Pyramiding of Multiple Genes to Improve Rice Blast Resistance of Photo-Thermo Sensitive Male Sterile Line, without Yield Penalty in Hybrid Rice Production
Abstract
1. Introduction
2. Materials and Methods
2.1. Plant Materials
2.2. Molecular Marker Selection and Genotyping
2.3. Genetic Background Examination of Pyramided Lines
2.4. Phenotyping of Blast Resistance in the Field
2.5. Agronomic Performance Evaluation of Rice Blast Resistance Improved Lines and Chuang5S
2.6. Yield and Agronomic Performance Evaluation of Hybrid Rice Combinations Developed from the Improved Lines and Chuang5S
3. Results
3.1. Development of Gene Pyramided Lines of C5S through MAS
3.2. Blast Resistance of the Pyramided Lines
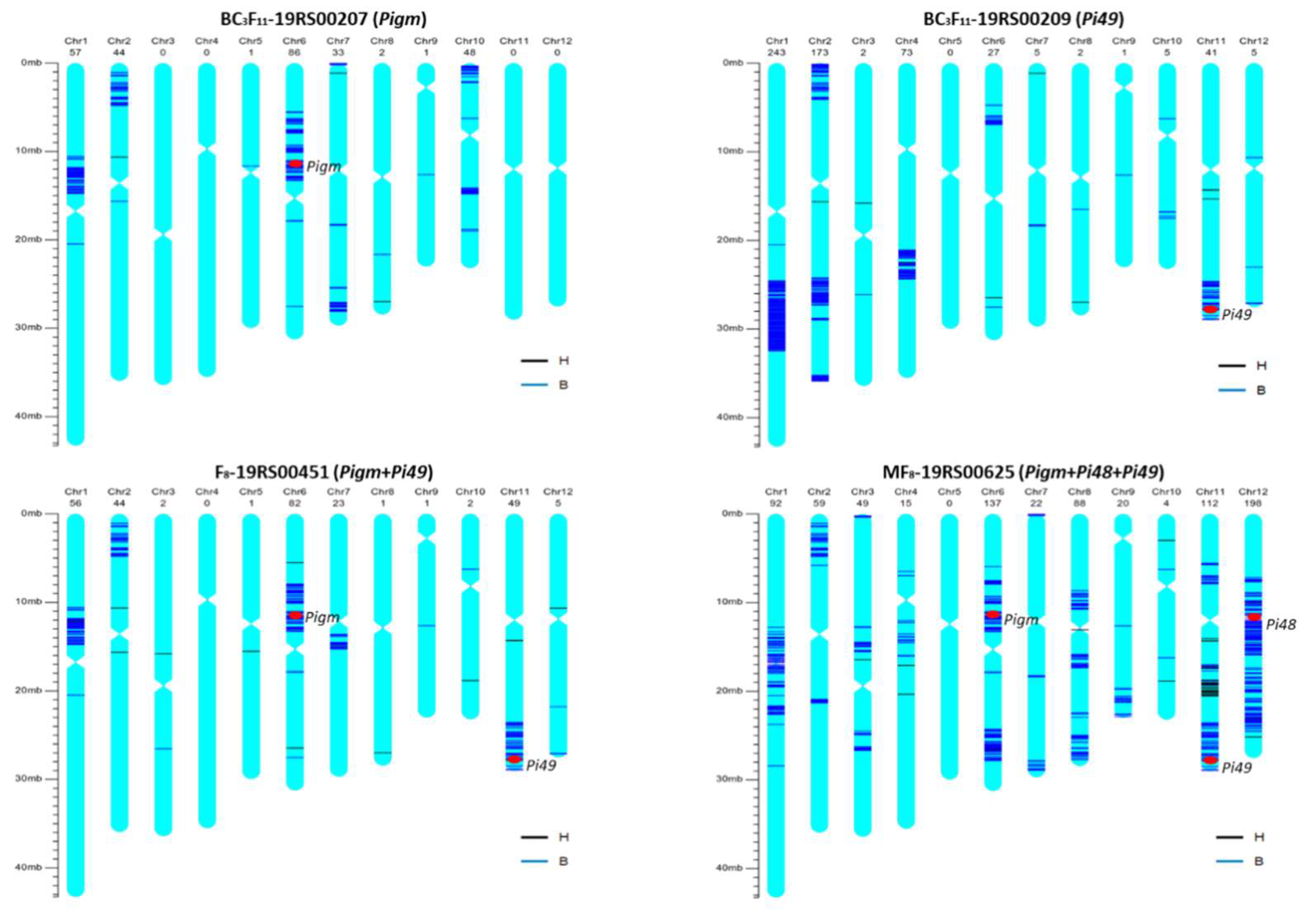
3.3. Genetic Background Examination of the Pyramided Lines
3.4. Agronomic Traits of the Pyramided Lines
3.5. Agronomic Traits of the Hybrid Rice Combinations
4. Discussion
Author Contributions
Funding
Institutional Review Board Statement
Informed Consent Statement
Data Availability Statement
Acknowledgments
Conflicts of Interest
References
- Saud, S.; Wang, D.; Fahad, S.; Alharby, H.F.; Bamagoos, A.A.; Mjrashi, A.; Alabdallah, N.M.; AlZahrani, S.S.; AbdElgawad, H.; Adnan, M.; et al. Comprehensive impacts of climate change on rice production and adaptive strategies in china. Front. Microbiol. 2022, 13, 926059. [Google Scholar] [CrossRef] [PubMed]
- Skamnioti, P.; Gurr, S.J. Against the grain: Safeguarding rice from rice blast disease. Trends Biotechnol. 2009, 27, 141–150. [Google Scholar] [CrossRef] [PubMed]
- Ning, X.; Yunyu, W.; Aihong, L. Strategy for use of rice blast resistance genes in rice molecular breeding. Rice Sci. 2020, 27, 263–277. [Google Scholar] [CrossRef]
- Devanna, B.N.; Jain, P.; Solanke, A.U.; Das, A.; Thakur, S.; Singh, P.K.; Kumari, M.; Dubey, H.; Jaswal, R.; Pawar, D.; et al. Understanding the dynamics of blast resistance in rice-magnaporthe oryzae interactions. J. Fungi. 2022, 8, 584. [Google Scholar] [CrossRef]
- Wang, X.; Lee, S.; Wang, J.; Ma, J.; Bianco, T.; Ji, Y. Current advances on genetic resistance to rice blast disease. In Rice-Germplasm, Genetics and Improvement; InTech: Rang-Du-Fliers, France, 2014; pp. 196–216. [Google Scholar]
- Ying, Z.; Tao, W.; Bin, Y.; Fang, L.; Meijuan, C.; Qiong, W.; Ping, H.; Shuyan, K.; Wenxiu, Q.; Li, L. Improving rice blast resistance by mining broad-spectrum resistance genes at pik locus. Rice Sci. 2022, 29, 133–142. [Google Scholar] [CrossRef]
- Deng, Y.; Zhu, X.; Shen, Y.; He, Z. Genetic characterization and fine mapping of the blast resistance locus pigm(t) tightly linked to pi2 and pi9 in a broad-spectrum resistant chinese variety. Appl. Genet. 2006, 113, 705–713. [Google Scholar] [CrossRef]
- Deng, Y.; Zhai, K.; Xie, Z.; Yang, D.; Zhu, X.; Liu, J.; Wang, X.; Qin, P.; Yang, Y.; Zhang, G.; et al. Epigenetic regulation of antagonistic receptors confers rice blast resistance with yield balance. Science 2017, 355, 962–965. [Google Scholar] [CrossRef]
- Sun, P.; Liu, J.; Wang, Y.; Jiang, N.; Wang, S.; Dai, Y.; Gao, J.; Li, Z.; Pan, S.; Wang, D.; et al. Molecular mapping of the blast resistance gene pi49 in the durably resistant rice cultivar mowanggu. Euphytica 2012, 192, 45–54. [Google Scholar] [CrossRef]
- Huang, H.; Huang, L.; Feng, G.; Wang, S.; Wang, Y.; Liu, J.; Jiang, N.; Yan, W.; Xu, L.; Sun, P.; et al. Molecular mapping of the new blast resistance genes pi47 and pi48 in the durably resistant local rice cultivar xiangzi 3150. Phytopathology 2011, 101, 620–626. [Google Scholar] [CrossRef] [PubMed]
- Wang, Y.; Hao, M.; Lei, D.; Tang, W.; Cheng, L. Character of early growth and quick development of genic male sterility lines. Crop. Res. 2014, 28, 341–344. [Google Scholar]
- Zhang, J.; Hao, M.; Zeng, G.; Cao, Z.; Jiang, H.; Huang, X.; Xiao, Y. Polymerization of pi9 and pi49 loci by marker assisted selection to improve blast resistance of dual-purpose genic sterile rice chuang 5s. Mol. Plant Breed. 2018, 16, 7372–7379. [Google Scholar]
- Chen, Q.; Tang, W.; Zeng, G.; Sheng, H.; Shi, W.; Xiao, Y. Reduction of cadmium accumulation in the grains of male sterile rice chuang-5s carrying pi48 or pi49 through marker-assisted selection. 3 Biotech 2020, 10, 539. [Google Scholar] [CrossRef] [PubMed]
- Cao, Z.; Zheng, G.; Hao, M.; Sheng, H.; Ye, N.; Xiao, Y. Improving blast resistance of dual-purpose genic sterile line c815s by using molecular marker-assisted selection. Mol. Plant Breed. 2015, 13, 1193–1200. [Google Scholar]
- Cao, Z.; Zeng, G.; Sheng, H.; Xiao, Y. A simple approach for rapid preparation of rice genomic DNA for pcr analysis. J. Hunan. Agric. Univ. 2013, 39, 13–16. [Google Scholar]
- Jiang, J.; Mou, T.; Yu, H.; Zhou, F. Molecular breeding of thermo-sensitive genic male sterile (tgms) lines of rice for blast resistance using pi2 gene. Rice 2015, 8, 11. [Google Scholar] [CrossRef] [PubMed]
- Wang, S.; Liu, W.; Lu, D.; Lu, Z.; Wang, X.; Xue, J.; He, X. Distribution of bacterial blight resistance genes in the main cultivars and application of xa23 in rice breeding. Front. Plant Sci. 2020, 11, 555228. [Google Scholar] [CrossRef] [PubMed]
- Mi, J.; Yang, D.; Chen, Y.; Jiang, J.; Mou, H.; Huang, J.; Ouyang, Y.; Mou, T. Accelerated molecular breeding of a novel p/tgms line with broad-spectrum resistance to rice blast and bacterial blight in two-line hybrid rice. Rice 2018, 11, 11. [Google Scholar] [CrossRef]
- Chen, Q.; Zeng, G.; Hao, M.; Jiang, H.; Xiao, Y. Improvement of rice blast and brown planthopper resistance of ptgms line c815s in two-line hybrid rice through marker-assisted selection. Mol. Breed. 2020, 40, 21. [Google Scholar] [CrossRef]
- Yin, J.; Zou, L.; Zhu, X.; Cao, Y.; He, M.; Chen, X. Fighting the enemy: How rice survives the blast pathogen’s attack. Crop. J. 2021, 9, 543–552. [Google Scholar] [CrossRef]
- Xiao, W.; Luo, L.; Wang, H.; Guo, T.; Liu, Y.; Zhou, J.; Zhu, X.; Yang, Q.; Chen, Z. Pyramiding of pi46 and pita to improve blast resistance and to evaluate the resistance effect of the two r genes. J. Integr. Agric. 2016, 15, 2290–2298. [Google Scholar] [CrossRef]
- Xiao, N.; Wu, Y.; Pan, C.; Yu, L.; Chen, Y.; Liu, G.; Li, Y.; Zhang, X.; Wang, Z.; Dai, Z.; et al. Improving of rice blast resistances in japonica by pyramiding major r genes. Front. Plant Sci. 2016, 7, 1918. [Google Scholar] [CrossRef]
- Jiang, H.; Li, Z.; Liu, J.; Shen, Z.; Gao, G.; Zhang, Q.; He, Y. Development and evaluation of improved lines with broad-spectrum resistance to rice blast using nine resistance genes. Rice 2019, 12, 29. [Google Scholar] [CrossRef] [PubMed]
- Ramalingam, J.; Raveendra, C.; Savitha, P.; Vidya, V.; Chaithra, T.L.; Velprabakaran, S.; Saraswathi, R.; Ramanathan, A.; Pillai, M.P.A.; Arumugachamy, S.; et al. Gene pyramiding for achieving enhanced resistance to bacterial blight, blast, and sheath blight diseases in rice. Front. Plant Sci. 2020, 11, 591457. [Google Scholar] [CrossRef] [PubMed]
- Xiao, W.; Yang, Q.; Huang, M.; Guo, T.; Liu, Y.; Wang, J.; Yang, G.; Zhou, J.; Yang, J.; Zhu, X.; et al. Improvement of rice blast resistance by developing monogenic lines, two-gene pyramids and three-gene pyramid through mas. Rice 2019, 12, 78. [Google Scholar] [CrossRef]
- Semagn, K.; Babu, R.S.; Hearne, S.J.; Olsen, M. Single nucleotide polymorphism genotyping using kompetitive allele specific pcr (kasp): Overview of the technology and its application in crop improvement. Mol. Breed. 2013, 33, 1–14. [Google Scholar] [CrossRef]
- Majeed, U.; Darwish, E.; Rehman, S.U.; Zhang, X. Kompetitive allele specific pcr (kasp): A singleplex genotyping platform and its application. J. Agric. Sci. 2018, 11, 1. [Google Scholar] [CrossRef]
- Abe, A.; Takagi, H.; Yaegashi, H.; Natsume, S.; Utsushi, H.; Tamiru, M.; Terauchi, R. Next-generation breeding of rice by whole-genome approaches. In Rice Genomics, Genetics and Breeding; Sasaki, T., Ashikari, M., Eds.; Springer: Singapore, 2018; pp. 511–522. [Google Scholar]
- Xu, Y.; Yang, Q.; Zheng, H.; Sang, Z.; Zhang, J. Genotyping by Target Sequencing (gbts) and Its Applications. Sci. Agric. Sin. 2020, 53, 2983–3004. [Google Scholar]
- Rasheed, A.; Hao, Y.; Xia, X.; Khan, A.; Xu, Y.; Varshney, R.K.; He, Z. Crop breeding chips and genotyping platforms: Progress, challenges, and perspectives. Mol. Plant 2017, 10, 1047–1064. [Google Scholar] [CrossRef]
- Yang, D.; Tang, J.; Yang, D.; Chen, Y.; Ali, J.; Mou, T. Improving rice blast resistance of feng39s through molecular marker-assisted backcrossing. Rice 2019, 12, 70. [Google Scholar] [CrossRef]
- He, Z.; Xin, Y.; Wang, C.; Yang, H.; Xu, Z.; Cheng, J.; Li, Z.; Ye, C.; Yin, H.; Xie, Z.; et al. Genomics-assisted improvement of super high-yield hybrid rice variety "super 1000" for resistance to bacterial blight and blast diseases. Front. Plant Sci. 2022, 13, 881244. [Google Scholar] [CrossRef]
- Guo, Z.; Yang, Q.; Huang, F.; Zheng, H.; Sang, Z.; Xu, Y.; Zhang, C.; Wu, K.; Tao, J.; Prasanna, B.M.; et al. Development of high-resolution multiple-snp arrays for genetic analyses and molecular breeding through genotyping by target sequencing and liquid chip. Plant Commun 2021, 2, 100230. [Google Scholar] [CrossRef] [PubMed]




| Gene | Chr | Marker | Marker Position | Forward Primer | Reverse Primer |
|---|---|---|---|---|---|
| Pigm | 6 | RM7311 | 11046701-11046847 | agtggtcgttgaactcggag | tcgtggcgcctttaatctc |
| RM7178 | 10199892-10200042 | taaccttcacagcgaacgtg | ccgtgagatgggctacctac | ||
| Pi48 | 12 | LY2 | 11935927-11936129 | attacgctcgatagtggc | ctagcgggaggttggaag |
| Pi49 | 11 | RM224 | 27673251-27673353 | atcgatcgatcttcacgagg | tgctataaaaggcattcggg |
| Materials | Blast Resistance Gene | Leaf Blast Resistance at Seedling Stage | Panicle Blast Resistance at Grain Filling Stage |
|---|---|---|---|
| CO39 | - | 9.0 ± 0 ** | 9 |
| C5S | - | 6.2 ± 0.5 | 7 |
| GM4 | Pigm | 1.6 ± 0.2 ** | 3 |
| XZ3150 | Pi48 | 3.2 ± 0.4 ** | 3 |
| MWG | Pi49 | 4.0 ± 0.3 ** | 5 |
| C5S-Pigm | Pigm | 1.8 ± 0.4 ** | 3 |
| C5S-Pi48 | Pi48 | 3.6 ± 0.5 ** | 5 |
| C5S-Pi49 | Pi49 | 4.8 ± 0.4 ** | 5 |
| C5S-Pigm + Pi48 | Pigm + Pi48 | 1.6 ± 0.2 ** | 3 |
| C5S-Pigm + Pi49 | Pigm + Pi49 | 1.8 ± 0.4 ** | 5 |
| C5S-Pigm + Pi48 + Pi49 | Pigm + Pi48 + Pi49 | 1.6 ± 0.2 ** | 3 |
| Lines | Genes | Plant Height (cm) | Panicle Length (cm) | Flag-Leaf Length (cm) | Number Primary Branches | Number of Grains per Spike | Length of the Upmost Internode (cm) | Length of Panicle Exertion (cm) |
|---|---|---|---|---|---|---|---|---|
| C5S | 62.7 ± 0.7 | 22.1 ± 0.3 | 34.1 ± 1.4 | 11.0 ± 0.2 | 176.7 ± 7.7 | 20.7 ± 0.4 | 8.4 | |
| C5S-3R-1 | Pigm + Pi48 + Pi49 | 54.5 ± 0.8 ** | 19.9 ± 0.2 ** | 27.6 ± 1.0 ** | 9.1 ± 0.3 ** | 104.8 ± 3.9 ** | 16.2 ± 0.5 ** | 10.3 |
| C5S-3R-2 | Pigm + Pi48 + Pi49 | 53.9 ± 0.6 ** | 18.7 ± 0.3 ** | 25.0 ± 0.6 ** | 9.8 ± 0.2 ** | 115.5 ± 4.6 ** | 16.7 ± 0.4 ** | 11.7 |
| C5S-3R-3 | Pigm + Pi48 + Pi49 | 50.0 ± 0.5 ** | 17.5 ± 0.2 ** | 18.9 ± 1.0 ** | 6.9 ± 0.2 ** | 77.7 ± 2.8 ** | 16.8 ± 0.5 ** | 7.5 |
| C5S-3R-4 | Pigm + Pi48 + Pi49 | 62.1 ± 0.8 | 19.7 ± 0.3 ** | 27.1 ± 1.0 ** | 10.0 ± 0.4 ** | 140.1 ± 6.9 ** | 21.9 ± 0.4 ** | 6.7 |
| C5S-3R-5 | Pigm + Pi48 + Pi49 | 59.8 ± 0.9 ** | 18.9 ± 0.3 ** | 27.2 ± 0.9 ** | 9.3 ± 0.4 ** | 112.1 ± 6.1 ** | 20.6 ± 0.5 | 6.8 |
| Materials | Restorer Lines | PTGMS Lines | Gene | Plant Height (cm) | Panicle Length (cm) | Panicles per Plant | Grain Number per Panicle | Spikelet Fertility (%) | 1000-Grain Weight (g) | Yield per Plant (g) |
|---|---|---|---|---|---|---|---|---|---|---|
| 22RC11 | R1128 | C5S | - | 100.7 ± 1.0 | 20.8 ± 2.4 | 10.0 ± 1.0 | 178.7 ± 27.4 | 78.8 ± 2.9 | 25.1 ± 0.8 | 35.5 ± 8.4 |
| 22RC12 | 21YCS01 | Pi49 | 115.2 ± 1.9 ** | 22.6 ± 0.4 | 9.0 ± 1.0 | 184.5 ± 10.4 | 81.6 ± 1.6 | 24.4 ± 0.2 | 33.1 ± 5.1 | |
| 22RC13 | 21YCS22 | Pi48 | 101.7 ± 2.4 | 23.3 ± 1.7 | 10.0 ± 3.0 | 216.8 ± 15.6 | 87.7 ± 4.6 | 23.9 ± 2.0 | 44.9 ± 12.1 | |
| 22RC14 | 21YCS23 | Pigm | 106.1 ± 4.6 | 22.1 ± 1.3 | 9.7 ± 0.6 | 209.6 ± 11.8 | 82.6 ± 3.1 | 26.1 ± 2.7 | 43.7 ± 5.1 | |
| 22RC15 | 21YCS24 | Pigm + Pi49 | 101.9 ± 1.6 | 22.3 ± 1.9 | 9.3 ± 0.6 | 211.7 ± 26.3 | 79.2 ± 1.0 | 25.1 ± 1.8 | 39.2 ± 4.9 | |
| 22RC16 | 21YCS61 | Pigm + Pi48 | 111.1 ± 2.9 ** | 21.9 ± 1.0 | 8.7 ± 0.6 | 212.4 ± 33.0 | 83.1 ± 7.0 | 29.3 ± 1.6 ** | 45.1 ± 10.5 | |
| 22RC17 | 21YCS25 | Pigm + Pi48 + Pi49 | 102.3 ± 1.3 | 21.1 ± 0.8 | 7.3 ± 0.6 | 202.4 ± 33.7 | 88 ± 1.6 | 26.4 ± 0.5 | 34.5 ± 6.6 | |
| 22RC21 | HRZ | C5S | - | 109.7 ± 2.7 | 23.1 ± 0.7 | 11.0 ± 0.0 | 229.0 ± 28.7 | 86.7 ± 1.7 | 24.0 ± 0.2 | 52.5 ± 7.9 |
| 22RC22 | 21YCS01 | Pi49 | 106.0 ± 1.1 | 20.4 ± 0.8 * | 15.3 ± 1.2 ** | 168.2 ± 18.9 * | 89.4 ± 0.7 | 23.3 ± 0.5 | 53.4 ± 2.3 | |
| 22RC23 | 21YCS22 | Pi48 | 101.1 ± 5.3 * | 21.7 ± 0.9 | 11.0 ± 1.0 | 206.7 ± 9.5 | 80.1 ± 6.2 | 22.9 ± 1.0 | 42.3 ± 10.4 | |
| 22RC24 | 21YCS23 | Pigm | 106.7 ± 0.5 | 22.5 ± 0.9 | 10.7 ± 0.6 | 213.0 ± 20.0 | 85.6 ± 2.5 | 23.7 ± 0.9 | 46.3 ± 6.8 | |
| 22RC25 | 21YCS24 | Pigm + Pi49 | 113.1 ± 2.1 | 24.7 ± 0.2 | 9.0 ± 1.0 | 241.9 ± 14.7 | 92.0 ± 2.2 | 22.7 ± 0.5 | 45.4 ± 3.8 | |
| 22RC26 | 21YCS61 | Pigm + Pi48 | 108.7 ± 0.6 | 24.4 ± 0.3 | 11.3 ± 0.6 | 243.2 ± 10.8 | 88.3 ± 1.0 | 22.6 ± 0.2 | 55.1 ± 4.4 | |
| 22RC27 | 21YCS25 | Pigm + Pi48 + Pi49 | 112.4 ± 2.9 | 23.6 ± 0.8 | 9.0 ± 1.7 | 233.9 ± 25.6 | 87.9 ± 2.9 | 23.8 ± 0.1 | 44.2 ± 11.7 | |
| 22RC31 | MFZ1 | C5S | - | 101.8 ± 1.5 | 23.2 ± 0.5 | 13.0 ± 2.0 | 181.9 ± 11.8 | 82.8 ± 0.7 | 22.9 ± 0.8 | 44.5 ± 4.0 |
| 22RC32 | 21YCS01 | Pi49 | 112.1 ± 4.8 * | 24.7 ± 0.6 | 12.7 ± 1.2 | 209.7 ± 2.9 | 80.2 ± 1.5 * | 23.1 ± 0.9 | 49.0 ± 2.5 | |
| 22RC33 | 21YCS22 | Pi48 | 103.5 ± 0.8 | 22.0 ± 0.9 | 14.0 ± 1.0 | 166.4 ± 16.4 | 86.8 ± 5.6 | 23.4 ± 0.3 | 47.2 ± 5.1 | |
| 22RC34 | 21YCS23 | Pigm | 104.4 ± 6.2 | 22.9 ± 0.5 | 11.7 ± 0.6 | 208.9 ± 23.1 | 80.6 ± 5.5 | 21.5 ± 1.1 | 42.2 ± 6.3 | |
| 22RC35 | 21YCS24 | Pigm + Pi49 | 100.8 ± 2.3 | 23.5 ± 0.3 | 11.7 ± 0.6 | 207.8 ± 6.1 * | 88.2 ± 1.9 | 20.8 ± 0.2 ** | 44.6 ± 3.1 | |
| 22RC36 | 21YCS61 | Pigm + Pi48 | 97.7 ± 3.9 | 22.4 ± 0.3 | 16.0 ± 1.7 | 191.3 ± 12.4 | 78.8 ± 1.2 | 22.8 ± 1.4 | 54.8 ± 3.3 | |
| 22RC37 | 21YCS25 | Pigm + Pi48 + Pi49 | 101.4 ± 2.9 | 23.0 ± 0.9 | 12.7 ± 0.6 | 199.0 ± 13.4 | 85.3 ± 4.0 | 22.9 ± 0.3 | 49.3 ± 5.3 | |
| 22RC41 | SFSM | C5S | - | 111.9 ± 5.0 | 20.9 ± 0.7 | 15.0 ± 1.0 | 151.3 ± 19.9 | 87.9 ± 2.9 | 24.4 ± 0.9 | 55.6 ± 6.2 |
| 22RC42 | 21YCS01 | Pi49 | 103.2 ± 2.6 | 21.5 ± 1.0 | 14.0 ± 1.0 | 165.0 ± 3.8 | 81.8 ± 1.2 | 22.8 ± 0.4 * | 43.1 ± 4.3 | |
| 22RC43 | 21YCS22 | Pi48 | 110.3 ± 3.6 | 23.9 ± 0.4 ** | 12.3 ± 1.5 | 227.0 ± 6.1 ** | 79.8 ± 7.7 | 21.3 ± 0.4 ** | 47.4 ± 4.7 | |
| 22RC44 | 21YCS23 | Pigm | 119.3 ± 0.8 | 23.2 ± 0.4 * | 13.0 ± 1.0 | 220.4 ± 13.7 ** | 87.0 ± 0.8 | 22.5 ± 0.4 * | 56.0 ± 2.6 | |
| 22RC45 | 21YCS24 | Pigm + Pi49 | 121.0 ± 1.0 | 24.0 ± 0.2 ** | 12.3 ± 0.6 | 208.0 ± 2.6 ** | 81.0 ± 0.2 | 22.7 ± 0.2 * | 47.1 ± 2.5 | |
| 22RC46 | 21YCS61 | Pigm + Pi48 | 99.9 ± 7.5 * | 23.4 ± 1.3 * | 13.0 ± 1.7 | 214.5 ± 9.2 ** | 86.5 ± 3.3 | 21.7 ± 1.0 * | 52.2 ± 4.6 | |
| 22RC47 | 21YCS25 | Pigm + Pi48 + Pi49 | 117.5 ± 1.6 | 24.2 ± 0.1 ** | 11.3 ± 1.2 * | 238.5 ± 17.1 ** | 88.6 ± 3.7 | 22.1 ± 0.2 ** | 52.7 ± 5.3 | |
| 22RC51 | YNSM | C5S | - | 104.2 ± 6.2 | 22.8 ± 0.7 | 15.7 ± 1.5 | 177.9 ± 22.4 | 79.8 ± 0.9 | 23.8 ± 0.2 | 52.6 ± 1.7 |
| 22RC52 | 21YCS01 | Pi49 | 105.3 ± 3.3 | 24.3 ± 1.2 | 12.0 ± 1.0 * | 263.3 ± 30.2 ** | 76.8 ± 4.6 | 23.4 ± 1.5 | 56.6 ± 5.8 | |
| 22RC53 | 21YCS22 | Pi48 | 106.0 ± 0.4 | 23.7 ± 0.8 | 11.7 ± 0.6 ** | 241.7 ± 25.6 | 78.2 ± 5.0 | 23.4 ± 0.2 | 51.7 ± 8.9 | |
| 22RC54 | 21YCS23 | Pigm | 106.6 ± 1.4 | 24.6 ± 0.9 | 11.3 ± 0.6 ** | 230.7 ± 9.2 | 79.3 ± 5.0 | 24.5 ± 0.9 | 50.7 ± 1.7 | |
| 22RC55 | 21YCS24 | Pigm + Pi49 | 104.0 ± 1.6 | 23.6 ± 0.8 | 13.0 ± 1.0 * | 226.3 ± 20.8 | 84.8 ± 1.8 | 22.3 ± 1.0 | 55.8 ± 9.6 | |
| 22RC56 | 21YCS61 | Pigm + Pi48 | 104.6 ± 3.5 | 23.0 ± 1.4 | 11.0 ± 0.0 ** | 241.9 ± 25.8 | 82.3 ± 7.3 | 22.7 ± 0.1 | 49.9 ± 9.0 | |
| 22RC57 | 21YCS25 | Pigm + Pi48 + Pi49 | 102.4 ± 2.2 | 22.7 ± 0.2 | 13.7 ± 0.6 | 212.8 ± 21.9 | 85.9 ± 3.4 | 22.8 ± 0.4 | 56.8 ± 5.9 |
Disclaimer/Publisher’s Note: The statements, opinions and data contained in all publications are solely those of the individual author(s) and contributor(s) and not of MDPI and/or the editor(s). MDPI and/or the editor(s) disclaim responsibility for any injury to people or property resulting from any ideas, methods, instructions or products referred to in the content. |
© 2023 by the authors. Licensee MDPI, Basel, Switzerland. This article is an open access article distributed under the terms and conditions of the Creative Commons Attribution (CC BY) license (https://creativecommons.org/licenses/by/4.0/).
Share and Cite
Peng, P.; Jiang, H.; Luo, L.; Ye, C.; Xiao, Y. Pyramiding of Multiple Genes to Improve Rice Blast Resistance of Photo-Thermo Sensitive Male Sterile Line, without Yield Penalty in Hybrid Rice Production. Plants 2023, 12, 1389. https://doi.org/10.3390/plants12061389
Peng P, Jiang H, Luo L, Ye C, Xiao Y. Pyramiding of Multiple Genes to Improve Rice Blast Resistance of Photo-Thermo Sensitive Male Sterile Line, without Yield Penalty in Hybrid Rice Production. Plants. 2023; 12(6):1389. https://doi.org/10.3390/plants12061389
Chicago/Turabian StylePeng, Pei, Haoyu Jiang, Lihua Luo, Changrong Ye, and Yinghui Xiao. 2023. "Pyramiding of Multiple Genes to Improve Rice Blast Resistance of Photo-Thermo Sensitive Male Sterile Line, without Yield Penalty in Hybrid Rice Production" Plants 12, no. 6: 1389. https://doi.org/10.3390/plants12061389
APA StylePeng, P., Jiang, H., Luo, L., Ye, C., & Xiao, Y. (2023). Pyramiding of Multiple Genes to Improve Rice Blast Resistance of Photo-Thermo Sensitive Male Sterile Line, without Yield Penalty in Hybrid Rice Production. Plants, 12(6), 1389. https://doi.org/10.3390/plants12061389

