Estimating the Moisture Ratio Model of Cantaloupe Slices by Maximum Likelihood Principle-Based Algorithms
Abstract
:1. Introduction
- An image processing-based cantaloupe drying system was designed to generate the experimental data and the expression of the moisture ratio with regard to the shrinkage in the drying process of cantaloupe slices was built in line with the Weierstrass approximation theorem.
- Through deducing the maximum likelihood fitness, a maximum likelihood principle-based iterative evolution (MLP-IE) algorithm was developed to estimate the moisture ratio model.
- Aiming at enhancing the model fitting ability of the MLP-IE algorithm, a maximum likelihood principle-based improved iterative evolution (MLP-I-IE) algorithm was proposed by designing the improved mutation strategy, the improved scaling factor, and the improved crossover rate.
- The MLP-IE algorithm and MLP-I-IE algorithm were applied for estimating the moisture ratio model of cantaloupe slices. The results showed that both the two proposed algorithms were effective and that the MLP-I-IE algorithm performed better than the MLP-IE algorithm in model estimation and validation.
2. Drying Process of Cantaloupe Slices
2.1. Design of Cantaloupe Microwave Drying System Based on Image Processing
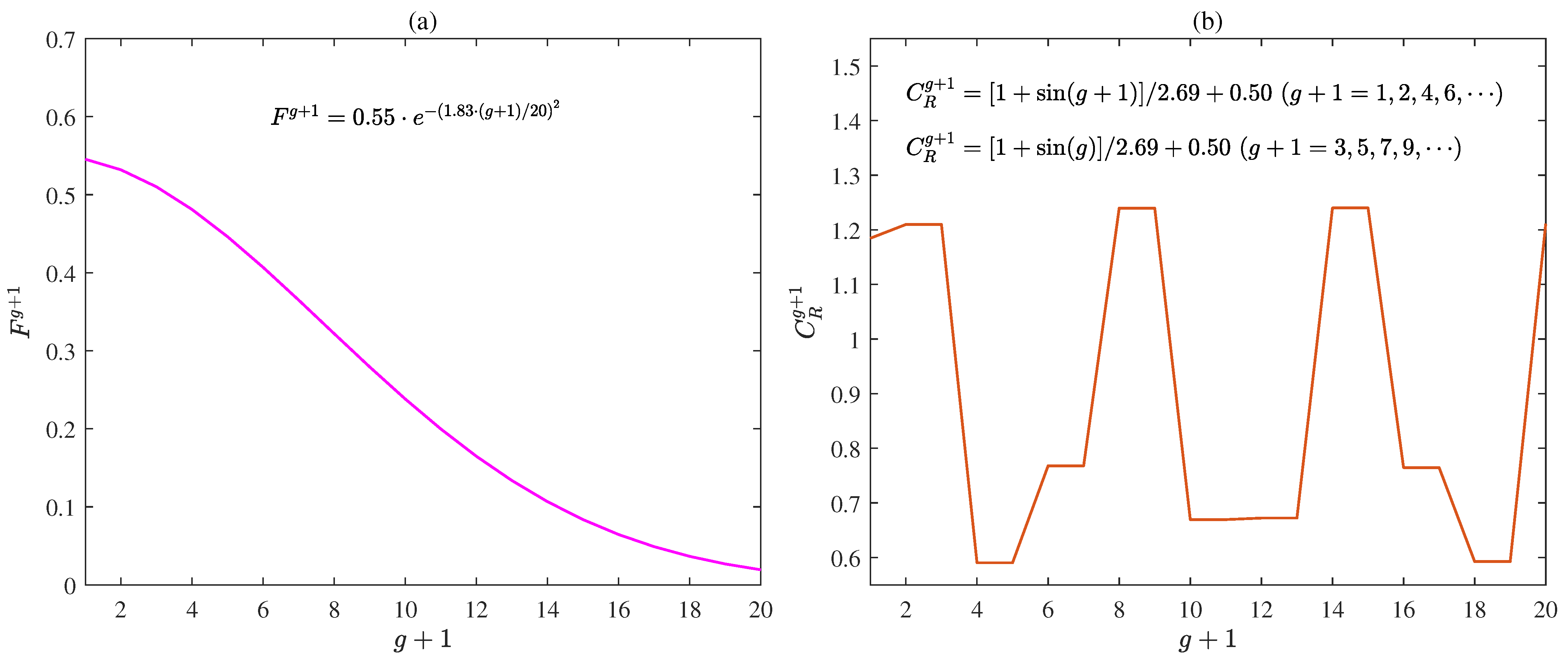
2.2. Moisture Ratio Model of Cantaloupe Slices
3. MLP-IE Algorithm
3.1. Population Initialization
3.2. Mutation Stage
3.3. Crossover Stage
3.4. Derivation of Maximum Likelihood Fitness
3.5. Selection Stage
| Algorithm 1: The pseudo codes of the MLP-IE algorithm |
![]() |
4. MLP-I-IE Algorithm
4.1. Improved Mutation Strategy
4.2. Improved Scaling Factor
4.3. Improved Crossover Rate
| Algorithm 2: The pseudo codes of the MLP-I-IE algorithm |
![]() |
5. Estimation of the Moisture Ratio Model
5.1. Model Estimation
5.2. Model Validation
6. Conclusions
Author Contributions
Funding
Institutional Review Board Statement
Informed Consent Statement
Data Availability Statement
Conflicts of Interest
References
- Manasherova, E.; Cohen, H. A collection of melon (Cucumis melo) fruit cultivars with varied skin appearances provide insight to the contribution of suberin in periderm formation and reticulation. Plants 2022, 11, 1336. [Google Scholar] [CrossRef]
- Cozzolino, E.; Di Mola, I.; Ottaiano, L.; Bilotto, M.; Petriccione, M.; Ferrara, E.; Mori, M.; Morra, L. Assessing Yield and Quality of Melon (Cucumis melo L.) Improved by Biodegradable Mulching Film. Plants 2023, 12, 219. [Google Scholar] [CrossRef]
- Pulela, B.L.; Maboko, M.M.; Soundy, P.; Amoo, S.O. Cultivar and postharvest storage duration influence fruit quality, nutritional and phytochemical profiles of soilless-grown cantaloupe and honeydew melons. Plants 2022, 11, 2136. [Google Scholar] [CrossRef]
- Santo Domingo, M.; Mayobre, C.; Pereira, L.; Argyris, J.; Valverde, L.; Martín-Hernández, A.M.; Garcia-Mas, J.; Pujol, M. Fruit Morphology and Ripening-Related QTLs in a Newly Developed Introgression Line Collection of the Elite Varieties ‘Védrantais’ and ‘Piel de Sapo’. Plants 2022, 11, 3120. [Google Scholar] [CrossRef]
- Adıgüzel, P.; Namlı, M.; Nyirahabimana, F.; Solmaz, İ.; Sarı, N. The Effects of Grafting on Plant, Fruit and Seed Quality in Cantaloupe (Cucumis melo L. var. cantalupensis) Melons. Seeds 2023, 2, 1–14. [Google Scholar] [CrossRef]
- Li, L.; Chen, J.; Duan, X.; Ren, G. Prediction model for moisture content in cantaloupe slices using LF-NMR and different drying methods. Trans. Chin. Soc. Agric. Eng. 2021, 37, 304–312. [Google Scholar]
- Arefi, A.; Sturm, B.; von Gersdorff, G.; Nasirahmadi, A.; Hensel, O. Vis-NIR hyperspectral imaging along with Gaussian process regression to monitor quality attributes of apple slices during drying. LWT 2021, 152, 112297. [Google Scholar] [CrossRef]
- Tao, Y.; Li, D.; Chai, W.S.; Show, P.L.; Yang, X.; Manickam, S.; Xie, G.; Han, Y. Comparison between airborne ultrasound and contact ultrasound to intensify air drying of blackberry: Heat and mass transfer simulation, energy consumption and quality evaluation. Ultrasonics Sonochem. 2021, 72, 105410. [Google Scholar] [CrossRef]
- Raghavan, G.; Silveira, A. Shrinkage characteristics of strawberries osmotically dehydrated in combination with microwave drying. Dry. Technol. 2001, 19, 405–414. [Google Scholar] [CrossRef]
- Chaves, R.P.F.; Araújo, A.L.d.; Lopes, A.S.; Pena, R.d.S. Convective Drying of Purple Basil (Ocimum basilicum L.) Leaves and Stability of Chlorophyll and Phenolic Compounds during the Process. Plants 2022, 12, 127. [Google Scholar] [CrossRef]
- Giri, S.; Prasad, S. Modeling shrinkage and density changes during microwave-vacuum drying of button mushroom. Int. J. Food Prop. 2006, 9, 409–419. [Google Scholar] [CrossRef]
- Hernandez, J.; Pavon, G.; Garcıa, M. Analytical solution of mass transfer equation considering shrinkage for modeling food-drying kinetics. J. Food Eng. 2000, 45, 1–10. [Google Scholar] [CrossRef]
- Frias, A.; Clemente, G.; Mulet, A. Potato shrinkage during hot air drying. Food Sci. Technol. Int. 2010, 16, 337–341. [Google Scholar] [CrossRef]
- Yadollahinia, A.; Latifi, A.; Mahdavi, R. New method for determination of potato slice shrinkage during drying. Comput. Electron. Agric. 2009, 65, 268–274. [Google Scholar] [CrossRef]
- Ramallo, L.A.; Mascheroni, R.H. Effect of shrinkage on prediction accuracy of the water diffusion model for pineapple drying. J. Food Process Eng. 2013, 36, 66–76. [Google Scholar] [CrossRef]
- Bonnet, A.; Herrera, M.M.; Sangnier, M. Maximum Likelihood Estimation for Hawkes Processes with self-excitation or inhibition. Stat. Probab. Lett. 2021, 179, 109214. [Google Scholar] [CrossRef]
- Orellana, R.; Bittner, G.; Carvajal, R.; Agüero, J.C. Maximum Likelihood estimation for non-minimum-phase noise transfer function with Gaussian mixture noise distribution. Automatica 2022, 135, 109937. [Google Scholar] [CrossRef]
- Grosdos, A.; Heaton, A.; Kubjas, K.; Kuznetsova, O.; Scholten, G.; Sorea, M.Ş. Exact solutions in log-concave maximum likelihood estimation. Adv. Appl. Math. 2023, 143, 102448. [Google Scholar] [CrossRef]
- Ramadan, M.S.; Bitmead, R.R. Maximum Likelihood recursive state estimation using the Expectation Maximization algorithm. Automatica 2022, 144, 110482. [Google Scholar] [CrossRef]
- Tong, X.; Gao, F.; Chen, K.; Cai, D.; Sun, J. Maximum likelihood estimation in transformed linear regression with nonnormal errors. Ann. Stat. 2019, 47, 1864–1892. [Google Scholar] [CrossRef]
- Wu, M.W.; Jin, Y.; Li, Y.; Song, T.; Kam, P.Y. Maximum-likelihood, magnitude-based, amplitude and noise variance estimation. IEEE Signal Process. Lett. 2021, 28, 414–418. [Google Scholar] [CrossRef]
- Xie, X.; Katselis, D.; Beck, C.L.; Srikant, R. On the Consistency of Maximum Likelihood Estimators for Causal Network Identification. In Proceedings of the 2020 59th IEEE Conference on Decision and Control (CDC), IEEE, Jeju Island, Republic of Korea, 14–18 December 2020; pp. 990–995. [Google Scholar]
- Çayır, Ö.; Candan, Ç. Maximum likelihood autoregressive model parameter estimation with noise corrupted independent snapshots. Signal Process. 2021, 186, 108118. [Google Scholar] [CrossRef]
- Gao, T.; Li, H.; Gong, M.; Zhang, M.; Qiao, W. Superpixel-based multiobjective change detection based on self-adaptive neighborhood-based binary differential evolution. Expert Syst. Appl. 2023, 212, 118811. [Google Scholar] [CrossRef]
- Li, Y.; Han, T.; Tang, S.; Huang, C.; Zhou, H.; Wang, Y. An improved differential evolution by hybridizing with estimation-of-distribution algorithm. Inf. Sci. 2023, 619, 439–456. [Google Scholar] [CrossRef]
- Wang, Z.J.; Zhou, Y.R.; Zhang, J. Adaptive estimation distribution distributed differential evolution for multimodal optimization problems. IEEE Trans. Cybern. 2020, 52, 6059–6070. [Google Scholar] [CrossRef]
- Guo, X.; Yang, Q.; Zheng, H.; Dong, W. Optimization of power distribution for electrothermal anti-icing systems by differential evolution algorithm. Appl. Therm. Eng. 2022, 221, 119875. [Google Scholar] [CrossRef]
- Houssein, E.H.; Rezk, H.; Fathy, A.; Mahdy, M.A.; Nassef, A.M. A modified adaptive guided differential evolution algorithm applied to engineering applications. Eng. Appl. Artif. Intell. 2022, 113, 104920. [Google Scholar] [CrossRef]
- Wang, C.; Xu, M.; Zhang, Q.; Jiang, R.; Feng, J.; Wei, Y.; Liu, Y. Cooperative co-evolutionary differential evolution algorithm applied for parameters identification of lithium-ion batteries. Expert Syst. Appl. 2022, 200, 117192. [Google Scholar] [CrossRef]
- Kaliappan, P.; Ilangovan, A.; Muthusamy, S.; Sembanan, B. Temperature Control Design with Differential Evolution Based Improved Adaptive-Fuzzy-PID Techniques. Intell. Autom. Soft Comput. 2023, 36, 781–801. [Google Scholar] [CrossRef]
- Stanovov, V.; Akhmedova, S.; Semenkin, E. Dual-Population Adaptive Differential Evolution Algorithm L-NTADE. Mathematics 2022, 10, 4666. [Google Scholar] [CrossRef]
- Xiao, W.; Wang, S.; Yu, C.; Yang, X.; Qiu, J.; Fernandez, C. Online Parameter Identification and State of Charge Estimation of Lithium-Ion Batteries Based on Improved Artificial Fish Swarms Forgetting Factor Least Squares and Differential Evolution Extended Kalman Filter. J. Electrochem. Soc. 2022, 169, 120534. [Google Scholar] [CrossRef]
- Raponi, F.; Moscetti, R.; Chakravartula, S.S.N.; Fidaleo, M.; Massantini, R. Monitoring the hot-air drying process of organically grown apples (cv. Gala) using computer vision. Biosyst. Eng. 2022, 223, 1–13. [Google Scholar] [CrossRef]
- Lin, X.; Sun, D.W. Development of a general model for monitoring moisture distribution of four vegetables undergoing microwave-vacuum drying by hyperspectral imaging. Dry. Technol. 2021, 40, 1478–1492. [Google Scholar] [CrossRef]
- Salehi, F. Recent advances in the modeling and predicting quality parameters of fruits and vegetables during postharvest storage: A review. Int. J. Fruit Sci. 2020, 20, 506–520. [Google Scholar] [CrossRef]
- Kucheryavski, S.; Esbensen, K.H.; Bogomolov, A. Monitoring of pellet coating process with image analysis—A feasibility study. J. Chemom. 2010, 24, 472–480. [Google Scholar] [CrossRef]
- Xu, W.; Islam, M.N.; Cao, X.; Tian, J.; Zhu, G. Effect of relative humidity on drying characteristics of microwave assisted hot air drying and qualities of dried finger citron slices. LWT 2021, 137, 110413. [Google Scholar] [CrossRef]
- Luo, G.; Song, C.; Hongjie, P.; Li, Z.; Xu, W.; Raghavan, G.; Chen, H.; Jin, G. Optimization of the microwave drying process for potato chips based on the measurement of dielectric properties. Dry. Technol. 2019, 37, 1329–1339. [Google Scholar] [CrossRef]












| n | Algorithms | RMSE | ||||||
|---|---|---|---|---|---|---|---|---|
| ine 1 | MLP-IE | −1.1281 | 2.2675 | – | – | 0.9458 | 0.9451 | 0.0637 |
| MLP-I-IE | −1.1187 | 2.2551 | – | – | 0.9460 | 0.9454 | 0.0635 | |
| ine 2 | MLP-IE | −2.0551 | 4.8087 | −1.7074 | – | 0.9623 | 0.9614 | 0.0531 |
| MLP-I-IE | −2.5458 | 6.4070 | −2.8547 | – | 0.9857 | 0.9854 | 0.0327 | |
| ine 3 | MLP-IE | −3.7212 | 12.3373 | −12.4019 | 4.8339 | 0.9806 | 0.9799 | 0.0381 |
| MLP-I-IE | −4.0180 | 12.5609 | −11.1670 | 3.5632 | 0.9923 | 0.9921 | 0.0239 |
| Algorithms | RMSE | ||
|---|---|---|---|
| MLP-IE | 0.9782 | 0.9774 | 0.0404 |
| MLP-I-IE | 0.9920 | 0.9917 | 0.0245 |
Disclaimer/Publisher’s Note: The statements, opinions and data contained in all publications are solely those of the individual author(s) and contributor(s) and not of MDPI and/or the editor(s). MDPI and/or the editor(s) disclaim responsibility for any injury to people or property resulting from any ideas, methods, instructions or products referred to in the content. |
© 2023 by the authors. Licensee MDPI, Basel, Switzerland. This article is an open access article distributed under the terms and conditions of the Creative Commons Attribution (CC BY) license (https://creativecommons.org/licenses/by/4.0/).
Share and Cite
Zhu, G.; Raghavan, G.S.V.; Li, Z. Estimating the Moisture Ratio Model of Cantaloupe Slices by Maximum Likelihood Principle-Based Algorithms. Plants 2023, 12, 941. https://doi.org/10.3390/plants12040941
Zhu G, Raghavan GSV, Li Z. Estimating the Moisture Ratio Model of Cantaloupe Slices by Maximum Likelihood Principle-Based Algorithms. Plants. 2023; 12(4):941. https://doi.org/10.3390/plants12040941
Chicago/Turabian StyleZhu, Guanyu, G. S. V. Raghavan, and Zhenfeng Li. 2023. "Estimating the Moisture Ratio Model of Cantaloupe Slices by Maximum Likelihood Principle-Based Algorithms" Plants 12, no. 4: 941. https://doi.org/10.3390/plants12040941
APA StyleZhu, G., Raghavan, G. S. V., & Li, Z. (2023). Estimating the Moisture Ratio Model of Cantaloupe Slices by Maximum Likelihood Principle-Based Algorithms. Plants, 12(4), 941. https://doi.org/10.3390/plants12040941



