Next Article in Journal
Exploiting the Opportunity to Use Plant-Derived Nanoparticles as Delivery Vehicles
Next Article in Special Issue
Bioefficacy of Nga-Mon (Perilla frutescens) Fresh and Dry Leaf: Assessment of Antioxidant, Antimutagenicity, and Anti-Inflammatory Potential
Previous Article in Journal
LED omics in Rocket Salad (Diplotaxis tenuifolia): Comparative Analysis in Different Light-Emitting Diode (LED) Spectrum and Energy Consumption
Previous Article in Special Issue
Ferula sinkiangensis (Chou-AWei, Chinese Ferula): Traditional Uses, Phytoconstituents, Biosynthesis, and Pharmacological Activities
 
 
Font Type:
Arial Georgia Verdana
Font Size:
Aa Aa Aa
Line Spacing:
Column Width:
Background:
Article

Secondary Metabolite Profiling, Antioxidant, Antidiabetic and Neuroprotective Activity of Cestrum nocturnum (Night Scented-Jasmine): Use of In Vitro and In Silico Approach in Determining the Potential Bioactive Compound

1
Department of Medical Laboratory Sciences, College of Applied Medical Sciences, University of Hail, Hail 2440, Saudi Arabia
2
Department of Clinical Laboratory Sciences, College of Applied Medical Sciences, Shaqra University, Shaqra 11961, Saudi Arabia
3
Department of Pharmacy Practice, College of Pharmacy, Shaqra University, Shaqra 11961, Saudi Arabia
4
Department of Biotechnology, SRM University Delhi-NCR, Sonepat 131 029, India
5
Department of Clinical Laboratory Sciences, College of Applied Medical Sciences, Riyadh ELM University, Riyadh 12734, Saudi Arabia
6
Department of Biochemistry, Noida International Institute of Medical Sciences, Noida International University, Gautam Budh Nagar 203 201, India
7
Department of Basic Dental and Medical Sciences, College of Dentistry, University of Hail, Hail 2440, Saudi Arabia
*
Authors to whom correspondence should be addressed.
Plants 2023, 12(6), 1206; https://doi.org/10.3390/plants12061206
Submission received: 3 January 2023 / Revised: 5 February 2023 / Accepted: 8 February 2023 / Published: 7 March 2023

Abstract

This study aims to describe the therapeutic potential of C. nocturnum leaf extracts against diabetes and neurological disorders via the targeting of α-amylase and acetylcholinesterase (AChE) activities, followed by computational molecular docking studies to establish a strong rationale behind the α-amylase and AChE inhibitory potential of C. nocturnum leaves-derived secondary metabolites. In our study, the antioxidant activity of the sequentially extracted C. nocturnum leaves extract was also investigated, in which the methanolic fraction exhibited the strongest antioxidant potential against DPPH (IC50 39.12 ± 0.53 µg/mL) and ABTS (IC50 20.94 ± 0.82 µg/mL) radicals. This extract strongly inhibited the α-amylase (IC50188.77 ± 1.67 µg/mL) and AChE (IC50 239.44 ± 0.93 µg/mL) in a non-competitive and competitive manner, respectively. Furthermore, in silico analysis of compounds identified in the methanolic extract of the leaves of C. nocturnum using GC-MS revealed high-affinity binding of these compounds with the catalytic sites of α-amylase and AChE, with binding energy ranging from −3.10 to −6.23 kcal/mol and from −3.32 to −8.76 kcal/mol, respectively. Conclusively, the antioxidant, antidiabetic, and anti-Alzheimer activity of this extract might be driven by the synergistic effect of these bioactive phytoconstituents.

1. Introduction

Oxidative stress induced by reactive oxygen species (ROS) is deleterious to proteins, lipids, cell membranes, and DNA, and contributes to the development of several chronic and degenerative disorders [1]. An imbalance between oxidative stress and the antioxidant defense system causes cellular dysfunction, resulting in the development of many chronic diseases, including diabetes mellitus (DM) and neurological disorders [2,3]. DM is a metabolic disorder characterized by impaired carbohydrate metabolism resulting in elevated fasting and postprandial blood sugar levels. During persistent hyperglycemia, glucose can react with proteins nonenzymatically through the process of glycation [4,5]. Glycation of proteins and formation of advanced glycation end products are involved in the pathogenesis of several diabetic complications, including neurological dysfunction [6,7]. The prevalence of diabetes is increasing globally—approximately 537 million adults lived with diabetes in 2021 and the disease accounted for more than 6.0 million fatalities, half of which were in cases that were still undiagnosed. These numbers are predicted to increase to ~645 and ~785 million by 2030 and 2045, respectively [8].
Alzheimer’s disease (AD) is the most common form of dementia, with memory loss, language inability, cognitive dysfunction, visuospatial skill deficiency, and difficulty in judgement being the most common symptoms [9,10]. Moreover, abnormal accumulation of β-amyloid in the synaptic cleft of the neurons and of tau-neurofibrillary tangles plaques inside it disrupt the neuronal function [11]. Acetylcholine (ACh) is a chemical released at the neuromuscular junction that acts as a neurotransmitter (chemical message) allowing interneuronal communication. In the synaptic cleft, free ACh is synthesized by acetylcholinesterase (AChE) and it is ensured that no excess ACh is present for continuous activation of receptors [11]. Although the underlying cause of AD remains unclear, the pathogenesis is firmly associated with cholinergic transmission dysfunction. The inhibition of AChE is a widely accepted therapeutic strategy for symptomatic treatment of AD [12].
The incidence of both DM and AD is increasing. Moreover, diabetic patients have a five-fold higher risk of developing AD than nondiabetic individuals [3,13,14,15]. Diabetes patients also show reduced baseline cognitive abilities, such as those related to memory, learning, and judgment [13]. The relationship of hyperglycemia and insulin signaling anomalies with AD has been reported to be strong; because of which, AD is often considered as a metabolic brain disease [10,16,17]. DM and AD share a common pathophysiology, involving oxidative stress, inflammation [18], high cholesterol levels, neuronal degeneration, β-amyloid accumulation [19], phosphorylation of tau protein, and glycogen kinase-3 synthesis [20].
Antidiabetic drugs that reduce insulin resistance in the brain could prevent AD or dementia [15]. However, despite their impactful therapeutic response against DM and AD, such drugs fail to reverse the complications and are associated with prominent side effects [21]. Thus, alternative natural sources are being explored for therapeutic compounds effective against both DM and AD that would less likely be associated with complications. Strategies aimed at reducing oxidative stress and delaying the absorption of glucose and ACh synthesis via inhibition of α-amylase and AChE have the potential for effective management of DM and AD.
In this context, in the present study, we screened the antidiabetic and anti-Alzheimer’s potential of Cestrum nocturnum, a solanaceous shrub widely found in tropical and subtropical countries, including Australia, China, India, and America [22]. The leaves are simple, narrow lanceolate, smooth, and glossy, with an entire margin. C. nocturnum has garnered the attention of researchers in view of its antioxidative [23], antimicrobial [24], antifungal [22,24], anti-inflammatory [25], and hepatoprotective properties [26]. The antidiabetic and antihyperlipidemic activities of C. nocturnum have been reported in rodents [27,28]. In addition, several bioactive phytoconstituents such as flavonoids, glycosides, tannins, coumarins, anthocyanins, sapogenins, and sterols have been also identified, which have numerous biological activities such as antibacterial, antifungal activities [22]. In this study, for the first time, we evaluated the efficacy of extracts of the leaves of C. nocturnum as potent dual inhibitors of α-amylase and AChE. In addition, molecular docking studies of secondary metabolites in the methanolic (MeOH) extract of leaves of C. nocturnum identified using gas chromatography-mass spectrometry (GC-MS) analysis were performed to obtain mechanistic insights into their inhibitory activities.

2. Results

2.1. Phytochemical Screening and Total Phenolic Content in Extracts of the Leaves of C. nocturnum

C. nocturnum leaves were sequentially extracted in n-Hexane, dichloromethane (DCM), ethyl acetate (EtOAc), methanol (MeOH), and water. The percent yield of extraction is shown in Table 1. Phytochemical screening revealed significant amounts of bioactive compounds, including flavonoids and polyphenols (Table 2) with free radical quenching ability, in the MeOH extract. The reductones serve as antioxidants by donating a hydrogen to the free radical, often corresponding with the reducing capacity of compounds, which may be a significant signal of its antioxidant potential [29,30,31].

2.2. α,α-Diphenyl-β-picrylhydrazyl (DPPH) Assay

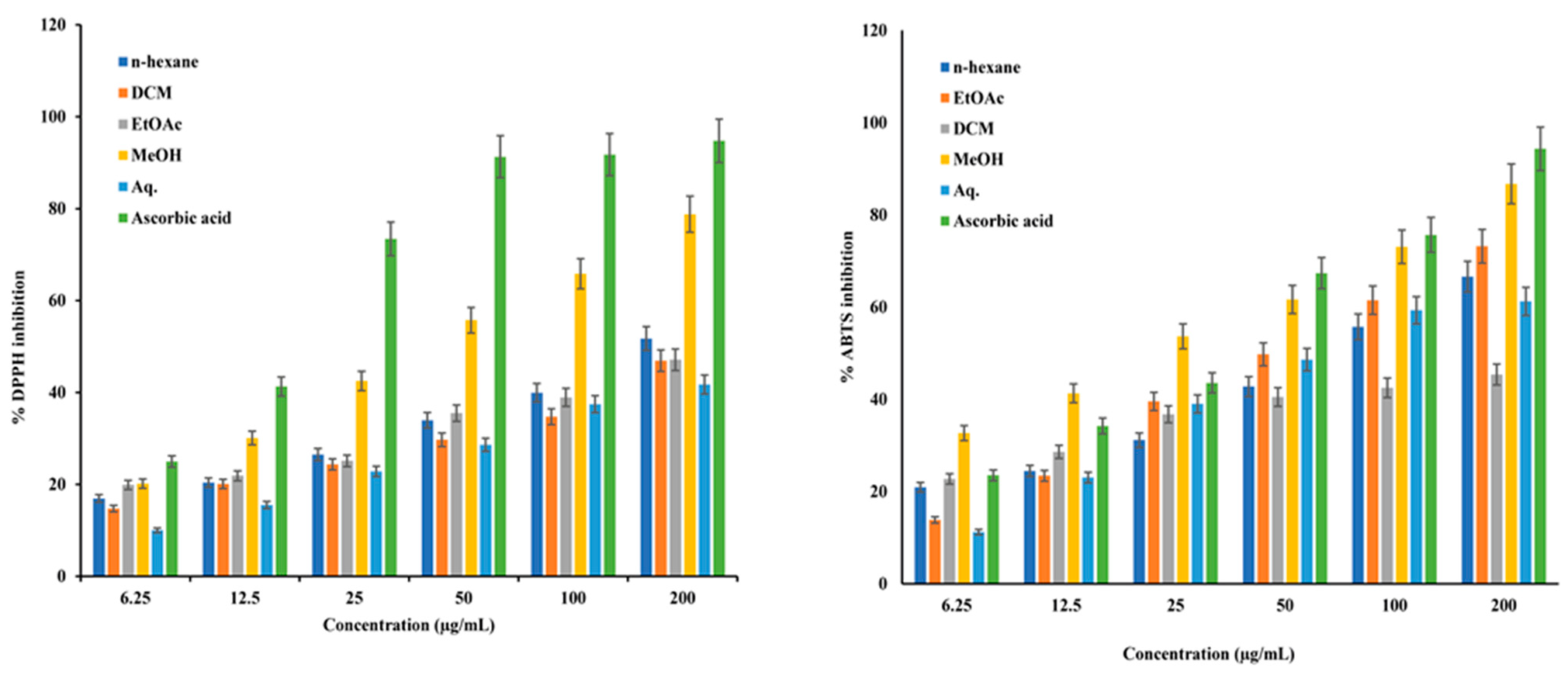
DPPH is a relatively stable radical that is widely used to evaluate the quenching ability of antioxidants from natural sources such as fruit and plant extracts. The DPPH scavenging ability of different extracts of the leaves of C. nocturnum, at various concentrations, is presented as % inhibition in Figure 1. The MeOH extract, with an IC50 value of 39.12 ± 0.53 µg/mL, was found to be the most potent in neutralizing the DPPH radical. The IC50 of the reference standard, ascorbic acid, was 15.12 ± 0.65 µg/mL (Table 3).

2.3. ABTS Radical Scavenging Assay

The ABTS radical cation scavenging assay is widely used to evaluate the antioxidant potential of plant and fruit extracts and purified compounds. All the extract of the leaves of C. nocturnum neutralized the ABTS radical in a dose-dependent manner via electron donation to the radical (Figure 1). The inhibition of the ABTS radical was highest for the MeOH fraction (IC50 20.94 ± 0.82 µg/mL) and that for the standard, ascorbic acid, was 94.33% (IC50 22.76 ± 0.43 µg/mL) (Table 3). The percent inhibition by each fraction has been shown in the Figure 1.

2.4. Ferric Reducing Antioxidant Power (FRAP)

The FRAP assay was used to evaluate the ferric-reducing potential of distinct extracts of the leaves of C. nocturnum. The outcomes demonstrated that MeOH has considerably higher FRAP values, 478.50 ± 4.56 µmol Fe (II)/g, compared to other extracts (Figure 2).

2.5. Total Phenolic Content

The TPC was the highest in the MeOH extract (5.81 ± 0.2 µg gallic acid (GA) equivalents/mg extract) and lowest in the n-Hexane extract (1.43 ± 0.23 µg GA equivalents)/mg extract) (Figure 2).

2.6. Evaluation of α-Amylase Inhibition and Kinetics Studies to Explore the Mode of Action of the Extract

To investigate the antidiabetic activity, the α-amylase inhibitory potential of different extracts was evaluated. The MeOH extract effectively inhibited α-amylase in a dose-dependent manner and had the lowest IC50 value of 188.77 ± 1.67 µg/mL compared with those of the other extracts (Figure 3, Table 3). The standard drug, acarbose, showed 75.58% inhibition of α-amylase (IC50 41.54 ± 0.54 µg/mL) (Figure 3, Table 3). Furthermore, kinetics studies revealed noncompetitive inhibition of α-amylase by the MeOH extract unlike the competitive inhibition by acarbose (Figure 4).

2.7. Evaluation of Acetylcholinesterase Inhibition and Kinetics Studies to Explore the Mode of Action of the Extract

The AChE enzyme activity was evaluated using a colorimetric method in which a yellow-colored 5-thionitrobenzoate anion, with an absorption maximum at 412 nm, is produced when thiocholine reacts with 5,5-dithio-bis-(2-nitrobenzoic acid) (DTNB). Amongst the five C. nocturnum leaf extracts, the MeOH extract exhibited the highest AChE inhibitory activity in a dose-dependent manner, with an IC50 of 239.44 ± 0.93 µg/mL (Figure 3, Table 3). The standard drug, tacrine, showed the lowest IC50 of 4.03 ± 0.47 µg/mL (Figure 3, Table 3). A kinetics study was performed to determine the mode of inhibition by tacrine and the MeOH extract. As is evident from the Lineweaver–Burk double reciprocal plot of 1/V vs. 1/[S] (Figure 4), the MeOH fraction showed a competitive inhibition, whereas Tac exhibited a noncompetitive inhibition, indicating that it binds to the allosteric site of the enzyme (Figure 4).

2.8. GC-MS Analysis

The MeOH extract, which showed the highest antioxidant potential and significantly inhibited α-amylase and AChE, was subjected to the GC-MS analysis to determine its phytoconstituents. A total of 23 compounds were identified by comparing the GC-MS spectra against a reference (NIST) library (Table 4). The three major compounds in the MeOh extract were found to be 2,4-Di-tert-butylphenol (20.05%), Precocene I (18.76%), and Hexaglycerine (14.46%), whereas Methyl 3-(3,5-ditert-butyl-4-hydroxyphenyl) propanoate (6.73%), DL-arabinose (4.11%), and Eicosanebioic acid (3.70%) were present in lesser amounts. Some other compounds were also found to be present in minute quantities (0.10–2.44% peak area) (Table 4). The chromatograms of the GC-MS identified compounds has been provided in Supplementary material (Supplementary File S1).

2.9. ADME Profiling of Compounds Identified via GC-MS Analysis

In this technical era, various computational strategies for the assessment of absorption, distribution, metabolism, excretion, and toxicology (ADMET) have been developed to reduce the time, money, and manpower in the field of drug discovery. In this context, we have performed the ADME analysis via an online web server, SwissADME, to unravel the physiochemical properties and pharmacokinetic profile of compounds identified via GC-MS analysis. In the BOILED-Egg analysis, 3 compounds were in the white region, predicted to have a higher intestinal absorption, whereas 11 compounds were in the yolk region, which were predicted to have a higher potential for penetration across the blood–brain barrier. Four compounds were outside the acceptable range and five compounds did not come under the definition of a “BOILED-Egg.” In the analysis of drug-like properties, Lipinski’s rule of five, bioactivity profile, and ADMET properties of the selected compounds were determined using the AI-based software. The five criteria in the Lipinski’s rule, viz. molecular weight <500 Da, H-bond donors (HBD) <5, H-bond acceptors (HBA) < 10, and Log P (octanol–water partition coefficient) <5, were evaluated for each of the compounds. In the drug-likeness analysis, compounds 1, 2, 8, 11, 16, 18, 21, and 23 violated the one rule (MlogP < 4.15), whereas compounds 15, 17, 20, and 22 violated two rules (MlogP < 4.15 and MW < 500) of Lipinski (Table 5).

2.10. Toxicity Assessment of the Selected Compounds

The compounds that resided in the BIOLED-Egg region were subjected to the toxicity analysis via ProTox-II, an online web server tool that predicts the toxicity class, LD50, and distinct toxicity parameters, such as hepatotoxicity, carcinogenicity, immunogenicity, mutagenicity, and cytotoxicity. Four compounds (dibutyl phthalate, phthalic acid di-isobutyl ester, p-chloromethoxybenzene, and precocene I) were predicted to be carcinogenic. Precocene I was also predicted to be immunogenic (Table 6). These compounds were, therefore, eliminated from further docking analysis.

2.11. Selected Compounds Actively Occupied the Active Pocket of α-Amylase and AChE

In this attempt, we found that all the selected compounds actively occupied the catalytic site of both the α-amylase and AChE crystal structure, with binding energy values ranging from −3.10 to −6.23 kcal/mol (Table 7) and −3.32 to −8.76 kcal/mol (Table 8), respectively. The grid box dimensions for α-amylase and AChE were 60 × 60 × 60 points (x, y, and z), with a grid spacing of 0.563 Å and 0.525 Å, respectively. The grid center at dimensions of x, y, and z for α-amylase and AChE were 14.56, 86.21, 153.11, and 3.4, 67.1, and 67.0, respectively. The docked complexes showed that a compound, namely 7,9-Di-tert-butyl-1-oxaspiro [4,5] deca-6,9-diene-2,8-dione, was found to be the most potent inhibitor of α-amylase and AChE, with binding affinity of -6.23 and -8.76 kcal/mol, respectively, which is better than their respective standard and substrate, while other compounds also showed significant binding affinity (Table 7 and Table 8). The docked complex of α-amylase and AChE with 7,9-Di-tert-butyl-1-oxaspiro [4,5] deca-6,9-diene-2,8-dione was found to be surrounded by 9 amino acid residues (Leu165, Gln63, Thr163, Trp58, Trp59, Asp300, His299, Arg195, Tyr62) (Figure 5) and 17 amino acids residues (Ser122, Asp72, Asn85, Trp84, Ser81, Gly80, Phe330, Tyr334, Tyr442, Trp432, Ile439, Ser200, His440, Glu199, Ile444, Gly441, Tyr121), respectively (Figure 6).

3. Discussion

Oxidative stress induced by ROS damages proteins, lipids, and DNA and is one of the major causes of several chronic diseases, such as DM [29,32]. The prevalence of DM is rising globally and this trend is predicted to continue in the coming decades [8]. Oxidative stress and DM are independent risk factors for several complications, including cardiovascular diseases, diabetic encephalopathy, and AD [2,32,33,34,35]. Antioxidants from natural sources, such as plants, and their secondary metabolites are efficient quenchers of free radicals and interrupt their production. Their consumption helps in the management of oxidative stress and in preventing the onset of several diseases such as DM and AD [2,36,37,38,39]. Numerous in vitro and in vivo studies have shown that C. nocturnum leaf extracts have antifungal, antibacterial, antidiabetic, and wound healing properties [22,24,27,28,40].
In this study, sequential extraction of C. nocturnum leaves was performed using n-Hexane, DCM, EtOAc, MeOH, and water. Phytochemical screening showed that the MeOH extract contains significant amounts of bioactive compounds, including flavonoids and polyphenols (Table 2), which are known for their free radical quenching ability, and that it has the highest TPC (Figure 2). The reductones serve as antioxidants by donating a hydrogen atom to free radicals, and their content corresponds with the reducing capacity of the extracts and their antioxidant potential [29,30,31]. The MeOH extract exhibited significant total antioxidant activity (Figure 1). These results are in concordance with those of previously studies [22,23,28,40]. A recently published study also showed that leaves of C. nocturnum are a rich source of phytochemical constituents [40]. Because phenolic compounds are believed to be responsible for the majority of antioxidant properties of plant extracts, the antioxidant potential of the MeOH extract might be attributable to polyphenolic compounds [32,41]. Compounds with the ability to reduce oxidative stress via quenching of free radicals can delay or stop the progression of several chronic diseases [1,8,42,43]. The MeOH extract of C. nocturnum leaves exhibited strong DPPH and ABTS radical quenching ability (Figure 1, Table 3), indicating its potent antioxidant activity. These results are in agreement with previously published reports [23,44,45].
Several strategies have been developed to manage DM, among which, the strategies based on the inhibition of key enzymes are the most common. The inhibition of the most important carbohydrate metabolizing enzymes (α-amylase and α-glucosidase) is the first line drug therapy for the management of blood glucose levels in DM patients [29,46,47]. Oxidative stress and DM contribute to the development of several complications, including cognitive disorders, such as AD. AD is the most common cause of dementia. Epidemiological studies suggest that DM patients are more prone to develop AD [9,48]. The most prominent therapeutic strategy for AD is the inhibition of cholinesterase, as this enzyme catalyzes the conversion of ACh into choline and acetate. Several studies have established a strong relationship between DM, particularly type 2 DM, and AD, as they share common pathophysiological features, such as oxidative stress, abnormal signaling events related to insulin, advanced glycation end products, and mitochondrial anomalies [49,50]. Although the initial management of hyperglycemia is performed through diet control and exercise, this is not sufficient, and oral drug therapy is recommended [51]. Several synthetic drugs are commercially available for the management of hyperglycemia (glinides, carbohydrate metabolizing enzyme inhibitors, sulfonylureas, and thiazolidinediones) [52] and AD (tacrine, donepezil, rivastigmine, and galantamine) [16]. Several studies have shown that these antihyperglycemic drugs reduce the risk of dementia [53,54]. Despite their excellent profile, the long-term use of these anti-diabetes and anti-Alzheimer’s medications causes several prominent side effects, including hepatotoxicity, nephrotoxicity, and hypoglycemia [55,56]. To date, there is no FDA approved drug that can manage both hyperglycemia and AD via targeting of α-amylase and AChE. In this context, our findings that the sequentially extracted C. nocturnum extracts exhibit antidiabetic and anti-Alzheimer’s activity via targeting α-amylase and AChE are significant. Among all the extracts, the MeOH extract exhibited the most potent α-amylase inhibitory action. This extract inhibited the α-amylase activity in a dose-dependent manner (Figure 3, Table 3), consistent with previous reports that α-amylase inhibitory potential was higher in more polar plant extracts [32,57,58]. Thus, the enzyme inhibitory potential of the MeOH extract could be due to the presence of polyphenols, flavonoids, and glycosides. Interestingly, the DCM extract also showed marked inhibition at a concentration of 50 µg/mL. Besides this further increasing, the concentration did not show significant inhibitory potential. It might be due to lower number of phytoconstituents in the DCM extract. Preliminary screening also revealed that the MeOH extract of leaves of C. nocturnum inhibited the AChE activity in a dose-dependent manner (Figure 3, Table 3).
To find the mechanism of inhibition of α-amylase and AChE by the MeOH extract, we performed enzyme kinetics studies. The MeOH extract was found to be a noncompetitive inhibitor of α-amylase and a competitive inhibitor of AChE (Figure 4). On the contrary, the standard drugs, acarbose and tacrine, showed competitive and noncompetitive inhibition of α-amylase and AChE, respectively, which is in agreement with previous reports [32,39]. It is evident that plant extracts exhibit competitive and noncompetitive inhibition due to the presence of a variety of bioactive compounds [59]. A decrease in Vmax and no change in Km are characteristics that differentiate noncompetitive inhibition from competitive (no change in Vmax and an increase in Km) and uncompetitive (decrease in both Vmax and Km) inhibition [60].
Using GC-MS analysis, 23 compounds were identified as the bioactive substances probably responsible for the aforementioned effects of the MeOH extract (Table 4). Several studies have reported the antioxidant, antidiabetic, antifungal, and antibacterial activities of these compounds present in C. nocturnum [23,40]. However, our GC-MS analysis did not record the flavonol glycoside and steroidal saponins described in an NMR analysis of methanolic extract of leaves by Mimaki et al., (2001) [61]. However, these chemicals were also not documented in a previously published publication either, although our data are consistent with the same class of substances reported by Chaskar et. al. (2017), such as hexadecenoic acid, 1-Hexadecanol, and carboxylic acid [62].
Based on our results, we surmise that the bioactive compounds in the MeOH extract of C. nocturnum leaves, either individually or in combination, substantially ameliorate the oxidative damage and inhibit the activities of α-amylase and AChE. However, the most persuasive step in the development of drugs is the prediction of the pharmacological properties of a chemical entity using several AI-based software. Among the various AI-based strategies, ADMET is currently being used to avoid wastage of time, resources, and manpower [61,62]. For this reason, we performed the ADMET analysis to investigate the drug-likeness properties of the bioactive components of the MeOH extract predicted using GC-MS. The SWISS ADME generates results in the form of a BOILED-Egg graph. The white region denotes high gastrointestinal tract absorption of the compounds and the yellow region (yolk) indicates high BBB penetration. The ADMET analysis revealed that all the compounds had acceptable drug-likeness properties and conformed to Lipinski’s rule of five [29]. However, some compounds violated either one or two of these rules, but these violations do not warrant exclusion of these compounds as potential candidates. Only 13 compounds were localized in the BOILED-Egg graph, and these were subjected to toxicity analysis (Table 5). All the compounds were in the range of classified LD50 values. Four compounds (dibutyl phthalate, phthalic acid di-isobutyl ester, p-chloromethoxybenzene, and precocene I) were active against the carcinogenicity parameter. Precocene I was also active against the immunogenicity parameter. These compounds were eliminated at this level from further docking analysis.
Molecular docking analysis was performed to determine the interactions of the selected constituents of the MeOH extract that interact with the active site of α-amylase and AChE, and consequently inhibit their activity. Such docking analyses to search for molecular targets of constituents in plant extracts have been reported previously [32]. Molecular docking is a crucial tool for examining the interaction of ligands with a target protein and helps in comprehending the mechanisms underlying their binding and inhibitory activities. Redocking co-crystallized acarbose and tacrine into their respective binding sites in α-amylase and AChE allowed us to validate the docking approach (Figure 5 and Figure 6). We found that all the redocked structures interacted with the same amino acids as in the respective crystal structure. The molecular docking study was carried out using Pyrex and further validated using Autodock 4.2. Furthermore, our results illustrated that the selected ten compounds were strongly occupied the active pocket of the α-amylase crystal structure with binding energy (ΔG) values ranging from −3.10 to −6.23 kcal/mol, which is quite a bit better than the standard (ΔG -2.71 kcal/mol) as well as their substrate (ΔG −2.79 kcal/mol). Among these compounds, 7,9-di-tert-butyl-1-oxaspiro [4,5] deca-6,9-diene-2,8-dione was most potent inhibitor of α-amylase, as evidenced by its lowest binding energy. Its binding to the active pocket was stabilized by interaction with nine amino acid residues (Leu165, Gln63, Thr163, Trp58, Trp59, Asp300, His299, Arg195, Tyr62) (Figure 5). Interestingly, the same compound also showed the lowest binding affinity for AChE, and its binding was stabilized through interactions with 17 amino acid residues (Ser122, Asp72, Asn85, Trp84, Ser81, Gly80, Phe330, Tyr334, Tyr442, Trp432, Ile439, Ser200, His440, Glu199, Ile444, Gly441, Tyr121) (Figure 6). The other selected compounds also interacted efficiently with the active pocket of AChE, showing varied ΔG values (Table 8). Although all the selected compounds interacted with the catalytic site of the both the target enzymes, resulting in inhibition of their activity, we cannot comment if all or few of these compounds are responsible for the actual inhibitory activity of the extract. Nonetheless, the results of our in vitro and in silico studies convincingly highlight the antidiabetic and anti-Alzheimer potential of the MeOH extract of C. nocturnum leaves.

4. Material and Methods

4.1. Chemicals

n-Hexane, DCM, EtOAc, MeOH, acetone, and dinitro salicylic acid (DNS) were obtained from Merck. DPPH, 2,4,6-tripyridyl-s-triazine (TPTZ), ascorbic acid, ferric chloride (FeCl3), and ferrous sulfate (FeSO4) were purchased from the Hi-Media Laboratories. Pancreatic α-amylase was obtained from Sisco Research. Lab Pvt. Ltd. DTNB, acetylcholine iodide (AChI), 9-amino-1,2,3,4-tetrahydroacridine hydrochloride (tacrine hydrochloride), ABTS, and AChE were purchased from Sigma-Aldrich (USA). All the chemicals were of analytical grade.

4.2. Collection, Identification, and Preparation of Cestrum nocturnum Extract

The C. nocturnum leaves were collected (voucher no. IU/PHAR/HRB/22/21) and washed to remove filth and dust particles and shed dried for seven days. After drying, leaves were ground to powder form. The dried powder (25 g) was sequentially extracted with the appropriate amount of n-Hexane, dichloromethane (DCM), ethyl acetate (EtOAc), methanol (MeOH), and water using the Soxhlet apparatus. The filtered crude extract was scratched out and kept at −20 °C for further analytical use. The following formula was used to determine the percentage yield of various extracts.
%   yield   = Weight   of   crude   extract Weight   of   raw   material × 100

4.3. Qualitative Screening of Phytochemicals

Each extract of leaves of C. nocturnum was qualitatively screened for the presence of phytoconstituents, such as phenols, glycosides, and steroids, following the methods described previously [63].

4.4. DPPH Radical Scavenging Activity

The method described by Brand-Williams et al. [64] was used to assess the DPPH radical quenching ability of the extracts. The reference standard ascorbic acid was used for the comparative study. The percent inhibition of the DPPH was calculated using the equation below:
% DPPH = Δ Absorbance   of   control Δ Absorbance   of   sample Δ Absorbance   of   control × 100

4.5. ABTS Radical Scavenging Activity

The ABTS stock solution (7 mM) was prepared by mixing it with 2.45 mM potassium persulfate. Before the experiment, the solution was suitably diluted to yield an absorbance of 0.70 at 734 nm. Different concentrations of the extracts (in a 100 μL volume) were added to 900 μL of ABTS solution and the mixtures were incubated for 30 min at 37 °C. The absorbance was taken at 734 nm using an Eppendorf Bio-spectrophotometer. The reference standard used was ascorbic acid [65]. The equation used for calculating the % inhibition was the same as that used for DPPH.

4.6. Ferric Reducing Antioxidant Potential

The ferric reducing potential was determined according to the standard protocol [66] with a slight modification [32]. The absorbance was taken at 593 nm. The results were calculated using the standard curve of FeSO4 and indicated as μmol Fe (II)/g dry weight of the C. nocturnum leaves powder.

4.7. Total Phenolic Content

The total phenolic content was determined by using the Follin–Ciocalteu standard protocol [32]. The results were calculated using standard gallic acid curve. The results are manifested as μg GA equivalent/mg extract.

4.8. α-Amylase Inhibition Assay

The α-amylase inhibitory potential of the different C. nocturnum leaf extracts was determined according to the standard protocol [29,32]. The enzyme (5 unit/mL) was freshly prepared in 20 mM of ice-cold PBS (pH 6.7) containing 6.7 mM NaCl. The enzyme (250 μL) was mixed with different concentrations of the inhibitors (acarbose or extract), except in the blank, and incubated for 20 min at 37 °C. Thereafter, starch solution (0.5% w/v) was added and the mixture was incubated for 15 min at 37 °C. Following the addition of the DNS reagent, the mixture was vortexed and incubated at 100 °C for 10 min in a water bath. At the end of incubation, the absorbance at 540 nm was measured using an Eppendorf Bio-spectrophotometer. The % inhibition rate was evaluated using the following equation:
% inhibition = 100 − % reaction
where % reaction = (mean product in sample/mean product in control) × 100

4.9. Determination of Anti-Acetylcholinesterase Activity

The acetylcholinesterase test was prepared according to Ellman et al. (1961) with a slight modification [67]. For use as a blank control, 33 μL of 10 mM DTNB, 100 μL of 1 mM AChI, 767 μL of 50 mM Tris HCl buffer (pH 8.0), and 100 μL of extract (different concentrations) were mixed in a 2 mL cuvette. For the test reaction, 300 μL of the buffer was replaced with an equal volume of AChE solution (0.28 U/mL). Tacrine was used as a reference standard. The reaction was monitored for 20 min by measuring the OD at 405 nm every minute. The values are presented as the mean of three replicates. The % inhibition of enzyme activity was calculated using the following equation:
%   inhibition = Δ Absorbance   of   control Δ Absorbance   of   sample Δ Absorbance   of   control × 100

4.10. Kinetics Studies to Assess the Mode of Inhibition of α-Amylase Activity by the MeOH Extract of C. nocturnum Leaves

Michaelis–Menten kinetics (the Lineweaver–Burk plot) [30,32] were determined to decipher the mode of inhibition of α-amylase activity by the MeOH extract of C. nocturnum leaves. α-Amylase was preincubated with the inhibitor (extract/acarbose) for 20 min. One hundred microliters of starch (0.625–5 mg/mL) was added to each tube, including the blank, and incubated at 37 °C for 15 min. After the addition of DNS solution, the absorbance was recorded at 540 nm. The Lineweaver–Burk plot was made to determine the effect of the extract or acarbose on Vmax and Km.

4.11. Kinetics Studies to Assess the Mode of Inhibition of AChE Activity by the MeOH Extract of C. nocturnum Leaves

The kinetic study was carried out using the varied concentration of substrate, AchI (i.e., 0.5, 1.0, and 2.0 mM), and inhibitor C. nocturnum leaves extract (0.0, 50, and 100 µg/mL of reaction). The hydrolysis of AChI by AChE, either in the absence or presence of an inhibitor, was spectrophotometrically monitored for 20 min at 405 nm. The absorbance was taken at 1 min intervals. The mode of inhibition was determined according to the Michaelis–Menten kinetics [39].

4.12. GC-MS Analysis of the MeOH Extract

The phytoconstituents in the MeOH extract, which exhibited the maximum inhibitory potential against α-amylase and AChE, were identified using GC-MS. The GC-MS analysis was performed at the Central Instrumentation Laboratory Facility (CIL), Central University of Punjab, Bhatinda, India. The sample was injected into a Restek column (30 m × 0.25 mm; film thickness, 0.25 μm) on a GC-MS system (Shimadzu QP 2010 Ultra GC-MS). The constant column flow of the carrier gas (helium) was 1 mL/min. The mass spectra peaks were compared against the reference National Institute of Standards and Technology (NIST) libraries to identify the compounds.

4.13. Retrieval and Preparation of Ligands Structure

Numerous organic compounds’ structures and their functional details are available in the PubChem database (http://pubchem.ncbi.nlm.nih.gov) that accessed on 10 November 2022. A unique identification number (CID) has been designated for each compound in the database. The 3D-structures of GC-MS-identified compounds were retrieved in 3D SDF file format. Using BIOVIA Discovery Studio Visualizer, the SDF file of ligands was converted into PDB file format. The CHARMM force field was applied in order to singe step minimization using the steepest descent method for 500 steps and an RMS gradient of 0.01.

4.14. Preparation of Target Protein

The 3D-structure of both enzymes (target proteins) was downloaded from the PDB database (https://www.rcsb.org/search) that accessed on 10 November 2022 [68] by taking the proteins IDs, α-amylase (5U3A), AChE (1ACJ), and saved. The structure was investigated and visualized in BIOVIA Discovery Studio Visualizer 2020 (BIOVIA, Dassault Systems; https://discover.3ds.com/discovery-studio-visualizer-download, accessed on 12 October 2022. Moreover, an online tool, Play-Molecule (https://www.playmolecule.com) accessed on 8 November 2022, provided the DEEPSITE to predict the active site of the AchE.

4.15. Target Protein and Ligands Preparation

The target protein was prepared by deleting heteroatoms and adding polar hydrogen, as well as kollman charges, by using Autodock 4.2 [69]. Further 3D structure of the proteins was converted into PDBQT file format. The ligands were prepared according to the well-defined standard protocol [70].

4.16. ADME and Drug-Likeness Studies of Selected Ligands

The selected ligands were subjected to pharmacokinetic profiling by using a web-based tool, as defined in earlier studies [71]. Furthermore, the ligands’ drug-likeness properties were also depicted by the Swiss ADME tool (http://www.swissadme.ch) that has been accessed on 20 November 2022.

4.17. Predicted Toxicity of the Selected Compounds

Toxicity prediction was performed by the ProTox-II (https://tox-new.charite.de/protox_II/index.php?site=compound_input) on 25 November 2022, an online web-based server for the prediction of toxicities of small molecules. It provides the numerous details of the compounds about the toxicity such as LD50, Carcinogenicity, Immunotoxicity, Mutagenicity Cytotoxicity, as well as, most importantly, Hepatotoxicity [72].

4.18. Molecular Interaction Analysis

To determine the antidiabetic and anti-Alzheimer’s potential of the selected compounds, we performed in silico molecular docking of these compounds at the catalytic sites of α-amylase and AChE, respectively, using the standard protocol [73]. For validating the results of docking, the structures of acarbose and tacrine were extracted from the structures of their respective complexes with α-amylase and AChE and redocked within the active pocket of the respective targets using Autodock. After the completion of docking, the structures of the complexes were visualized using the BIOVIA Discovery Studio Visualizer and ranked on the basis of binding energies.

5. Conclusions

For the first time, we demonstrate the potent antidiabetic and anti-Alzheimer’s activities of sequentially extracted C. nocturnum methanolic leaf extracts via the inhibition of α-amylase and AChE, respectively. The results of our in vitro analyses show that the methanolic extract of C. nocturnum leaves has potent antioxidant, antidiabetic, and anti-Alzheimer’s activities. These results were further corroborated by the antidiabetic and anti-Alzheimer’s properties of the bioactive compounds identified using GC-MS. The findings suggest that 7,9-di-tert-butyl-1-oxaspiro [4,5] deca-6,9-diene-2,8-dione alone or in combination with other compounds inhibits the activities of both α-amylase and AChE. Thus, it is a good approach to alleviate oxidative stress and hyperglycemia, as well as Alzheimer’s, with the whole of these compounds/extracts. A thorough and comprehensive in vivo study is also required to fully understand the function of these extracts and their bioactive constituents.

Supplementary Materials

The following supporting information can be downloaded at: https://www.mdpi.com/article/10.3390/plants12061206/s1, File S1: Chromatograms of GC-MS identified compounds (As Listed in Main text of Manuscript).

Author Contributions

S.A. (Saheem Ahmad): Conceived and designed the work, performed the analysis; M.A. and S.A. (Sharif Alhajlah): Collected the data; designed the work; O.A. and R.P.P.: Performed data acquisition, analysis and interpretation; M.S.A. and S.A. (Shafeeque Ahmad): Proofread the manuscript and performed the analysis; S.K. and M.A.: Analyzed the data. All authors have read and agreed to the published version of the manuscript.

Funding

The authors would like to thank the Deanship of Scientific Research at Shaqra University for supporting this work.

Data Availability Statement

Not Applicable.

Conflicts of Interest

The authors declare no conflict of interest.

References

  1. Akhter, F.; Alvi, S.S.; Ahmad, P.; Iqbal, D.; Alshehri, B.M.; Khan, M.S. Therapeutic efficacy of Boerhaavia diffusa (linn.) root methanolic extract in attenuating streptozotocin-induced diabetes, diabetes-linked hyperlipidemia and oxidative-stress in rats. Biomed. Res. Ther. 2019, 6, 3293–3306. [Google Scholar] [CrossRef]
  2. Alvi, S.S.; Ahmad, P.; Ishrat, M.; Iqbal, D.; Khan, M.S. Secondary Metabolites from Rosemary (Rosmarinus officinalis L.): Structure, Biochemistry and Therapeutic Implications against Neurodegenerative Diseases. In Natural Bio-Active Compounds; Springer: Singapore, 2019; pp. 1–24. [Google Scholar]
  3. Tseng, C.H. Dementia risk in type 2 diabetes patients: Acarbose use and its joint effects with metformin and pioglitazone. Aging Dis. 2020, 11, 658. [Google Scholar] [CrossRef]
  4. Nabi, R.; Alvi, S.S.; Shah, A.; Chaturvedi, C.P.; Faisal, M.; Alatar, A.A.; Ahmad, S.; Khan, M.S. Ezetimibe attenuates experimental diabetes and renal pathologies via targeting the advanced glycation, oxidative stress and age-rage signalling in rats. Arch. Physiol. Biochem. 2021, 1–16. [Google Scholar] [CrossRef] [PubMed]
  5. Nabi, R.; Alvi, S.S.; Shah, A.; Chaturvedi, C.P.; Iqbal, D.; Ahmad, S.; Khan, M.S. Modulatory role of hmg-coa reductase inhibitors and ezetimibe on ldl-ages-induced ros generation and rage-associated signalling in hek-293 cells. Life Sci. 2019, 235, 116823. [Google Scholar] [CrossRef] [PubMed]
  6. Nabi, R.; Alvi, S.S.; Saeed, M.; Ahmad, S.; Khan, M.S. Glycation and hmg-coa reductase inhibitors: Implication in diabetes and associated complications. Curr. Diabetes Rev. 2019, 15, 213–223. [Google Scholar] [CrossRef]
  7. Nabi, R.; Alvi, S.S.; Alouffi, S.; Khan, S.; Ahmad, A.; Khan, M.; Ahmad, S.; Khan, M.S. Amelioration of neuropilin-1 and rage/matrix metalloproteinase-2 pathway-induced renal injury in diabetic rats by rosuvastatin. Arch. Biol. Sci. 2021, 73, 265–278. [Google Scholar] [CrossRef]
  8. Waiz, M.; Alvi, S.S.; Salman Khan, M. Potential dual inhibitors of pcsk-9 and hmg-r from natural sources in cardiovascular risk management. EXCLI J. 2022, 21, 47. [Google Scholar] [CrossRef]
  9. Silva, M.V.F.; Loures, C.D.M.G.; Alves, L.C.V.; De Souza, L.C.; Borges, K.B.G.; Carvalho, M.D.G. Alzheimer’s disease: Risk factors and potentially protective measures. J. Biomed. Sci. 2019, 26, 33. [Google Scholar] [CrossRef]
  10. Li, X.; Song, D.; Leng, S.X. Link between type 2 diabetes and alzheimer’s disease: From epidemiology to mechanism and treatment. clin. interv. Aging 2015, 10, 549. [Google Scholar] [CrossRef]
  11. Knopman, D.S.; Amieva, H.; Petersen, R.C.; Chételat, G.; Holtzman, D.M.; Hyman, B.T.; Nixon, R.A.; Jones, D.T. Alzheimer disease. Nat. Rev. Dis. Prim. 2021, 7, 33. [Google Scholar] [CrossRef]
  12. Barbosa Filho, J.M.; Medeiros, K.C.P.; De Fátima, M.; Diniz, F.M.; Batista, L.M.; Athayde-Filho, P.F.; Silva, M.S.; Da-Cunha, E.V.L.; Silva Almeida, J.R.G.; Quintans-Júnior, L.J. Natural products inhibitors of the enzyme acetylcholinesterase. Rev. Bras. Farmacogn. 2006, 16, 258–285. [Google Scholar] [CrossRef]
  13. Arvanitakis, Z.; Wilson, R.S.; Bienias, J.L.; Evans, D.A.; Bennett, D.A. Diabetes mellitus and risk of alzheimer disease and decline in cognitive function. Arch. Neurol. 2004, 61, 661–666. [Google Scholar] [CrossRef] [PubMed]
  14. Sims-Robinson, C.; Kim, B.; Rosko, A.; Feldman, E.L. How does diabetes accelerate alzheimer disease pathology? Nat. Rev. Neurol. 2010, 6, 551–559. [Google Scholar] [CrossRef] [PubMed]
  15. Wium-Andersen, I.K.; Osler, M.; Jørgensen, M.B.; Rungby, J.; Wium-Andersen, M.K. Antidiabetic medication and risk of dementia in patients with type 2 diabetes: A nested case–control study. Eur. J. Endocrinol. 2019, 181, 499–507. [Google Scholar] [CrossRef]
  16. Ferreira-Vieira, T.H.; Guimaraes, I.M.; Silva, F.R.; Ribeiro, F.M. Alzheimer’s disease: Targeting the cholinergic system. Curr. Neuropharmacol. 2016, 14, 101–115. [Google Scholar] [CrossRef]
  17. De La Monte, S.M. Contributions of brain insulin resistance and deficiency in amyloid-related neurodegeneration in alzheimer’s disease. Drugs 2012, 72, 49. [Google Scholar] [CrossRef]
  18. Haan, M.N. Therapy insight: Type 2 diabetes mellitus and the risk of late-onset alzheimer’s disease. Nat. Clin. Pract. Neurol. 2006, 2, 159–166. [Google Scholar] [CrossRef]
  19. Ristow, M. Neurodegenetive disorders associated with diabetes mellitus. J. Mol. Med. 2004, 82, 510–529. [Google Scholar] [CrossRef]
  20. Kroner, Z. The relationship between alzheimer’s disease and diabetes: Type 3 diabetes? Altern. Med. Rev. 2009, 14, 373–379. [Google Scholar]
  21. Dey, L.; Attele, A.S.; Yuan, C.-S. Type 2 diabetes alternative therapies for type 2 diabetes. Altern. Med. Rev. 2002, 7, 45–58. [Google Scholar]
  22. Rashed, K.N.; Ćirić, A.; Glamočlija, J.; Calhelha, R.C.; Ferreira, I.C.; Soković, M. Identification of the bioactive constituents and the antibacterial, antifungal and cytotoxic activities of different fractions from Cestrum nocturnum L. Jordan J. Biol. Sci. 2018, 11, 273–279. [Google Scholar]
  23. Al-Reza, S.M.; Rahman, A.; Cho, Y.S.; Kang, S.C. Chemical composition and antioxidant activity of essential oil and organic extracts of Cestrum nocturnum L. J. Essent. Oil-Bear. Plants 2010, 13, 615–624. [Google Scholar] [CrossRef]
  24. Rokade, P.; Rokade, D.; Dhekale, P. Extraction and antimicrobial activity of Cestrum nocturnum. Int. J. Adv. Res. 2018, 6, 739–741. [Google Scholar] [CrossRef] [PubMed]
  25. Avijit, M.; Bhatt, A.; Bonde, V.; Shaikh, A.; Rupa, M. Screening of the leaves of Cestrum nocturnum for its antipyretic analgesic, and anti-inflammatory activities. Niger. J. Nat. Prod. Med. 2010, 13, 36–40. [Google Scholar] [CrossRef]
  26. Imran Qadir, M.; Al Murad, M.S.; Ali, M.; Saleem, M.; Ahmad Farooqi, A. hepatoprotective effect of leaves of aqueous ethanol extract of cestrum nocturnum against paracetamol-induced hepatotoxicity. Bangladesh J. Pharmacol. 2014, 9, 167–170. [Google Scholar] [CrossRef]
  27. Sahane, R.S.; Wankhade, P.A.; Shrungarpure, M.A. Pharmacological and phytochemical investigation of Cestrum nocturnum leaf extract for antihyperglycemic and antihyperlipidemic activity. Int. J. Res. Pharmacol. Pharmacother. 2014, 3, 255–268. [Google Scholar]
  28. Kamboj, A.; Kumar, S.; Kumar, V. Evaluation of antidiabetic activity of hydroalcoholic extract of Cestrum nocturnum leaves in streptozotocin-induced diabetic rats. Adv. Pharmacol. Sci. 2013, 2013, 150401. [Google Scholar] [CrossRef]
  29. Dobros, N.; Zawada, K.; Paradowska, K. Phytochemical Profile and Antioxidant Activity of Lavandula angustifolia and Lavandula x intermedia Cultivars Extracted with Different Methods. Antioxidants 2022, 11, 711. [Google Scholar] [CrossRef]
  30. Costea, L.; Chițescu, C.L.; Boscencu, R.; Ghica, M.; Lupuliasa, D.; Mihai, D.P.; Deculescu-Ioniță, T.; Duțu, L.E.; Popescu, M.L.; Luță, E.-A.; et al. The Polyphenolic Profile and Antioxidant Activity of Five Vegetal Extracts with Hepatoprotective Potential. Plants 2022, 11, 1680. [Google Scholar] [CrossRef]
  31. Gordon, M.H. The mechanism of antioxidant action in vitro. In Food Antioxidants; Springer: Dordrecht, The Netherlands, 1990; pp. 1–18. [Google Scholar] [CrossRef]
  32. Hashim, A.; Khan, M.S.; Khan, M.S.; Baig, M.H.; Ahmad, S. Antioxidant and α-amylase inhibitory property of Phyllanthus virgatus L.: An in vitro and molecular interaction study. Biomed Res. Int. 2013, 2013, 729393. [Google Scholar] [CrossRef]
  33. Kamboj, S.S.; Sandhir, R. Protective effect of n-acetylcysteine supplementation on mitochondrial oxidative stress and mitochondrial enzymes in cerebral cortex of streptozotocin-treated diabetic rats. Mitochondrion 2011, 11, 214–222. [Google Scholar] [CrossRef] [PubMed]
  34. Larger, É. Diabetes and Cognitive Decline; Alzheimer’s Association: Chicago, IL, USA, 2018; Volume 22, pp. 165–168. [Google Scholar]
  35. Lee, H.J.; Seo, H.I.; Cha, H.Y.; Yang, Y.J.; Kwon, S.H.; Yang, S.J. Diabetes and alzheimer’s disease: Mechanisms and nutritional aspects. Clin. Nutr. Res. 2018, 7, 229. [Google Scholar] [CrossRef] [PubMed]
  36. Hashim, A.; Alvi, S.S.; Ansari, I.A.; Salman Khan, M. Phyllanthus virgatus forst extract and it’s partially purified fraction ameliorates oxidative stress and retino-nephropathic architecture in streptozotocin-induced diabetic rats. Pak. J. Pharm. Sci. 2019, 32, 2697–2708. [Google Scholar] [CrossRef]
  37. Nabi, R.; Alvi, S.S.; Khan, R.H.; Ahmad, S.; Ahmad, S.; Khan, M.S. Antiglycation study of hmg-r inhibitors and tocotrienol against glycated bsa and ldl: A comparative study. Int. J. Biol. Macromol. 2018, 116, 983–992. [Google Scholar] [CrossRef]
  38. Ahmad, P.; Alvi, S.S.; Khan, M.S. Functioning of organosulfur compounds from garlic (Allium sativum linn) in targeting risk factor-mediated atherosclerosis: A cross talk between alternative and modern medicine. In Natural Bio-Active Compounds; Springer: Singapore, 2019; pp. 561–585. [Google Scholar]
  39. Iqbal, D.; Khan, M.S.; Waiz, M.; Rehman, M.T.; Alaidarous, M.; Jamal, A.; Alothaim, A.S.; Alajmi, M.F.; Alshehri, B.M.; Banawas, S.; et al. Exploring the binding pattern of geraniol with acetylcholinesterase through in silico docking, molecular dynamics simulation, and in vitro enzyme inhibition kinetics studies. Cells 2021, 10, 3533. [Google Scholar] [CrossRef]
  40. Haggag, M.I. Phytochemical profile for Cestrum nocturnum leaves ethanolic extract and isolation of a rare flavonoid using different chromatographic and spectroscopic techniques. J. Med. Plants Stud. 2022, 10, 143–150. [Google Scholar] [CrossRef]
  41. Dai, J.; Mumper, R.J. Plant Phenolics: Extraction, analysis and their antioxidant and anticancer properties. Molecules 2010, 15, 7313–7352. [Google Scholar] [CrossRef]
  42. Iqbal, D.; Khan, A.; Ansari, I.A.; Khan, M.S. Investigating the role of novel bioactive compound from Ficus virens ait on cigarette smoke induced oxidative stress and hyperlipidemia in rats. Iran. J. Pharm. Res. 2017, 16, 1091–1105. [Google Scholar] [CrossRef]
  43. Ahmad, P.; Alvi, S.S.; Iqbal, D.; Khan, M.S. Insights into pharmacological mechanisms of polydatin in targeting risk factors-mediated atherosclerosis. Life Sci. 2020, 254, 117756. [Google Scholar] [CrossRef]
  44. Keshari, A.K.; Srivastava, A.; Upadhayaya, M.; Srivastava, R. Antioxidants and free radicals scavenging activity of medicinal plants. J. Pharmacogn. Phytochem. 2018, 7, 1499–1504. [Google Scholar]
  45. Salman, Z.O.; Alwash, B.M.J.; Kadhim, E.J. Effect of essential oil of Cestrum nocturnum flowers cultivated in iraq as antioxidant and elongation cold storage period of minced meat. Iraqi J. Agric. Sci. 2019, 50, 601–607. [Google Scholar]
  46. Tundis, R.; Loizzo, M.R.; Menichini, F. Natural products as α-amylase and α-glucosidase inhibitors and their hypoglycaemic potential in the treatment of diabetes: An update. Mini-Rev. Med. Chem. 2010, 10, 315–331. [Google Scholar] [CrossRef]
  47. Balfour, J.A.; McTavish, D. Acarbose: An update of its pharmacology and therapeutic use in diabetes mellitus. Drugs 1993, 46, 1025–1054. [Google Scholar] [CrossRef] [PubMed]
  48. De Oliveira, M.S.; Almeida, M.M.; de los Angeles Rodriguez Salazar, M.; Pires, F.C.S.; Bezerra, F.W.F.; Cunha, V.M.B.; Cordeiro, R.M.; Urbina, G.R.O.; da Silva, M.P.; Souza e Silva, A.P.; et al. Potential of medicinal use of essential oils from aromatic plants. In Potential of Essential Oils; InTech: London, UK, 2018. [Google Scholar]
  49. Moreira, P.I. Alzheimer’s Disease and Diabetes: An integrative view of the role of mitochondria, oxidative stress, and insulin. J. Alzheimer’s Dis. 2012, 30, S199–S215. [Google Scholar] [CrossRef] [PubMed]
  50. Ahmad, S.; Nabi, R.; Alvi, S.S.; Khan, M.; Khan, S.; Khan, M.Y.; Hussain, I.; Shahanawaz, S.D.; Khan, M.S. Carvacrol protects against carbonyl osmolyte-induced structural modifications and aggregation to serum albumin: Insights from physicochemical and molecular interaction studies. Int. J. Biol. Macromol. 2022, 213, 663–674. [Google Scholar] [CrossRef]
  51. Türkan, F.; Taslimi, P.; Saltan, F.Z. Tannic acid as a natural antioxidant compound: Discovery of a potent metabolic enzyme inhibitor for a new therapeutic approach in diabetes and alzheimer’s disease. J. Biochem. Mol. Toxicol. 2019, 33, e22340. [Google Scholar] [CrossRef] [PubMed]
  52. Nathan, D.M.; Buse, J.B.; Davidson, M.B.; Ferrannini, E.; Holman, R.R.; Sherwin, R.; Zinman, B. Medical Management of hyperglycemia in type 2 diabetes: A consensus algorithm for the initiation and adjustment of therapy: A consensus statement of the american diabetes association and the european association for the study of diabetes. Diabetes Care 2009, 32, 193. [Google Scholar] [CrossRef] [PubMed]
  53. Campbell, J.M.; Stephenson, M.D.; De Courten, B.; Chapman, I.; Bellman, S.M.; Aromataris, E. Metformin use associated with reduced risk of dementia in patients with diabetes: A systematic review and meta-analysis. J. Alzheimer’s Dis. 2018, 65, 1225–1236. [Google Scholar] [CrossRef] [PubMed]
  54. Michailidis, M.; Tata, D.A.; Moraitou, D.; Kavvadas, D.; Karachrysafi, S.; Papamitsou, T.; Vareltzis, P.; Papaliagkas, V. Antidiabetic drugs in the treatment of alzheimer’s disease. Int. J. Mol. Sci. 2022, 23, 4641. [Google Scholar] [CrossRef]
  55. Chaudhury, A.; Duvoor, C.; Dendi, V.S.R.; Kraleti, S.; Chada, A.; Ravilla, R.; Marco, A.; Shekhawat, N.S.; Montales, M.T.; Kuriakose, K.; et al. Clinical review of antidiabetic drugs: Implications for type 2 diabetes mellitus management. Front. Endocrinol. 2017, 8, 6. [Google Scholar] [CrossRef]
  56. Colovic, M.B.; Krstic, D.Z.; Lazarevic-Pasti, T.D.; Bondzic, A.M.; Vasic, V.M. Acetylcholinesterase inhibitors: Pharmacology and toxicology. Curr. Neuropharmacol. 2013, 11, 315. [Google Scholar] [CrossRef] [PubMed]
  57. Kidane, Y.; Bokrezion, T.; Mebrahtu, J.; Mehari, M.; Gebreab, Y.B.; Fessehaye, N.; Achila, O.O. In vitro inhibition of α-amylase and α-glucosidase by extracts from Psiadia punctulata and Meriandra bengalensis. Evid.-Based Complement. Altern. Med. 2018, 2018, 2164345. [Google Scholar] [CrossRef] [PubMed]
  58. Iftikhar, H.; Ahmed, D.; Qamar, M.T. Study of phytochemicals of Melilotus indicus and alpha-amylase and lipase inhibitory activities of its methanolic extract and fractions in different solvents. ChemistrySelect 2019, 4, 7679–7685. [Google Scholar] [CrossRef]
  59. Ávila-Alvarez, K.T.; Chávez-González, M.L.; Segura-Ceniceros, E.P.; Martínez-Hernández, J.L.; Arredondo-Valdes, R.; Govea-Salas, M.; Nava-Reyna, E.; Ilyina, A.; Ramos-González, R. Trends in the enzymatic inhibition by natural extracts: A health and food science and technology approach. In Value-Addition in Food Products and Processing Through Enzyme Technology; Academic Press: Cambridge, MA, USA, 2022; pp. 413–425. [Google Scholar] [CrossRef]
  60. Rodriguez, J.M.G.; Towns, M.H. Analysis of student reasoning about michaelis–menten enzyme kinetics: Mixed conceptions of enzyme inhibition. Chem. Educ. Res. Pract. 2019, 20, 428–442. [Google Scholar] [CrossRef]
  61. Mimaki, Y.; Watanabe, K.; Ando, Y.; Sakuma, C.; Sashida, Y.; Furuya, S.; Sakagami, H. Flavonol Glycosides and Steroidal Saponins from the Leaves of Cestrum Nocturnum and Their Cytotoxicity. J. Nat. Prod. 2001, 64, 17–22. [Google Scholar] [CrossRef]
  62. Chaskar, P.K.; Tank, S.H.; Doshi, G.M. Gas Chromatography-Mass Spectroscopy Studies on Cestrum nocturnum Macerated Methanolic Extract. Asian J. Pharm. Clin. Res. 2017, 10, 259–263. [Google Scholar] [CrossRef]
  63. Harborne, J.B. Phytochemical Methods: A Guide to Modern Techniques of Plant Analysis; Chapman and Hall: London, UK, 1998; ISBN 9780412572609. [Google Scholar]
  64. Brand-Williams, W.; Cuvelier, M.E.; Berset, C. Use of a free radical method to evaluate antioxidant activity. LWT—Food Sci. Technol. 1995, 28, 25–30. [Google Scholar] [CrossRef]
  65. Re, R.; Pellegrini, N.; Proteggente, A.; Pannala, A.; Yang, M.; Rice-Evans, C. Antioxidant activity applying an improved ABTS radical cation decolorization assay. Free Radic. Biol. Med. 1999, 26, 1231–1237. [Google Scholar] [CrossRef]
  66. Benzie, I.F.F.; Strain, J.J. The ferric reducing ability of plasma (frap) as a measure of “antioxidant power”: The frap assay. Anal. Biochem. 1996, 239, 70–76. [Google Scholar] [CrossRef]
  67. Ellman, G.L.; Courtney, K.D.; Andres, V.; Featherstone, R.M. A New and Rapid colorimetric determination of acetylcholinesterase activity. Biochem. Pharmacol. 1961, 7, 88–95. [Google Scholar] [CrossRef]
  68. Burley, S.K.; Bhikadiya, C.; Bi, C.; Bittrich, S.; Chen, L.; Crichlow, G.V.; Christie, C.H.; Dalenberg, K.; Di Costanzo, L.; Duarte, J.M.; et al. RCSB Protein Data Bank: Powerful new tools for exploring 3d structures of biological macromolecules for basic and applied research and education in fundamental biology, biomedicine, biotechnology, bioengineering and energy sciences. Nucleic Acids Res. 2021, 49, d437–d451. [Google Scholar] [CrossRef] [PubMed]
  69. Jiménez, J.; Doerr, S.; Martínez-Rosell, G.; Rose, A.S.; De Fabritiis, G. DeepSite: Protein-binding site predictor using 3d-convolutional neural networks. Bioinformatics 2017, 33, 3036–3042. [Google Scholar] [CrossRef] [PubMed]
  70. Forli, S.; Huey, R.; Pique, M.E.; Sanner, M.F.; Goodsell, D.S.; Olson, A.J. Computational protein–ligand docking and virtual drug screening with the autodock suite. Nat. Protoc. 2016, 11, 905–919. [Google Scholar] [CrossRef] [PubMed]
  71. Daina, A.; Michielin, O.; Zoete, V. SwissADME: A free web tool to evaluate pharmacokinetics, drug-likeness and medicinal chemistry friendliness of small molecules. Sci. Rep. 2017, 7, 42717. [Google Scholar] [CrossRef]
  72. Banerjee, P.; Eckert, A.O.; Schrey, A.K.; Preissner, R. Protox-ii: A webserver for the prediction of toxicity of chemicals. Nucleic Acids Res. 2018, 46, w257–w263. [Google Scholar] [CrossRef]
  73. Rizvi, S.M.D.; Shakil, S.; Haneef, M. A simple click by click protocol to perform docking: Autodock 4.2 made easy for non-bioinformaticians. EXCLI J. 2013, 12, 830–857. [Google Scholar]
Figure 1. Free radical scavenging and antioxidant potential of different extracts of the leaves of C. nocturnum measured using the DPPH and ABTS assays. Bar graph represents the % inhibition of radicals. The values are represented as mean ± SD of data from triplicate assays.
Figure 1. Free radical scavenging and antioxidant potential of different extracts of the leaves of C. nocturnum measured using the DPPH and ABTS assays. Bar graph represents the % inhibition of radicals. The values are represented as mean ± SD of data from triplicate assays.
Plants 12 01206 g001
Figure 2. Ferric reducing antioxidant power (FRAP) and total phenolic content (TPC) of C. nocturnum leaf extracts. The values are represented as mean ± SD of data from three parallel assays.
Figure 2. Ferric reducing antioxidant power (FRAP) and total phenolic content (TPC) of C. nocturnum leaf extracts. The values are represented as mean ± SD of data from three parallel assays.
Plants 12 01206 g002
Figure 3. In vitro inhibition of α-amylase and acetylcholine esterase (AChE) activities by C. nocturnum leaf extracts. The MeOH extract was the most potent in inhibiting α-amylase. Bar graph represents the % inhibition of α-amylase and AChE. The values are represented as mean ± SD of data from triplicate assay.
Figure 3. In vitro inhibition of α-amylase and acetylcholine esterase (AChE) activities by C. nocturnum leaf extracts. The MeOH extract was the most potent in inhibiting α-amylase. Bar graph represents the % inhibition of α-amylase and AChE. The values are represented as mean ± SD of data from triplicate assay.
Plants 12 01206 g003
Figure 4. Kinetics of α-amylase and AChE inhibition by the MeOH extract of leaves of C. nocturnum and standard drugs (acarbose and tacrine). Kinetics of inhibition of α-amylase (A) and AChE (B). Different concentrations of substrate and inhibitors were used to evaluate the mode of inhibition. The Lineweaver–Burk plot was plotted using the 1/S vs. 1/V values. The plots show that the MeOH extract inhibits the α-amylase and AChE activities in a noncompetitive and competitive manner, respectively.
Figure 4. Kinetics of α-amylase and AChE inhibition by the MeOH extract of leaves of C. nocturnum and standard drugs (acarbose and tacrine). Kinetics of inhibition of α-amylase (A) and AChE (B). Different concentrations of substrate and inhibitors were used to evaluate the mode of inhibition. The Lineweaver–Burk plot was plotted using the 1/S vs. 1/V values. The plots show that the MeOH extract inhibits the α-amylase and AChE activities in a noncompetitive and competitive manner, respectively.
Plants 12 01206 g004
Figure 5. Molecular binding patterns within the active pocket of α-amylase crystal structure. Panel (A): 2-D ball and stick model representation. Panel (B): The binding pattern representation on protein surface. Panel (C): Interaction of inhibitor with α-amylase surrounded by α-helix and β-sheet conformations.
Figure 5. Molecular binding patterns within the active pocket of α-amylase crystal structure. Panel (A): 2-D ball and stick model representation. Panel (B): The binding pattern representation on protein surface. Panel (C): Interaction of inhibitor with α-amylase surrounded by α-helix and β-sheet conformations.
Plants 12 01206 g005
Figure 6. Molecular binding patterns within the active pocket of AChE crystal structure. Panel (A): 2-D ball and stick model representation. Panel (B): The binding pattern representation on protein surface. Panel (C): Interaction of inhibitor with AChE surrounded by α-helix and β-sheet conformations.
Figure 6. Molecular binding patterns within the active pocket of AChE crystal structure. Panel (A): 2-D ball and stick model representation. Panel (B): The binding pattern representation on protein surface. Panel (C): Interaction of inhibitor with AChE surrounded by α-helix and β-sheet conformations.
Plants 12 01206 g006
Table 1. %Yield of phytochemicals in different extracts of the leaves of C. nocturnum.
Table 1. %Yield of phytochemicals in different extracts of the leaves of C. nocturnum.
Extract%Yield Leaf Extract
n-Hexane1.44
Dichloromethane1.9
Ethyl acetate0.71
Methanol7.63
Aqueous6.38
Table 2. Phytochemical profiling of different C. nocturnum leaf extracts.
Table 2. Phytochemical profiling of different C. nocturnum leaf extracts.
Phytochemicalsn-HexaneEtOAcDCMMeOHAqueous
Cardiac glycosides++++
Steroids++
Phenols++++++++
Flavonoids++++++
Tannins+++++
Saponins+++++
Terpenoids+
Quinone++++++++
Coumarins++++++
Phlobatannins
Anthocyanin+
Table 3. IC50 values of the extracts of C. nocturnum leaf against DPPH, ABTS, α-amylase, and AChE inhibition.
Table 3. IC50 values of the extracts of C. nocturnum leaf against DPPH, ABTS, α-amylase, and AChE inhibition.
ActivityPlant Extract/StandardIC50 (µg/mL)
DPPHn-Hexane185.67 ± 0.81
DCMNS
EtOAcNS
MeOH39.12 ± 0.53
Aq.NS
Ascorbic acid15.12 ± 0.65
ABTSn-Hexane79.13 ± 0.51
DCMNS
EtOAc50.41 ± 0.76
MeOH20.94 ± 0.82
Aq.56.73 ± 0.56
Ascorbic acid22.76 ± 0.43
α-amylase inhibitionn-HexaneNS
DCMNS
EtOAcNS
MeOH188.77 ± 1.67
Aq.NS
Acarbose41.54 ± 0.54
Acetylcholinesterase inhibitionn-HexaneNS
DCMNS
EtOAcNS
MeOH239.44 ± 0.93
Aq.NS
Tacrine4.03 ± 0.47
Table 4. GC-MS predicted compounds with their molecular weight, formula, peak area (%), and respective PubChem IDs.
Table 4. GC-MS predicted compounds with their molecular weight, formula, peak area (%), and respective PubChem IDs.
S. NoR.T 1CompoundPubChem IDMolecular FormulaMolecular WeightArea %
120.0581-Hexadecanol2682C16H34O2422.31
220.238p-Chloromethoxybenzene12,167C7H7ClO1421.53
321.753Hexaglycerine6510C6H14O313414.46
423.2342,4-Di-tert-butylphenol7311C14H22O20620.05
523.8178-Methylpeptadiecance292,723C18H382540.50
625.408Precocene I28,619C12H14O219018.74
729.310DL-Arabinose854C5H10O51504.11
830.011Behenic alcohol12,620C22H46O3261.87
931.471Phthalic acid, diisobutyl ester6782C16H22O42781.85
1032.4577,9-Di-tert-butyl-1-oxaspiro (4,5) deca-6,9-diene-2,8-dione545,303C17H24O32761.56
1132.835Hexadecanoic acid, methyl ester8181C17H34O22701.63
1232.940Methyl 3-(3,5-ditert-butyl-4-hydroxyphenyl) propanoate62,603C18H28O32926.73
1333.482Dibutyl phthalate3026C16H22O42782.44
1444.4872-Palmitoylglycerol123,409C19H38O43301.18
1547.464Docosanoic anhydride566,696C44H86O36622.34
1650.251Dimethyl Eicosanedioate566,668C22H42O43703.70
1752.870Tetracontanedioic acid, dimethyl ester566,763C42H82O46502.77
1855.677Docosanoic acid8215C22H44O23401.49
1955.7902,4,6-Trichlorobenzoic acid5764C7H3Cl3O22240.18
2056.753Sebacic acid, di(4-bromo-2,6-difluorobenzyl) ester91,729,085C24H24Br2F4O46100.57
2159.743Beta-Sitosterol trimethylsilyl ether14,429,144C32H58OSi4860.10
2260.173Tris(2,4-di-tert-butylphenyl) phosphate14,572,930C42H63O4P6620.45
2361.523Methyl 22-hydroxydocosanoate13,406,065C23H46O33700.32
1 Retention time.
Table 5. Chemical properties of GC-MS predicted compounds of C. nocturnum.
Table 5. Chemical properties of GC-MS predicted compounds of C. nocturnum.
S. No.Compound NamePubChem ID (CID)Log P 1TPSA 2
2)
BBB 3HIA 4HBA 5HBD 6Rotatable BondsViolation
11-Hexadecanol26824.4120.23YesHigh11141
2p-Chloromethoxybenzene12,1672.189.23NoHigh1011
3Hexaglycerine65101.2660.69NoHigh3340
42,4-Di-tert-butylphenol73113.0820.23YesHigh1120
58-Methylpeptadicance292,7235.130YesLow00140
6Precocene I28,6192.7418.46YesHigh2010
7DL-Arabinose8540.197.99NoLow5440
8Behenic alcohol12,6205.7320.23NoLow11201
9Phthalic acid, diisobutyl ester67823.3152.6YesHigh4080
107,9-Di-tert-butyl-1-oxaspiro (4,5) deca-6,9-diene-2,8-dione545,3032.9143.37YesHigh3020
11Hexadecanoic acid, methyl ester81814.4126.3YesHigh20151
12Methyl 3-(3,5-ditert-butyl-4-hydroxyphenyl) propanoate62,6033.7546.53YesHigh3160
13Dibutyl phthalate30262.9752.6YesHigh40100
142-Palmitoylglycerol123,4094.566.76YesHigh42180
15Docosanoic anhydride566,69610.443.37NoLow30422
16Dimethyl Eicosanedioate566,6685.2752.6NoHigh40211
17Tetracontanedioic acid, dimethyl ester566,76310.0652.6NoLow40412
18Docosanoic acid82155.2637.3NoLow21201
192,4,6-Trichlorobenzoic acid57641.6237.3YesHigh2110
20Sebacic acid, di(4-bromo-2,6-difluorobenzyl) ester91,729,0855.4252.6NoLow80152
21Beta-Sitosterol trimethylsilyl ether14,429,1446.369.23NoLow1081
22Tris(2,4-di-tert-butylphenyl) phosphate14,572,9306.9354.57NoLow40122
23Methyl 22-hydroxydocosanoate13,406,0655.846.53NoLow31221
24Tacrine19352.0938.91YesHigh1100
25Acarbose41,7741.43321.17NoLow191493
1 Log P, octanol–water partition coefficient; 2 TPSA, topological polar surface area; 3 BBB, blood–brain barrier; 4 HIA, human intestinal absorption; 5 HBA, hydrogen-bond acceptor; 6 HBD, hydrogen-bind acceptor.
Table 6. Toxicity of the selected compounds.
Table 6. Toxicity of the selected compounds.
S. No.Compound NamePubChem ID (CID)LD50 (mg/kg)Toxicity ClassHepatotoxicityCarcinogenicityImmunogenicityMutagenicityCytotoxicity
11-Hexadecanol268210004InactiveInactiveInactiveInactiveInactive
22,4-Di-tert-butylphenol73117004InactiveInactiveInactiveInactiveInactive
32,4,6-Trichlorobenzoic acid57648304InactiveInactiveInactiveInactiveInactive
42-Palmitoylglycerol123,40950005InactiveInactiveInactiveInactiveInactive
57,9-Di-tert-butyl-1-oxaspiro (4,5) deca-6,9-diene-2,8-dione545,3039004InactiveInactiveInactiveInactiveInactive
6Hexadecanoic acid, methyl ester818150005InactiveInactiveInactiveInactiveInactive
7Dimethyl Eicosanedioate566,66850005InactiveInactiveInactiveInactiveInactive
8Hexaglycerine651012,9806InactiveInactiveInactiveInactiveInactive
9Methyl 22-hydroxydocosanoate13,406,06550005InactiveInactiveInactiveInactiveInactive
10Dibutyl phthalate302634745InactiveActiveInactiveInactiveInactive
12Phthalic acid, diisobutyl ester678210,0006InactiveActiveInactiveInactiveInactive
13p-Chloromethoxybenzene12,1673184InactiveActiveInactiveInactiveInactive
14Precocene I28,6195004InactiveActiveActiveInactiveInactive
Table 7. Amino acid residues within the active pocket of α-amylase predicted to interact with the selected compounds.
Table 7. Amino acid residues within the active pocket of α-amylase predicted to interact with the selected compounds.
S. No.Compound NameCIDBinding EnergyInhibition ConstantInteracting Amino Acid
11- Hexadecanol2682−4.47529.44 µMGln63, Gly104, Thr163, Trp59, Lue165, His101, Glu233, Ser199, Val234, Lys200, Ile235, His201, Leu162, Asp197, Ala198, Tyr62.
22,4,6-Trichlorobenzoic acid5764−4.77319.09 µMAsp197, His201, Tyr151, Lys200, Leu162, Val234, Ala198, Glu233, Ile235,
3Hexaglycerine6510−3.184.68 mMLys178, Ala128, Tyr67, Ser66, Val129, Lys68, Tyr182, Glu181,
42,4 di-tert-butylphenol7311−5.5486.69 µMTyr62, His299, Trp59, Leu165, Gln63, His101, Leu162, Ala198, Glu233, Asp197, Arg195, Asp300, Trp58,
5Palmitic acid Methyl ester8181−3.602.28 mMGln63, Trp59, Trp58, Asp356, Arg303, His305, Trp357, Leu165, Asp300, Leu162, His299, Arg195, Asp197, Tyr62
62-palmitoylglycerol123,409−4.011.15 mMHis101, His299, Tyr62, Leu162, Leu165, Gln63, Asp300, Trp59, Trp357, Asp356, Arg303, Trp58, His305, Glu233, Arg195, Ala198, Asp197
77,9-Di-tert-butyl-1-oxaspiro [4.5] deca-6,9-diene-2,8-dione545303−6.2327.20 µMLeu165, Gln63, Thr163, Trp58, Trp59, Asp300, His299, Arg195, Tyr62
8Dimethyl Eicosanedioate566,668−4.13940.74 µMGly104, Thr163, Leu165, Tyr62, Gln63, Trp59, Ala50, Val107, Tyr52, Ala106, Ile51, Asn53, Val59, Ser108
9Methyl 22-hydroxydocosanoate13,406,065−3.105.13 mMIle51, Asn53, Tyr52, Val107, Glu233, Asp197, Arg195, Ala198, Leu162, His101, Leu165, Tyr62, Trp59, Thr163, Gln63, Gly104
10Acarbose *41,774−2.7110.28 mMAsp300, Trp58, Leu165, Gly164, Asn105, Gly104, Ala106, Val107, Ile51, Trp59, Gln63, Thr163, Leu162, Asp197, Ala198, His201. Ile235, Glu233, Asn298, Arg195
11Starch #51,003,661−2.799.06 mMAsn53, Ser108, Tyr52, Val107, Ala50, Ser112, Ala106, Val49, Ile51,Gly104, Gln63, Trp59, Pro54
* Standard inhibitor; # Standard substrate.
Table 8. Amino acid residues within the active pocket of acetylcholinesterase (AChE) predicted to interact with the selected compounds.
Table 8. Amino acid residues within the active pocket of acetylcholinesterase (AChE) predicted to interact with the selected compounds.
S. No.Compound NameCIDBinding EnergyInhibition ConstantInteracting Amino Acid
11-Hexadecanol2682−5.8849.30 µMSer200, Glu199, His440, Tyr442, Phe330, Ile439, Tyr334, Ser81, Gly80, Trp432, Ile444, Trp84, Gly441, Ser122, Tyr121, Gly118, Tyr130, Gly117
22,4,6-Trichlorobenzoic acid5764−5.21152.67 µMGly441, Trp432, Ile439, Ser81, Gly80, Tyr442, Tyr334, Asp72, Trp84, His440, Phe330,
3Hexaglycerine6510−3.323.66 mMIle287, Phe290, Ser286, Arg289, Phe288, Leu282, Trp279, Tyr334, Phe331
42,4 di-tert-butylphenol7311−7.205.24 µMGly441, Phe330, His440, Ile439, Met436, Tyr442, Tyr334, Trp432, Ser81, Gly80, Trp84, Gly118
5Palmitic acid Methyl ester8181−6.1431.79 µMGly118, Asn85, Asp72, Tyr70, Tyr181, Ser122, Tyr334, Trp432, Trp84, Glu199, His440, Tyr442, Ser81, Gly80, Ile439, Gly441, Phe330
62-palmitoylglycerol123,409−5.10182.70 µMTyr121, Asp72, Tyr334, Tyr70, Phe290, Ser286, Ile287, Phe288, Arg289, Phe330, Phe331, Gly123, Trp279, Leu127, Ser124, Gly177, Ser122, Gly118, Trp84,
77,9-Di-tert-butyl-1-oxaspiro [4.5] deca-6,9-diene-2,8-dione545,303−8.76376.56 nMSer122, Asp72, Asn85, Trp84, Ser81, Gly80, Phe330, Tyr334, Tyr442, Trp432, Ile439, Ser200, His440, Glu199, Ile444, Gly441, Tyr121,
8Dimethyl Eicosanedioate566,668−6.6214.01 µMGlu199, Ile444, Gly117, Tyr130, Gly118, Ser200, His440, Trp84, Gly119, Phe330, Tyr334, Tyr121, Asp72, Trp279, Phe290, Ser291, Leu282, Arg289, Phe288, Ile287, Phe331, Tyr70
9Methyl 22-hydroxydocosanoate13,406,065−6.1630.33 µMArg289, Gly335, Ile287, Asp72, Glu199, Ser200, His440, Gly441, Ile439, Trp84, Gly80, Ser81, Tyr442, Phe330, Trp432, Tyr334, Tyr70, Trp279, Tyr121, Phe331, Leu282, Ser286
10Tacrine *1935 *−8.26887.31 nMTyr442, Gly441, Ser200, Glu199, Gly118, Trp84, Asp72, Ser81, Gly80, Tyr334, Trp432, Phe330, Ile439, His440
11Acetylcholine Iodide #187−4.78314.07 µMPhe330, Trp432, Met436, Ile439, Tyr442, His440, Trp84, Asp72, Ser81, Asn85, Tyr334
* Standard inhibitor; # Standard substrate.
Disclaimer/Publisher’s Note: The statements, opinions and data contained in all publications are solely those of the individual author(s) and contributor(s) and not of MDPI and/or the editor(s). MDPI and/or the editor(s) disclaim responsibility for any injury to people or property resulting from any ideas, methods, instructions or products referred to in the content.

Share and Cite

MDPI and ACS Style

Ahmad, S.; Alrouji, M.; Alhajlah, S.; Alomeir, O.; Pandey, R.P.; Ashraf, M.S.; Ahmad, S.; Khan, S. Secondary Metabolite Profiling, Antioxidant, Antidiabetic and Neuroprotective Activity of Cestrum nocturnum (Night Scented-Jasmine): Use of In Vitro and In Silico Approach in Determining the Potential Bioactive Compound. Plants 2023, 12, 1206. https://doi.org/10.3390/plants12061206

AMA Style

Ahmad S, Alrouji M, Alhajlah S, Alomeir O, Pandey RP, Ashraf MS, Ahmad S, Khan S. Secondary Metabolite Profiling, Antioxidant, Antidiabetic and Neuroprotective Activity of Cestrum nocturnum (Night Scented-Jasmine): Use of In Vitro and In Silico Approach in Determining the Potential Bioactive Compound. Plants. 2023; 12(6):1206. https://doi.org/10.3390/plants12061206

Chicago/Turabian Style

Ahmad, Saheem, Mohammed Alrouji, Sharif Alhajlah, Othman Alomeir, Ramendra Pati Pandey, Mohammad Saquib Ashraf, Shafeeque Ahmad, and Saif Khan. 2023. "Secondary Metabolite Profiling, Antioxidant, Antidiabetic and Neuroprotective Activity of Cestrum nocturnum (Night Scented-Jasmine): Use of In Vitro and In Silico Approach in Determining the Potential Bioactive Compound" Plants 12, no. 6: 1206. https://doi.org/10.3390/plants12061206

APA Style

Ahmad, S., Alrouji, M., Alhajlah, S., Alomeir, O., Pandey, R. P., Ashraf, M. S., Ahmad, S., & Khan, S. (2023). Secondary Metabolite Profiling, Antioxidant, Antidiabetic and Neuroprotective Activity of Cestrum nocturnum (Night Scented-Jasmine): Use of In Vitro and In Silico Approach in Determining the Potential Bioactive Compound. Plants, 12(6), 1206. https://doi.org/10.3390/plants12061206

Note that from the first issue of 2016, this journal uses article numbers instead of page numbers. See further details here.

Article Metrics

Back to TopTop