Effect of Supplemental Inter-Lighting on Paprika Cultivated in an Unheated Greenhouse in Summer Using Various Light-Emitting Diodes
Abstract
1. Introduction
2. Results
2.1. Plant Growth
2.2. Leaf Characteristics
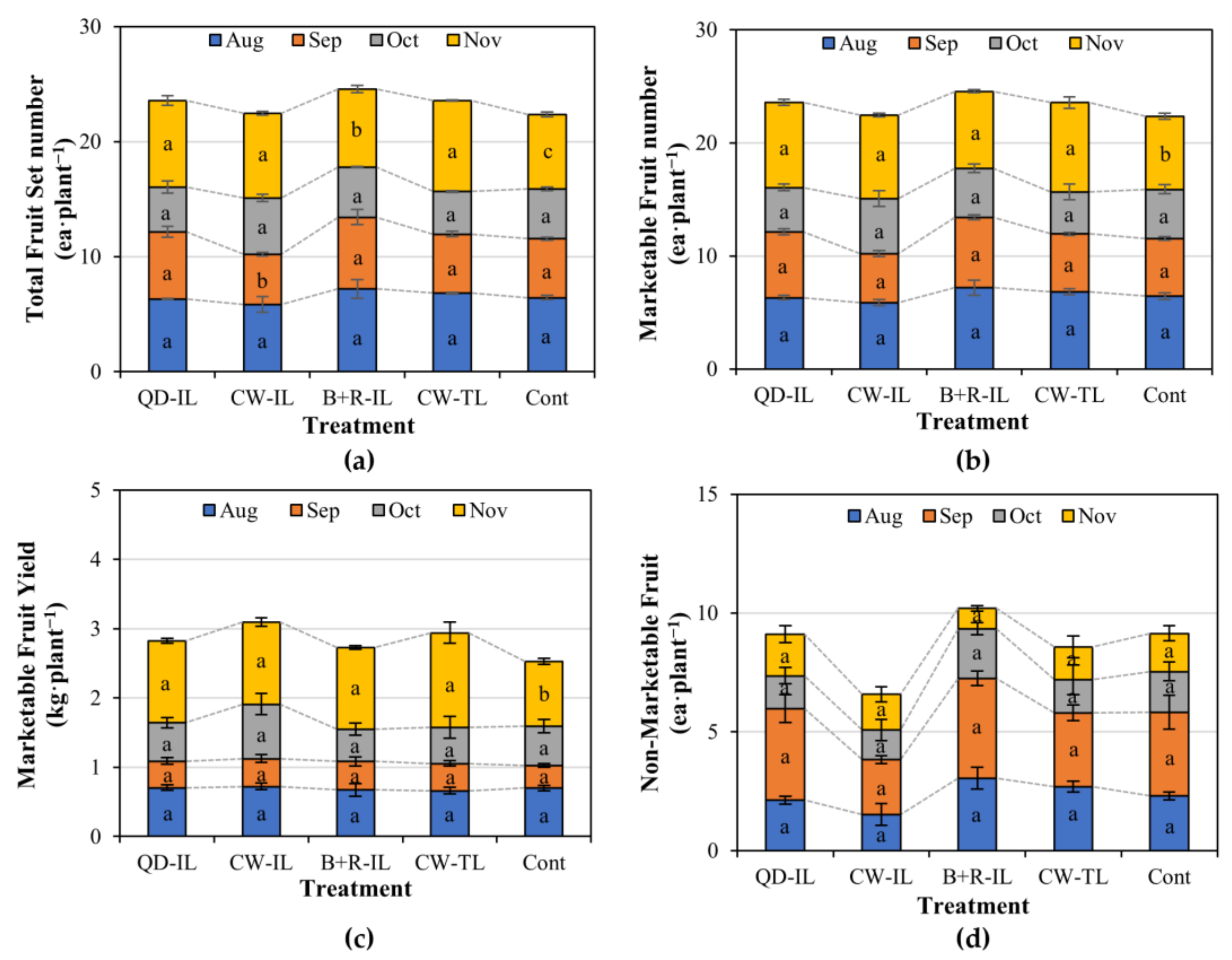
2.3. Yield and Fruit Characteristics
2.4. Economic Analysis
3. Discussion
4. Materials and Methods
4.1. Plants and Growth Conditions
4.2. LED Fixtures and Supplemental Lighting
4.3. Measurements
4.4. Experimental Design and Statistical Analysis
5. Conclusions
Author Contributions
Funding
Data Availability Statement
Acknowledgments
Conflicts of Interest
References
- KATI. The State of Sweet Pepper Industry in Korea; Korea Agro-Fisheries Trade Corporation: Seoul, Republic of Korea, 2022. Available online: https://www.kati.net/product/basisInfo.do?lcdCode=MD147 (accessed on 27 January 2023).
- Cho, I.-H.; Lee, W.-M.; Kwan, K.-B.; Woo, Y.-H.; Lee, K.-H. Stable production technique of paprika (Capsicum annuum L.) by hydrogen peroxide treatment at summer. J. Bio-Environ. Control 2009, 18, 297–301. [Google Scholar]
- Erickson, A.; Markhart, A. Flower developmental stage and organ sensitivity of bell pepper (Capsicum annuum L.) to elevated temperature. Plant Cell Environ. 2002, 25, 123–130. [Google Scholar] [CrossRef]
- Shin, J.H.; Son, J.E. Irrigation criteria based on estimated transpiration and seasonal light environmental condition for greenhouse cultivation of paprika. J. Bio-Environ. Control 2015, 24, 1–7. [Google Scholar] [CrossRef]
- Yihui, D.; Chan, J.C. The East Asian summer monsoon: An overview. Meteorol. Atmos. Phys. 2005, 89, 117–142. [Google Scholar] [CrossRef]
- Song, H.-J. Long-term variations of cloud top patterns associated with heavy rainfall over the Korean peninsula. J. Hydrol. Reg. Stud. 2023, 46, 101337. [Google Scholar] [CrossRef]
- Marcelis, L.; Heuvelink, E.; Baan Hofman-Eijer, L.; Den Bakker, J.; Xue, L. Flower and fruit abortion in sweet pepper in relation to source and sink strength. J. Exp. Bot. 2004, 55, 2261–2268. [Google Scholar] [CrossRef]
- Marcelis, L.; Broekhuijsen, A.; Meinen, E.; Nijs, E.; Raaphorst, M. Quantification of the growth response to light quantity of greenhouse grown crops. Acta Hortic. 2006, 711, 97–104. [Google Scholar] [CrossRef]
- Tewolde, F.T.; Shiina, K.; Maruo, T.; Takagaki, M.; Kozai, T.; Yamori, W. Supplemental LED inter-lighting compensates for a shortage of light for plant growth and yield under the lack of sunshine. PLoS ONE 2018, 13, e0206592. [Google Scholar] [CrossRef]
- Jiang, C.; Johkan, M.; Maruo, T.; Hohjo, M.; Tsukagoshi, S.; Ebihara, M.; Nakaminami, A. Effect of supplemental far-red light with blue and red LED lamps on leaf photosynthesis, stomatal regulation and plant development of protected cultivated tomato. Acta Hortic. 2018, 1227, 533–540. [Google Scholar] [CrossRef]
- Hernandez, E.; Timmons, M.B.; Mattson, N.S. Quality, Yield, and Biomass Efficacy of Several Hydroponic Lettuce (Lactuca sativa L.) Cultivars in Response to High Pressure Sodium Lights or Light Emitting Diodes for Greenhouse Supplemental Lighting. Horticulturae 2020, 6, 7. [Google Scholar] [CrossRef]
- Nelson, J.A.; Bugbee, B. Economic analysis of greenhouse lighting: Light emitting diodes vs. high intensity discharge fixtures. PLoS ONE 2014, 9, e99010. [Google Scholar] [CrossRef] [PubMed]
- Ouzounis, T.; Rosenqvist, E.; Ottosen, C.-O. Spectral effects of artificial light on plant physiology and secondary metabolism: A review. HortScience 2015, 50, 1128–1135. [Google Scholar] [CrossRef]
- Salas, M.; Urrestarazu, M.; Castillo, E. Effect of cultural practices on a sweet pepper crop in a mild winter climate. Acta Hortic. 2003, 614, 301–306. [Google Scholar] [CrossRef]
- Hao, X.; Wen, G.; Papadopoulos, A.P.; Khosla, S. A twin-head “V” high-wire greenhouse cucumber production system for reducing crop start-up costs. HortTechnology 2010, 20, 963–970. [Google Scholar] [CrossRef]
- Gomez, C.; Morrow, R.C.; Bourget, C.M.; Massa, G.D.; Mitchell, C.A. Comparison of intracanopy light-emitting diode towers and overhead high-pressure sodium lamps for supplemental lighting of greenhouse-grown tomatoes. HortTechnology 2013, 23, 93–98. [Google Scholar] [CrossRef]
- Tewolde, F.T.; Lu, N.; Shiina, K.; Maruo, T.; Takagaki, M.; Kozai, T.; Yamori, W. Nighttime supplemental LED inter-lighting improves growth and yield of single-truss tomatoes by enhancing photosynthesis in both winter and summer. Front. Plant Sci. 2016, 7, 448. [Google Scholar] [CrossRef]
- Guo, X.; Hao, X.; Khosla, S.; Kumar, K.; Cao, R.; Bennett, N. Effect of LED interlighting combined with overhead HPS light on fruit yield and quality of year-round sweet pepper in commercial greenhouse. Acta Hortic. 2016, 1134, 71–78. [Google Scholar] [CrossRef]
- Joshi, N.C.; Ratner, K.; Eidelman, O.; Bednarczyk, D.; Zur, N.; Many, Y.; Shahak, Y.; Aviv-Sharon, E.; Achiam, M.; Gilad, Z. Effects of daytime intra-canopy LED illumination on photosynthesis and productivity of bell pepper grown in protected cultivation. Sci. Hortic. 2019, 250, 81–88. [Google Scholar] [CrossRef]
- Paucek, I.; Pennisi, G.; Pistillo, A.; Appolloni, E.; Crepaldi, A.; Calegari, B.; Spinelli, F.; Cellini, A.; Gabarrell, X.; Orsini, F. Supplementary LED interlighting improves yield and precocity of greenhouse tomatoes in the Mediterranean. Agronomy 2020, 10, 1002. [Google Scholar] [CrossRef]
- Maeda, K.; Masuda, E.; Tamashiro, T.; Maharjan, G.; Maruo, T. Comparison of Supplemental LED Top-and Interlighting for Year-Round Production of Cherry Tomato. Agronomy 2022, 12, 1878. [Google Scholar] [CrossRef]
- Gómez, C.; Clark, M.; Mitchell, C. Effect of intracanopy lighting and/or root-zone temperature on high-wire tomato production under supra-optimal air temperature. Acta Hortic. 2016, 1134, 63–70. [Google Scholar] [CrossRef]
- Verheul, M.; Maessen, H.F.R.; Panosyan, A.; Naseer, M.; Paponov, M.; Paponov, I. Effects of supplemental lighting and temperature on summer production of tomato in Norway. Acta Hortic. 2020, 1296, 707–714. [Google Scholar] [CrossRef]
- Appolloni, E.; Orsini, F.; Pennisi, G.; Gabarrell Durany, X.; Paucek, I.; Gianquinto, G. Supplemental LED lighting effectively enhances the yield and quality of greenhouse truss tomato production: Results of a meta-analysis. Front. Plant Sci. 2021, 12, 596927. [Google Scholar] [CrossRef] [PubMed]
- Kim, Y.-B.; Bae, J.-H.; Park, M.-H. Effects of supplemental lighting on growth and yield of sweet pepper (Capsicum annuum L.) in hydroponic culture under low levels of natural light in winter. Hortic. Sci. Technol. 2011, 29, 317–325. [Google Scholar]
- Lee, J.-W.; Kim, H.C.; Jeong, P.H.; Ku, Y.-G.; Bae, J.H. Effects of supplemental lighting of high pressure sodium and lighting emitting plasma on growth and productivity of paprika during low radiation period of winter season. Hortic. Sci. Technol. 2014, 32, 346–352. [Google Scholar] [CrossRef]
- Yoon, S.; Kim, J.H.; Hwang, I.; Kim, D.; Shin, J.; Son, J.E. Effect of stem number on growth, fruit quality, and yield of sweet peppers grown in greenhouses under supplemental lighting with high pressure sodium lamps in winter. J. Bio-Environ. Control 2021, 30, 237–243. [Google Scholar] [CrossRef]
- Kusuma, P.; Pattison, P.M.; Bugbee, B. From physics to fixtures to food: Current and potential LED efficacy. Hortic. Res. 2020, 7, 56. [Google Scholar] [CrossRef]
- Zhang, Z.; Shen, L.; Zhang, H.; Ding, L.; Shao, G.; Liang, X.; Xiang, W. Novel red-emitting CsPb1− xTixI3 perovskite QDs@ glasses with ambient stability for high efficiency white LEDs and plant growth LEDs. Chem. Eng. J. 2019, 378, 122125. [Google Scholar] [CrossRef]
- Lee, J.-G.; Lee, G.J.; Hong, S.C.; Ko, J.-H.; Park, T.; Ko, Y.W. Shape optimization of quantum-dot caps for high color-rendering white light-emitting diodes studied by optical simulation. J. Korean Phys. Soc. 2021, 78, 822–828. [Google Scholar] [CrossRef]
- Jokinen, K.; Särkkä, L.; Näkkilä, J. Improving sweet pepper productivity by LED interlighting. Acta Hortic. 2012, 956, 59–66. [Google Scholar] [CrossRef]
- Brehm, G.; Niermann, J.; Jaimes Nino, L.M.; Enseling, D.; Jüstel, T.; Axmacher, J.C.; Warrant, E.; Fiedler, K. Moths are strongly attracted to ultraviolet and blue radiation. Insect Conserv. Divers. 2021, 14, 188–198. [Google Scholar] [CrossRef]
- Choi, I.-L.; Lee, Y.B.; Kim, I.S.; Kang, H.-M. A comparison of the storability in MA storage and the quality of paprika fruit among cultivars. J. Bio-Environ. Control 2012, 21, 252–260. [Google Scholar]
- Wada, T.; Ikeda, H.; Matsushita, K.; Kambara, A.; Hirai, H.; Abe, K. Effects of Shading in Summer on Yield and Quality of Tomatoes Grown on a Single-truss System. J. Jpn. Soc. Hortic. Sci. 2006, 75, 51–58. [Google Scholar] [CrossRef]
- Lee, J.-N.; Lee, E.-H.; Im, J.-S.; Kwon, Y.-S.; Jang, S.-W.; Yong, Y.-R. Productivity and Fruit Quality according to Training Methods and Harvesting Bate on Paprika during Summer Culture in Highland. J. Bio-Environ. Control 2008, 17, 204–209. [Google Scholar]
- Tilahun, S.; Paramaguru, P.; Rajamani, K. Capsaicin and ascorbic acid variability in chilli and paprika cultivars as revealed by HPLC analysis. J. Plant Breed. Genet. 2013, 1, 85–89. [Google Scholar]
- Kim, D.; Son, J.E. Adding far-red to red, blue supplemental light-emitting diode interlighting improved sweet pepper yield but attenuated carotenoid content. Front. Plant Sci. 2022, 13, 2041. [Google Scholar] [CrossRef]
- Gautier, H.; Diakou-Verdin, V.; Bénard, C.; Reich, M.; Buret, M.; Bourgaud, F.; Poëssel, J.L.; Caris-Veyrat, C.; Génard, M. How does tomato quality (sugar, acid, and nutritional quality) vary with ripening stage, temperature, and irradiance? J. Agric. Food Chem. 2008, 56, 1241–1250. [Google Scholar] [CrossRef]
- Zushi, K.; Suehara, C.; Shirai, M. Effect of light intensity and wavelengths on ascorbic acid content and the antioxidant system in tomato fruit grown in vitro. Sci. Hortic. 2020, 274, 109673. [Google Scholar] [CrossRef]
- Appolloni, E.; Paucek, I.; Pennisi, G.; Stringari, G.; Gabarrell Durany, X.; Orsini, F.; Gianquinto, G. Supplemental LED Lighting Improves Fruit Growth and Yield of Tomato Grown under the Sub-Optimal Lighting Condition of a Building Integrated Rooftop Greenhouse (i-RTG). Horticulturae 2022, 8, 771. [Google Scholar] [CrossRef]
- Kim, H.-J.; Yang, T.; Choi, S.; Wang, Y.-J.; Lin, M.-Y.; Liceaga, A.M. Supplemental intracanopy far-red radiation to red LED light improves fruit quality attributes of greenhouse tomatoes. Sci. Hortic. 2020, 261, 108985. [Google Scholar] [CrossRef]
- Palmitessa, O.D.; Leoni, B.; Montesano, F.F.; Serio, F.; Signore, A.; Santamaria, P. Supplementary far-red light did not affect tomato plant growth or yield under mediterranean greenhouse conditions. Agronomy 2020, 10, 1849. [Google Scholar] [CrossRef]
- Chen, S.; Marcelis, L.F.; Heuvelink, E. Far-red radiation increases flower and fruit abortion in sweet pepper (Capsicum annuum L.). Sci. Hortic. 2022, 305, 111386. [Google Scholar] [CrossRef]
- Kotilainen, T.; Aphalo, P.J.; Brelsford, C.C.; Böök, H.; Devraj, S.; Heikkilä, A.; Hernández, R.; Kylling, A.; Lindfors, A.; Robson, T.M. Patterns in the spectral composition of sunlight and biologically meaningful spectral photon ratios as affected by atmospheric factors. Agric. For. Meteorol. 2020, 291, 108041. [Google Scholar] [CrossRef]
- Terashima, I.; Fujita, T.; Inoue, T.; Chow, W.S.; Oguchi, R. Green light drives leaf photosynthesis more efficiently than red light in strong white light: Revisiting the enigmatic question of why leaves are green. Plant Cell Physiol. 2009, 50, 684–697. [Google Scholar] [CrossRef]
- Jang, D.-C.; Choi, K.-Y.; Heo, J.-Y.; Kim, I.-S. Comparison of growth and fruit setting characteristics for selecting the optimum winter-planted paprika cultivars. Hortic. Sci. Technol. 2016, 34, 424–432. [Google Scholar] [CrossRef]
- Yeo, K.-H.; Park, S.H.; Yu, I.-H.; Lee, H.J.; Wi, S.H.; Cho, M.C.; Lee, W.M.; Huh, Y.C. Cultivation demonstration of paprika (Capsicum annuum L.) cultivars using the large single-span plastic greenhouse to overcome high temperature in South Korea. J. Bio-Environ. Control 2021, 30, 429–440. [Google Scholar] [CrossRef]
- Britton, C.; Dodd, J. Relationships of photosynthetically active radiation and shortwave irradiance. Agric. Meteorol. 1976, 17, 1–7. [Google Scholar] [CrossRef]
- Jacovides, C.; Tymvios, F.; Asimakopoulos, D.; Theofilou, K.; Pashiardes, S. Global photosynthetically active radiation and its relationship with global solar radiation in the Eastern Mediterranean basin. Theor. Appl. Climatol. 2003, 74, 227–233. [Google Scholar] [CrossRef]
- Lee, H.-W.; Lee, S.; Lee, S. Relationship between total solar radiation and PPF and transmittance in greenhouse at different weather conditions. J. Bio-Environ. Control 2002, 11, 56–60. [Google Scholar]
- Dorais, M. The use of supplemental lighting for vegetable crop production: Light intensity, crop response, nutrition, crop management, cultural practices. In Proceedings of the Canadian Greenhouse Conference, Niagara Falls, ON, Canada, 9 October 2003. [Google Scholar]
- Lee, J.; Moon, T.; Du Sung Nam, K.S.P.; Son, J.E. Estimation of leaf area in Paprika based on leaf length, leaf width, and node number using regression models and an artificial neural network. Hortic. Sci. Technol. 2018, 36, 183–192. [Google Scholar] [CrossRef]
- Jang, D.-C.; Choi, K.-Y.; Heo, J.-Y.; Kim, I.-S. The effect of transplant age on growth and fruit yield in winter-planted paprika cultivation. Hortic. Sci. Technol. 2018, 36, 470–477. [Google Scholar] [CrossRef]
- Chen, J.-J.; Zhen, S.; Sun, Y. Estimating leaf chlorophyll content of buffaloberry using normalized difference vegetation index sensors. HortTechnology 2021, 31, 297–303. [Google Scholar] [CrossRef]
- Yoon, H.S.; Choi, I.-L.; Heo, J.-Y.; Kim, J.Y.; Han, S.J.; Kang, H.-M. Influence of hot water immersion and MAP pre-treatments on sterilization and asparagus spear qualities during cold storage. Hortic. Sci. Technol. 2018, 36, 756–765. [Google Scholar] [CrossRef]
- Cunniff, P.; Washington, D. Official methods of analysis of aoac international. J. AOAC Int. 1997, 80, 127A. [Google Scholar]
- Ribes-Moya, A.M.; Raigón, M.D.; Moreno-Peris, E.; Fita, A.; Rodríguez-Burruezo, A. Response to organic cultivation of heirloom Capsicum peppers: Variation in the level of bioactive compounds and effect of ripening. PLoS ONE 2018, 13, e0207888. [Google Scholar] [CrossRef]
- Hwang, H.S.; Lee, K.H.; Jeong, H.W.; Hwang, S.J. Selection of Supplemental Light Source for Greenhouse Cultivation of Pepper during Low Radiation Period through Growth and Economic Analysis. J. Bio-Environ. Control 2022, 31, 204–211. [Google Scholar] [CrossRef]







| Treatment z | Height (cm) | No. of Nodes (ea) | No. of Leaves (ea) | LAI (m2/m2) | No. of Flower (ea) | No. of Fruit Set (ea) |
|---|---|---|---|---|---|---|
| QD-IL | 155.4 ± 2.0 a y | 30.86 ± 0.29 a | 91.52 ± 1.32 a | 4.15 ± 0.14 ab | 2.00 ± 0.12 a | 9.49 ± 0.47 a |
| CW-IL | 155.5 ± 1.9 a | 30.67 ± 0.23 a | 90.62 ± 0.89 a | 4.21 ± 0.13 ab | 1.71 ± 0.14 a | 9.39 ± 0.43 a |
| B+R-IL | 158.0 ± 2.1 a | 31.14 ± 0.34 a | 90.76 ± 0.88 a | 4.18 ± 0.11 ab | 1.86 ± 0.11 a | 9.71 ± 0.40 a |
| CW-TL | 159.3 ± 2.9 a | 31.71 ± 0.34 a | 92.48 ± 1.41 a | 4.48 ± 0.12 a | 2.00 ± 0.13 a | 9.38 ± 0.49 a |
| Cont | 151.8 ± 2.3 a | 30.52 ± 0.36 a | 87.90 ± 1.83 a | 3.84 ± 0.14 b | 1.67 ± 0.15 a | 9.33 ± 0.52 a |
| Treatment z | SPAD | NDVI | Fv/Fm y | |||
|---|---|---|---|---|---|---|
| Top Canopy | Mid Canopy | Top Canopy | Mid Canopy | Top Canopy | Mid Canopy | |
| QD-IL | 62.28 ± 0.56 a x | 67.52 ± 0.54 a | 0.632 ± 0.003 a | 0.637 ± 0.004 a | 0.791 ± 0.014 a | 0.784 ± 0.007 c |
| CW-IL | 61.60 ± 0.83 a | 65.82 ± 0.74 a | 0.636 ± 0.003 a | 0.633 ± 0.004 a | 0.784 ± 0.010 a | 0.790 ± 0.008 c |
| B+R-IL | 62.73 ± 0.64 a | 66.56 ± 0.67 a | 0.629 ± 0.003 a | 0.630 ± 0.004 ab | 0.774 ± 0.008 a | 0.826 ± 0.007 a |
| CW-TL | 63.93 ± 0.67 a | 67.41 ± 0.54 a | 0.627 ± 0.003 a | 0.626 ± 0.004 ab | 0.780 ± 0.006 a | 0.812 ± 0.005 ab |
| Cont | 62.57 ± 0.68 a | 67.01 ± 0.46 a | 0.634 ± 0.003 a | 0.620 ± 0.004 b | 0.774 ± 0.011 a | 0.799 ± 0.008 bc |
| Treatment z | Fruit Weight (g) | Fruit Length (mm) | Fruit Width (mm) | No. of Locules (ea) | Pericarp Thickness (mm) |
|---|---|---|---|---|---|
| QD-IL | 194.4 ± 5.4 a y | 90.27 ± 1.55 a | 82.52 ± 1.10 a | 3.61 ± 0.05 a | 6.18 ± 0.11 a |
| CW-IL | 195.4 ± 4.9 a | 94.72 ± 1.73 a | 82.35 ± 0.94 a | 3.49 ± 0.13 a | 6.11 ± 0.10 a |
| B+R-IL | 189.0 ± 5.3 a | 90.81 ± 1.51 a | 80.88 ± 1.07 a | 3.61 ± 0.06 a | 6.34 ± 0.14 a |
| CW-TL | 192.9 ± 6.0 a | 91.22 ± 1.90 a | 83.20 ± 1.07 a | 3.67 ± 0.08 a | 6.05 ± 0.11 a |
| Cont | 197.6 ± 4.8 a | 94.58 ± 1.55 a | 83.23 ± 1.12 a | 3.57 ± 0.07 a | 6.21 ± 0.14 a |
| Treatment z | Total Soluble Solids (Brix°) | Ascorbic Acid Contents y (mg·100 g−1) | Firmness (N) | a Value |
|---|---|---|---|---|
| QD-IL | 7.18 ± 0.05 a x | 117.9 ± 3.0 ab | 37.15 ± 0.67 a | 36.28 ± 1.24 a |
| CW-IL | 7.34 ± 0.04 a | 121.7 ± 2.3 a | 38.52 ± 1.40 a | 34.24 ± 0.95 a |
| B+R-IL | 6.87 ± 0.15 b | 114.0 ± 1.4 b | 35.98 ± 0.97 a | 33.37 ± 1.26 a |
| CW-TL | 7.23 ± 0.07 a | 117.7 ± 2.8 ab | 40.52 ± 1.57 a | 34.12 ± 1.02 a |
| Cont | 6.93 ± 0.10 b | 111.4 ± 2.2 b | 39.41 ± 1.50 a | 32.97 ± 0.79 a |
| Treatment z | Marketable Yield (kg/1000 m2) | Gross Income y (USD/1000 m2) | Incremental Cost (USD/1000 m2) | Net Income v (USD/1000 m2) | Net Income Rate u (%) | ||
|---|---|---|---|---|---|---|---|
| LED Installation x | Electricity Cost w | Total | |||||
| QD-IL | 8970 | 33,262 | 1769 | 657 | 2425 | 1370 | 4.65 |
| CW-IL | 9660 | 35,978 | 2015 | 753 | 2768 | 3743 | 12.70 |
| B+R-IL | 9120 | 33,857 | 2138 | 1330 | 3468 | 921 | 3.13 |
| CW-TL | 9480 | 34,915 | 3137 | 1137 | 4274 | 1173 | 3.98 |
| Cont | 7890 | 29,468 | - | - | - | - | 0.00 |
Disclaimer/Publisher’s Note: The statements, opinions and data contained in all publications are solely those of the individual author(s) and contributor(s) and not of MDPI and/or the editor(s). MDPI and/or the editor(s) disclaim responsibility for any injury to people or property resulting from any ideas, methods, instructions or products referred to in the content. |
© 2023 by the authors. Licensee MDPI, Basel, Switzerland. This article is an open access article distributed under the terms and conditions of the Creative Commons Attribution (CC BY) license (https://creativecommons.org/licenses/by/4.0/).
Share and Cite
Kwon, Y.B.; Lee, J.H.; Roh, Y.H.; Choi, I.-L.; Kim, Y.; Kim, J.; Kang, H.-M. Effect of Supplemental Inter-Lighting on Paprika Cultivated in an Unheated Greenhouse in Summer Using Various Light-Emitting Diodes. Plants 2023, 12, 1684. https://doi.org/10.3390/plants12081684
Kwon YB, Lee JH, Roh YH, Choi I-L, Kim Y, Kim J, Kang H-M. Effect of Supplemental Inter-Lighting on Paprika Cultivated in an Unheated Greenhouse in Summer Using Various Light-Emitting Diodes. Plants. 2023; 12(8):1684. https://doi.org/10.3390/plants12081684
Chicago/Turabian StyleKwon, Yong Beom, Joo Hwan Lee, Yoo Han Roh, In-Lee Choi, Yongduk Kim, Jidong Kim, and Ho-Min Kang. 2023. "Effect of Supplemental Inter-Lighting on Paprika Cultivated in an Unheated Greenhouse in Summer Using Various Light-Emitting Diodes" Plants 12, no. 8: 1684. https://doi.org/10.3390/plants12081684
APA StyleKwon, Y. B., Lee, J. H., Roh, Y. H., Choi, I.-L., Kim, Y., Kim, J., & Kang, H.-M. (2023). Effect of Supplemental Inter-Lighting on Paprika Cultivated in an Unheated Greenhouse in Summer Using Various Light-Emitting Diodes. Plants, 12(8), 1684. https://doi.org/10.3390/plants12081684

