, 21, 405–413. [Google Scholar] [CrossRef]
- Honda, H.; Hiraoka, K.; Nagamori, E.; Omote, M.; Kato, Y.; Hiroka, S.; Kobayashi, T. Enhanced anthocyanin production from grape callus in an air-lift type bioreactor using viscous additive-supplemented medium. J. Biosci. Bioeng. 2002, 94, 135–139. [Google Scholar] [CrossRef] [PubMed]
- Farooq, S.; Shah, M.A.; Siddiqui, M.W.; Dar, B.N.; Mir, S.A.; Ali, A. Recent trends in extraction techniques of anthocyanins from plant materials. J. Food Meas. Charact. 2020, 14, 3508–3519. [Google Scholar] [CrossRef]
- Ongkowijoyo, P.; Luna-Vital, D.A.; de Mejia, E.A. Extraction techniques and analysis of anthocyanins from food sources by mass spectrometry: An update. Food Chem. 2018, 250, 113–126. [Google Scholar] [CrossRef] [PubMed]
- Liu, X.; Mu, T.; Sun, H.; Zhang, M.; Chen, J. Optimization of aqueous two-phase extraction of anthocyanins from purple sweet potatoes by response surface methodology. Food Chem. 2013, 141, 3034–3041. [Google Scholar] [CrossRef] [PubMed]
- Monrad, J.K.; Suarez, M.; Motilva, M.J.; King, J.W.; Srinvas, K.; Howard, L.R. Extraction of anthocyanins and flavan-3-ols from red grape pomace continuously by coupling hot water extraction with a modified expeller. Food Res. Int. 2014, 65, 77–87. [Google Scholar] [CrossRef]
- Liu, S.; Xu, Q.; Li, X.; Wang, Y.; Zhu, J.; Ning, C.; Chang, X.; Meng, X. Effects of high hydrostatic pressure on physicochemical properties, enzyme activity, and antioxidant capacities of anthocyanin extracts of wild Lonicera caerulea berry. Innov. Food Sci. Emerg. Technol. 2016, 36, 48–58. [Google Scholar] [CrossRef]
- Puertolas, E.; Cregenzan, O.; Luengo, E.; Alvarez, I.; Raso, J. Pulsed-electric-field-assisted extraction of anthocyanins from purple-fleshed potato. Food Chem. 2013, 136, 1330–1336. [Google Scholar] [CrossRef]
- Zheng, X.; Xu, X.; Liu, C.; Sun, Y.; Lin, Z.; Liu, H. Extraction characteristics and optimal parameters of anthocyanin from blue berry powder under microwave-assisted extraction conditions. Sep. Purif. Technol. 2013, 104, 17–25. [Google Scholar] [CrossRef]
- Garcia-Mendoza, M.D.P.; Espinosa-Pardo, F.A.; Baseggio, A.M.; Barbero, G.F.; Marostica, M., Jr.; Rostagno, M.; Martinez, J. Extraction of phenolic compounds and anthocyanins from jucara (Euterpe edulis Mart.) residues using pressurized liquids and supercritical fluids. J. Supercrit. Fluids 2017, 119, 9–16. [Google Scholar] [CrossRef]
- Babova, O.; Occhipinti, A.; Capuzzo, A.; Maffei, M.E. Extraction of bilberry (Vaccinium myrtillus) antioxidants using supercritical/subcritical CO2 and ethanol as co-solvent. J. Supercit. Fluids 2016, 107, 358–363. [Google Scholar] [CrossRef]





| Plant Species | Type of Culture | Medium Composition | Strategy Followed | Response | Total Anthocyanin Content | References |
|---|---|---|---|---|---|---|
| Ajuga pyramidalis Metllica crispa | Cell suspension culture | Woody plant medium supplemented with 2.26 µM 2,4-D and 3.49 µM KN | The effect of different sugars was tested The effect of PGR was evaluated | Fructose in the medium resulted in the highest FW, whereas, galactose enhanced AP. 2,4-D plus kinetin resulted in higher growth, whereas a combination of IAA or NAA with zeatin resulted in the highest AP | 0.29 mg/treatment | [25] |
| Angelica archangelica | Callus culture | MS medium with 30 g/L sucrose | The effect of PGR was evaluated | The highest biomass, of 231 mg DW, anthocyanin (11.22 mg/g DW), was achieved on a medium supplemented with 1 mg/L BAP | 11.22 mg/g DW | [26] |
| Arabidopsis thaliana | Growth of seedlings after seed germination | MS medium with 3% sucrose | The effect of nitrogen in the MS medium was tested The effect of light was evaluated | The combined growth conditions of high light conditions induced the most molecular diversity and transcript levels of PAP1, PAL1, CHS, DFR, and ANS genes | NR | [27] |
| Arabidopsis thaliana | Callus culture | Transformed calli with pap1-D (production of anthocyanin pigmentation 1-Dominant) and wild-type calli were maintained on MS medium with 0.4 mM potassium nitrate (KNO3) and without ammonium nitrate (NH4NO3) | The effect of PGR was tested | 2,4-D, NAA, and IAA control AP by regulating the expression of TT8, GL3, and PAP1 (genes involved in regulating the gene expression) as well as DFR and ANS (genes involved in the anthocyanin biosynthetic pathway) | Anthocyanin content is expressed in relative units | [28] |
| Aralia cordata | Cell suspension culture | Varied media were tested | The effect of different media was tested | LS medium was good for biomass growth, however, B5 medium was good for AP | 10.3% DW | [29] |
| Cleome rosea | Cell suspension culture | MS medium | The effect of salt strength on the medium was tested The effect of sucrose levels was evaluated | AP was highest in cell suspensions grown on half-strength MS, 30 g/L sucrose, and 0.45 µM 2,4-D | 20.32 color value/g FW | [30] |
| Daucus carota | Callus culture | Modified MS medium with 0.1 mM 2,4-D and 60 mM sucrose | Selection of high-yielding cell line | Cultures of the smaller size had higher anthocyanin content than those of the larger-size | Anthocyanin content is expressed as relative absorbance units | [31] |
| Daucus carota | Callus culture | Modified MS medium with 0.1 mM 2,4-D and 60 mM sucrose | Selection of high-yielding cell line | Lines with higher levels of anthocyanin were selected | 1–2% | [32] |
| Daucus carota cv. Kurodagosun | Cell suspension culture | MS medium containing 0.5 µM 2,4-D and 2% sucrose | The effect of 2,4-D was tested | The activity of varied enzymes involved in AP was suppressed with the addition of 2,4-D | NR | [33] |
| Daucus carota | Cell suspension culture | B5 medium with 0.1 mg/L 2,4-D and 100 mg/L MnSO4 | The effect of different media was tested The effect of different sugars in the medium was tested | Of the varied media tested B5 medium resulted in the highest AP; Among the various carbohydrates, 20 g/L of galactose concentration resulted in the maximum cell yield and AP Of the varied combinations of sugars tested highest cell volume index and relative AP were observed in 15G:5S at 5% inoculum density | NR | [34] |
| Dacus carota | Callus culture | MS medium with 2 mg/L 2,4-D, 0.2 mg/L KN, 3% sucrose | The effect of fungal elicitors was evaluated | Aspergillus flavus extract at the 2.5% level resulted in the accumulation of a 2-fold increase in AP | 20% DW | [35] |
| Daucus carota | Callus culture | MS medium with 2 mg/L 2,4-D, 0.2 mg/L KN, 3% sucrose | The effect of fungal extracts and metal ions were evaluated | All elicitors showed enhanced AP | NR | [36] |
| Daucus carota cv. Nantes scarlet 104 | Callus culture | MS containing 2 mg/L 2,4-D, 0.2 mg/L KN | The effect of sugars and their concentrations was evaluated The effect of nitrogen levels were tested | Glucose and sucrose produced 3.5% (dry weight basis) AP, whereas supplementation of 7.5% sucrose to the medium produced the maximum AP (6.5%). Similarly, total nitrogen at 70 mM concentration and a 1:4 ratio of ammonium and nitrate yielded maximum callus growth and best AP | 6.5% DW | [37] |
| Daucus carota var. Nantes scarlet | Callus culture | MS medium with 2 mg/L 2,4-D, 0.5 mg/L KN, 3% sucrose | The effect of MJ, and SA was tested | With the treatment of 200 µM SA and 0.01 µM MJ, an increment in AP was realized | 0.36% and 0.37% (Control 0.22%) | [38] |
| Daucus carota cv. Nantes scarlet 104 | Callus/cell suspension culture | The effect of MS/LS/B5/SH media was tested | The effect of different media and PGR were tested The effect of temperature was evaluated | Maximum biomass and AP were with MS medium. Among varied combinations of MS with IAA (4.0 mg/L) and KN (0.4 mg/L) was excellent for biomass and AP in liquid cultures. Of the varied temperature regimes 25 °C was excellent for both biomass and AP | 2–4% | [39] |
| Dacus carota | Cell suspension culture | MS medium containing IAA (11.41 µM) and KN (0.93 µM) | The effect of nitrogen and phosphate levels was evaluated | The highest AP was obtained in the medium supplemented with 20.0:37.6 mM (NH4NO3:KNO3 ratio) on the 15th day. Similarly, a phosphate level of 0.45 mM in the medium supported the highest fresh cell weight (15.68 g/L) as compared to the culture supplemented with different concentrations of KH2PO4 (0, 0.225, 0.9, 1.8, or 2.7 mM), whereas maximum anthocyanin content was seen for 0.45 mM phosphate, which was 1.63-fold higher than in the control cultures | 3.2 mg/g FW with the optimized nitrogen supplements and 3.66 mg/g FW with the optimized phosphate levels. | [40] |
| Daucus carota ssp. sativus var. atrorubens | Hairy root culture | Quarter, half, and full MS mediums were tested | The effect of medium strength was evaluated | Half-strength MS was suitable and 6-fold higher AP was accumulated compared to control | 3.03 mg/g DW | [41] |
| Dacus carota var. Atomic red | Cell suspension culture | MS medium containing 9.1 µM IAA and 2.32 µM KN | The effect of salt stress was evaluated | The maximum AP was recorded in a salt stress medium of 4.33 mg/L FW on day 9 which was two-fold higher than the control | 10.91 mg/L FW | [42] |
| Fragaria ananassa cv. Shikinari | Cell suspension culture | LS or B5 medium with 1 mg/L 2,4-D and 0.1 mg/L BA | The effect of various sugars was evaluated The effect of nitrogen concentrations were tested | The maximum yield of AP was realized in a modified LS medium containing 5% sucrose, a ratio of NH4+ (2 mM): NO3− (28 mM) | 380 µg/g FW | [43] |
| Fragaria ananassa cv. Shikinari | Cell suspension culture | LS medium supplemented with 3% sucrose, 0.1 mg/L BA, and 0, 0.01 and 1 mg/L 2,4-D | The effect of 2,4-D concentration was evaluated | Lower 2,4-D (0.1 mg/L) concentrations in the medium limited the cell growth and enhanced AP | 1200 µg/g FW | [44] |
| Fragaira annanassa cv. Shikinari | Cell suspension culture | LS or B5 medium supplemented with 30 g/L sucrose, 1 mg/L 2,4-D and 0.1 mg/L BA | Repeated-batch culture strategy was evaluated on different media | The average AP was enhanced 1.7- and 1.76-fold by repeated-batch cultures in constant LS and constant B5 medium at a 9-day shift period for 45 days | 0.42–0.52 mg/g FW | [45] |
| Fragaria ananassa cv. Shikinari | Cell suspension culture | LS medium with 1 mg/L 2,4-D, 0.1 mg/L BAP, 0.4 mg/L thiamine hydrochloride | Effect of precursor L-phenylalanine was evaluated | In repetitive feeding culture, a maximum of 81% higher AP was realized | 58 mg/L | [46] |
| Haplopappus gracilis | Callus culture | Initial cultures were raised on a White medium with 2% sucrose and 10% coconut milk and 0, 0.1, 1.0, and 10 mg/L 2,4-D. During the second stage Sunderland medium with 2% sucrose and 10% coconut milk | The effect of 2,4-D, dark, and light incubation was evaluated | The light was essential for AP; however, 2,4-D suppressed the AP | 3.9 mg/g DW | [47] |
| Malus sieversii f. niedzwetzkyana | Callus culture | MS medium with 3% sucrose | The effect of PGR levels and combination was evaluated | Auxin alone with the increment of concentration inhibited AP and molecular analysis showed that anthocyanin regulatory genes (MdMYB10 and MdbHLH3) were dramatically suppressed by 0.6 mg/L 2,4-D. The BAP, TDZ, and nitrogen lower concentration of 2,4-D in combination with cytokinin enhanced the AP | Anthocyanin content is expressed as relative absorbance units | [48] |
| Malus sieversii f. niedzwetzkyana | Callus culture | MS medium with 4 µM BA, 2 µM NAA | The effect of MJ and ABA were tested | Studied the expression of gene expression and AP: Gene expression indicated that MJ induced expression of MdMYB9, MdMYB10, Md CHS, MdF3H, and MdUFGT genes. ABA inhibited the expression of MdMYB3, MdMYB10, MDF3H, MdDFR, MdDOX, and MdUFGT genes. Overall, 26% increment increase in cyanidin 3-O-galactoside content | Anthocyanin content is expressed as relative absorbance units | [49] |
| Melostoma malabthricum | Cell suspension culture | MS medium supplemented with 0.25 mg/L BA and 0.5 mg/L NAA | The effect of light intensity was evaluated The temperature levels were tested | The cultures exposed to light intensity of 301–600 lux depicted the highest biomass and AP; Cultures exposed to 20 °C have accumulated higher biomass and anthocyanin than 26 and 29 °C | 1.62 color value/g FW | [50] |
| Oxalis linearis | Callus culture | MS medium supplemented with 60 mM sucrose | The effect of PGR was tested The effect of photoperiod was evaluated | Callus growth was stimulated at a concentration of 8–32 µM NAA and 2,4-D. BA and Zeatin inhibited callus growth, whereas IP stimulated callus growth. The optimum AP was with NAA at 8 µM NAA. Sucrose at 60 mM was best for callus growth and 240 mM was good for AP | NR | [51] |
| Panax sikkimensis | Callus culture | MS medium containing 3% sucrose, 0.01% myoinositol, 0.33 µM thiamine hydrochloride, 2.5 µM pyridoxine hydrochloride, 4.0 µM nicotinic acid, 4.5 µM 2,4-D, and 1.2 µM KN | Cell line selection The effect of photoperiod was evaluated | The selected line had the highest growth and productivity (2.192 mg/g FW and 6.92% DW); The continuous exposure to light favored both biomass and AP | 2.76 mg/g FW (7.07% DW) | [52] |
| Perilla frutescens | Cell suspension culture | LS medium with 3% sucrose, 1 µM 2,4-D and 1 µM BA | The effect of temperature was evaluated | At temperatures of 22, 25, and 28 °C, the specific growth rate of cells was 0.21, 0.32, and 0.37 per day, respectively. However, the AP was reduced compared to 25 °C. Therefore, a temperate culture temperature of 25 °C was suggested for the maintenance of cultures | NR | [53] |
| Perilla frutescens | Cell suspension culture | LS medium with 3% sucrose, 1 µM 2,4-D and 1 µM BA | The effect of inoculum density was evaluated | Optimum AP (3.6 g/L) was reported at an inoculum size of 50 g/L | 117.6 mg/g DW | [54] |
| Perilla frutescens | Cell suspension culture | MS medium supplemented with 0.2 mg/L 2,4-D and 0.5 mg/L BA | The effect of yeast extract was evaluated | Increment increase in AP (10.2%) with the addition of 1% yeast extract | 10.2% DW | [55] |
| Prunus cerasus cv Amarena Mattarello | Callus culture | MS medium containing 30 g/L sucrose, 1 mg/L NAA, 0.1 mg/L BAP | The effect of JA was evaluated The light effect was tested | Cultures elicited by 50 µM JA stimulated the accumulation of cyanidin 3-glucoside accumulation When cultures were exposed to light, cyanidin 3-glucoside content was increased from 0.1 to 4.5 mg/100 g FW | 5.3 mg/100 g FW | [56] |
| Raphanus sativus cv Peking Koushin | Adventitious root culture | Half strength MS | The effect of PGR was tested The effect of light was evaluated | Cultures with IBA IBA-supplemented medium and incubated in light involved in AP than cultures supplemented with NAA and dark incubation | 0.15% DW | [57] |
| Rosa hybrida | Callus culture | B5 medium with 0.2 mg/L 2,4-D | The effect of sucrose concentration was tested The effect of nitrogen levels was evaluated | The optimum amount of AP (7.20 mg/kg FW and 6.58 mg/kg FW) was recorded on medium supplemented with 5% sucrose and medium devoid of NH4+ respectively | 7.20 mg/kg FW | [58] |
| Vaccinium macrocarpon | Callus culture | Modified B5 medium with 5.7 µM NAA, 0.45 µM 2–4-D, and 2.32 µM KN in the dark at 25 °C | The effect of light was evaluated | Cultures exposed to light have shown maximum concentration of AP | 140 µg/g FW | [59] |
| Vitis hybrid (Bailey Alicang A) | Cell suspension culture | B5 medium with 2% sucrose and 0.5 mg/L 2,4-D (Maintenance medium) | The combined effect of nitrogen and sucrose was evaluated | The combined effect of low nitrate and high sucrose synergistically improved AP | 2.9 g/L | [60] |
| Vitis vinifera cv. Gamay Freaux | Cell suspension culture | B5 medium | The combined effect of nitrogen and sucrose was evaluated | The combined effect was responsible for the increase in anthocyanins, especially peonidin 3-glucoside | NR | [61] |
| Vitis vinifera var. Gamay Freaux | Callus culture | B5 medium with 88 mM sucrose, 250 mg/L casein hydrolysate, 0.54 µM NAA, 0.93 µM KN | Selection of cell line | Cell lines that were accumulating higher levels of peonidin 3-glucoside (line 5.4) and peonidin 3-p-coumaroylglucoside (line 13.1) were selected | 1.02 mg/g FW | [62] |
| Vitis vinifera cv. Gamay Freaux | Cell suspension culture | Modified MS medium with B5 macro-elements, MS micro-elements, 2% sucrose, 0.025% casein hydrolysate, 0.1 mg/L KN and 0.1 mg/L NAA | The effect of phosphate level was tested | Deprivation of phosphate led to enhanced synthesis of anthocyanin by 32% and 46% in P2 and P3 media, respectively | NR | [63] |
| Vitis vinifera cv. Gamay Freaux var. Teinturier berry | Cell suspension culture | B5 medium with 30 g/L sucrose, 250 mg/L casein hydrolysate, 0.1 mg/L NAA, 0.2 µM KN | The effect of precursor phenylalanine and MJ was evaluated | Treatment with 5 mg/L phenylalanine, 50 mg/L MJ, and 1 mg/L dextran enhanced the 4.6-fold of AP | 7.09 color value/g DW | [64] |
| Vitis vanifera cv Cabernet Sauvignon | Cell suspension culture | B5 medium supplemented with 20 g/L sucrose, 250 mg/L casein hydrolysate, 0.5 mg/L NAA, 0.12 mg/BA | The effect of ABA was evaluated | ABA-treated cells exhibited an earlier increase in VvCHI1, VvCHI2, VvC4H, and VvMYBA1 transcripts and AP | NR | [65] |
| Vitis vinifera cv. Gamay Freaux | Cell suspension culture | B5 medium | The effect of indanoyl-isoleucine (In-Ile) was evaluated | In-Ile was a potent elicitor in stimulating AP and 2.6, 1.8, and 1.9-fold increments in anthocyanin production on 8 d, 10 d, and 12 d after the treatments, respectively | 4.6 mg/g DW | [66] |
| Vitis vinifera cv. Gamay Freaux | Cell suspension culture | B5 medium 0.1 mg/L NAA, 0.2 mg/L KN, 0.25 mg/L casein hydrolysate, 3% sucrose | The effect of elicitors was evaluated | Chitosan, pectin, and alginate enhanced the production of anthocyanin by 2.5, 2.5, and 2.6-fold, respectively | 4.2 mg/g DW | [67] |
| Vitis vinifera cv. Gamay Freaux | Cell suspension culture | B5 medium with 0.1 mg/L NAA, 0.2 mg/L KN, 0.25 mg/L casein hydrolysate, 3% sucrose | The effect of ethephon and pulsed electric field was evaluated | The treatment of ethephon resulted in a 2.3-fold increase (1.99 mg/g DW) and 2.3-fold (1.99 mg/g DW) in anthocyanin content, while combined treatment with both ethephon and PEF resulted in 2.5-fold increase (2.2 mg/g DW) in AP | 2.2 mg/g DW | [68] |
| Vitis hybrid Bailey Alicante A | Cell suspension culture | MS medium supplemented with 3% sucrose, 0.23 µM 2–4-D, 1 µM KN, 3 µM thiamine-HCl, 560 µM myo-inositol | The effect of phosphate was evaluated | Cynidin-3-O-glucoside, peonidin-3-O-gluside, cyanidin-3-O-(6-O″-p-coumaroyl)-glucoside and peonidin-3-O-(6-O″-p-coumaroyl)-glucoside were detected in higher concentration in Pi deprived cells. The transcript levels of (UFGT) and VvmbyA1 were also higher in Pi-deprived cells | NR | [69] |
| Plant Species | Type of Culture | Medium Composition | Strategy Followed | Response | Total Anthocyanin Content | References |
|---|---|---|---|---|---|---|
| Aralia cordata | Cell suspension in 500-L jar fermenters (Stirred tank bioreactors) | MS medium with 1.0 mg/L 2,4-D, 0.1 mg KN and 30 g/L sucrose | The combined effect of airflow (0.2 vvm), CO2 (0.3%), and agitation (30 rpm) was evaluated | Anthocyanin content was 15.0% on a DW basis | 17.2% DW (7.87 g/kg FW) | [113] |
| Daucus carota | Cell suspension cultures in 3.5-L (Stirred tank bioreactor) | MS medium with 11.4 µM IAA, 0.9 µM KN | The effect of salt stress (37.6 mM KnO3 and 20.0 mM NH4NO3) was tested | Enhanced AP was recorded | 404 µg/g FW | [42] |
| Nicotiana tabacum | Cell culture in 2 L bioreactors (Stirred tank bioreactors) | LS medium supplemented with 1 mg/L 2,4-D and 100 mg/L kanamycin | Transgenic cell line containing AmDel/AmRos1 | Enhanced AP was recorded | 90 mg/L | [12] |
| Perilla frutescens | Cell suspension culture in 2-L capacity (Stirred tank bioreactor) | LS medium with 30 g/L sucrose, 10−6 M 2,4-D, and 10−6 M BA | The effect of oxygen transfer coefficient (kLa) was tested The effect of light irradiation was evaluated | With aeration of 0.2 vvm, the AP was 220 mg/g DW and 1.65 g/L The light irradiation enhanced a a two-fold increase in AP when compared to dark incubation | 250 mg/g DW | [53] |
| Vaccinium pahalae | Cell suspension culture in 14-L(Stirred tank bioreactors) | Woody plant medium with 5.4 µM NAA, 0.45 µM 2,4-D, 20 µM BA, and 5% sucrose | The effect of agitation was evaluated | The effect of light was studied and cultures were exposed to light 40 µmol m−2 s−1 PPF and cultures were agitated at 150 rpm | 75 mg/L | [114] |
| Vitis vinifera cell line VVG101 | Cell suspension in 17-L column bioreactors (Stirred tank bioreactors) | B5 medium with 10 g/L sucrose, 250 mg casein hydrolysate, 0.1 mg/L NAA and 0.2 mg/L KN | The effect of the reciprocating plate system was tested on airflow conditions | Biomass accumulation was verified | NR | [115] |
| Vitis vanifera cv. Bailye alicant A | Callus culture in 500-mL bioreactors (Airlift bioreactors) | B5 medium with 30 g/L sucrose, 1 mg/L 2,4-D | The effect of osmoticum (0.8% carboxymethyl cellulose sodium salt) was tested | The average callus size was 490 µm, which was 1.6 times larger than that of conventional medium | 33 mg/L | [116] |
Disclaimer/Publisher’s Note: The statements, opinions and data contained in all publications are solely those of the individual author(s) and contributor(s) and not of MDPI and/or the editor(s). MDPI and/or the editor(s) disclaim responsibility for any injury to people or property resulting from any ideas, methods, instructions or products referred to in the content. |
© 2023 by the authors. Licensee MDPI, Basel, Switzerland. This article is an open access article distributed under the terms and conditions of the Creative Commons Attribution (CC BY) license (https://creativecommons.org/licenses/by/4.0/).
Share and Cite
Murthy, H.N.; Joseph, K.S.; Paek, K.Y.; Park, S.-Y. Anthocyanin Production from Plant Cell and Organ Cultures In Vitro. Plants 2024, 13, 117. https://doi.org/10.3390/plants13010117
Murthy HN, Joseph KS, Paek KY, Park S-Y. Anthocyanin Production from Plant Cell and Organ Cultures In Vitro. Plants. 2024; 13(1):117. https://doi.org/10.3390/plants13010117
Chicago/Turabian StyleMurthy, Hosakatte Niranjana, Kadanthottu Sebastian Joseph, Kee Yoeup Paek, and So-Young Park. 2024. "Anthocyanin Production from Plant Cell and Organ Cultures In Vitro" Plants 13, no. 1: 117. https://doi.org/10.3390/plants13010117
APA StyleMurthy, H. N., Joseph, K. S., Paek, K. Y., & Park, S.-Y. (2024). Anthocyanin Production from Plant Cell and Organ Cultures In Vitro. Plants, 13(1), 117. https://doi.org/10.3390/plants13010117

