Festuca coelestis Increases Drought Tolerance and Nitrogen Use via Nutrient Supply–Demand Relationship on the Qinghai-Tibet Plateau
Abstract
1. Introduction
2. Results
2.1. Effect of Water and Fertilizer Treatments on the Physiological Regulation of Festuca coelestis
2.2. Effect of Water and Fertilizer Treatments on Root Characteristics of Festuca coelestis
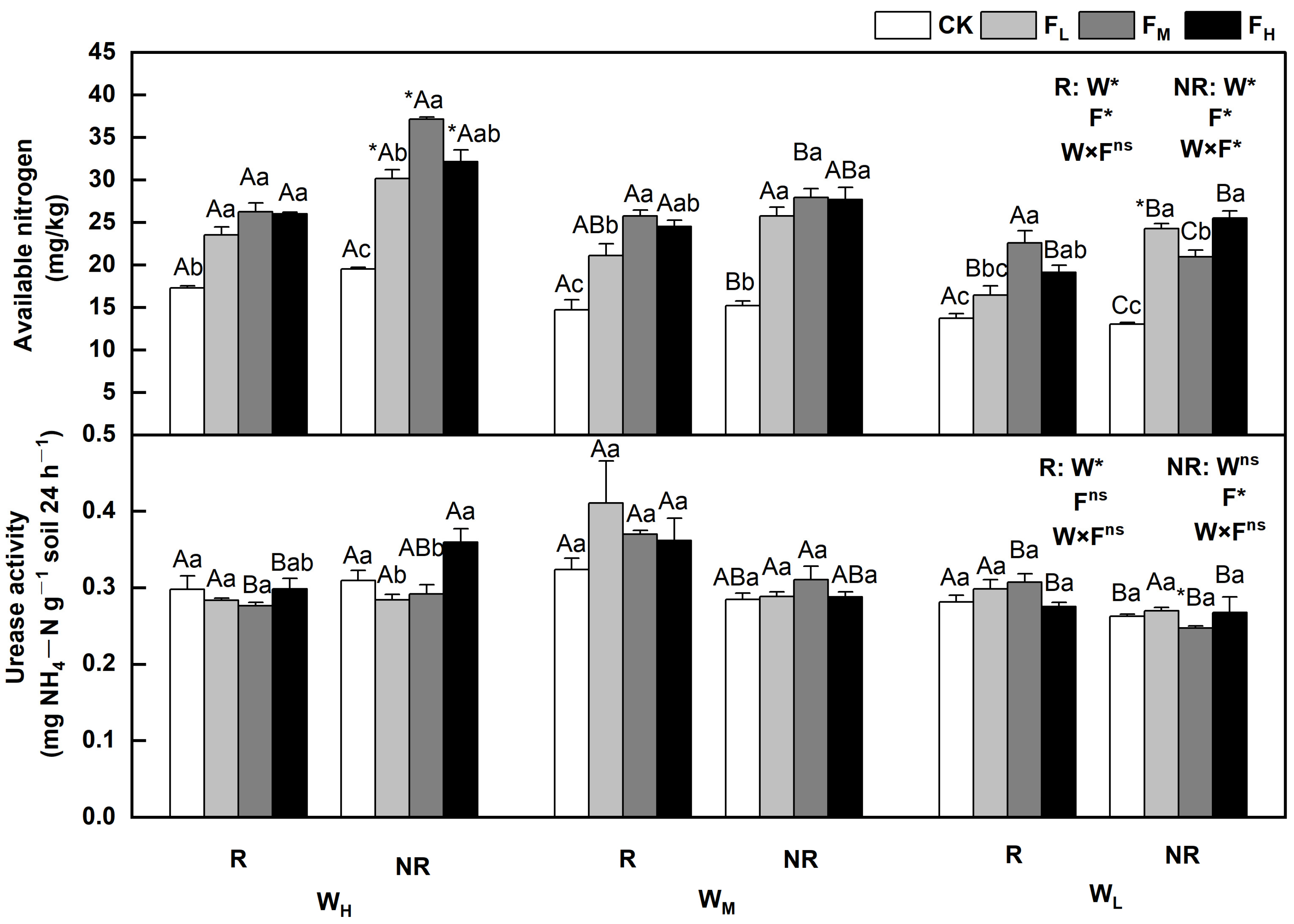
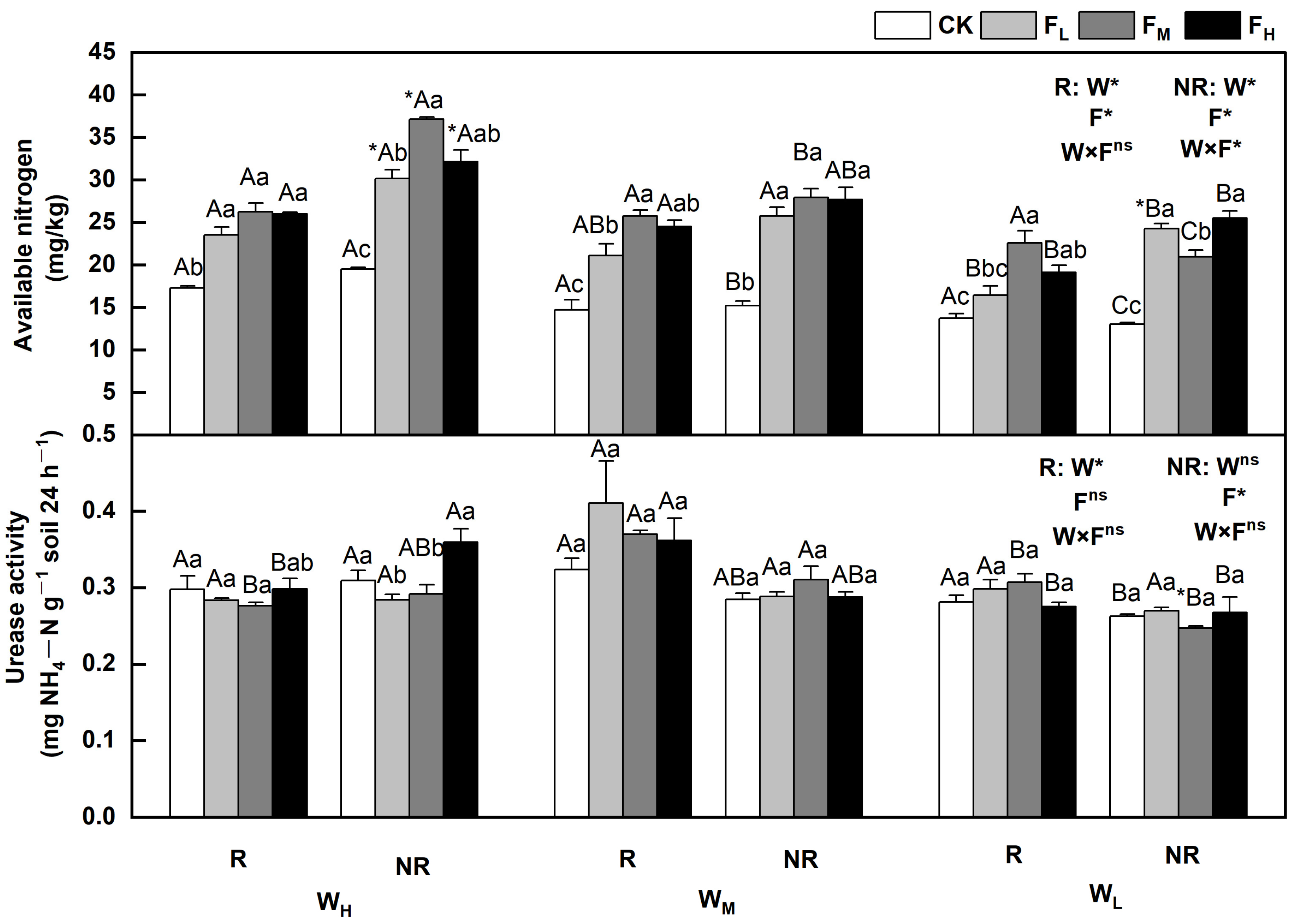
2.3. Effects of Water and Fertilizer Treatment on Soil N and P
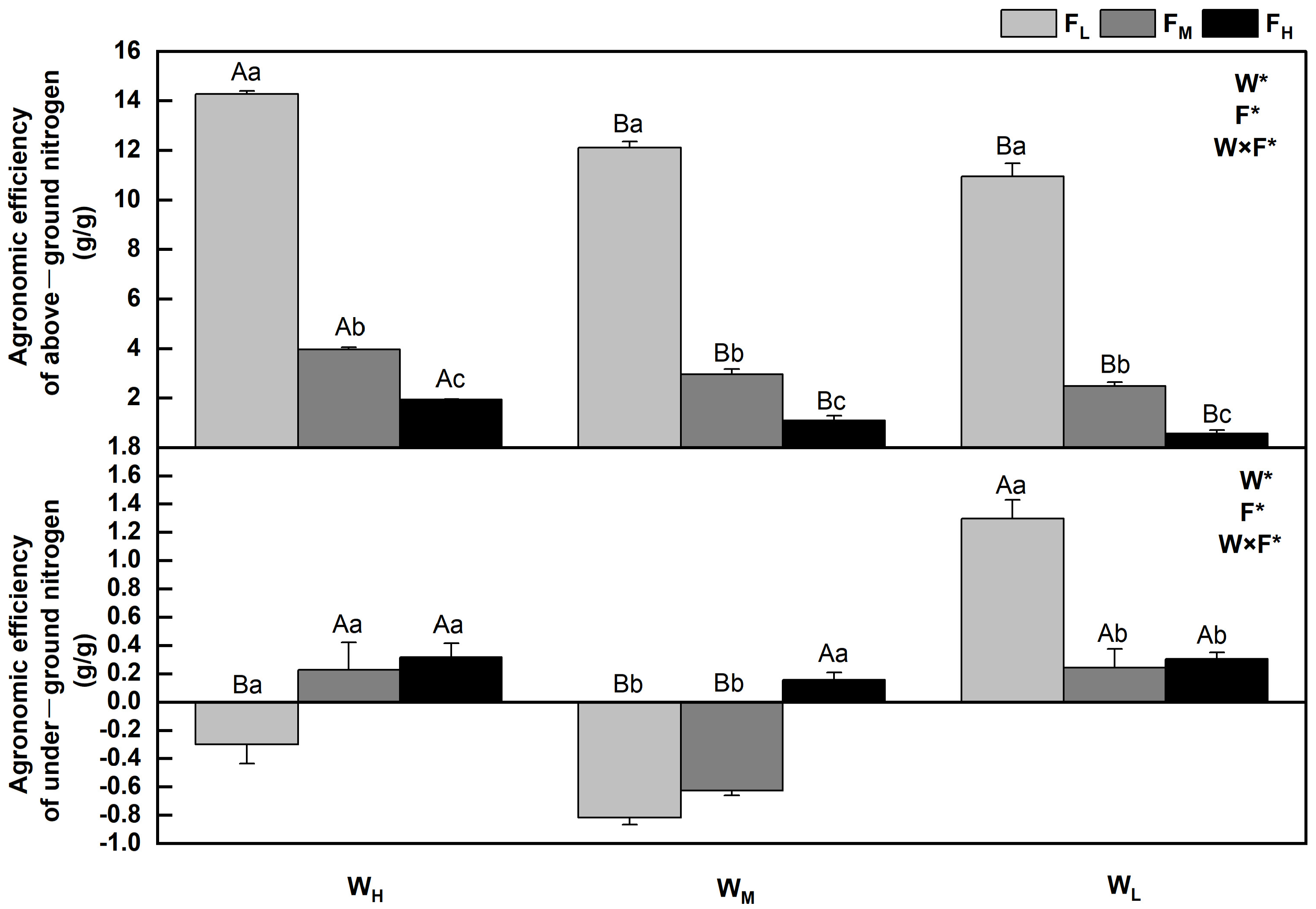
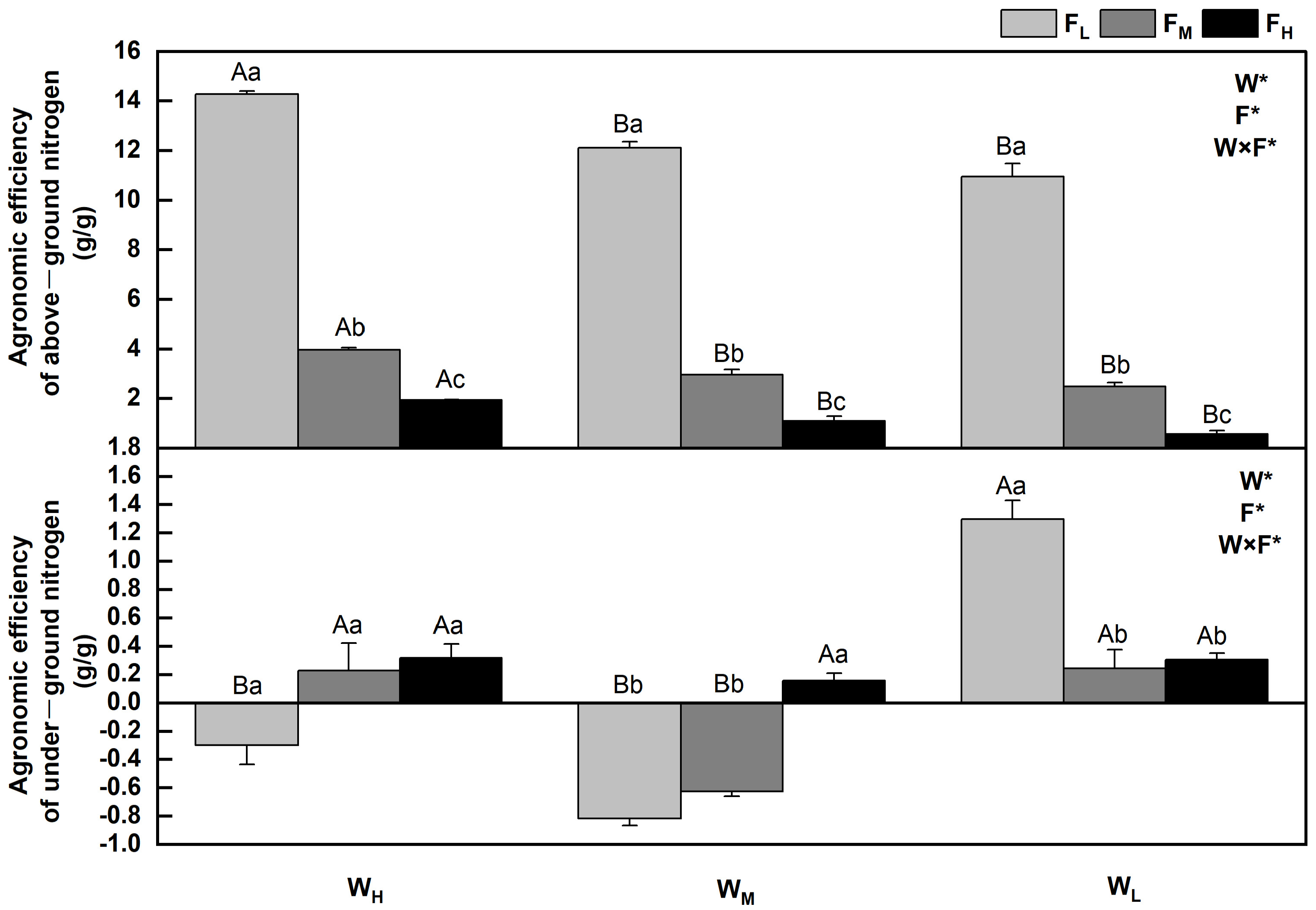
2.4. Effect of Water and Fertilizer Treatments on Agronomic Efficiency of Nitrogen of Festuca coelestis
2.5. Effects of Water and Fertilizer Treatment on Nutrient Cycling and Physiological Characteristics of Festuca coelestis
3. Discussion
4. Materials and Methods
4.1. Experimental Site
4.2. Experimental Design and Sample Collection
4.2.1. Experimental Design
4.2.2. Sample Collection
4.3. Measurement Items and Methods
4.3.1. Determination of Soil Nutrients and Enzyme Activity
4.3.2. Determination of Soluble Sugar, Starch, and Proline
4.3.3. Determination of Root Indices
4.4. Statistics and Data Analysis
5. Conclusions
Supplementary Materials
Author Contributions
Funding
Institutional Review Board Statement
Informed Consent Statement
Data Availability Statement
Conflicts of Interest
References
- Song, F.M.; Liu, J.H.; Qian, T.H.; Wu, C.Q.; Xu, Y.Y. Application of 8 indigenous plants in slope revegetation engineering. Sci. Soil Water Conserv. 2016, 14, 134–141. (In Chinese) [Google Scholar]
- Li, S.X.; Wang, Z.H.; Malhi, S.S.; Li, S.Q.; Gao, Y.J.; Tian, X.H. Nutrient and water management effects on crop production, and nutrient and water use efficiency in dryland areas of China. Adv. Agron. 2009, 102, 223–265. [Google Scholar]
- Banedjschafie, S.; Bastani, S.; Widmoser, P.; Mengel, K. Improvement of water use and N fertilizer efficiency by subsoil irrigation of winter wheat. Eur. J. Agron. 2008, 28, 1–7. [Google Scholar] [CrossRef]
- Fang, X.; Li, Y.; Nie, J.; Wang, C.; Huang, K.; Zhang, Y.; Zhang, Y.; She, H.; Liu, X.; Ruan, R.; et al. Effects of nitrogen fertilizer and planting density on the leaf photosynthetic characteristics, agronomic traits and grain yield in common buckwheat (Fagopyrum esculentum M.). Field Crops Res. 2018, 219, 160–168. [Google Scholar] [CrossRef]
- Krasensky, J.; Jonak, C. Drought, salt, and temperature stress induced metabolic rearrangements and regulatory networks. J. Exp. Bot. 2012, 63, 1593–1608. [Google Scholar] [CrossRef] [PubMed]
- Farooq, M.; Wahid, A.; Kobayashi, N.; Fujita, D.; Basra, S.M.A. Plant drought stress: Effects, mechanisms and management. Agron. Sustain. Dev. 2009, 29, 185–212. [Google Scholar] [CrossRef]
- Yi, B.; Zhou, Y.F.; Gao, M.Y.; Zhang, Z.; Han, Y.; Yang, G.D.; Xu, W.J.; Huang, R.D. Effect of Drought Stress During Flowering Stage on Starch Accumulation and Starch Synthesis Enzymes in Sorghum Grains. J. Integr. Agric. 2014, 13, 2399–2406. [Google Scholar] [CrossRef]
- Wang, X.; Xu, Z.W.; Yan, C.F.; Luo, W.T.; Wang, R.Z.; Han, X.G.; Jiang, Y.; Li, M.H. Responses and sensitivity of N, P and mobile carbohydrates of dominant species to increased water, N and P availability in semi-arid grasslands in northern China. J. Plant Ecol. 2017, 10, 486–496. [Google Scholar] [CrossRef]
- Kim, Y.; Chung, Y.S.; Lee, E.; Tripathi, P.; Heo, S.; Kim, K.H. Root response to drought stress in rice (Oryza sativa L.). Int. J. Mol. Sci. 2020, 21, 1513. [Google Scholar] [CrossRef]
- Gregory, P.J.; Bengough, A.G.; George, T.S.; Hallett, P.D. Rhizosphere Engineering by Plants: Quantifying Soil-Root Interactions. Adv. Agric. Syst. Model. Transdiscipl. Res. Synth. Appl. 2013, 4, 1–30. [Google Scholar]
- Lynch, J.P. Root phenes for enhanced soil exploration and phosphorus acquisition: Tools for future crops. Plant Physiol. 2011, 156, 1041–1049. [Google Scholar] [CrossRef] [PubMed]
- Price, A.H.; Steele, K.A.; Moore, B.J.; Jones, R.G.W. Upland rice grown in soil filled chambers and exposed to contrasting water deficit regimes. II. Mapping quantitative trait loci for root morphology and distribution. Field Crops Res. 2002, 76, 25–43. [Google Scholar] [CrossRef]
- Acosta-Martinez, V.; Moore-Kucera, J.; Cotton, J.; Gardner, T.; Wester, D. Soil enzyme activities during the 2011 Texas record drought/heat wave and implications to biogeochemical cycling and organic matter dynamics. Appl. Soil Ecol. 2014, 5, 43–51. [Google Scholar] [CrossRef]
- Bai, C.H.; Hong, M.; Han, G.D.; Zhao, M.L.; Lu, B.T. Response of three soil enzymes to temperature and nitrogen fertilizer. J. Inn. Mong. Univ. (Nat. Sci. Ed.) 2012, 43, 509–513. (In Chinese) [Google Scholar]
- Zhu, T.B.; ZhuGe, Y.P.; Liu, S.J.; Lou, Y.H. Effects of Different Fertilizer Treatments and Water Regimes on Soil Enzyme Activities. Shangdong Agric. Sci. 2008, 3, 74–78. (In Chinese) [Google Scholar]
- Bulgarelli, D.; Schlaeppi, K.; Spaepen, S.; van Themaat, E.V.L.; Schulze-Lefert, P. Structure and Functions of the Bacterial Microbiota of Plants. Annu. Rev. Plant Biol. 2012, 64, 807–838. [Google Scholar] [CrossRef] [PubMed]
- Li, F.S.; Yu, J.M.; Nong, M.L.; Kang, S.Z.; Zhang, J.H. Partial root-zone irrigation enhanced soil enzyme activities and water use of maize under different ratios of inorganic to organic nitrogen fertilizers. Agric. Water Manag. 2010, 97, 231–239. [Google Scholar] [CrossRef]
- Duan, C.; Shi, P.L.; Zong, N.; Zhang, X.Z.; Yu, C.Q. Assessing Rangeland Sensitivity to Degradation in North Tibet. Rangel. Ecol. Manag. 2022, 84, 86–97. [Google Scholar] [CrossRef]
- Wei, X.H.; Yang, F.Y.; Sun, L. Effects of Reseeding and Fertilization on the Vegetation Recovery of Degraded Grassland in North Tibet. J. Anhui Agric. Sci. 2010, 8, 18155–18156. (In Chinese) [Google Scholar]
- Salleo, S.; Trifilo, P.; Esposito, S.; Nardini, A.; Lo Gullo, M.A. Starch to sugar conversion in wood parenchyma of field-growing Laurus nobilis plants: A component of the signal pathway for embolism repair. Funct. Plant Biol. 2009, 36, 815–825. [Google Scholar] [CrossRef]
- Kumari, A.; Das, P.; Parida, A.K.; Agarwal, P.K. Proteomics, metabolomics, and ionomics perspectives of salinity tolerance in halophytes. Front. Plant Sci. 2015, 6, 537. [Google Scholar] [CrossRef]
- Wu, F.; Bao, W.K.; Li, F.L.; Wu, N. Effects of drought stress and N supply on the growth biomass partitioning and water—Use efficiency of Sophora davidii seedlings. Exp. Environ. Bot. 2008, 63, 248–255. [Google Scholar] [CrossRef]
- Yu, H.R.; Guo, Y.; Zhu, A.M.; Lu, F.Y.; Wang, L.; Zhang, Y.X. Effects of nitrogen fertilizer level on non-structural carbon and nitrogen metabolite levels in oats grown in sandy desert soi. Acta Prataculturae Sin. 2018, 27, 61–72. (In Chinese) [Google Scholar]
- Wang, X.; Luo, W.T.; Yu, Q. Effects of nutrient addition on nitrogen, phosphorus and non-structural carbohydrates concentrations in leaves of dominant plant species in a semiarid steppe. Chin. J. Ecol. 2014, 33, 1795–1802. (In Chinese) [Google Scholar]
- Scofield, G.N.; Ruuska, S.A.; Aoki, N.; Lewis, D.C.; Tabe, L.M.; Jenkins, C.L.D. Starch storage in the stems of wheat plants: Localization and temporal changes. Ann. Bot. 2009, 103, 859–868. [Google Scholar] [CrossRef] [PubMed]
- Xu, C.L.; Tao, H.B.; Tian, B.J.; Gao, Y.B.; Ren, J.H.; Wang, P. Limited-irrigation improves water use efficiency and soil reservoir capacity through regulating root and canopy growth of winter wheat. Field Crops Res. 2016, 196, 268–275. [Google Scholar] [CrossRef]
- Bengough, A.G.; McKenzie, B.M.; Hallett, P.D.; Valentine, T.A. Root elongation, water stress, and mechanical impedance: A review of limiting stresses and beneficial root tip traits. J. Exp. Bot. 2011, 62, 59–68. [Google Scholar] [CrossRef]
- Bai, W.M.; Wang, Z.W.; Chen, Q.S.; Zhang, W.H.; Li, L.H. Spatial and temporal effects of nitrogen addition on root life span of Leymus chinensis in a typical steppe of Inner Mongolia. Funct. Ecol. 2008, 22, 583–591. [Google Scholar] [CrossRef]
- Wang, J.; Gao, Y.Z.; Zhang, Y.H. Asymmetry in above and belowground productivity responses to N addition in a semiarid temperate steppe. Glob. Change Biol. 2019, 25, 2958–2969. [Google Scholar] [CrossRef]
- Brown, L.K.; George, T.S.; Thompson, J.A.; Wright, G.; Lyon, J.; Dupuy, L.; Hubbard, S.F.; White, P.J. What are the implications of variation in root hair length on tolerance to phosphorus deficiency in combination with water stress in barley (Hordeum vulgare). Ann. Bot. 2012, 11, 319–328. [Google Scholar] [CrossRef]
- Al-Kaisi, M.M.; Yin, X.H. Effects of nitrogen rate, irrigation rate, and plant population on corn yield and water use efficiency. Agron. J. 2003, 95, 1475–1482. [Google Scholar] [CrossRef]
- Wang, Q.K.; Wang, S.L.; Liu, Y. Responses to N and P fertilization in a young Eucalyptus dunnii plantation: Microbial properties, enzyme activities and dissolved organic matter. Appl. Soil Ecol. 2008, 40, 484–490. [Google Scholar] [CrossRef]
- Roy, S.; Bhattacharyya, P.; Ghosh, A.K. Influence of toxic metals on activity of acidand alkaline phosphatase enzymes in metal-contaminated landfill soils. Soil Res. 2004, 42, 339–344. [Google Scholar] [CrossRef]
- Ladanai, S.; Agren, G.I.; Olsson, B.A. Relationships between tree and soil properties in Picea abies and Pinus sylvestris forests in Sweden. Ecosystems 2010, 13, 302–316. [Google Scholar] [CrossRef]
- Sun, Y.N.; Li, Q.; Li, Y.K.; Lin, L.; Du, Y.G.; Cao, G.M. The effect of nitrogen and phosphorus applications on soil enzyme activities in Qinghai-Tibetan alpine meadows. Acta Prataculturae Sin. 2016, 25, 18–26. (In Chinese) [Google Scholar]
- Shi, Y.; Sheng, L.X.; Yu, Q. Responses of soil enzyme activity and microbial community compositions to nitrogen addition in bulk and microaggregate soil in the temperate steppe of Inner Mongolia. Eurasian Soil Sci. 2016, 49, 1149–1160. [Google Scholar] [CrossRef]
- Keeler, B.L.; Hobbie, S.E.; Kellogg, L.E. Effects of long-term nitrogen addition on microbial enzyme activity in eight forested and grassland sites: Implications for litter and soil organic matter decomposition. Ecosystems 2009, 12, 1–15. [Google Scholar] [CrossRef]
- Zhang, W.C.; Zhu, J.Q.; Zhou, X.G.; Li, F.H. Effects of shallow groundwater table and fertilization level on soil physico-chemical properties, enzyme activities, and winter wheat yield. Agric. Water Manag. 2018, 208, 307–317. [Google Scholar] [CrossRef]
- Li, X.W.; Gao, S.L. Institute of Soil and Fertilizer, Chinese Academy of Agricultural Sciences; Chinese fertilizer; Shanghai Scientific and Technical Publishers: Shanghai, China, 1994; pp. 225–233. [Google Scholar]
- Zhao, N.; Sun, X.; Hou, S.N. Addition Mitigates Water Stress via Different Photosynthesis and Water Traits for Three Native Plant Species in the Qinghai–Tibet Plateau. Agriculture 2022, 12, 1873. [Google Scholar] [CrossRef]
- Rietra, R.P.J.J.; Heinen, M.; Dimkpa, C.O.; Bindraban, P.S. Effect of nutrient and antagonistic synergism on yields and fertilizer use efficiency. Commun. Soil Sci. Plant Anal. 2017, 48, 1895–1920. [Google Scholar] [CrossRef]
- Choudhury, A.T.M.A.; Kennedy, I.R. Nitrogen fertilizer losses from rice soils and control of environmental pollution problems. Commun. Soil Sci. Plant Anal. 2005, 36, 1625–1639. [Google Scholar] [CrossRef]
- Zhang, X.Y.; Gao, Q.; Wang, Y.; Chen, J.; Chen, J.A.; Wang, L.Y.; Guo, X.Y.; Niu, Y.L.; Zhang, X.Y.; Chen, L.D. Effects of soil water and nitrogen on plant growth, root morphology and spatial distribution of maize at the seedling stage. Sci. Agric. Sin. 2019, 52, 34–44. [Google Scholar]
- Wang, X.K. Principles and Techniques of Plant Physiological and Biochemical Experiments, 2nd ed.; Higher Education Press: Beijing, China, 2007; pp. 278–279. [Google Scholar]
- Dengiz, O.; Kizilkaya, R.; Gol, C.; Hepsen, S. Effects of different topographic positions on soil properties and soil enzymes activities. Asian J. Chem. 2007, 19, 2295–2306. [Google Scholar]
- Wang, Y.Y.; Khoo, K.H.; Chen, S.T.; Lin, C.C.; Wong, C.H.; Lin, C.H. Studies on the immuno-modulating and antitumor activities of Ganoderma lucidum (Reishi) polysaccharides: Functional and proteomic analyses of a fucose-containing glycoprotein fraction responsible for the activities. Bioorgan. Med. Chem. 2002, 10, 1057–1062. [Google Scholar] [CrossRef] [PubMed]






Disclaimer/Publisher’s Note: The statements, opinions and data contained in all publications are solely those of the individual author(s) and contributor(s) and not of MDPI and/or the editor(s). MDPI and/or the editor(s) disclaim responsibility for any injury to people or property resulting from any ideas, methods, instructions or products referred to in the content. |
© 2023 by the authors. Licensee MDPI, Basel, Switzerland. This article is an open access article distributed under the terms and conditions of the Creative Commons Attribution (CC BY) license (https://creativecommons.org/licenses/by/4.0/).
Share and Cite
Zhao, N.; Sun, X.; Hou, S.; Ma, S.; Chen, G.; Chen, Z.; Wang, X.; Zhang, Z. Festuca coelestis Increases Drought Tolerance and Nitrogen Use via Nutrient Supply–Demand Relationship on the Qinghai-Tibet Plateau. Plants 2023, 12, 1773. https://doi.org/10.3390/plants12091773
Zhao N, Sun X, Hou S, Ma S, Chen G, Chen Z, Wang X, Zhang Z. Festuca coelestis Increases Drought Tolerance and Nitrogen Use via Nutrient Supply–Demand Relationship on the Qinghai-Tibet Plateau. Plants. 2023; 12(9):1773. https://doi.org/10.3390/plants12091773
Chicago/Turabian StyleZhao, Ningning, Xingrong Sun, Shuai Hou, Sujie Ma, Guohao Chen, Zelin Chen, Xiangtao Wang, and Zhixin Zhang. 2023. "Festuca coelestis Increases Drought Tolerance and Nitrogen Use via Nutrient Supply–Demand Relationship on the Qinghai-Tibet Plateau" Plants 12, no. 9: 1773. https://doi.org/10.3390/plants12091773
APA StyleZhao, N., Sun, X., Hou, S., Ma, S., Chen, G., Chen, Z., Wang, X., & Zhang, Z. (2023). Festuca coelestis Increases Drought Tolerance and Nitrogen Use via Nutrient Supply–Demand Relationship on the Qinghai-Tibet Plateau. Plants, 12(9), 1773. https://doi.org/10.3390/plants12091773

