Abstract
Nitrogen (N) is an essential macronutrient for plant function and growth and a key component of amino acids, which form the building blocks of plant proteins and enzymes. However, misuse and overuse of N can have many negative impacts on the ecosystem, such as reducing soil exchangeable base cations (BCs) and causing soil acidification. In this research, we evaluated clonal Chinese fir (Cunninghamia lanceolata (Lamb.) Hook) seedlings grown with exponentially increasing N fertilization (0, 0.5, 1, 2 g N seedling−1) for a 100-day trial in a greenhouse. The growth of seedlings, their nutrient contents, and soil exchangeable cations were measured. We found that N addition significantly increased plant growth and N content but decreased phosphorous (P) and potassium (K) contents in plant seedlings. The high nitrogen (2 g N seedling−1) treated seedlings showed a negative effect on growth, indicating that excessive nitrogen application caused damage to the seedlings. Soil pH, soil exchangeable base cations (BCs), soil total exchangeable bases (TEB), soil cation exchange capacity (CEC), and soil base saturation (BS) significantly decreased following N application. Our results implied that exponential fertilization resulted in soil acidification and degradation of soil capacity for supplying nutrient cations to the soil solution for plant uptake. In addition, the analysis of plants and BCs revealed that Na+ is an important base cation for BCs and for plant growth in nitrogen-induced acidified soils. Our results provide scientific insights for nitrogen application in seedling cultivation in soils and for further studies on the relationship between BCs and plant growth to result in high-quality seedlings while minimizing fertilizer input and mitigating potential soil pollution.
1. Introduction
Nitrogen (N) plays a key role in plant growth and N fertilizer is used to enhance the growth and productivity of crops or trees [1,2,3] but is also a limiting nutrient for plants [4]. Nutrient loading techniques based on exponential fertilization have shown that exponential fertilization was more consistent with the N required for plant growth patterns than conventional fertilization [5,6,7]. Compared to constant-rate nutrient loading of conventional fertilization, the rate of nutrient supply increases exponentially and exceeds the rate of seedling growth, minimizing the risk of nutrient toxicity in seedlings [8,9]. It is important to note that N additions may negatively impact ecosystem functions [10,11].
A common indicator for determining the availability of most plant nutrients is the measurement of the cation exchange capacity (CEC) in the soil [12]. The cation exchange capacity, or exchange rate, describes the number of cations in the soil solution that are exchangeable, and therefore available for the uptake by plant roots. Plants extract the positively charged cations from the soil solution by exchanging them for positively charged hydrogen (H+). Soil exchangeable base cations (BCs), mainly including calcium (Ca2+), magnesium (Mg2+), potassium (K+), and sodium (Na+), which are essential cations for plant growth and soil ecosystem stability [12,13]. Cations, such as Mg2+, are essential for photosynthesis and energy storage, and they are involved in the regulation of plant physiology and biochemistry [14,15]. Soil BCs play an important role in the regulation of soil acidification. This is because the exchangeable BCs can not only be absorbed by soil colloids but can also provide exchange sites for H+ and alleviate ecosystem damage [13,16]; this is essential for maintaining soil nutrients and buffering soil acidification [13,17]. However, accelerating industrialization and use of N fertilizer has led to increased atmospheric N deposition [18,19], thereby accelerating soil acidification processes [1,10], reducing the capacity of soil exchangeable BCs [13], decreasing soil buffering capacity [20], and lowering plant productivity [21,22].
Chinese fir (Cunninghamia lanceolata (Lamb.) Hook) is an evergreen conifer species, which has been widely cultivated as an important timber species for over 1000 years in the sub-tropical region of China. The Chinese fir forests account for 60%–80% of the total area of timber plantations in southeast China and their annual timber production accounts for 20%–25% of the national commercial timber output [23]. This tree species is considered an economic timber species because of its fast growth, good quality material, strong wood property, hardiness, versatile use, and high timber yield per unit, which is used extensively for pulp, paper, and lumber [5,24,25]. Human activities have led to major increases in global emissions of nitrogen (N) to the atmosphere [26]. Several studies have shown that N deposition or/and fertilization have increased significantly in recent years [27,28,29]. The main concern is the damaging effect of excessive nitrogen loads in many contrasting ecosystems and toxicity to plant growth [30]. Many previous studies have looked at the effects of N fertilization on plant growth [2,5,9] or exchangeable BCs [12,13,20] in soils. However, the effects of N application on soil BCs and plant growth, and the relationship between soil BCs and plant growth are still unclear. In addition, Chinese fir tree seedlings are commonly grown in containers before planting in the fields. During this period, gardeners or planters usually add N to promote seedling growth, but few studies have focused on the effects of N on plant growth and BCs [5].
Unlike field experiments, the effects of environmental heterogeneity on experiments are often reflected at a very small scale, greenhouse-controlled experiments specifically avoid this problem [31]. In this study, Clonal Chinese fir seedlings were treated with four concentrations of N exponential fertilization growing in a greenhouse. The nutritional contents of seedlings and soil exchangeable cation (BCs) were measured. We hypothesized that (1) N addition would significantly increase the Chinese fir seedlings growth at the low N concentration levels and decrease growth at high N concentration application, (2) N addition would increase the N content but decrease phosphorous (P) and potassium (K) contents in plant seedlings, and (3) the N application would decrease soil pH, soil exchangeable base cations (BCs), soil total ex-changeable bases (TEB), soil cation exchange capacity (CEC), and soil base saturation (BS). The objectives of the study were (i) to explore the effects of treatments of N exponential fertilization on the growth and nutrient contents of Chinese fir seedlings, (ii) to reveal the effects of N exponential fertilization on soil chemical properties including exchangeable BCs, soil total exchangeable bases (TEB), soil cation exchange capacity (CEC), and soil base saturation (BS) together with the relationships among them, and (iii) to analysis the relationship between soil exchangeable BCs and seedling growth.
2. Materials and Methods
2.1. Study Areas
The pot experiments were conducted in a cultivated greenhouse located in Guangxi Forestry Research Institute, Nanning city, Guangxi Zhuang Autonomous Region (108°21′ E, 22°55′ N). Circular pots with inner diameter of 25 cm and a height of 35 cm were filled with clay loam red soil (about 27 kg, 1/3 water content) derived from local Chinese fir (Cunninghamia lanceolata (Lamb.) Hook) forest. One-year-old clonal Chinese fir seedlings from the same nursery site with similar height and base diameter were used for the experiments. The Chinese fir seedlings were transplanted into pots and one seedling kept in each pot and the pots were randomized each week to prevent the effects of light.
2.2. Experimental Design
A complete randomized design (CRD) with four levels of exponential N application treatment was performed in the experiment. The four treatment levels of exponential N addition treatments were the control (without N addition, CK), a low level of N addition (0.5 g N sapling−1, L1), a medium level of N addition (1 g N sapling−1, L2), and a high level of N addition (2 g N sapling−1, L3) with 10 replicates (10 pots for each treatment level), so that a total of 40 pots (4 × 10) was used in the experiment. The first fertilization was carried out on 15 May 2021, after the seedlings in the pots had grown steadily (no seedling died within three days). N fertilization was then applied every 10 days for a total of 10 applications (last fertilization on 22 August). Sample saplings were collected and measured ten days after the end of the exponential fertilization (1 September). Exponential fertilization was based on an exponential model to determine the amount of nitrogen per application [5], which was calculated by the following formula:
where r is the relative rate of addition required to increase Ns (the initial level of the nutrient), to the final level NT + Ns, and Nt−1 is the cumulative amount of fertilizer added including the last application. The amount Ns (72.19 mg N) was determined by chemical analysis of saplings 3 days before the start of fertilization. Knowing NT (0.5, 1, or 2 g N) and NS, r by Equation (1) to determine the number of fertilizations (t = 10), we can then calculate the exact amount of each fertilization by Equation (2). N was added in the form of urea (CH4N2O) solution, and the details of the fertilization process are shown in Figure 1.
NT = NS (ert − 1)
Nt = NS (ert − 1) − Nt−1
Figure 1.
The schedule of N fertilization during the 100 days study; (a) is the cumulative usage of N, and (b) is the cumulative usage of CH4N2O (urea). Different colors and symbols indicate the different treatments.
2.3. Measurements
The seedling height from ground to apical meristem was measured using linear tape and the base diameter was measured in two vertical directions with a vernier caliper; the mean was calculated and used for analysis [32]. The measurements were taken on the first day and the last day of the experiment. In addition, the weekly measurements were taking between 8 am to 10 am during the experiment. The increments in height and base diameter of seedlings were calculated from the differences of two measurements (the first day and the last day of the experiment). At the end of the experiment, all seedlings were harvested to measure biomass and nutrient content. Each individual seedling was divided into root, stem and leaves for biomass measurements and chemical analysis in the laboratory. Plant samples were oven dried at 105 °C for 15 min and then at 75 °C for 48 h until constant weight for determining the biomass using an analytical balance. All leaves were ground and passed through a 40-mesh sieve for nitrogen (N), phosphorus (P), and potassium (K) analysis in the laboratory. Total N and P were determined according to the standard methods and the total potassium (K) was analysis by plasma emission spectrophotometry after dry ashing and extraction with HCl–HNO3 [33].
Three soil samples in each pot were collected after harvesting of the plant seedlings. Each soil sample was passed through a 2-mm sieve to remove roots and stones, and then air-dried. Soil pH was measured with a glass electrode at a water: soil ratio of 1:2.5 (w/v), and soil organic carbon (SOC) was measured by the potassium dichromate oxidation heating method. Total nitrogen (TN) was determined by spectrophotometry after digestion with K2Cr2O7–H2SO4 using an automatic Kieldahl instrument (K9860, Hanong, Kaiyuan, China). The NH4+-N and NO3–-N were measured by extraction using an automatic continuous flow analyzer (Autoanalyzer 3, Seal analytical, Norderstedt, Germany). Determination of total phosphorus (TP) was carried out by the molybdenum blue colorimetric method, after hydrolysis and diffusion of NaOH, using a UV-Vis spectrophotometer (UV-6800A, ZhuoGuang, Jinan, China). Total potassium (TK) was determined by spectrophotometry after wet digestion with HF–HClO4 by an atomic absorption spectrophotometer (AA-7000, Shimadzu, Kyoto, Japan). The exchangeable acid (EA) was measured by potassium chloride exchange—neutralization titration. The exchangeable BCs (K+, Ca2+, Mg2+ and Na+) were measured by atomic absorption spectrophotometry using the NH4Cl–C2H5OH method (AA-7000, Shimadzu, Kyoto, Japan) [34].
2.4. Statistical Analyses
One-way analysis of variance (ANOVA) was used to assess the effects of different levels of exponential N application on increments of height, base diameter, and nutrient element content of each organ (root, stem, leaf) of seedlings and soil physicochemical properties. Tukey’s HSD was used to test significant differences among different N addition treatments (p < 0.05). The Shapiro–Wilk test was used for the data analysis, and the original data were log-transformed to satisfy the normality and homoscedasticity assumptions of ANOVA. Pearson’s correlation test was used to analyze the relationship among different parameters and the results were displayed by R package ‘ggcorrplot’ (version: 0.1.3). Considering collinearity, soil TEB, CEC, and BS were not included in the correlation analysis. The means of N application effects were compared by a Tukey–Kramer test using the SAS program. Multiple comparisons were conducted to test the differences among treatments in response to plants growth and nutrient content of plant seedlings including N, P, and K (p < 0.05). To examine the relationship between BCs and plant growth, a stepwise regression model (SRM) was used to select factors affecting plant growth with the best-fit model chosen using Akaike’s Information Criterion (AIC). Statistical analyses were conducted using the SAS statistical package [35], and the statistical programming language R [36].
3. Results
3.1. Effects of N Addition on Seedling Growth and Nutrient Content of Plants
Compared with CK (no N fertilization), N addition was beneficial to plant growth (Table 1). The increments of ground diameter and height increased with increasing N fertilization concentrations, except in L3. Biomass of root, stem, and leaf and the total biomass of seedlings showed an increasing tendency with N addition. The biomass of each component of the plant seedlings had significant effects in response to the N application treatments (p < 0.05) except for root biomass. In general, seedlings grew best in L2 treatments. A similar growth state of the seedlings was observed between CK and L3 treatments, indicating the negative effect of high N addition.
Table 1.
Growth of seedlings in different N fertilization treatments. Diameter and height are increments compared to the initial size. Data are given the mean ± SE (n = 10).
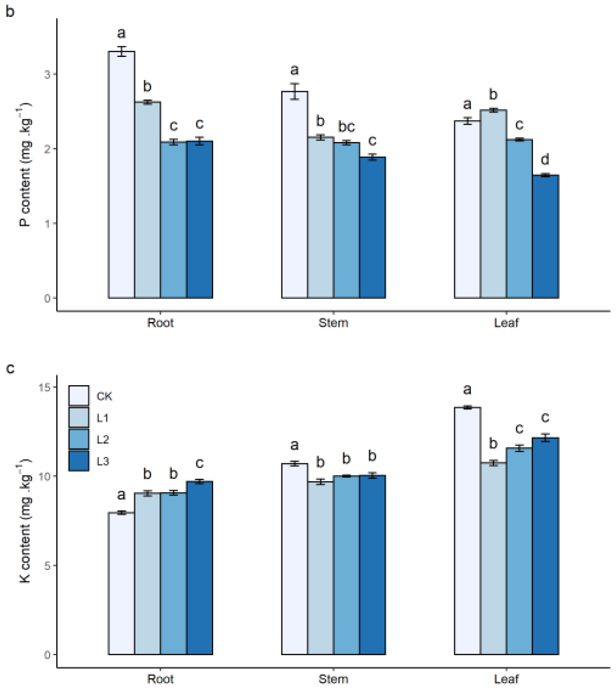
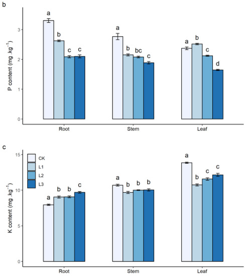
Nutrient elements of seedlings were significantly different between CK and N addition treatments (p < 0.05; Figure 2). With increasing N fertilization concentrations, the N content in the organs of the seedling increased, especially in the roots and leaves. The N content in roots at L3 reached 43.21 ± 0.15 mg·g−1, while the N in stems decreased to 21.50 ± 0.14 mg·g−1 (Figure 2a). Conversely, P and K contents decreased after N addition, except for K in the roots. The content of P was the highest in roots at CK (3.30 ± 0.06 mg·g−1), and the lowest was in leaves at L3 (1.65 ± 0.02 mg·g−1) (Figure 2b). Both the minimum and maximum K contents occurred at CK, which were 7.95 ± 0.09 mg·g−1 in roots and 13.85 ± 0.09 mg·g−1 in leaves, respectively (Figure 2c).

Figure 2.
The content of nutrient elements in three organs (roots, stems, and leaves) of plants in response to different N addition treatments. N content (a), P content (b), and K content (c). Bars represent mean value with standard error (±SE). Different colors indicate the different treatments. Different letters indicate the significance among different levels of N application (p < 0.05).
3.2. Effect of N Addition on Soil Physicochemical Properties
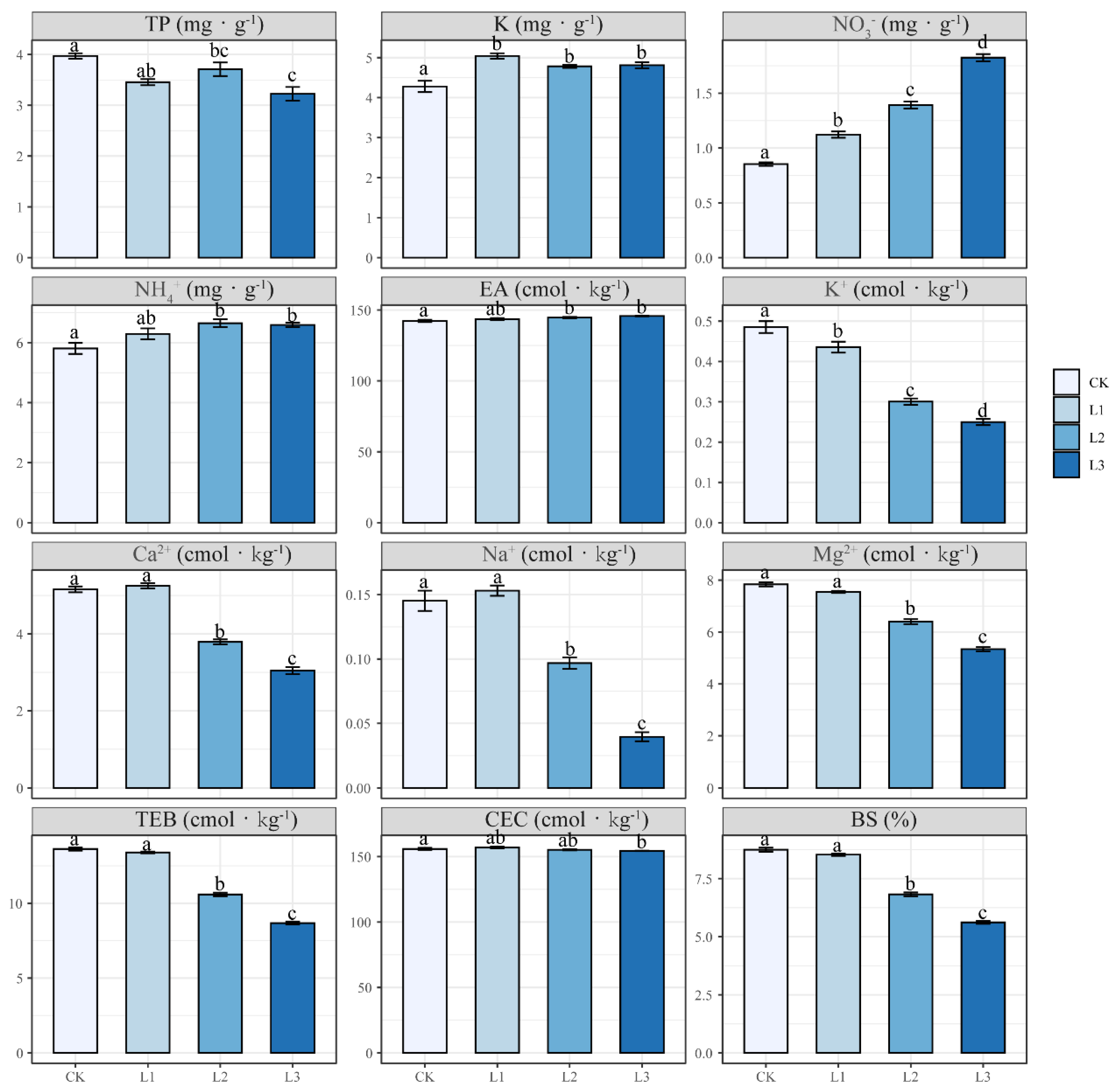
Soil physicochemical properties showed a significant difference between N addition and CK treatments (p < 0.05) (Figure 3). Soil pH, BCs, TEB, CEC, and BS decreased, but SOC, TN, NO3−, NH4+, and EA increased with increasing N fertilization concentrations. No significant differences of EA and CEC were observed among all treatments, with the corresponding maximum values of 145.73 ± 0.22 cmol·kg−1 and 157.00 ± 0.67 cmol·kg−1, and minimum values of 142.26 ± 0.85 cmol·kg−1 and 154.40 ± 0.27 cmol·kg−1, respectively. BCs were greatly reduced with increasing N fertilization (except for Ca2+ and Na+ in L1), which led to an increase of EA and a stable status of CEC. Compared to CK, N fertilization resulted in decrease of TP and increase of K, but there were no significant differences between these two elements among N addition treatments (Figure 3).

Figure 3.
The concentration of soil parameters in different N addition treatments. Bars represent mean value with the standard error (±SE). Different colors indicate the different treatments. Different letters indicate the significance among different levels of N application (p < 0.05).
3.3. Relationships among Different Soil Parameters
The four types of BCs (Ca2+, Mg2+, K+, and Na+), pH, and TP showed a significant positive correlation with each other, while BCs showed a significant negative correlation with SOC, TN, NO3−, and NH4+ (Figure 4). pH was negatively correlated with SOC, TN, NO3−, NH4+, and EA, which were directly influenced by N addition. NO3− had a closer relation (high coefficient) with other soil parameters than NH4+. Soil K was not significantly correlated with any other soil parameters except soil pH, SOC, and TN.
Figure 4.
The correlation among soil parameters by Pearson’s correlation test. “Cyan” indicates negative correlations and “magenta” indicates positive correlations. The circle size is proportional to the Pearson’s coefficient. A cross means statistical insignificance (p > 0.05).
3.4. The Correlations between Plant Growth and BCs
In the SRMs of diameter, K+, Na+, and Mg2+ were the fixed variables in the optimization model (Table 2), and only Na+ was significantly positively correlated with diameter (p = 0.04). K+, Na+, and Mg2+ were also selected as the fixed variables in the optimization SRM of height, and K+ was a significant factor negatively affecting plant height (p = 0.001), while Na+ was significantly positively correlated with plant height (p = 0.01). There were two fixed variables (K+ and Na+) in the optimization SRM of biomass, which were significantly negatively and positively correlated with biomass, respectively (Table 2). Among the exchangeable BCs, the cations of K+, Na+, and Mg2+ may be the important BCs affecting the growth of seedlings under N fertilization, especially Na+.
Table 2.
The summary of SRMs for plant growth (diameter, height, and biomass) and BCs.
4. Discussion
4.1. Growth and Nutrient Contents of Seedlings
Our results showed that exponential N addition enhanced the growth of Chinese fir saplings. The diameter, height, and biomass of the saplings were significantly higher in N adding treatment than in control but the enhanced effect was weaker in high N treatment (L3). The high nutrient availability reduced the root biomass as well in the research. This is because roots confine their growth with sufficient availability of nutrients as they do not have to penetrate deeply in search of the nutrients [37,38,39]. Previous studies have demonstrated that exponential fertilization improved plant growth by nutrient loading [2,5,8,13]. N fertilization increased N content, but not P and K contents in leaves. It was clear that the N addition led to an increase in N content in plants. In this study, P generally showed a decreasing trend with N addition, which was likely attributable to the following two points. One was that the N addition led to the imbalance of the N:P ratio in soil, thus affecting the uptake of P by plants [31,40]. The other was that the addition of N caused a dilution effect on P, leading to a decrease of its content in plants. The K content increased with N addition in root but decreased in stem and leaf, suggesting absorption and accumulation of K element in the root. However, not all the studies showed plant growth was positively associated with N addition. Experiments of western hemlock [9] and Douglas-fir [6] showed that exponentially fertilized seedlings did not differ significantly in growth and nutrient contents. We also found that the growth of seedlings was influenced in the high N addition treatments (L3). This was because higher nutrient levels in seedlings may increase their susceptibility to moisture stress, frost damage, and herbivory [9,41], while N addition-induced soil acidification also influences seedling growth.
4.2. Response of Soil Parameters to N Addition
In this study, there were significant differences in soil physicochemical properties between the N addition treatment and the control treatment CK (p < 0.05). Soil pH, BCs, TEB, CEC, and BS decreased with increasing N fertilization, but SOC, TN, NO3−, NH4+, and EA increased under N addition treatments. Soil TP reduced and K increased in the N addition treatments compared to CK. Many studies have illustrated that N fertilization can result in decreasing soil pH [3,13,17,20,22]. Previous studies showed that N addition could lead to increasing hydrolysis of BCs and release of H+ in the soil solution [42,43]. H+ had more proton competitiveness to BCs for cation exchange sites which resulted in lower pH and soil BC depletion [13,44]. Decreasing BC content could cause lower TEB, CEC, and BS, and a low BS (<10%) also indicated an acidified context [13,45]. These processes might be the reason why the pH showed significant positive correlation with four BCs. On the other hand, N fertilization increased the nitrification process, which caused a decrease in pH and an increase in EA [46]. Excess of N input led to an increase of NO3− leaching from bulk soils into soil solution [10,47,48]. However, leaching loss of NO3-N was often accompanied by leaching of Ca2+, Mg2+, and other cations [47]. In addition, studies demonstrated that increase of NH4+ would give a stronger bond strength with soil and could exchange the BCs adsorbed by the soil (primarily for K+ and Na+) and increase the loss of soil BCs [49]. Our results showed both NO3− and NH4+ increased by N addition, which further caused the decrease of soil BCs. These phenomena of small change of CEC under different N concentrations were ascribed to (1) the magnitude of change in BCs being much smaller than that in CEC and (2) the cations of Al3+ and Fe2+ making major contribution to soil CEC [17], which were restricted in the pot experiments.
For other nutrients, SOC increased after N fertilization, which promoted plant productivity. Stimulation of microbial activity in soil by N addition may play a key role in this process [50,51]. There was a coupling relationship between N and P resulting in N:P imbalance due to N deposition [31,40]. Similar results were also observed in other studies [13,46]. We noticed inconsistent changes of K content in soil and plants as well in our research. Although the decrease in K+ resulted in decrease in the K content in stems and leaves, the K content increased in roots after N addition which was consistent with the changes in soil K. This may be related to the complex conversion between K and K+ [52] while our research might explain the interrelationships among the soil parameters.
4.3. Effects of BCs on Chinese Fir Seedling Growth
Three SRMs of plant growth, K+, Na+, and Mg2+ were set as fixed variables in the diameter and height optimization model. Only K+, and Na+ were in the biomass optimization model. Na+ was significantly positively correlated with both diameter (p = 0.04) and height (p = 0.01) indicating that Na+ may be a key cation for plant growth in acidified soil. Na+ is not a nutrient directly involved in plant metabolism but plays a key role in soil acidity buffering along with the other BCs [13,53]. Soil acidification can lead to an imbalance of soil elements that ultimately affects plant growth [1,20]. Therefore, Na+ may be more closely related to plant growth in the pot experiment in acidic soil (lower pH and BS) induced by nitrogen addition. Both N and K+ can increase plant productivity, but N addition resulted in the decrease in K+ in this study. In addition, K+ was reduced more than Na+ in our study because K+ was easily taken up by the plant roots rather than remaining in the soil [52]. Therefore, our results suggest a negative correlation between K+ and plant growth. Further research should focus more on how BCs directly affect plant growth.
5. Conclusions
In summary, our study demonstrated the exponential application of N fertilizer significantly affected the Chinese fir seedlings growth and nutrient concentrations in the plant organs. When compared to the control, the low N addition (0.5 and 1 g N seedling−1) significantly increased the Chinese fir seedlings growth and the N content in plants but decreased phosphorous (P) and potassium (K) contents in plant seedlings. However, the high N addition (2 g N seedling−1) decreased the growth of Chinese fir seedings because the excessive N application damaged the metabolism of the seedlings. N application significantly decreased soil physicochemical properties, including soil pH, soil exchangeable base cations (BCs), soil total exchangeable bases (TEB), soil cation exchange capacity (CEC), and soil base saturation (BS). Our hypothesis was supported by the results. In addition, the N exponential fertilization can lead to acidification and degradation of the cation exchange capacity in the soil while Na+ was the most important base cation for soil BCs and for plant growth in N-induced acidified soils. Our results provide a solid scientific basis for improved understanding of N fertilizer application in plant seedling cultivation.
Author Contributions
R.W., X.D. and Y.P. conceived and designed the experiments; Z.Z., H.P. and L.L. performed the experiments; R.W. and R.H. analyzed the data; Y.W. and X.D. contributed technical advice. R.W. and Y.W. wrote the paper. All authors have read and agreed to the published version of the manuscript.
Funding
This work was supported by the Central Forestry Science and Technology Promotion Demonstration Project ([2022]TG16), Guangxi Forestry Science and Technology Project (GLKY[2021]22), Guangxi Forestry Science and Technology Project (GLKY[2022ZC]No.18), and the Independent Research Fund of the Guangxi Key Laboratory of Superior Timber Trees Resource Cultivation (2020-A-04-05).
Data Availability Statement
The data presented in this article are available on request from the corresponding authors.
Acknowledgments
We thank Jingjun Yang and Peiyi YU for assistance in data collection in the greenhouse work. We are also grateful for two anonymous reviewers’ helpful comments.
Conflicts of Interest
The authors declare no conflict of interest.
References
- Qaswar, M.; Li, D.C.; Huang, J.; Han, T.F.; Ahmed, W.; Abbas, M.; Zhang, L.; Du, J.X.; Khan, Z.H.; Ullah, S. Interaction of liming and long-term fertilization increased crop yield and phosphorus use efficiency (PUE) through mediating exchangeable cations in acidic soil under wheat-maize cropping system. Sci. Rep.-UK 2020, 10, 19828. [Google Scholar] [CrossRef] [PubMed]
- Pokharel, P.; Chang, S.X. Exponential fertilization promotes seedling growth by increasing nitrogen retranslocation in trembling aspen planted for oil sands reclamation. For. Ecol. Manag. 2016, 372, 35–43. [Google Scholar] [CrossRef]
- Fageria, N.K.; Dos Santos, A.B.; Moraes, M.F. Influence of Urea and Ammonium Sulfate on Soil Acidity Indices in Lowland Rice Production. Commun. Soil Sci. Plant Anal. 2010, 41, 1565–1575. [Google Scholar] [CrossRef]
- Munoz-Huerta, R.F.; Guevara-Gonzalez, R.G.; Contreras-Medina, L.M.; Torres-Pacheco, I.; Prado-Olivarez, J.; Ocampo-Velazquez, R.V. A Review of Methods for Sensing the Nitrogen Status in Plants: Advantages, Disadvantages and Recent Advances. Sensors. 2013, 13, 10823–10843. [Google Scholar] [CrossRef]
- Xu, X.J.; Timmer, V.R. Biomass and nutrient dynamics of Chinese fir seedlings under conventional and exponential fertilization regimes. Plant Soil. 1998, 203, 313–322. [Google Scholar] [CrossRef]
- Everett, K.T.; Hawkins, B.J.; Kiiskila, S. Growth and nutrient dynamics of Douglas-fir seedlings raised with exponential or conventional fertilization and planted with or without fertilizer. Can. J. For. Res. 2007, 37, 2552–2562. [Google Scholar] [CrossRef]
- Qu, L.Y.; Quoreshi, A.M.; Koike, T. Root growth characteristics, biomass and nutrient dynamics of seedlings of two larch species raised under different fertilization regimes. Plant Soil. 2003, 255, 293–302. [Google Scholar] [CrossRef]
- Timmer, V.R. Exponential nutrient loading: A new fertilization technique to improve seedling performance on competitive sites. New For. 1997, 13, 279–299. [Google Scholar] [CrossRef]
- Hawkins, B.J.; Burgess, D.; Mitchell, A.K. Growth and nutrient dynamics of western hemlock with conventional or exponential greenhouse fertilization and planting in different fertility conditions. Can. J. For. Res.-Rev. Can. Rech. For. 2005, 35, 1002–1016. [Google Scholar] [CrossRef]
- Tian, D.S.; Niu, S.L. A global analysis of soil acidification caused by nitrogen addition. Environ. Res. Lett. 2015, 10, 027019. [Google Scholar] [CrossRef]
- Bobbink, R.; Hicks, K.; Galloway, J.; Spranger, T.; Alkemade, R.; Ashmore, M.; Bustamante, M.; Cinderby, S.; Davidson, E.; Dentener, F.; et al. Global assessment of nitrogen deposition effects on terrestrial plant diversity: A synthesis. Ecological Applications 2010, 20, 30–59. [Google Scholar] [CrossRef]
- Wang, Y.; Huang, X.H.; Jiang, Y.; Liu, X.S.; Zhu, F. Effects of N addition on soil exchangeable cations in a young Keteleeria fortunei var. cyclolepis forest. Ecoscience 2019, 26, 259–268. [Google Scholar] [CrossRef]
- Lucas, R.W.; Klaminder, J.; Futter, M.N.; Bishop, K.H.; Egnell, G.; Laudon, H.; Hogberg, P. A meta-analysis of the effects of nitrogen additions on base cations: Implications for plants, soils, and streams. For. Ecol. Manag. 2011, 262, 95–104. [Google Scholar] [CrossRef]
- McLaughlin, S.B.; Wimmer, R. Tansley Review No. 104—Calcium physiology and terrestrial ecosystem processes. New Phytol. 1999, 142, 373–417. [Google Scholar] [CrossRef]
- Likens, G.E.; Driscoll, C.T.; Buso, D.C.; Siccama, T.G.; Johnson, C.E.; Lovett, G.M.; Fahey, T.J.; Reiners, W.A.; Ryan, D.F.; Martin, C.W. The biogeochemistry of calcium at Hubbard Brook. Biogeochemistry 1998, 41, 89–173. [Google Scholar] [CrossRef]
- Bowman, W.D.; Cleveland, C.C.; Halada, L.; Hresko, J.; Baron, J.S. Negative impact of nitrogen deposition on soil buffering capacity. Nat. Geosci. 2008, 1, 767–770. [Google Scholar] [CrossRef]
- Cai, Z.J.; Wang, B.R.; Xu, M.G.; Zhang, H.M.; He, X.H.; Zhang, L.; Gao, S.D. Intensified soil acidification from chemical N fertilization and prevention by manure in an 18-year field experiment in the red soil of southern China. J. Soils Sediments 2015, 15, 260–270. [Google Scholar] [CrossRef]
- Priputina, I.; Zubkova, E.; Shanin, V.; Smirnov, V.; Komarov, A. Evidence of plant biodiversity changes as a result of nitrogen deposition in permanent pine forest plots in central Russia. Ecoscience 2014, 21, 286–300. [Google Scholar] [CrossRef]
- Bodirsky, B.L.; Popp, A.; Lotze-Campen, H.; Dietrich, J.P.; Rolinski, S.; Weindl, I.; Schmitz, C.; Muller, C.; Bonsch, M.; Humpenoder, F.; et al. Reactive nitrogen requirements to feed the world in 2050 and potential to mitigate nitrogen pollution. Nat. Commun. 2014, 5, 3858. [Google Scholar] [CrossRef] [PubMed]
- Shi, L.L.; Zhang, H.Z.; Liu, T.; Zhang, W.X.; Shao, Y.H.; Ha, D.L.; Li, Y.Q.; Zhang, C.M.; Cai, X.A.; Rao, X.Q.; et al. Consistent effects of canopy vs. understory nitrogen addition on the soil exchangeable cations and microbial community in two contrasting forests. Sci. Total Environ. 2016, 553, 349–357. [Google Scholar] [CrossRef]
- Chen, D.M.; Lan, Z.C.; Bai, X.; Grace, J.B.; Bai, Y.F. Evidence that acidification-induced declines in plant diversity and productivity are mediated by changes in below-ground communities and soil properties in a semi-arid steppe. J. Ecol. 2013, 101, 1322–1334. [Google Scholar] [CrossRef]
- Stevens, C.J.; Thompson, K.; Grime, J.P.; Long, C.J.; Gowing, D.J. Contribution of acidification and eutrophication to declines in species richness of calcifuge grasslands along a gradient of atmospheric nitrogen deposition. Funct. Ecol. 2010, 24, 478–484. [Google Scholar] [CrossRef]
- Sheng, W.T.; Division of Forest Ecology, Chinese Society of Forestry (Eds.) Soil Degradation and its Control Techniques for Timber Plantations in China. In Research on Site Degradation of Timber Plantation; Chinese Press of Science and Technology: Beijing, China, 1992; pp. 1–7. [Google Scholar]
- Hu, R.; Sun, Y.; Wu, B.; Duan, H.; Zheng, H.; Hu, D.; Lin, H.; Tong, Z.; Xu, J.; Li, Y. Somatic Embryogenesis of Immature Cunninghamia lanceolata (Lamb.) Hook Zygotic Embryos. Sci. Rep. 2017, 7, 56. [Google Scholar] [CrossRef]
- Zhu, W.; Liu, T.; Liu, C.; Zhou, F.; Lai, X.E.; Hu, D.; Chen, J.; Huang, S. The Complete Chloroplast Genome Sequence of Cunninghamia lanceolata. Mitochondrial DNA Part A 2017, 28, 405–406. [Google Scholar] [CrossRef] [PubMed]
- Holland, E.A.; Dentener, F.J.; Braswell, B.H.; Sulzman, J.M. Contemporary and pre-industrial global reactive nitrogen budgets. Biogeochemistry 1999, 46, 7–43. [Google Scholar] [CrossRef]
- Zheng, M.H.; Zhang, W.; Luo, Y.Q.; Mori, T.K.; Mao, Q.Q.; Wang, S.H.; Huang, J.; Lu, X.K.; Mo, J.M. Different responses of asymbiotic nitrogen fixation to nitrogen addition between disturbed and rehabilitated subtropical forests. Sci. Total Environ. 2017, 601, 1505–1512. [Google Scholar] [CrossRef] [PubMed]
- Liu, X.J.; Zhang, Y.; Han, W.X.; Tang, A.H.; Shen, J.L.; Cui, Z.L.; Vitousek, P.; Erisman, J.W.; Goulding, K.; Christie, P.; et al. Enhanced nitrogen deposition over China. Nature 2013, 494, 459–462. [Google Scholar] [CrossRef] [PubMed]
- Jia, Y.; Yu, G.; He, N.; Zhan, X.; Fang, H.; Sheng, W.; Zuo, Y.; Zhang, D.; Wang, Q. Spatial and decadal variations in inorganic nitrogen wet deposition in China induced by human activity. Sci. Rep.-UK 2014, 4, 3763. [Google Scholar] [CrossRef]
- Stevens, C.J.; Dise, N.B.; Mountford, J.O.; Gowing, D.J. Impact of nitrogen deposition on the species richness of grasslands. Science 2013, 303, 1876–1879. [Google Scholar] [CrossRef]
- Elser, J.J.; Bracken, M.E.; Cleland, E.E.; Gruner, D.S.; Harpole, W.S.; Hillebrand, H.; Ngai, J.T.; Seabloom, E.W.; Shurin, J.B.; Smith, J.E. Global analysis of nitrogen and phosphorus limitation of primary producers in freshwater, marine and terrestrial ecosystems. Ecol. Lett. 2007, 10, 1135–1142. [Google Scholar] [CrossRef]
- Yang, J.J.; Lei, P.F.; Xiang, W.H.; Ouyang, S.; Hui, X.R. Growth Variations of Tree Saplings in Relation to Species Diversity and Functional Traits in a Tree Diversity Pot Experiment. Forests 2018, 9, 380. [Google Scholar] [CrossRef]
- Gilliam, F.S.; May, J.D.; Adams, M.B. Response of foliar nutrients of Rubus allegheniensis to nutrient amendments in a central Appalachian hardwood forest. For. Ecol. Manag. 2018, 411, 101–107. [Google Scholar] [CrossRef]
- Lu, R.K. Analysis Methods of Soil Agricultural Chemistry; China Agricultural Science and Technology Press: Beijing, China, 1999; pp. 474–490. [Google Scholar]
- Reed, S.C.; Cleveland, C.C.; Townsend, A.R. Relationships among phosphorus, molybdenum and free-living nitrogen fixation in tropical rain forests: Results from observational and experimental analyses. Biogeochemistry 2013, 114, 135–147. [Google Scholar] [CrossRef]
- SAS Institute Inc. SAS Online Documentation, 8th ed.; SAS Institute Inc.: Cary, NC, USA, 2001. [Google Scholar]
- R Core Development Team. R: A Language and Environment for Statistical Computing; R Foundation for Statistical Computing: Vienna, Austria, 2004. [Google Scholar]
- Bargali, K.; Bargali, S.S. Nutrient utilisation efficiencies of two central Himalayan tree species. J. Trop For. Sci. 2000, 12, 450–458. [Google Scholar]
- Singh, S.P.; Bargali, K.; Joshi, A.; Chaudhry, S. Nitrogen resorption in leaves of tree and shrub seedlings in response to increasing soil fertility. Curr. Sci. 2005, 89, 389–396. [Google Scholar]
- Manral, V.; Bargali, K.; Bargali, S.S.; Shahi, C. Changes in soil biochemical properties following replacement of Banj oak forest with Chir pine in Central Himalaya, India. Ecol. Process. 2020, 9, 30. [Google Scholar] [CrossRef]
- Brown, K.R.; Thompson, W.A.; Camm, E.L.; Hawkins, B.J.; Guy, R.D. Effects of N addition rates on the productivity of Picea sitchensis, Thuja plicata, and Tsuga heterophylla seedlings. 2. Photosynthesis, 13C discrimination and N partitioning in foliage. Trees-Struct. Funct. 1996, 10, 198–205. [Google Scholar] [CrossRef]
- Lu, X.; Mao, Q.; Mo, J.; Gilliam, F.S.; Zhou, G.; Luo, Y.; Zhang, W.; Huang, J. Divergent responses of soil buffering capacity to long-term N deposition in three typical tropical forests with different land-use history. Environ. Sci. Technol. 2015, 49, 4072–4080. [Google Scholar] [CrossRef]
- Lu, X.K.; Mao, Q.G.; Gilliam, F.S.; Luo, Y.Q.; Mo, J.M. Nitrogen deposition contributes to soil acidification in tropical ecosystems. Glob. Chang. Biol. 2014, 20, 3790–3801. [Google Scholar] [CrossRef]
- Tomlinson, G.H. Acidic deposition, nutrient leaching and forest growth. Biogeochemistry 2003, 65, 51–81. [Google Scholar] [CrossRef]
- Holmberg, M.; Aherne, J.; Austnes, K.; Beloica, J.; De Marco, A.; Dirnbock, T.; Fornasier, M.F.; Goergen, K.; Futter, M.; Lindroos, A.J.; et al. Modelling study of soil C, N and pH response to air pollution and climate change using European LTER site observations. Sci. Total Environ. 2018, 640–641, 387–399. [Google Scholar] [CrossRef] [PubMed]
- Zarif, N.; Khan, A.; Wang, Q.C. Linking Soil Acidity to P Fractions and Exchangeable Base Cations under Increased N and P Fertilization of Mono and Mixed Plantations in Northeast China. Forests 2020, 11, 1274. [Google Scholar] [CrossRef]
- Rothwell, J.J.; Futter, M.N.; Dise, N.B. A classification and regression tree model of controls on dissolved inorganic nitrogen leaching from European forests. Environ. Pollut. 2008, 156, 544–552. [Google Scholar] [CrossRef]
- MacDonald, J.A.; Dise, N.B.; Matzner, E.; Armbruster, M.; Gundersen, P.; Forsius, M. Nitrogen input together with ecosystem nitrogen enrichment predict nitrate leaching from European forests. Glob. Chang. Biol. 2002, 8, 1028–1033. [Google Scholar] [CrossRef]
- Matschonat, G.; Matzner, E. Soil chemical properties affecting NH4+ sorption in forest soils. Z Pflanz Bodenkd. 1996, 159, 505–511. [Google Scholar] [CrossRef]
- Ai, Z.M.; Xue, S.; Wang, G.L.; Liu, G.B. Responses of Non-structural Carbohydrates and C:N:P Stoichiometry of Bothriochloa ischaemum to Nitrogen Addition on the Loess Plateau, China. J. Plant Growth Regul. 2017, 36, 714–722. [Google Scholar] [CrossRef]
- Eberwein, J.; Shen, W.J.; Jenerette, G.D. Michaelis-Menten kinetics of soil respiration feedbacks to nitrogen deposition and climate change in subtropical forests. Sci Rep.-UK 2017, 7, 1752. [Google Scholar] [CrossRef]
- Prajapati, K.; Modi, H.A. The importance of potassium in plant growth—A review. Indian J. Plant Sci. 2012, 1, 177–186. [Google Scholar]
- Pilon-Smits, E.A.; Quinn, C.F.; Tapken, W.; Malagoli, M.; Schiavon, M. Physiological functions of beneficial elements. Curr. Opin. Plant Biol. 2009, 12, 267–274. [Google Scholar] [CrossRef]
Disclaimer/Publisher’s Note: The statements, opinions and data contained in all publications are solely those of the individual author(s) and contributor(s) and not of MDPI and/or the editor(s). MDPI and/or the editor(s) disclaim responsibility for any injury to people or property resulting from any ideas, methods, instructions or products referred to in the content. |
© 2023 by the authors. Licensee MDPI, Basel, Switzerland. This article is an open access article distributed under the terms and conditions of the Creative Commons Attribution (CC BY) license (https://creativecommons.org/licenses/by/4.0/).





