Reduction in Nitrogen Rate and Improvement of Nitrogen Use Efficiency without Loss of Peanut Yield by Regional Mean Optimal Rate of Chemical Fertilizer Based on a Multi-Site Field Experiment in the North China Plain
Abstract
1. Introduction
2. Materials and Methods
2.1. Experimental Site
2.2. Field Experiment Design
2.3. Sampling and Measurement
2.4. Data Processing and Analysis
3. Results
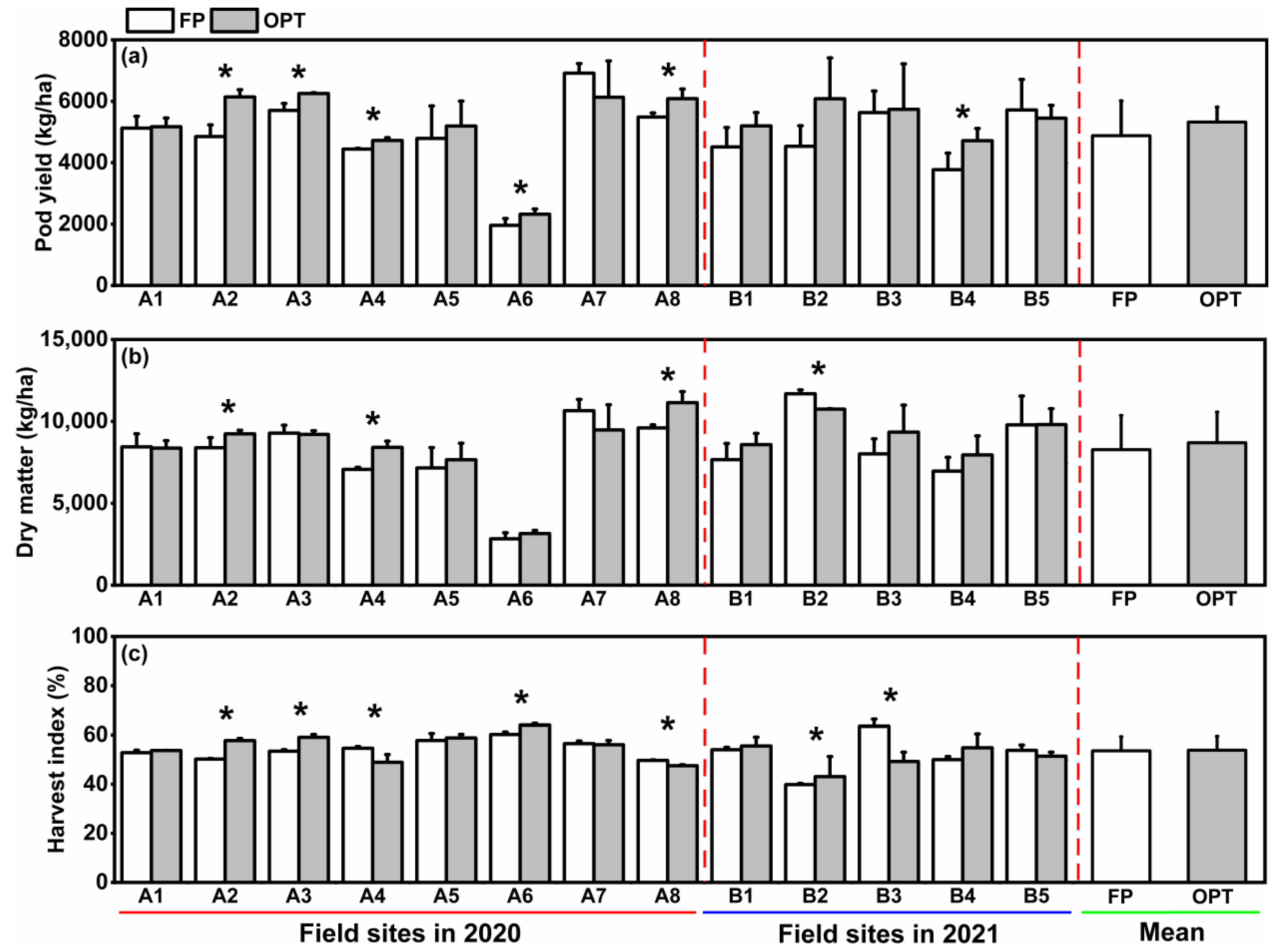
3.1. Dry Matter (DM), Pod Yield (PY), and Harvest Index (HI)
3.2. N, P, and K Uptake
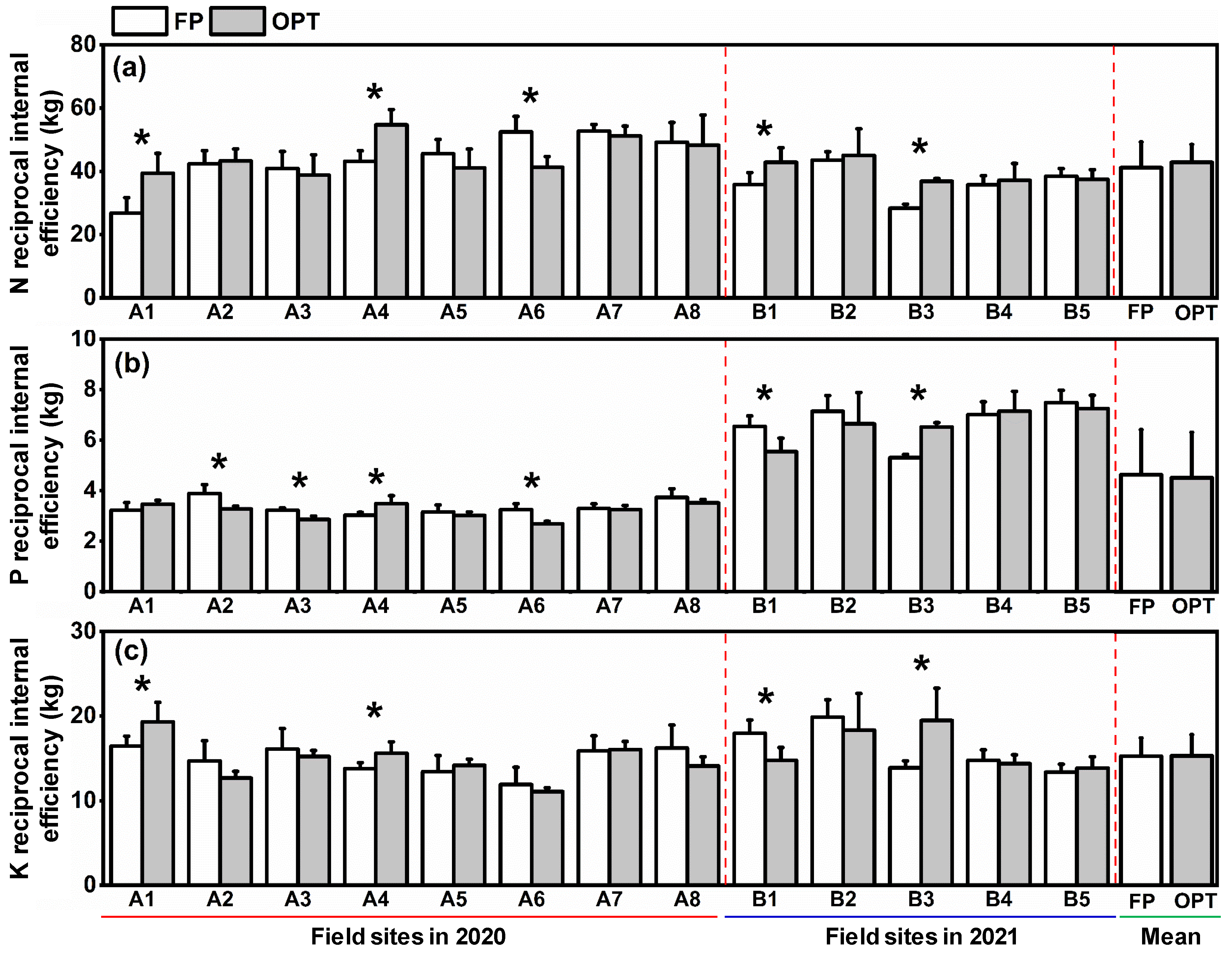
3.3. Reciprocal Internal Efficiency (RIE)
3.4. Partial Factor Productivity of NPK Fertilizer
3.5. Nutrient Uptake Efficiency
3.6. Nutrient Utilization Efficiency
3.7. Fatty Acid Composition of Peanut Kernels
4. Discussion
4.1. Feasibility of Fertilizer Recommendation Based on RMOR
4.2. Limitation and Uncertainty
4.3. Nutrient Requirements of Peanut
5. Conclusions
Supplementary Materials
Author Contributions
Funding
Institutional Review Board Statement
Informed Consent Statement
Data Availability Statement
Acknowledgments
Conflicts of Interest
References
- Stalker, H.T. Peanut (Arachis hypogaea L.). Field Crops Res. 1997, 53, 205–217. [Google Scholar] [CrossRef]
- Food and Agriculture Organization of the United Nations. 2021. Available online: http://www.fao.org (accessed on 15 October 2022).
- Crusciol, C.A.C.; Portugal, J.R.; Bossolani, J.W.; Moretti, L.G.; Fernandes, A.M.; Garcia, J.L.N.; Garcia, G.L.d.B.; Cantarella, H. Dynamics of macronutrient uptake and removal by modern peanut cultivars. Plants 2021, 10, 2167. [Google Scholar] [CrossRef]
- Wang, C.B.; Zheng, Y.M.; Shen, P.; Zheng, Y.P.; Wu, Z.F.; Sun, X.W.; Yu, T.; Feng, H. Determining N supplied sources and N use efficiency for peanut under applications of four forms of N fertilizers labeled by isotope 15N. J. Integr. Agr. 2016, 15, 432–439. [Google Scholar] [CrossRef]
- Cui, Z.; Vitousek, P.M.; Zhang, F.; Chen, X. Strengthening agronomy research for food security and environmental quality. Environ. Sci. Technol. 2016, 50, 1639–1641. [Google Scholar] [CrossRef] [PubMed]
- Michalczyk, A.; Kersebaum, K.C.; Dauck, H.P.; Roelcke, M.; Yue, S.C.; Chen, X.P.; Zhang, F.S. Quantifying nitrogen loss and water use via regionalization and multiple-year scenario simulations in the North China Plain. J. Plant Nutr. Soil Sci. 2020, 183, 718–733. [Google Scholar] [CrossRef]
- Russell, C.A.; Dunn, B.W.; Batten, G.D.; Williams, R.L.; Angus, J.F. Soil tests to predict optimum fertilizer nitrogen rate for rice. Field Crops Res. 2006, 97, 286–301. [Google Scholar] [CrossRef]
- Olfs, H.W.; Blankenau, K.; Brentrup, F.; Jasper, J.; Link, A.; Lammel, J. Soil and plant-based nitrogen-fertilizer recommendations in arable farming. J. Plant Nutr. Soil Sci. 2005, 168, 414–431. [Google Scholar] [CrossRef]
- Zhu, Z.; Zhang, S.; Yin, B.; Yan, X. Historical comparison on the response curses of rice yield-nitrogen application rate in Tai Lake Region. Plant Nutr. Fertil. Sci. 2010, 16, 1–5, (In Chinese with English Abstract). [Google Scholar]
- Qi, X.; Zhao, Y.; Huang, Y.; Wang, Y.; Qin, W.; Fu, W.; Guo, Y.; Ye, Y. A novel approach for nitrogen diagnosis of wheat canopies digital images by mobile phones based on histogram. Sci. Rep. 2021, 11, 13012. [Google Scholar] [CrossRef]
- Xie, M.; Wang, Z.; Huete, A.; Brown, L.A.; Wang, H.; Xie, Q.; Xu, X.; Ding, Y. Estimating peanut leaf chlorophyll content with dorsiventral leaf adjusted indices: Minimizing the impact of spectral differences between adaxial and abaxial leaf surfaces. Remote Sens. 2019, 11, 2148. [Google Scholar] [CrossRef]
- Elsharkawy, M.M.; Sheta, A.E.A.S.; D’Antonio, P.; Abdelwahed, M.S.; Scopa, A. Tool for the establishment of agro-management zones using GIS techniques for precision farming in Egypt. Sustainability 2022, 14, 5437. [Google Scholar] [CrossRef]
- Dai, J.; Wang, Z.; Li, F.; He, G.; Wang, S.; Li, Q.; Cao, H.; Luo, L.; Zan, Y.; Meng, X.; et al. Optimizing nitrogen input by balancing winter wheat yield and residual nitrate-N in soil in a long-term dryland field experiment in the Loess Plateau of China. Field Crops Res. 2015, 181, 32–41. [Google Scholar] [CrossRef]
- Zhao, Y.; Xu, X.; Sun, X.; Yan, J.; Huang, Y.; Ye, Y. GIS-based NPK recommendation and fertilizer formulae for wheat production in different regions of Henan Province. J. Plant Nutr. Fertil. 2021, 27, 938–948, (In Chinese with English Abstract). [Google Scholar]
- Cui, Z.; Zhang, H.; Chen, X.; Zhang, C.; Ma, W.; Huang, C.; Zhang, W.; Mi, G.; Miao, Y.; Li, X.; et al. Pursuing sustainable productivity with millions of smallholder farmers. Nature 2018, 555, 363–366. [Google Scholar] [CrossRef]
- Chen, J.; Huang, Y.; Tang, Y.H. Quantifying economically and ecologically optimum nitrogen rates for rice production in south-eastern China. Agric. Ecosyst. Environ. 2011, 142, 195–204. [Google Scholar] [CrossRef]
- Zhao, Y.; Huang, Y.; Li, S.; Chu, X.; Ye, Y. Improving the growth, lodging and yield of different density-resistance maize by optimising planting density and nitrogen fertilisation. Plant Soil Environ. 2020, 66, 453–460. [Google Scholar] [CrossRef]
- Zhu, Z. On the methodology of recommendation for the application rate of chemical fertilizer nitrogen to crops. Plant Nutr. Fertil. Sci. 2006, 12, 1–4, (In Chinese with English Abstract). [Google Scholar]
- Wang, W.; Lu, J.; Ren, T.; Li, X.; Su, W.; Lu, M. Evaluating regional mean optimal nitrogen rates in combination with indigenous nitrogen supply for rice production. Field Crops Res. 2012, 137, 37–48. [Google Scholar] [CrossRef]
- Ren, T.; Zou, J.; Lu, J.; Chen, F.; Wu, J.; Li, X. On-farm trials of optimal fertilizer recommendations for the maintenance of high seed yields in winter oilseed rape (Brassica napus L.) production. Soil Sci. Plant Nutr. 2015, 61, 528–540. [Google Scholar] [CrossRef]
- Zhengyang County People’s Government. 2022. Available online: https://www.zhengyang.gov.cn (accessed on 15 October 2022). (In Chinese)
- Wu, Q.; Wang, Y.; Zhao, Y.; Li, R.; Si, Y.; Huang, Y.; Ye, Y.; Zhang, F. Effects of nitrogen, phosphorus and potassium ratios on yield, nutrient uptake and economic benefits of high-yielding summer-sown peanut in tidal soils. Soil Fertil. Sci. China 2019, 2, 98–104, (In Chinese with English Abstract). [Google Scholar]
- Lu, R.K. Analytical Methods of Soil Agricultural Chemistry; China Agricultural Science and Technology Press: Beijing, China, 2000. (In Chinese) [Google Scholar]
- Zhao, Y.; Li, R.; Huang, Y.; Sun, X.; Qin, W.; Wei, F.; Ye, Y. Effects of various phosphorus fertilizers on maize yield and phosphorus uptake in soils with different pH values. Arch. Agron. Soil Sci. 2022, 68, 1746–1754. [Google Scholar] [CrossRef]
- Xie, M.; Wang, Z.; Xu, X.; Zheng, X.; Liu, H.; Shi, P. Quantitative estimation of the nutrient uptake requirements of peanut. Agronomy 2020, 10, 119. [Google Scholar] [CrossRef]
- Tetteh Anang, B.; Alhassan, H.; Danso-Abbeam, G. Estimating technology adoption and technical efficiency in smallholder maize production: A double bootstrap DEA approach. Cogent Food Agric. 2020, 6, 1833421. [Google Scholar] [CrossRef]
- Cook, R.J.; Sitton, J.W.; Haglund, W.A. Increased growth and yield responses of wheat to reductions in the Pythium population by soil treatments. Phytopathology 1987, 77, 1192–1198. [Google Scholar] [CrossRef]
- Zhao, Y.; Xu, X.; Huang, Y.; Sun, X.; Ye, Y. Nitrogen requirement and saving potential for wheat and maize in Henan Province. Sci. Agi. Sin. 2018, 51, 2747–2757, (In Chinese with English Abstract). [Google Scholar]
- Haefele, S.M.; Naklang, K.; Harnpichitvitaya, D.; Jearakongman, S.; Skulkhu, E.; Romyen, P.; Phasopa, S.; Tabtim, S.; Suriya-arunroj, D.; Khunthasuvon, S.; et al. Factors affecting rice yield and fertilizer response in rainfed lowlands of northeast Thailand. Field Crops Res. 2006, 98, 39–51. [Google Scholar] [CrossRef]
- Zhang, K.; Wang, X.; Li, Y.; Zhao, J.; Yang, Y.; Zang, H.; Zeng, Z. Peanut residue incorporation benefits crop yield, nitrogen yield, and water use efficiency of summer peanut-winter wheat systems. Field Crops Res. 2022, 279, 108463. [Google Scholar] [CrossRef]
- Wang, X.; Lv, J.; He, P.; Ciampitti, I.A.; Qiu, S.; Xu, X.; Zhao, S. Nutrient uptake behavior of peanut under optimum fertilization management in China. Crops Sci. 2021, 61, 4344–4351. [Google Scholar] [CrossRef]
- Zhao, S.C.; Lv, J.L.; Xu, X.P.; Lin, X.M.; Rosso, L.M.; Qiu, S.J.; Ciampitti, I.; He, P. Peanut yield, nutrient uptake and nutrient requirements in different regions of China. J. Integr. Agr. 2021, 20, 2502–2511. [Google Scholar] [CrossRef]
- Shen, P.; Wang, C.; Wu, Z.; Wang, C.; Zhao, H.; Shan, S.; Wu, M.; Sun, X.; Yu, T.; Zheng, Y.; et al. Peanut macronutrient absorptions characteristics in response to soil compaction stress in typical brown soils under various tillage systems. Soil Sci. Plant Nutr. 2019, 65, 148–158. [Google Scholar] [CrossRef]









| Year | Field Site | Soil Property at 0–20 cm Depth | Nutrient Inputs by Chemical Fertilizer | |||||||
|---|---|---|---|---|---|---|---|---|---|---|
| pH | SOC (%) | NH4+-N (mg/kg) | NO3--N (mg/kg) | Olsen-P (mg/kg) | NH4OAc-K (mg/kg) | N (kg/ha) | P (kg/ha) | K (kg/ha) | ||
| 2020 | A1 | 5.12 | 1.25 | 54.9 | 7.7 | 41.3 | 139.0 | 181.5 | 49.1 | 93.4 |
| A2 | 5.09 | 0.85 | 25.3 | 7.2 | 28.8 | 77.9 | 159.0 | 58.9 | 93.4 | |
| A3 | 5.28 | 1.38 | 47.9 | 8.2 | 73.9 | 189.0 | 279.0 | 16.4 | 49.8 | |
| A4 | 5.30 | 0.91 | 47.7 | 4.4 | 35.9 | 76.6 | 159.0 | 58.9 | 9.34 | |
| A5 | 5.07 | 1.32 | 62.5 | 8.8 | 26.3 | 69.0 | 181.5 | 32.7 | 124.5 | |
| A6 | 5.05 | 1.19 | 23.2 | 8.7 | 81.2 | 131.6 | 241.5 | 36.0 | 56.0 | |
| A7 | 5.09 | 1.01 | 26.9 | 10.9 | 44.5 | 80.4 | 204.0 | 58.9 | 112.0 | |
| A8 | 5.38 | 1.04 | 27.3 | 7.1 | 36.6 | 80.4 | 219.0 | 32.7 | 62.2 | |
| 2021 | B1 | 4.97 | 0.99 | 80.1 | 19.9 | 37.8 | 149.8 | 256.5 | 16.4 | 31.1 |
| B2 | 5.00 | 0.81 | 29.1 | 15.1 | 27.6 | 73.3 | 204.0 | 58.9 | 112.0 | |
| B3 | 4.82 | 0.77 | 45.5 | 23.9 | 46.8 | 112.7 | 159.0 | 49.1 | 112.0 | |
| B4 | 5.12 | 1.28 | 23.0 | 10.9 | 34.0 | 96.0 | 241.5 | 36.0 | 56.0 | |
| B5 | 5.27 | 0.94 | 37.6 | 27.8 | 73.9 | 113.8 | 204.0 | 58.9 | 112.0 | |
| Mean ± SD | 5.12 ± 0.15 | 1.06 ± 0.21 | 40.8 ± 17.6 | 12.4 ± 7.0 | 45.3 ± 18.8 | 106.9 ± 36.7 | 206.9 ± 39.2 | 43.3 ± 16.0 | 85.2 ± 30.3 | |
Disclaimer/Publisher’s Note: The statements, opinions and data contained in all publications are solely those of the individual author(s) and contributor(s) and not of MDPI and/or the editor(s). MDPI and/or the editor(s) disclaim responsibility for any injury to people or property resulting from any ideas, methods, instructions or products referred to in the content. |
© 2023 by the authors. Licensee MDPI, Basel, Switzerland. This article is an open access article distributed under the terms and conditions of the Creative Commons Attribution (CC BY) license (https://creativecommons.org/licenses/by/4.0/).
Share and Cite
Hu, J.; Yang, Y.; Zhang, H.; Li, Y.; Zhang, S.; He, X.; Huang, Y.; Ye, Y.; Zhao, Y.; Yan, J. Reduction in Nitrogen Rate and Improvement of Nitrogen Use Efficiency without Loss of Peanut Yield by Regional Mean Optimal Rate of Chemical Fertilizer Based on a Multi-Site Field Experiment in the North China Plain. Plants 2023, 12, 1326. https://doi.org/10.3390/plants12061326
Hu J, Yang Y, Zhang H, Li Y, Zhang S, He X, Huang Y, Ye Y, Zhao Y, Yan J. Reduction in Nitrogen Rate and Improvement of Nitrogen Use Efficiency without Loss of Peanut Yield by Regional Mean Optimal Rate of Chemical Fertilizer Based on a Multi-Site Field Experiment in the North China Plain. Plants. 2023; 12(6):1326. https://doi.org/10.3390/plants12061326
Chicago/Turabian StyleHu, Jiayu, Yang Yang, Hongyan Zhang, Yuhao Li, Shuhong Zhang, Xinhua He, Yufang Huang, Youliang Ye, Yanan Zhao, and Jungying Yan. 2023. "Reduction in Nitrogen Rate and Improvement of Nitrogen Use Efficiency without Loss of Peanut Yield by Regional Mean Optimal Rate of Chemical Fertilizer Based on a Multi-Site Field Experiment in the North China Plain" Plants 12, no. 6: 1326. https://doi.org/10.3390/plants12061326
APA StyleHu, J., Yang, Y., Zhang, H., Li, Y., Zhang, S., He, X., Huang, Y., Ye, Y., Zhao, Y., & Yan, J. (2023). Reduction in Nitrogen Rate and Improvement of Nitrogen Use Efficiency without Loss of Peanut Yield by Regional Mean Optimal Rate of Chemical Fertilizer Based on a Multi-Site Field Experiment in the North China Plain. Plants, 12(6), 1326. https://doi.org/10.3390/plants12061326

