Nitrogen Preference of Dominant Species during Hailuogou Glacier Retreat Succession on the Eastern Tibetan Plateau
Abstract
1. Introduction
2. Results
2.1. Soil Physicochemical Properties and N Contents of Different Forms at the Primary Succession
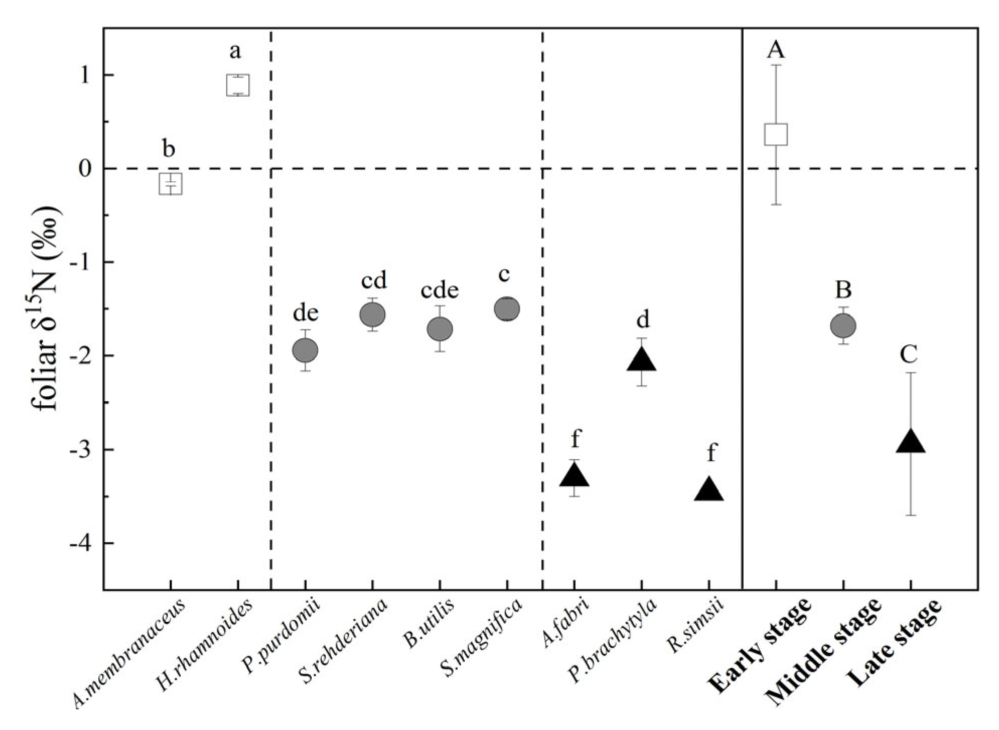
2.2. The Soil and Foliar δ15N Changes at the Primary Succession
2.3. The Contribution of Different N Sources at the Primary Succession
2.4. Plants’ Preference for Different Soil N Forms at the Primary Succession
3. Discussion
3.1. Change of δ15N in Soil and Plants in Different Stages
3.2. Nitrogen Preference of Dominant Species in Different Stages
4. Materials and Methods
4.1. Study Sites
4.2. Sampling Collection
4.3. Experimental Analysis
4.4. Calculations
4.4.1. Contributions of Different N Forms to Plant N Sources
4.4.2. Estimation of Plants’ Preference for N Sources
4.5. Statistical Analysis
5. Conclusions
Author Contributions
Funding
Data Availability Statement
Acknowledgments
Conflicts of Interest
References
- Feng, Y.L.; Lei, Y.B.; Wang, R.F.; Callaway, R.M.; Valiente-Banuet, A.; Inderjit; Li, Y.P.; Zheng, Y.L. Evolutionary tradeoffs for nitrogen allocation to photosynthesis versus cell walls in an invasive plant. Proc. Natl. Acad. Sci. USA 2009, 106, 1853–1856. [Google Scholar] [CrossRef] [PubMed]
- Kraiser, T.; Gras, D.E.; Gutierrez, A.G.; Gonzalez, B.; Gutierrez, R.A. A holistic view of nitrogen acquisition in plants. J. Exp. Bot. 2011, 62, 1455–1466. [Google Scholar] [CrossRef] [PubMed]
- Miller, A.J.; Cramer, M.D. Root nitrogen acquisition and assimilation. Plant Soil 2005, 274, 1–36. [Google Scholar] [CrossRef]
- Lipson, D.; Nasholm, T. The unexpected versatility of plants: Organic nitrogen use and availability in terrestrial ecosystems. Oecologia 2001, 128, 305–316. [Google Scholar] [CrossRef]
- Tateno, R.; Takeda, H. Forest structure and tree species distribution in relation to topography-mediated heterogeneity of soil nitrogen and light at the forest floor. Ecol. Res. 2003, 18, 559–571. [Google Scholar] [CrossRef]
- Xi, N.X.; Zhu, B.R.; Zhang, D.Y. Contrasting grass nitrogen strategies reflect interspecific trade-offs between nitrogen acquisition and use in a semi-arid temperate grassland. Plant Soil 2017, 418, 267–276. [Google Scholar] [CrossRef]
- Li, C.C.; Li, Q.R.; Qiao, N.; Xu, X.L.; Li, Q.K.; Wang, H.M. Inorganic and organic nitrogen uptake by nine dominant subtropical tree species. iForest 2016, 9, 253–258. [Google Scholar] [CrossRef]
- Chapin, F.S.; Moilanen, L.; Kielland, K. Preferential use of organic nitrogen for growth by a non-mycorrhizal arctic sedge. Nature 1993, 361, 150–153. [Google Scholar] [CrossRef]
- Schimel, J.P.; Chapinm, F.S., III. Tundra Plant Uptake of Amino Acid and NH4+ Nitrogen in Situ: Plants Complete Well for Amino Acid N. Ecol. Soc. Am. 1996, 77, 2142–2147. [Google Scholar] [CrossRef]
- Wang, R.X.; Tian, Y.Q.; Ouyang, S.N.; Xu, X.L.; Xu, F.Z.; Zhang, Y. Nitrogen acquisition strategies used by Leymus chinensis and Stipa grandis in temperate steppes. Biol. Fertil. Soils 2016, 52, 951–961. [Google Scholar] [CrossRef]
- Liu, X.Y.; Koba, K.; Makabe, A.; Li, X.D.; Yoh, M.; Liu, C.Q. Ammonium first: Natural mosses prefer atmospheric ammonium but vary utilization of dissolved organic nitrogen depending on habitat and nitrogen deposition. New Phytol. 2013, 199, 407–419. [Google Scholar] [CrossRef]
- Rennenberg, H.; Dannenmann, M.; Gessler, A.; Kreuzwieser, J.; Simon, J.; Papen, H. Nitrogen balance in forest soils: Nutritional limitation of plants under climate change stresses. Plant Biol. 2009, 11, 4–23. [Google Scholar] [CrossRef]
- Gao, L.; Cui, X.Y.; Hill, P.W.; Guo, Y.F. Uptake of various nitrogen forms by co-existing plant species in temperate and cold-temperate forests in northeast China. Appl. Soil Ecol. 2020, 147, 10. [Google Scholar] [CrossRef]
- Yan, X.; Lin, Z.; Hu, W.; Huo, Y.; Li, Z.; Ma, X. A Review of Nitrogen Uptake Preference of Trees and Its Formation Mechanism. World For. Res. 2020, 33, 25–30. [Google Scholar] [CrossRef]
- Wang, L.X.; Macko, S.A. Constrained preferences in nitrogen uptake across plant species and environments. Plant Cell Environ. 2011, 34, 525–534. [Google Scholar] [CrossRef]
- Averill, C.; Finzi, A.C. Increasing plant use of organic nitrogen with elevation is reflected in nitrogen uptake rates and ecosystem delta N-15. Ecology 2011, 92, 883–891. [Google Scholar] [CrossRef]
- Houlton, B.Z.; Sigman, D.M.; Schuur, E.A.G.; Hedin, L.O. A climate-driven switch in plant nitrogen acquisition within tropical forest communities. Proc. Natl. Acad. Sci. USA 2007, 104, 8902–8906. [Google Scholar] [CrossRef]
- McKane, R.B.; Johnson, L.C.; Shaver, G.R.; Nadelhoffer, K.J.; Rastetter, E.B.; Fry, B.; Giblin, A.E.; Kielland, K.; Kwiatkowski, B.L.; Laundre, J.A.; et al. Resource-based niches provide a basis for plant species diversity and dominance in arctic tundra. Nature 2002, 415, 68–71. [Google Scholar] [CrossRef]
- Britto, D.T.; Kronzucker, H.J. Ecological significance and complexity of N-source preference in plants. Ann. Bot. 2013, 112, 957–963. [Google Scholar] [CrossRef]
- Song, M.Y.; Yu, L.; Jiang, Y.L.; Lei, Y.B.; Korpelainen, H.; Niinemets, U.; Li, C.Y. Nitrogen-controlled intra- and interspecific competition between Populus purdomii and Salix rehderiana drive primary succession in the Gongga Mountain glacier retreat area. Tree Physiol. 2017, 37, 799–814. [Google Scholar] [CrossRef]
- Mayor, J.R.; Schuur, E.A.G.; Mack, M.C.; Hollingsworth, T.N.; Baath, E. Nitrogen Isotope Patterns in Alaskan Black Spruce Reflect Organic Nitrogen Sources and the Activity of Ectomycorrhizal Fungi. Ecosystems 2012, 15, 819–831. [Google Scholar] [CrossRef]
- Zhang, Z.L.; Li, N.; Xiao, J.; Zhao, C.Z.; Zou, T.T.; Li, D.D.; Liu, Q.; Yin, H.J. Changes in plant nitrogen acquisition strategies during the restoration of spruce plantations on the eastern Tibetan Plateau, China. Soil Biol. Biochem. 2018, 119, 50–58. [Google Scholar] [CrossRef]
- Wang, J.P.; He, Q.Q.; Wu, Y.H.; Zhu, H.; Sun, H.Y.; Zhou, J.; Wang, D.P.; Li, J.J.; Bing, H.J. Effects of pioneer N-2-fixing plants on the resource status and establishment of neighboring non-N-2-fixing plants in a newly formed glacier floodplain, eastern Tibetan Plateau. Plant Soil 2021, 458, 261–276. [Google Scholar] [CrossRef]
- Takebayashi, Y.; Koba, K.; Sasaki, Y.; Fang, Y.; Yoh, M. The natural abundance of 15N in plant and soil-available N indicates a shift of main plant N resources to NO from NH along the N leaching gradient. Rapid Commun. Mass Spectrom. 2010, 24, 1001–1008. [Google Scholar] [CrossRef] [PubMed]
- Wiegleb, G.; Felinks, B. Primary succession in post-mining landscapes of Lower Lusatia—Chance or necessity. Ecol. Eng. 2001, 17, 199–217. [Google Scholar] [CrossRef]
- Liu, D.W.; Fang, Y.T.; Tu, Y.; Pan, Y.P. Chemical Method for Nitrogen Isotopic Analysis of Ammonium at Natural Abundance. Anal. Chem. 2014, 86, 3787–3792. [Google Scholar] [CrossRef]
- Hobbie, E.A.; Macko, S.A.; Shugart, H.H. Patterns in N dynamics and N isotopes during primary succession in Glacier Bay, Alaska. Chem. Geol. 1998, 152, 3–11. [Google Scholar] [CrossRef]
- Hodkinson, I.D.; Webb, N.R.; Coulson, S.J. Primary community assembly on land—The missing stages: Why are the heterotrophic organisms always there first? J. Ecol. 2002, 90, 569–577. [Google Scholar] [CrossRef]
- Jones, C.C.; del Moral, R. Dispersal and establishment both limit colonization during primary succession on a glacier foreland. Plant Ecol. 2009, 204, 217–230. [Google Scholar] [CrossRef]
- de Vries, F.T.; Thion, C.; Bahn, M.; Pinto, B.B.; Cecillon, S.; Frey, B.; Grant, H.; Nicol, G.W.; Wanek, W.; Prosser, J.I.; et al. Glacier forelands reveal fundamental plant and microbial controls on short-term ecosystem nitrogen retention. J. Ecol. 2021, 109, 3710–3723. [Google Scholar] [CrossRef]
- Yang, D.L.; Luo, J.; Peng, P.H.; Li, W.; Shi, W.B.; Jia, L.Y.; He, Y.M. Dynamics of nitrogen and phosphorus accumulation and their stoichiometry along a chronosequence of forest primary succession in the Hailuogou Glacier retreat area, eastern Tibetan Plateau. PLoS ONE 2021, 16, 16. [Google Scholar] [CrossRef]
- Vimercati, L.; de Mesquita, C.P.B.; Johnson, B.W.; Mineart, D.; DeForce, E.; Molano, Y.V.; Ducklow, H.; Schmidt, S.K. Dynamic trophic shifts in bacterial and eukaryotic communities during the first 30 years of microbial succession following retreat of an Antarctic glacier. FEMS Microbiol. Ecol. 2022, 98, 17. [Google Scholar] [CrossRef]
- Valle, B.; Gobbi, M.; Tognetti, M.; Borgatti, M.S.; Compostella, C.; Pantini, P.; Caccianiga, M. Glacial biodiversity of the southernmost glaciers of the European Alps (Clapier and Peirabroc, Italy). J. Mt. Sci. 2022, 19, 2139–2159. [Google Scholar] [CrossRef]
- Lei, Y.B.; Zhou, J.; Xiao, H.F.; Duan, B.L.; Wu, Y.H.; Korpelainen, H.; Li, C.Y. Soil nematode assemblages as bioindicators of primary succession along a 120-year-old chronosequence on the Hailuogou Glacier forefield, SW China. Soil Biol. Biochem. 2015, 88, 362–371. [Google Scholar] [CrossRef]
- Lei, Y.B.; Du, L.S.; Chen, K.; Plenkovic-Moraj, A.; Sun, G. Optimizing foliar allocation of limiting nutrients and fast-slow economic strategies drive forest succession along a glacier retreating chronosequence in the eastern Tibetan Plateau. Plant Soil 2021, 462, 159–174. [Google Scholar] [CrossRef]
- Hobbie, E.A.; Jumpponen, A.; Trappe, J. Foliar and fungal (15) N:(14) N ratios reflect development of mycorrhizae and nitrogen supply during primary succession: Testing analytical models. Oecologia 2005, 146, 258–268. [Google Scholar] [CrossRef]
- Craine, J.M.; Elmore, A.J.; Aidar, M.P.M.; Bustamante, M.; Dawson, T.E.; Hobbie, E.A.; Kahmen, A.; Mack, M.C.; McLauchlan, K.K.; Michelsen, A.; et al. Global patterns of foliar nitrogen isotopes and their relationships with climate, mycorrhizal fungi, foliar nutrient concentrations, and nitrogen availability. New Phytol. 2009, 183, 980–992. [Google Scholar] [CrossRef] [PubMed]
- Koba, K.; Isobe, K.; Takebayashi, Y.; Fang, Y.T.; Sasaki, Y.; Saito, W.; Yoh, M.; Mo, J.; Liu, L.; Lu, X.; et al. delta N-15 of soil N and plants in a N-saturated, subtropical forest of southern China. Rapid Commun. Mass Spectrom. 2010, 24, 2499–2506. [Google Scholar] [CrossRef] [PubMed]
- Hobbie, E.A.; Hogberg, P. Nitrogen isotopes link mycorrhizal fungi and plants to nitrogen dynamics. New Phytol. 2012, 196, 367–382. [Google Scholar] [CrossRef] [PubMed]
- Liu, X.Z.; Zhang, Y.; Su, Q.; Tian, Y.L.; Wang, Q.; Quan, B. Progress of research on relationships between terrestrial plant nitrogen isotope composition and climate environment change. Adv. Earth Sci. 2014, 29, 216–226. [Google Scholar] [CrossRef]
- Shearer, G.; Kohl, D.H. Estimates of N2 Fixation in Ecosystems: The Need for and Basis of the 15N Natural Abundance Method. In Stable Isotopes in Ecological Research; Rundel, P.W., Ehleringer, J.R., Nagy, K.A., Eds.; Springer: New York, NY, USA, 1989; pp. 342–374. [Google Scholar]
- Sah, S.P.; Rita, H.; Ilvesniemi, H. N-15 natural abundance of foliage and soil across boreal forests of Finland. Biogeochemistry 2006, 80, 277–288. [Google Scholar] [CrossRef]
- Fang, H.J.; Yu, G.R.; Cheng, S.L.; Zhu, T.H.; Zheng, J.J.; Mo, J.M.; Yan, J.H.; Luo, Y.Q. Nitrogen-15 signals of leaf-litter-soil continuum as a possible indicator of ecosystem nitrogen saturation by forest succession and N loads. Biogeochemistry 2011, 102, 251–263. [Google Scholar] [CrossRef]
- Wan, Q.; Yue, Z.W.; Liu, B.; Liu, Y.L.; Xie, M.Y.; Li, L. Different fates and retention of deposited NH4+ and NO3- in an alpine grassland in northwest China: A N-15 tracer study. Environ. Exp. Bot. 2022, 201, 8. [Google Scholar] [CrossRef]
- Jiang, Y.L.; Lei, Y.B.; Qin, W.; Korpelainen, H.; Li, C.Y. Revealing microbial processes and nutrient limitation in soil through ecoenzymatic stoichiometry and glomalin-related soil proteins in a retreating glacier forefield. Geoderma 2019, 338, 313–324. [Google Scholar] [CrossRef]
- Kielland, K.; McFarland, J.; Olson, K. Amino acid uptake in deciduous and coniferous taiga ecosystems. Plant Soil 2006, 288, 297–307. [Google Scholar] [CrossRef]
- Azcon, R.; Ruiz-Lozano, J.; Rodriguez, R. Differential contribution of arbuscular mycorrhizal fungi to plant nitrate uptake (N-15) under increasing N supply to the soil. Can. J. Bot.-Rev. Can. Bot. 2001, 79, 1175–1180. [Google Scholar] [CrossRef]
- Fischer, W.N.; Andre, B.; Rentsch, D.; Krolkiewicz, S.; Tegeder, M.; Breitkreuz, K.; Frommer, W.B. Amino acid transport in plants. Trends Plant Sci. 1998, 3, 188–195. [Google Scholar] [CrossRef]
- Hawkins, H.J.; Johansen, A.; George, E. Uptake and transport of organic and inorganic nitrogen by arbuscular mycorrhizal fungi. Plant Soil 2000, 226, 275–285. [Google Scholar] [CrossRef]
- Shi, M.; Fisher, J.B.; Brzostek, E.R.; Phillips, R.P. Carbon cost of plant nitrogen acquisition: Global carbon cycle impact from an improved plant nitrogen cycle in theCommunity Land Model. Glob. Change Biol. 2016, 22, 1299–1314. [Google Scholar] [CrossRef]
- Ames, R.N.; Reid, C.P.P.; Porter, L.K.; Cambardella, C. Hyphal uptake and transport of nitrogen from 2 n-15-labeled sources by glomus-mosseae, a vesicular arbuscular mycorrhizal fungus. New Phytol. 1983, 95, 381–396. [Google Scholar] [CrossRef]
- Johansen, A.; Jakobsen, I.; Jensen, E.S. Hyphal transport of n-15-labeled nitrogen by a vesicular-arbuscular mycorrhizal fungus and its effect on depletion of inorganic soil-n. New Phytol. 1992, 122, 281–288. [Google Scholar] [CrossRef] [PubMed]
- Cliquet, J.B.; Murray, P.J.; Boucaud, J. Effect of the arbuscular mycorrhizal fungus Glomus fasciculatum on the uptake of amino nitrogen by Lolium perenne. New Phytol. 1997, 137, 345–349. [Google Scholar] [CrossRef] [PubMed]
- Turnbull, M.H.; Goodall, R.; Stewart, G.R. The impact of mycorrhizal colonization upon nitrogen source utilization and metabolism in seedlings of Eucalyptus grandis Hill ex Maiden and Eucalyptus maculata Hook. Plant Cell Environ. 1995, 18, 1386–1394. [Google Scholar] [CrossRef]
- Hawkins, B.J.; Robbins, S. pH affects ammonium, nitrate and proton fluxes in the apical region of conifer and soybean roots. Physiol. Plant. 2010, 138, 238–247. [Google Scholar] [CrossRef]
- Niinemets, U. Responses of forest trees to single and multiple environmental stresses from seedlings to mature plants: Past stress history, stress interactions, tolerance and acclimation. For. Ecol. Manag. 2010, 260, 1623–1639. [Google Scholar] [CrossRef]
- Britto, D.T.; Kronzucker, H.J. NH4+ toxicity in higher plants: A critical review. J. Plant Physiol. 2002, 159, 567–584. [Google Scholar] [CrossRef]
- Salsac, L.; Chaillou, S.; Morotgaudry, J.F.; Lesaint, C. Nitrate and ammonium nutrition in plants. Plant Physiol. Biochem. 1987, 25, 805–812. [Google Scholar]
- Vanbeusichem, M.L.; Kirkby, E.A.; Baas, R. Influence of nitrate and ammonium nutrition on the uptake, assimilation, and distribution of nutrients in ricinus-communis. Plant Physiol. 1988, 86, 914–921. [Google Scholar] [CrossRef]
- Boudsocq, S.; Niboyet, A.; Lata, J.C.; Raynaud, X.; Loeuille, N.; Mathieu, J.; Blouin, M.; Abbadie, L.; Barot, S. Plant Preference for Ammonium versus Nitrate: A Neglected Determinant of Ecosystem Functioning? Am. Nat. 2012, 180, 60–69. [Google Scholar] [CrossRef]
- Kronzucker, H.J.; Siddiqi, M.Y.; Glass, A.D.M.; Britto, D.T. Root ammonium transport efficiency as a determinant in forest colonization patterns: An hypothesis. Physiol. Plant. 2003, 117, 164–170. [Google Scholar] [CrossRef]
- Wu, Y.H.; Li, W.; Zhou, J.; Cao, Y. Temperature and precipitation variations at two meteorological stations on eastern slope of Gongga Mountain, SW China in the past two decades. J. Mt. Sci. 2013, 10, 370–377. [Google Scholar] [CrossRef]
- Jiang, Y.L.; Lei, Y.B.; Yang, Y.; Korpelainen, H.; Niinemets, U.; Li, C.Y. Divergent assemblage patterns and driving forces for bacterial and fungal communities along a glacier forefield chronosequence. Soil Biol. Biochem. 2018, 118, 207–216. [Google Scholar] [CrossRef]
- Tu, Y.; Fang, Y.T.; Liu, D.W.; Pan, Y.P. Modifications to the azide method for nitrate isotope analysis. Rapid Commun. Mass Spectrom. 2016, 30, 1213–1222. [Google Scholar] [CrossRef]
- Hu, C.C.; Lei, Y.B.; Tan, Y.H.; Sun, X.C.; Xu, H.; Liu, C.Q.; Liu, X.Y. Plant nitrogen and phosphorus utilization under invasive pressure in a montane ecosystem of tropical China. J. Ecol. 2019, 107, 372–386. [Google Scholar] [CrossRef]
- Phillips, D.L.; Gregg, J.W. Source partitioning using stable isotopes: Coping with too many sources. Oecologia 2003, 136, 261–269. [Google Scholar] [CrossRef]





| Different Stages | Early Stage | Middle Stage | Late Stage |
|---|---|---|---|
| pH | 6.50 ± 0.20 a | 5.97 ± 0.45 a | 4.73 ± 0.40 b |
| SOM | 1.50 ± 0.03 c | 2.30 ± 0.47 b | 3.50 ± 0.41 a |
| NH4+ | 6.10 ± 1.31 c | 17.08 ± 1.04 b | 51.46 ± 3.45 a |
| NO3− | 4.20 ± 0.29 c | 11.93 ± 1.40 b | 19.41 ± 1.62 a |
| DON | 4.38 ± 0.56 b | 6.99 ± 1.02 b | 44.21 ± 5.23 a |
| TDN | 14.36 ± 0.15 b | 27.95 ± 0.89 b | 117.23 ± 19.69 a |
| Different Stages | Dominant Species | Types of Mycorrhizal Fungi | Importance Values |
|---|---|---|---|
| Early stage | Astragalus membranaceus | N-fixing diazotroph | 0.52 |
| (~12 year) | Hippophae rhamnoides | N-fixing diazotroph | 0.35 |
| Middle stage | Populus purdomii | Arbuscular mycorrhiza | 0.34 |
| (~40 year) | Salix rehderiana | Arbuscular mycorrhiza | 0.20 |
| Betula utilis | Ectomycorrhiza | 0.13 | |
| Salix magnifica | Arbuscular mycorrhiza | 0.07 | |
| Late stage | Abies fabri | Ectomycorrhiza | 0.40 |
| (~120 year) | Picea brachytyla | Ectomycorrhiza | 0.31 |
| Rhododendron simsii | Ericoid mycorrhiza | 0.13 |
Disclaimer/Publisher’s Note: The statements, opinions and data contained in all publications are solely those of the individual author(s) and contributor(s) and not of MDPI and/or the editor(s). MDPI and/or the editor(s) disclaim responsibility for any injury to people or property resulting from any ideas, methods, instructions or products referred to in the content. |
© 2023 by the authors. Licensee MDPI, Basel, Switzerland. This article is an open access article distributed under the terms and conditions of the Creative Commons Attribution (CC BY) license (https://creativecommons.org/licenses/by/4.0/).
Share and Cite
Huang, Y.; Du, L.; Lei, Y.; Liang, J. Nitrogen Preference of Dominant Species during Hailuogou Glacier Retreat Succession on the Eastern Tibetan Plateau. Plants 2023, 12, 838. https://doi.org/10.3390/plants12040838
Huang Y, Du L, Lei Y, Liang J. Nitrogen Preference of Dominant Species during Hailuogou Glacier Retreat Succession on the Eastern Tibetan Plateau. Plants. 2023; 12(4):838. https://doi.org/10.3390/plants12040838
Chicago/Turabian StyleHuang, Yulin, Liushan Du, Yanbao Lei, and Jiye Liang. 2023. "Nitrogen Preference of Dominant Species during Hailuogou Glacier Retreat Succession on the Eastern Tibetan Plateau" Plants 12, no. 4: 838. https://doi.org/10.3390/plants12040838
APA StyleHuang, Y., Du, L., Lei, Y., & Liang, J. (2023). Nitrogen Preference of Dominant Species during Hailuogou Glacier Retreat Succession on the Eastern Tibetan Plateau. Plants, 12(4), 838. https://doi.org/10.3390/plants12040838

