Effect of Salinity Stress on Phenolic Compounds and Antioxidant Activity in Halophytes Spergularia marina (L.) Griseb. and Glaux maritima L. Cultured In Vitro
Abstract
1. Introduction
2. Results
2.1. Effect of Salinity on Biomass Production
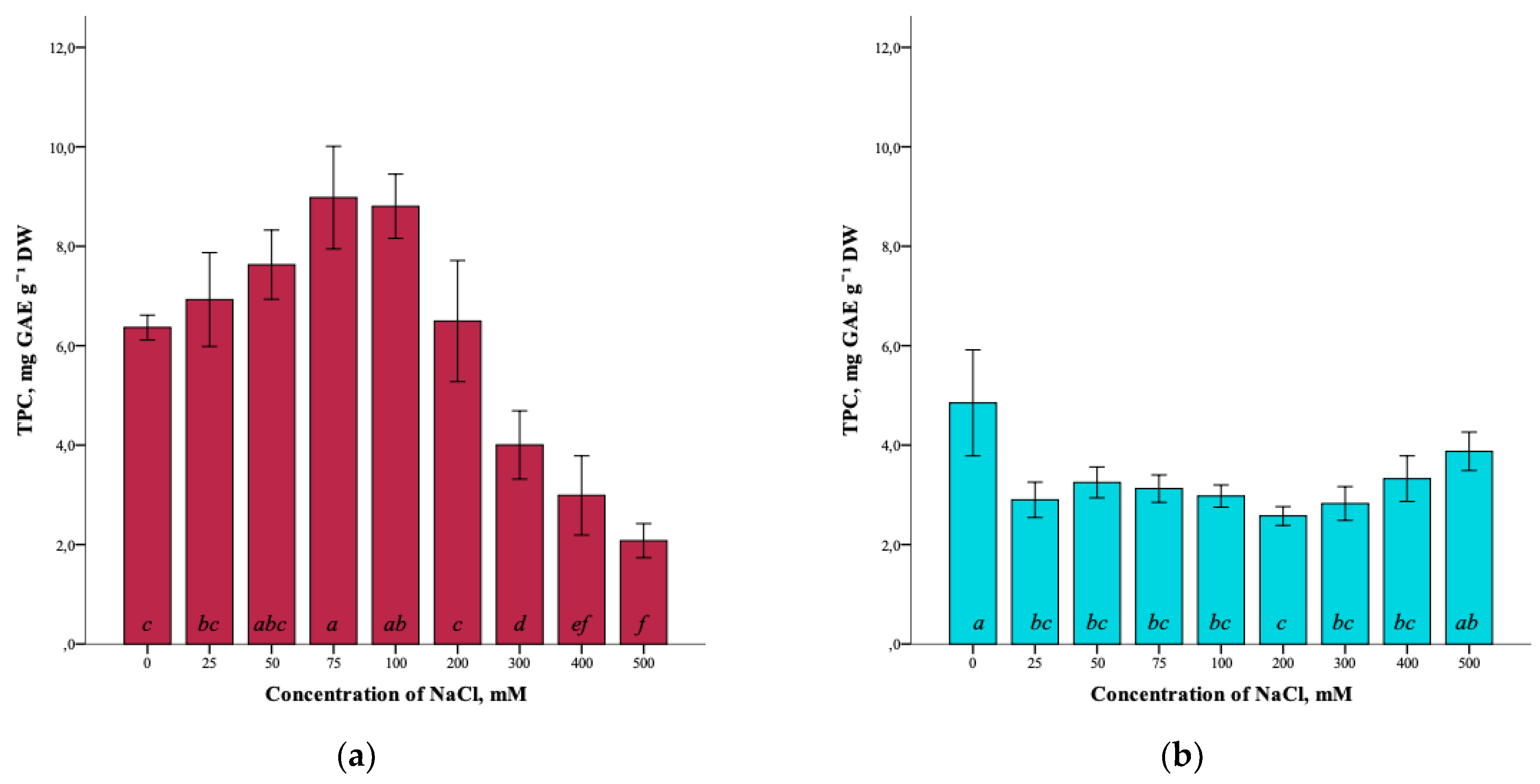
2.2. Effect of Salinity on the Content of Phenolic Compounds
2.3. The Effect of Salinity on the Antioxidant Activity
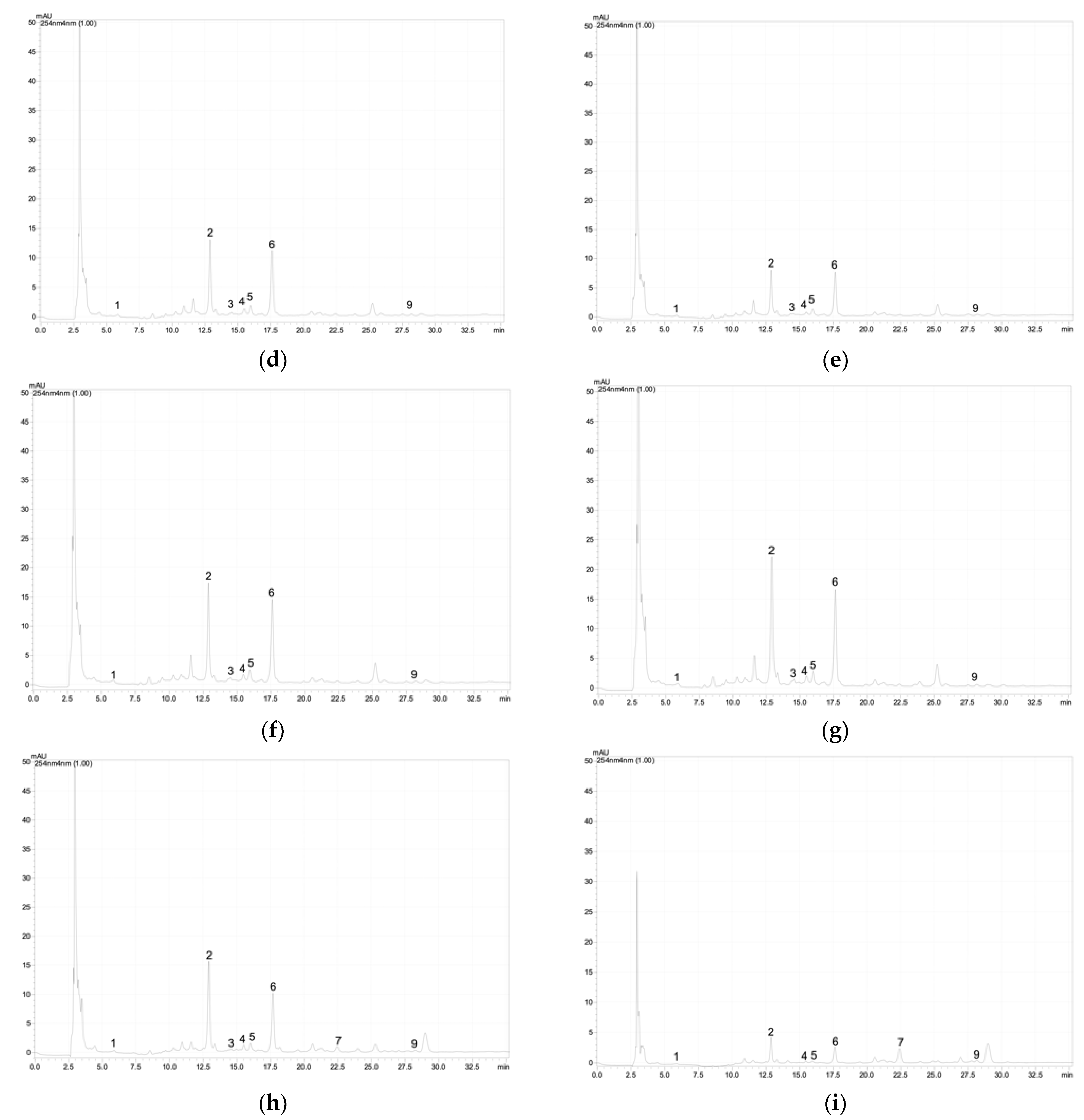
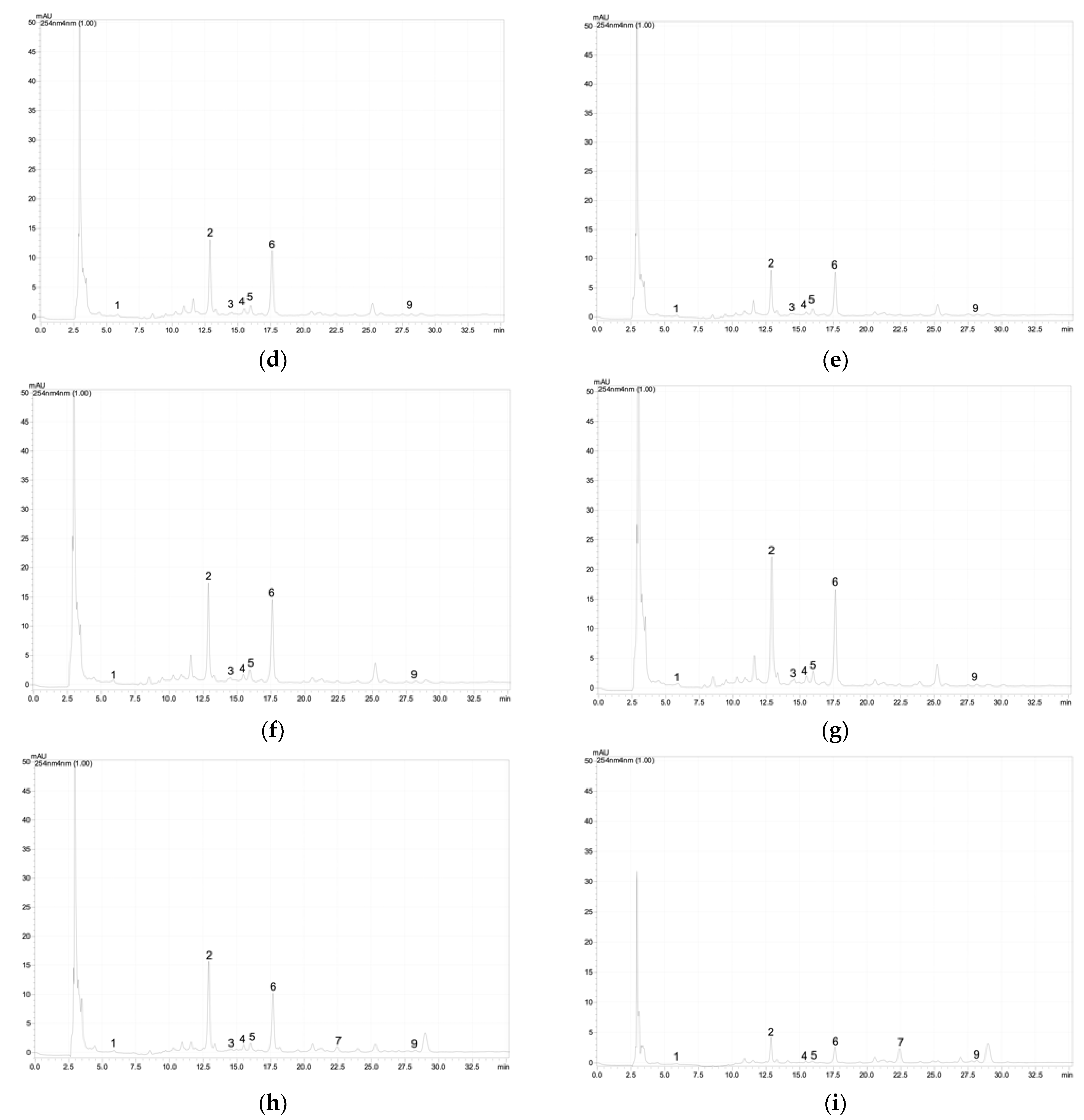
2.4. Influence of Salinity on the Content of Individual Phenolic Compounds
2.5. Correlation between Antioxidant Activity, Phenolic Compounds Content, and Biomass Production
3. Discussion
4. Materials and Methods
4.1. Plant Material
4.2. Experimental Setup
4.3. Phytochemical Analysis
4.3.1. Extract Preparation
4.3.2. Determination of the Total Content of Certain Groups of Phenolic Compounds
4.3.3. Determination of Antioxidant Activity
4.3.4. The Determination of Individual Phenolic Compounds
4.4. Statistical Analysis
5. Conclusions
Author Contributions
Funding
Data Availability Statement
Conflicts of Interest
Appendix A




| Method | Standard | Range, mg mL−1 | Equation | R2 |
|---|---|---|---|---|
| TPC | Gallic acid | 0.01–0.20 | y = 5.116x + 0.228 | 0.997 |
| TFC | Rutin | 0.01–0.30 | y = 3.489x + 0.011 | 0.998 |
| THA | Chlorogenic acid | 0.01–0.80 | y = 1.139x − 0.014 | 0.997 |
| THA | Rosmarinic acid | 0.02–1.00 | y = 1.327x + 0.001 | 0.997 |
| AOA (DPPH) | Ascorbic acid | 0.01–0.15 | y = 6.708x + 0.038 | 0.996 |
| AOA (ABTS) | Ascorbic acid | 0.001–0.075 | y = 9.060x + 0.008 | 0.999 |
| AOA (FRAP) | Ascorbic acid | 0.01–0.15 | y = 15.973x − 0.079 | 0.997 |
References
- Okur, B.; Örçen, N. Soil Salinization and Climate Change. In Climate Change and Soil Interactions; Elsevier: Amsterdam, The Netherlands, 2020; pp. 331–350. [Google Scholar] [CrossRef]
- Manuel, R.; Machado, A.; Serralheiro, R.P.; Alvino, A.; Freire, M.I.; Ferreira, R. Soil Salinity: Effect on Vegetable Crop Growth. Management Practices to Prevent and Mitigate Soil Salinization. Horticulturae 2017, 3, 30. [Google Scholar] [CrossRef]
- Glenn, E.P.; Brown, J.J.; Blumwald, E. Salt Tolerance and Crop Potential of Halophytes. Crit. Rev. Plant Sci. 2010, 18, 227–255. [Google Scholar] [CrossRef]
- Munns, R.; Husain, S.; Rivelli, A.R.; James, R.A.; Condon, A.G.T.; Lindsay, M.P.; Lagudah, E.S.; Schachtman, D.P.; Hare, R.A. Avenues for Increasing Salt Tolerance of Crops, and the Role of Physiologically Based Selection Traits. In Progress in Plant Nutrition: Plenary Lectures of the XIV International Plant Nutrition Colloquium: Food Security and Sustainability of Agro-Ecosystems through Basic and Applied Research; Springer: Dordrecht, The Netherlands, 2002; pp. 93–105. [Google Scholar] [CrossRef]
- Munns, R.; Tester, M. Mechanisms of Salinity Tolerance. Annu. Rev. Plant Biol. 2008, 59, 651–681. [Google Scholar] [CrossRef]
- Giuffrida, F.; Scuderi, D.; Giurato, R.; Leonardi, C. Physiological Response of Broccoli and Cauliflower as Affected by NaCl Salinity. Acta Hortic. 2013, 1005, 435–442. [Google Scholar] [CrossRef]
- Zribi, L.; Fatma, G.; Fatma, R.; Salwa, R.; Hassan, N.; Néjib, R.M. Application of Chlorophyll Fluorescence for the Diagnosis of Salt Stress in Tomato “Solanum lycopersicum (Variety Rio Grande)”. Sci. Hortic. 2009, 120, 367–372. [Google Scholar] [CrossRef]
- Flowers, T.J.; Colmer, T.D. Salinity Tolerance in Halophytes. New Phytol. 2008, 179, 945–963. [Google Scholar] [CrossRef]
- Liu, L.; Wang, B. Protection of Halophytes and Their Uses for Cultivation of Saline-Alkali Soil in China. Biology 2021, 10, 353. [Google Scholar] [CrossRef]
- Roy, S.J.; Tester, M.; Gaxiola, R.A.; Flowers, T.J. Plants of Saline Environments; AccessScience; McGraw Hill: New York, NY, USA, 2020. [Google Scholar] [CrossRef]
- Lokhande, V.H.; Suprasanna, P. Prospects of Halophytes in Understanding and Managing Abiotic Stress Tolerance. In Environmental Adaptations and Stress Tolerance of Plants in the Era of Climate Change; Springer: Dordrecht, The Netherlands, 2012; pp. 29–56. [Google Scholar] [CrossRef]
- Miller, G.; Suzuki, N.; Ciftci-Yilmaz, S.; Mittler, R. Reactive oxygen species homeostasis and signaling during drought and salinity stresses. Plant Cell Environ. 2010, 33, 453–467. [Google Scholar] [CrossRef]
- Jithesh, M.N.; Prashanth, S.R.; Sivaprakash, K.R.; Parida, A.K. Antioxidative response mechanisms in halophytes: Their role in stress defence. J. Genet. 2006, 85, 237–254. [Google Scholar] [CrossRef] [PubMed]
- Ashraf, M.A.; Riaz, M.; Arif, M.S.; Rasheed, R.; Iqbal, M.; Hussain, I.; Mubarik, M.S. The role of non-enzymatic antioxidants in improving abiotic stress tolerance in plants. In Plant Tolerance to Environmental Stress: Role of Phytoprotectants; Hasanuzzaman, M., Fujita, M., Oku, H., Islam, M.T., Eds.; CRC Press: Boca Raton, UK, 2019; pp. 129–144. [Google Scholar] [CrossRef]
- Sarker, U.; Oba, S. The response of salinity stress-induced A. tricolor to growth, anatomy, physiology, non-enzymatic and enzymatic antioxidants. Front. Plant Sci. 2020, 11, 559876. [Google Scholar] [CrossRef] [PubMed]
- Castillo, J.M.; Mancilla-Leytón, J.M.; Martins-Noguerol, R.; Moreira, X.; Moreno-Pérez, A.J.; Muñoz-Vallés, S.; Pedroche, J.J.; Figueroa, M.E.; García-González, A.; Salas, J.J.; et al. Interactive Effects between Salinity and Nutrient Deficiency on Biomass Production and Bio-Active Compounds Accumulation in the Halophyte Crithmum maritimum. Sci. Hortic. 2022, 301, 111136. [Google Scholar] [CrossRef]
- Jaleel, C.A.; Riadh, K.; Gopi, R.; Manivannan, P.; Inès, J.; Al-Juburi, H.J.; Chang-Xing, Z.; Hong-Bo, S.; Panneerselvam, R. Antioxidant Defense Responses: Physiological Plasticity in Higher Plants under Abiotic Constraints. Acta Physiol. Plant. 2009, 31, 427–436. [Google Scholar] [CrossRef]
- Stevanovic, Z.; Stankovic, M.S.; Stankovic, J.; Janackovic, P.; Stankovic, M. Use of halophytes as medicinal plants: Phytochemical diversity and biological activity. In Halophytes and Climate Change: Adaptive Mechanisms and Potential Uses; Hasanuzzaman, M., Shabala, S., Fujita, M., Eds.; CABI: Wallingford, UK, 2019; pp. 343–358. [Google Scholar]
- López-Berenguer, C.; Martínez-Ballesta, M.D.C.; Moreno, D.A.; Carvajal, M.; García-Viguera, C. Growing Hardier Crops for Better Health: Salinity Tolerance and the Nutritional Value of Broccoli. J. Agric. Food Chem. 2009, 57, 572–578. [Google Scholar] [CrossRef]
- Ksouri, R.; Ksouri, W.M.; Jallali, I.; Debez, A.; Magné, C.; Hiroko, I.; Abdelly, C. Medicinal Halophytes: Potent Source of Health Promoting Biomolecules with Medical, Nutraceutical and Food Applications. Crit. Rev. Biotechnol. 2012, 32, 289–326. [Google Scholar] [CrossRef] [PubMed]
- Ksouri, R.; Megdiche, W.; Debez, A.; Falleh, H.; Grignon, C.; Abdelly, C. Salinity Effects on Polyphenol Content and Antioxidant Activities in Leaves of the Halophyte Cakile maritima. Plant Physiol. Biochem. 2007, 45, 244–249. [Google Scholar] [CrossRef]
- Pungin, A.; Lartseva, L.; Loskutnikova, V.; Shakhov, V.; Krol, O.; Popova, E.; Kolomiets, A.; Nikolaeva, N.; Volodina, A. The Content of Certain Groups of Phenolic Compounds and the Biological Activity of Extracts of Various Halophyte Parts of Spergularia marina (L.) Griseb. and Glaux maritima L. at Different Levels of Soil Salinization. Plants 2022, 11, 1738. [Google Scholar] [CrossRef]
- Pliszko, A. A New Record of Spergularia marina (Caryophyllaceae) from Southern Poland. Acta Musei Sil. Sci. Nat. 2017, 66, 49–51. [Google Scholar] [CrossRef]
- Alegro, A.; Šegota, V.; Koletic, N.; Vukovic, N.; Vilovic, T.; Rimac, A. Glaux maritima L. (Primulaceae), a New Plant Species in SE Europe. Acta Bot. Croat. 2019, 78, 95–98. [Google Scholar] [CrossRef]
- Miri, A.; Ghalehnoo, Z.R.; Shaharaki, E. Evaluation of Antioxidant and Antimicrobial Activity of Spergularia marina (L.) Griseb Extract. J. Fundam. Appl. Sci. 2016, 8, 501. [Google Scholar] [CrossRef]
- Lee, J.-J.; Jung, H.-O. Changes in Physicochemical Properties of Spergularia marina Griseb by Blanching. Korean J. Food Preserv. 2012, 19, 866–872. [Google Scholar] [CrossRef]
- Lellau, T.F.; Liebezeit, G. Activity of Ethanolic Extracts of Salt Marsh Plants from the Lower Saxonian Wadden Sea Coast against Microorganisms. Senckenberg. Marit. 2003, 32, 177–181. [Google Scholar] [CrossRef]
- Lellau, T.F.; Liebezeit, G. Alkaloids, Saponins and Phenolic Compounds in Salt Marsh Plants from the Lower Saxonian Wadden Sea. Senckenberg. Marit. 2001, 31, 1–9. [Google Scholar] [CrossRef]
- Freipica, I.; Ievinsh, G. Relative NaCl Tolerance of Rare and Endangered Coastal Plant Species in Conditions of Tissue Culture. Environ. Exp. Biol. 2010, 8, 35–42. [Google Scholar]
- Ingeloeg, T.; Andersson, R.; Tjernberg, M. (Eds.) Red Data Book of the Baltic Region. Part 1: Lists of Threatened Vascular Plants and Vertebrates; Swedish Threatened Species Unit, Uppsala in co-Operation with Institute of Biology: Riga, Latvia, 1993; p. 96. [Google Scholar]
- Gubareva, I.Y. Spergularia salina J. at C. Presl. In The Red Data Book of the Kaliningrad Region; Dedkov, V.P., Grishanov, G.V., Eds.; Immanuel Kant University: Kaliningrad, Russia, 2010; p. 141. (In Russian) [Google Scholar]
- Ghanem, A.E.M.F.M.; Mohamed, E.; Kasem, A.M.M.A.; El-Ghamery, A.A. Differential Salt Tolerance Strategies in Three Halophytes from the Same Ecological Habitat: Augmentation of Antioxidant Enzymes and Compounds. Plants 2021, 10, 1100. [Google Scholar] [CrossRef] [PubMed]
- Redondo-Gómez, S.; Wharmby, C.; Castillo, J.M.; Mateos-Naranjo, E.; Luque, C.J.; De Cires, A.; Luque, T.; Davy, A.J.; Enrique Figueroa, M. Growth and Photosynthetic Responses to Salinity in an Extreme Halophyte, Sarcocornia fruticosa. Physiol. Plant. 2006, 128, 116–124. [Google Scholar] [CrossRef]
- Khan, M.A.; Gul, B. Arthrocnemum macrostachyum: A Potential Case for Agriculture Using above Seawater Salinity. In Prospects for Saline Agriculture; Ahmad, R., Malik, K.A., Eds.; Springer: Dordrecht, The Netherlands, 2002; pp. 353–364. [Google Scholar] [CrossRef]
- Martini, A.N.; Papafotiou, M. In Vitro Propagation and NaCl Tolerance of the Multipurpose Medicinal Halophyte Limoniastrum monopetalum. HortScience 2020, 55, 436–443. [Google Scholar] [CrossRef]
- Zhu, J.K. Genetic Analysis of Plant Salt Tolerance Using Arabidopsis. Plant Physiol. 2000, 124, 941–948. [Google Scholar] [CrossRef]
- Noctor, G.; Foyer, C.H. Ascorbate and Glutathione: Keeping Active Oxygen Under Control. Annu. Rev. Plant Physiol. Plant Mol. Biol. 1998, 49, 249–279. [Google Scholar] [CrossRef]
- Lim, J.H.; Park, K.J.; Kim, B.K.; Jeong, J.W.; Kim, H.J. Effect of Salinity Stress on Phenolic Compounds and Carotenoids in Buckwheat (Fagopyrum esculentum M.) Sprout. Food Chem. 2012, 135, 1065–1070. [Google Scholar] [CrossRef]
- Sreenivasulu, N.; Grimm, B.; Wobus, U.; Weschke, W. Differential Response of Antioxidant Compounds to Salinity Stress in Salt-Tolerant and Salt-Sensitive Seedlings of Foxtail Millet (Setaria italica). Physiol. Plant. 2000, 109, 435–442. [Google Scholar] [CrossRef]
- Murashige, T.; Skoog, F. A Revised Medium for Rapid Growth and Bio Assays with Tobacco Tissue Cultures. Physiol. Plant. 1962, 15, 473–497. [Google Scholar] [CrossRef]
- Gamborg, O.L.; Miller, R.A.; Ojima, K. Nutrient Requirements of Suspension Cultures of Soybean Root Cells. Exp. Cell Res. 1968, 50, 151–158. [Google Scholar] [CrossRef] [PubMed]
- Sembiring, E.N.; Elya, B.; Sauriasari, R. Phytochemical Screening, Total Flavonoid and Total Phenolic Content and Antioxidant Activity of Different Parts of Caesalpinia bonduc (L.) Roxb. Pharmacogn. J. 2018, 10, 123–127. [Google Scholar] [CrossRef]
- Štefan, M.B.; Vuković Rodríguez, J.; Blažeković, B.; Kindl, M.; Vladimir-Knežević, S. Total Hydroxycinnamic Acids Assay: Prevalidation and Application on Lamiaceae Species. Food Anal. Methods 2014, 7, 326–336. [Google Scholar] [CrossRef]
- Skrypnik, L.; Feduraev, P.; Golovin, A.; Maslennikov, P.; Belov, N.; Matveev, M.; Pungin, A. Biotechnological Potential of Different Organs of Mistletoe (Viscum album L.) Collected from Various Host Tree Species in an Urban Area. Plants 2022, 11, 2686. [Google Scholar] [CrossRef]










| Concentration of NaCl, mM | Content of Individual Phenolic Compounds, µg g−1 DW | ||||||
|---|---|---|---|---|---|---|---|
| 3,4-Dihydroxybenzoic Acid (Protocatechuic Acid) | Catechin | Kaempferol 3-O-Glucoside (Astragalin) | Quercetin 3-Galactoside (Hyperoside) | Quercetin 3-O-Rutinoside (Rutin) | Quercetin 3-β-d-Glucoside (Isoquercitrin) | Quercetin Derivative * | |
| 0 | 10 ± 1 e ** | 148 ± 3 b | 173 ± 7 d | 44 ± 2 e | 25 ± 2 f | 10 ± 2 c | 139 ± 3 f |
| 25 | 17 ± 2 de | 174 ± 8 a | 187 ± 12 d | 66 ± 5 e | 46 ± 7 f | 18 ± 3 c | 251 ± 11 f |
| 50 | 25 ± 3 c | – | 942 ± 41 a | 432 ± 25 c | 252 ± 10 e | 33 ± 3 c | 2058 ± 78 e |
| 75 | 34 ± 2 b | – | 792 ± 24 b | 812 ± 42 b | 660 ± 31 c | 159 ± 18 b | 4454 ± 405 c |
| 100 | 48 ± 4 a | – | 974 ± 57 a | 1062 ± 104 a | 633 ± 51 cd | 161 ± 15 b | 5054 ± 343 b |
| 200 | 25 ± 3 c | 127 ± 2 c | 723 ± 48 b | 853 ± 52 b | 865 ± 47 b | 159 ± 10 b | 5325 ± 294 b |
| 300 | 19 ± 4 cde | – | 395 ± 33 c | 910 ± 37 b | 1062 ± 117 a | 192 ± 20 a | 6256 ± 309 a |
| 400 | 15 ± 2 ef | – | 220 ± 17 d | 460 ± 25 c | 536 ± 26 d | 33 ± 3 c | 3074 ± 208 d |
| 500 | 22 ± 2 cd | – | 225 ± 26 d | 205 ± 17 d | 256 ± 29 e | 12 ± 2 c | 2094 ± 120 e |
| Concentration of NaCl, mM | Content of Individual Phenolic Compounds, µg g−1 DW | |||
|---|---|---|---|---|
| 3,4-Dihydroxybenzoic Acid (Protocatechuic Acid) | Rosmarinic Acid | Apigenin Derivative * | Luteolin Derivative | |
| 0 | 71 ± 2 a ** | 395 ± 9 a | 2345 ± 131 a | 281 ± 4 a |
| 25 | 36 ± 2 b | 158 ± 5 c | 1649 ± 64 b | – |
| 50 | 31 ± 2 c | 144 ± 8 cd | 1683 ± 65 b | – |
| 75 | 29 ± 2 c | 128 ± 8 d | 1652 ± 69 b | – |
| 100 | 30 ± 1 c | 104 ± 7 e | 1390 ± 103 c | – |
| 200 | 19 ± 2 d | 85 ± 9 ef | 1366 ± 11 c | – |
| 300 | 16 ± 1 d | 73 ± 8 f | 1437 ± 63 c | – |
| 400 | 17 ± 1 d | 99 ± 9 e | 1101 ± 90 d | 16 ± 1 c |
| 500 | 3 ± 2 e | 252 ± 17 b | 984 ± 52 d | 253 ± 13 b |
Disclaimer/Publisher’s Note: The statements, opinions and data contained in all publications are solely those of the individual author(s) and contributor(s) and not of MDPI and/or the editor(s). MDPI and/or the editor(s) disclaim responsibility for any injury to people or property resulting from any ideas, methods, instructions or products referred to in the content. |
© 2023 by the authors. Licensee MDPI, Basel, Switzerland. This article is an open access article distributed under the terms and conditions of the Creative Commons Attribution (CC BY) license (https://creativecommons.org/licenses/by/4.0/).
Share and Cite
Pungin, A.; Lartseva, L.; Loskutnikova, V.; Shakhov, V.; Popova, E.; Skrypnik, L.; Krol, O. Effect of Salinity Stress on Phenolic Compounds and Antioxidant Activity in Halophytes Spergularia marina (L.) Griseb. and Glaux maritima L. Cultured In Vitro. Plants 2023, 12, 1905. https://doi.org/10.3390/plants12091905
Pungin A, Lartseva L, Loskutnikova V, Shakhov V, Popova E, Skrypnik L, Krol O. Effect of Salinity Stress on Phenolic Compounds and Antioxidant Activity in Halophytes Spergularia marina (L.) Griseb. and Glaux maritima L. Cultured In Vitro. Plants. 2023; 12(9):1905. https://doi.org/10.3390/plants12091905
Chicago/Turabian StylePungin, Artem, Lidia Lartseva, Violetta Loskutnikova, Vladislav Shakhov, Elena Popova, Liubov Skrypnik, and Olesya Krol. 2023. "Effect of Salinity Stress on Phenolic Compounds and Antioxidant Activity in Halophytes Spergularia marina (L.) Griseb. and Glaux maritima L. Cultured In Vitro" Plants 12, no. 9: 1905. https://doi.org/10.3390/plants12091905
APA StylePungin, A., Lartseva, L., Loskutnikova, V., Shakhov, V., Popova, E., Skrypnik, L., & Krol, O. (2023). Effect of Salinity Stress on Phenolic Compounds and Antioxidant Activity in Halophytes Spergularia marina (L.) Griseb. and Glaux maritima L. Cultured In Vitro. Plants, 12(9), 1905. https://doi.org/10.3390/plants12091905

